Sulphur and Selenium as Determinants of Yield and Biometric Parameters in Wheat
Abstract
1. Introduction
2. Materials and Methods
2.1. Methodological Assumptions
2.2. Laboratory and Statistical Analysis Methods
3. Results and Discussion
3.1. Wheat Grain and Straw Yield
3.2. The 1000 Grain Weight (TGW) of Wheat
3.3. Wheat Ear Number
4. Conclusions
Future Research Gap
Author Contributions
Funding
Data Availability Statement
Conflicts of Interest
References
- Bogusz, P.; Rusek, P.; Brodowska, M.S. Suspension fertilizers: How to reconcile sustainable fertilization and environmental protection. Agriculture 2021, 11, 1008. [Google Scholar] [CrossRef]
- Brodowska, M.S.; Wyszkowski, M.; Kordala, N. Use of organic materials to limit the potential negative effect of nitrogen on maize in different soils. Materials 2022, 15, 5755. [Google Scholar] [CrossRef]
- Hossain, A.; Skalicky, M.; Brestic, M.; Maitra, S.; Sarkar, S.; Ahmad, Z.; Vemuri, H.; Garai, S.; Mondal, M.; Bhatt, R.; et al. Selenium biofortification: Roles, mechanisms, responses and prospects. Molecules 2021, 26, 881. [Google Scholar] [CrossRef]
- Hasanuzzaman, M.; Bhuyan, M.H.M.B.; Raza, A.; Hawrylak-Nowak, B.; Matraszek-Gawron, R.; Nahar, K.; Fujita, M. Selenium toxicity in plants and environment: Biogeochemistry and remediation possibilities. Plants 2020, 9, 1711. [Google Scholar] [CrossRef] [PubMed]
- Avery, J.C.; Hoffmann, P.R. Selenium, selenoproteins, and immunity. Nutrients 2018, 10, 1203. [Google Scholar] [CrossRef] [PubMed]
- Darecki, A.; Saeid, A.; Górecki, A. Perspective of selenium fortifications of plants with economic importance to Poland. Chem. News 2015, 69, 1067–1081. [Google Scholar]
- Brodowska, M.S.; Kurzyna-Szklarek, M.; Haliniarz, M. Selenium in the environment. J. Elem. 2016, 21, 1173–1185. [Google Scholar] [CrossRef]
- Danso, O.P.; Asante-Badu, B.; Zhang, Z.; Song, J.; Wang, Z.; Yin, X.; Zhu, R. Selenium biofortification: Strategies, progress and challenges. Agriculture 2023, 13, 416. [Google Scholar] [CrossRef]
- Martinez, M.; Giménez, J.; De Pablo, J.; Rovira, M.; Duro, L. Sorption of selenium (IV) an selenium (VI) onto magnetite. Appl. Surf. Sci. 2006, 252, 3767–3773. [Google Scholar] [CrossRef]
- Čuvardić, M. Selenium in soil. Proc. Nat. Sci. Matica Srp. Novi Sad 2003, 104, 23–37. [Google Scholar] [CrossRef]
- Borowska, K.; Koper, J. Dynamics of changes of selenium content in soil and red clover (Trifolium pretense L.) affected by long—Term organic fertilization on the background of selected soil oxidoreductases. Pol. J. Environ. Stud. 2011, 20, 1403–1410. [Google Scholar]
- Winkel, L.H.E.; Vriens, B.; Jones, G.D.; Schneider, L.S.; Pilon-Smits, E.; Bañuelos, G.S. Selenium cycling across soil-plant-atmosphere interfaces: A critical review. Nutrients 2015, 7, 4199–4239. [Google Scholar] [CrossRef]
- García Márquez, V.; Morelos Moreno, Á.; Benavides Mendoza, A.; Medrano Macías, J. Ionic selenium and nanoselenium as biofortifiers and stimulators of plant metabolism. Agronomy 2020, 10, 1399. [Google Scholar] [CrossRef]
- Yamada, H.; Kase, Y.; Usuki, M.; Kajiyama, S.; Yonebayashi, K. Selective determination and formation of elemental selenium in soils. Soil Sci. Plant Nutr. 1999, 45, 403–408. [Google Scholar] [CrossRef]
- Zenda, T.; Liu, S.; Dong, A.; Duan, H. Revisiting sulphur—The once neglected nutrient: It’s roles in plant growth, metabolism, stress tolerance and crop production. Agriculture 2021, 11, 626. [Google Scholar] [CrossRef]
- Fordyce, F.M. Selenium deficiency and toxicity in the environment. In Essentials of Medical Geology: Revised Edition; Selinus, O., Ed.; Springer: Cham, The Netherlands, 2013; pp. 375–416. [Google Scholar] [CrossRef]
- National Institutes of Health, Office of Dietary Supplements. Selenium—Fact Sheet for Health Professionals. NIH ODS 2022. Available online: https://ods.od.nih.gov/factsheets/Selenium-HealthProfessional/ (accessed on 30 October 2025).
- EFSA Panel on Dietetic Products, Nutrition and Allergies (NDA). Scientific opinion on dietary reference values for selenium. EFSA J. 2014, 12, 3846. [Google Scholar] [CrossRef]
- Pilon-Smits, E.A.H.; Hwang, S.; Lytle, C.M.; Zhu, Y.; Tai, J.; Bravo, R.C.; Chen, Y.; Leustek, T.; Terry, N. Overexpression of ATP sulfurylase in Indian mustard leads to increased selenate uptake, reduction, and tolerance. Plant Physiol. 1999, 119, 123–132. [Google Scholar] [CrossRef]
- Schiavon, M.; Pilon-Smits, E.A.H. The fascinating facets of plant selenium accumulation—Biochemistry, physiology, evolution and ecology. New Phytol. 2017, 213, 1582–1596. [Google Scholar] [CrossRef]
- Gupta, M.; Gupta, S. An overview of selenium uptake, metabolism, and toxicity in plants. Front. Plant Sci. 2017, 7, 2074. [Google Scholar] [CrossRef]
- Trippe, R.C.; Pilon-Smits, E.A.H. Selenium transport and metabolism in plants: Phytoremediation and biofortification implications. J. Hazard. Mater. 2020, 404, 124178. [Google Scholar] [CrossRef]
- El Mehdawi, A.F.; Jiang, Y.; Guignardi, Z.S.; Esmat, A.; Pilon, M.; Pilon-Smits, E.A.H.; Schiavon, M. Influence of sulfate supply on selenium uptake dynamics and expression of sulfate/selenate transporters in selenium hyperaccumulator and nonhyperaccumulator Brassicaceae. New Phytol. 2018, 217, 194–205. [Google Scholar] [CrossRef]
- Wang, Y.; Wang, K.; Wang, Q.; Wan, Y.; Zhuang, Z.; Yu, Y.; Li, H. Selenite uptake and transformation in rice seedlings (Oryza sativa L.): Response to phosphorus nutrient status. Front. Plant Sci. 2020, 11, 874. [Google Scholar] [CrossRef]
- Srivastava, P.; Rana, N.; Kumar, R.; Ladohia, S.; Mehta, S. From emissions to agriculture: A comprehensive study of sulfur cycle alterations. Int. J. Res. Agron. 2024, 7, 371–376. [Google Scholar] [CrossRef]
- OECD. Air and GHG Emissions. Available online: https://www.oecd.org/en/data/indicators/air-and-ghg-emissions.html (accessed on 27 October 2025).
- Podleśna, A. Studies on role of sulfur at forming of mineral management and height and quality of chosen crops yield. In Monographs and Scientific Dissertations; Institute of Soil Science and Plant Cultivation—State Research Institute: Pulawy, Poland, 2013; Volume 37, p. 144. Available online: https://iung.pl/images/pdf/habilitacje/Podlesna–hab.pdf (accessed on 30 September 2025).
- Khan, N.A.; Khan, M.I.R.; Asgher, M.; Fatma, M.; Masood, A.; Syeed, S. Salinity tolerance in plants: Revisiting the role of sulfur metabolites. J. Plant Biochem. Physiol. 2014, 2, 120. [Google Scholar] [CrossRef]
- Anjum, N.A.; Gill, R.; Kaushik, M.; Hasanuzzaman, M.; Pereira, E.; Ahmad, I.; Tuteja, N.; Gill, S.S. ATP-sulfurylase, sulfurcompounds, and plant stress tolerance. Front. Plant Sci. 2015, 6, 210. [Google Scholar] [CrossRef] [PubMed]
- Fuentes-Lara, L.O.; Medrano-Macías, J.; Pérez-Labrada, F.; Rivas-Martínez, E.N.; García-Enciso, E.L.; González-Morales, S.; Juárez-Maldonado, A.; Rincón-Sánchez, F.; Benavides-Mendoza, A. From elemental sulfur to hydrogen sulfide in agricultural soils and plants. Molecules 2019, 24, 2282. [Google Scholar] [CrossRef]
- IUSS Working Group WRB. World Reference Base for Soil Resources 2014; International Soil Classification System for Naming Soils and Creating Legends for Soil Maps. In World Soil Resources Reports No. 106; FAO: Rome, Italy, 2015; p. 182. Available online: https://www.fao.org/3/i3794en/I3794en.pdf (accessed on 20 May 2024).
- Kosiorek, M.; Wyszkowski, M. Remediation of cobalt-contaminated soil using manure, clay, charcoal, zeolite, calcium oxide, main crop (Hordeum vulgare L.), and after-crop (Synapis alba L.). Minerals 2020, 10, 429. [Google Scholar] [CrossRef]
- TIBCO Software Inc. Statistica (Data Analysis Software System), Version 13.3; TIBCO Software: Palo Alto, CA, USA, 2017.
- Sarwar, N.; Akhtar, M.; Kamran, M.A.; Imran, M.; Riaz, M.A.; Kamran, K.; Hussain, S. Selenium biofortification in food crops: Key mechanisms and future perspectives. J. Food Compos. Anal. 2020, 93, 103615. [Google Scholar] [CrossRef]
- Sunic, K.; Spanic, V. Genetic biofortification of winter wheat with selenium (Se). Plants 2024, 13, 1816. [Google Scholar] [CrossRef]
- Małecka-Jankowiak, I.; Blecharczyk, A.; Sawińska, Z.; Piechota, T.; Waniorek, B. Impact of crop sequence and tillage system on weed infestation of winter wheat. Fragm. Agron. 2015, 32, 54–63. [Google Scholar]
- Semenov, M.A.A.; Stratonovitch, P.; Alghabari, F.; Gooding, M.J.J. Adapting wheat in Europe for climate change. J. Cereal Sci. 2014, 59, 245–256. [Google Scholar] [CrossRef]
- Schnug, E.; Haneklaus, S.; Murphy, D. Impact of sulphur fertilization on fertilizer nitrogen efficiency. Sulphur Agric. 1993, 17, 8–12. [Google Scholar]
- Phillips, S.B.; Mullins, G.L. Foliar burn and wheat grain yield responses following topdress-applied nitrogen and sulfur fertilizers. J. Plant Nutr. 2004, 27, 921–930. [Google Scholar] [CrossRef]
- Zhao, F.J.; Hawkesford, M.J.; McGrath, S.P. Sulphur assimilation and effects on yield and quality of wheat. J. Cereal Sci. 1999, 30, 1–17. [Google Scholar] [CrossRef]
- Singh, P.S.; Singh, R.; Singh, M.P.; Singh, V.P. Impact of sulfur fertilization on different forms and balance of soil sulfur and the nutrition of wheat in wheat-soybean cropping sequence in Tarai soil. J. Plant Nutr. 2014, 37, 618–632. [Google Scholar] [CrossRef]
- Potarzycki, J.; Przygocka-Cyna, K.; Wendel, J.; Biniek, Ł.; Ridiger, B. The impact of sulphur fertilization on yield of winter wheat. Fragm. Agron. 2015, 32, 63–72. [Google Scholar]
- Lazo-Vélez, M.A.; Chávez-Santoscoy, A.; Serna-Saldivar, S.O. Selenium-enriched breads and their benefits in human nutrition and health as affected by agronomic, milling, and baking factors. Cereal Chem. 2015, 92, 134–144. [Google Scholar] [CrossRef]
- Nawaz, F.; Ashraf, M.Y.; Ahmad, R.; Waraich, E.A.; Shabbir, R.N.; Bukhari, M.A. Supplemental selenium improves wheat grain yield and quality through alterations in biochemical processes under normal and water deficit conditions. Food Chem. 2015, 175, 350–357. [Google Scholar] [CrossRef]
- Lara, T.S.; de Lima Lessa, J.H.; de Souza, K.R.D.; Corguinha, A.P.B.; Martins, F.A.D.; Lopes, G.; Guilherme, L.R.G. Selenium biofortification of wheat grain via foliar application and its effect on plant metabolism. J. Food Compos. Anal. 2019, 81, 10–18. [Google Scholar] [CrossRef]
- White, P.J.; Bowen, H.C.; Parmaguru, P.; Fritz, M.; Spracklen, W.P.; Spiby, R.E.; Meacham, M.C.; Mead, A.; Harriman, M.; Trueman, L.J.; et al. Interactions between selenium and sulphur nutrition in Arabidopsis thaliana. J. Exp. Bot. 2004, 55, 1927–1937. [Google Scholar] [CrossRef]
- Wang, Q.; Yu, Y.; Li, J.; Wan, Y.; Huang, Q.; Guo, Y.; Li, H. Effects of different forms of selenium fertilizers on Se accumulation, distribution, and residual effect in winter wheat-summer maize rotation system. J. Agric. Food Chem. 2017, 65, 1116–1123. [Google Scholar] [CrossRef]
- Xue, T.; Hartikainen, H.; Piironen, V. Antioxidative and growth-promoting effect of selenium on senescing lettuce. Plant Soil 2001, 237, 55–61. [Google Scholar] [CrossRef]
- Turakainen, M.; Hartikainen, H.; Seppanen, M.M. Effects of selenium treatments on potato (Solanum tuberosum L.) growth and concentrations of soluble sugars and starch. J. Agric. Food Chem. 2004, 52, 5378–5382. [Google Scholar] [CrossRef]
- Lyons, G.H.; Genc, Y.; Soole, K.; Stangoulis, J.C.R.; Liu, F.; Graham, R.D. Selenium increases seed production in Brassica. Plant Soil 2009, 318, 73–80. [Google Scholar] [CrossRef]
- Ekanayake, L.J.; Thavarajah, D.; Vial, E.; Schatz, B.; McGee, R.; Thavarajah, P. Selenium fertilization on lentil (Lens culinaris Medikus) grain yield, seed selenium concentration, and antioxidant activity. Field Crops Res. 2015, 177, 9–14. [Google Scholar] [CrossRef]
- Radawiec, A.; Szulc, W.; Rutkowska, B. Effect of fertilization with selenium on the content of selected microelements in spring wheat grain. J. Elem. 2021, 26, 1025–1036. [Google Scholar] [CrossRef]
- De Vita, P.; Platani, C.; Fragasso, M.; Ficco, D.B.M.; Colecchia, S.A.; Del Nobile, M.A.; Padalino, L.; Di Gennaro, S.; Petrozza, A. Selenium-enriched durum wheat improves the nutritional profile of pasta without altering its organoleptic properties. Food Chem. 2017, 214, 374–382. [Google Scholar] [CrossRef]
- Ducsay, L.; Ložek, O.; Marček, M.; Varényiová, M.; Hozlár, P.; Lošák, T. Possibility of selenium biofortification of winter wheat grain. Plant Soil Environ. 2016, 62, 379–383. [Google Scholar] [CrossRef]
- Rodrigo, S.; Santamaria, O.; Poblaciones, M.J. Selenium application timing: Influence in wheat grain and flour selenium accumulation under mediterranean conditions. J. Agric. Sci. 2014, 6, 23–30. [Google Scholar] [CrossRef]
- Zhang, D.; Liu, J.; Cheng, T.; Wang, H.; Zhou, Y.; Gong, Z.; Hu, T. Strategic selenium application methods and timing enhance grain yield, minimize cadmium bioaccumulation, and optimize selenium fortification in Triticum aestivum L. Agronomy 2025, 15, 199. Agronomy 2025, 15, 199. [Google Scholar] [CrossRef]
- Bayat, S.; Dalir, N.; Mokhtassi-Bidgoli, A.; Malakouti, M.J.; Shahbazi, K. Selenium alleviates cadmium-induced stress in durum wheat (Triticum durum) by enhancing the accumulation of cadmium in the roots and by modulating of photosynthesis parameters. J. Plant Nutr. 2022, 46, 1903–1919. [Google Scholar] [CrossRef]
- Wu, L.M.; Lu, N.H. Selenium improves wheat antioxidant capacity, photosynthetic capacity, and growth under cadmium stress. Photosynthetica 2024, 62, 232–239. [Google Scholar] [CrossRef] [PubMed]
- Alrashidi, A.A. Selenium and potassium supplementation improve nitrogen metabolism, antioxidant activity, and osmolyte production, reducing the growth and photosynthetic inhibition caused by polyethylene glycol (PEG) in wheat. Not. Bot. Horti Agrobot. Cluj-Napoca 2024, 52, 13936. [Google Scholar] [CrossRef]
- Alrashidi, A.A. Alleviation of salinity triggered oxidative damage and photoinhibition in Vigna radiata by individual and combined treatments of selenium and jasmonic acid. Not. Bot. Horti Agrobot. Cluj-Napoca 2022, 50, 12704. [Google Scholar] [CrossRef]
- Gondek, K.; Gondek, A. The influence of mineral fertilization on the yield and content of selected macro and microelements in spring wheat. J. Res. Appl. Agric. Eng. 2010, 55, 30–36. [Google Scholar]
- Gondek, K. Assessment of the effect of sulphur supplied to the soil with mineral fertilizers and waste from magnesium sulphate production on its content in spring wheat (Triticum aestivum L.). Acta Agrophys. 2012, 15, 269–280. [Google Scholar]
- Rachoń, L.; Szumiło, G. Comparison of chemical composition of selected winter wheat species. J. Elem. 2009, 14, 135–146. [Google Scholar] [CrossRef]
- Bernas, J.; Konvalina, P.; Moudry, J., Jr.; Vlasek, O.; Jelinkova, Z. Technological quality of spelt wheat and environmental impact of spelt wheat growing. Int. J. Adv. Sci. Eng. Technol. 2016, 4, 128–131. [Google Scholar]
- Krawczyk, P.; Ceglińska, A.; Kardialik, J. Comparing the technological value of spelt grains to common wheat grains. Food Sci. Technol. Qual. 2008, 5, 43–51. [Google Scholar]
- Stankowski, S.; Hury, G.; Sobolewska, M.; Opatowicz, N.; Bashutska, U. The effect of sulphur fertilisation on field and grain quality of winter wheat. Sci. Bull. Nat. Forest. Univ. Ukr. Environ. Ecol. 2015, 2, 174–177. [Google Scholar]
- Łukaszewicz, S.; Politycka, B.; Smoleń, S. Accumulation of selected macronutrients and tolerance towards selenium of garden pea treated with selenite and selenate. J. Elem. 2019, 24, 245–256. [Google Scholar] [CrossRef]
- Järvan, M.; Edesi, L.; Adamson, A. Effect of sulphur fertilization on grain yield and yield components of winter wheat. Acta Agric. Scand. Sect. B Soil Plant Sci. 2012, 62, 401–409. [Google Scholar] [CrossRef]
- Goh, K.H.; Lim, T.T. Geochemistry of inorganic arsenic and selenium in a tropical soil: Effect of reaction time, pH, and competitive anions on arsenic and selenium adsorption. Chemosphere 2004, 55, 849–859. [Google Scholar] [CrossRef]






| Selenium Dose (B) | Sulphur Dose (A) | Average | ||||||||||||||
|---|---|---|---|---|---|---|---|---|---|---|---|---|---|---|---|---|
| S0 | SI | SII | ||||||||||||||
| I Year | II Year | III Year | I Year | II Year | III Year | I Year | II Year | III Year | I Year | II Year | III Year | |||||
| Spelt wheat (Triticum spelta L.) | ||||||||||||||||
| 1st selenium application date (C) | ||||||||||||||||
| Se0 | 6.87 | 7.28 | 7.93 | 7.36 a | 7.42 | 6.84 | 7.57 | 7.28 a | 7.06 | 6.82 | 6.66 | 6.85 a | 7.12 | 6.98 | 7.39 | 7.16 |
| SeI | 7.42 | 7.00 | 6.77 | 7.06 a | 7.58 | 7.24 | 7.67 | 7.50 a | 7.13 | 6.84 | 8.22 | 7.40 a | 7.38 | 7.03 | 7.55 | 7.32 |
| SeII | 7.43 | 6.17 | 7.89 | 7.16 a | 8.23 | 7.23 | 7.26 | 7.57 a | 7.71 | 7.12 | 7.93 | 7.59 a | 7.79 | 6.84 | 7.69 | 7.44 |
| 7.24 | 6.82 | 7.53 | 7.20 | 7.74 | 7.10 | 7.50 | 7.45 | 7.30 | 6.93 | 7.60 | 7.28 | 7.43 | 6.95 | 7.54 | 7.31 | |
| 2nd selenium application date (C) | ||||||||||||||||
| Se0 | 6.87 | 7.28 | 7.93 | 7.14 a | 7.42 | 6.84 | 7.57 | 7.28 a | 7.06 | 6.82 | 6.66 | 6.85 a | 7.12 | 6.98 | 7.39 | 7.16 |
| SeI | 7.83 | 6.76 | 6.88 | 7.17 a | 8.29 | 6.73 | 7.49 | 7.50 a | 7.69 | 5.82 | 7.66 | 7.06 a | 7.94 | 6.44 | 7.34 | 7.24 |
| SeII | 8.88 | 6.74 | 7.52 | 7.17 a | 8.32 | 6.97 | 7.03 | 7.44 a | 9.00 | 6.56 | 7.59 | 7.72 a | 8.73 | 6.76 | 7.38 | 7.62 |
| 7.86 | 6.93 | 7.44 | 7.16 | 8.01 | 6.85 | 7.36 | 7.41 | 7.92 | 6.40 | 7.30 | 7.21 | 7.93 | 6.72 | 7.37 | 7.34 | |
| LSD0.05 | A—n.s. B—0.33 C—n.s. A × B—n.s. A × C—n.s. B × C—n.s. A × B × C—n.s. | |||||||||||||||
| Common wheat (Triticum aestivum L.) | ||||||||||||||||
| 1st selenium application date (C) | ||||||||||||||||
| Se0 | 6.41 | 6.66 | 5.97 | 6.35 a | 6.62 | 6.33 | 6.47 | 6.47 a | 6.68 | 7.50 | 7.08 | 7.09 a | 6.57 | 6.83 | 6.51 | 6.64 |
| SeI | 6.58 | 7.05 | 7.60 | 7.08 a | 7.34 | 7.21 | 5.99 | 6.85 a | 7.35 | 6.59 | 7.01 | 6.98 a | 7.09 | 6.95 | 6.87 | 6.97 |
| SeII | 7.94 | 5.95 | 8.49 | 7.46 a | 6.90 | 7.03 | 8.20 | 7.38 a | 7.19 | 6.91 | 5.71 | 6.60 a | 7.34 | 6.63 | 7.47 | 7.15 |
| 6.98 | 6.55 | 7.35 | 6.96 | 6.95 | 6.86 | 6.89 | 6.90 | 7.07 | 7.00 | 6.60 | 6.89 | 7.00 | 6.80 | 6.95 | 6.92 | |
| 2nd selenium application date (C) | ||||||||||||||||
| Se0 | 6.41 | 6.66 | 5.97 | 7.17 a | 6.62 | 6.33 | 6.47 | 6.47 a | 6.68 | 7.50 | 7.08 | 7.09 a | 6.57 | 6.83 | 6.51 | 6.64 |
| SeI | 7.29 | 6.37 | 7.97 | 7.20 a | 7.86 | 6.47 | 6.03 | 6.79 a | 8.32 | 6.10 | 7.41 | 7.28 a | 7.82 | 6.31 | 7.14 | 7.09 |
| SeII | 7.63 | 5.84 | 8.06 | 7.11 a | 7.21 | 6.86 | 8.24 | 7.44 a | 7.00 | 6.83 | 6.52 | 6.78 a | 7.28 | 6.51 | 7.61 | 7.13 |
| 7.11 | 6.29 | 7.33 | 7.16 | 7.23 | 6.55 | 6.91 | 6.90 | 7.33 | 6.81 | 7.00 | 7.05 | 7.22 | 6.55 | 7.08 | 6.95 | |
| LSD0.05 | A—n.s. B—0.33 C—n.s. A × B—0.75 A × C—n.s. B × C—n.s. A × B × C—n.s. | |||||||||||||||
| Selenium Dose (B) | Sulphur Dose (A) | Average | ||||||||||||||
|---|---|---|---|---|---|---|---|---|---|---|---|---|---|---|---|---|
| S0 | SI | SII | ||||||||||||||
| I Year | II Year | III Year | I Year | II Year | III Year | I Year | II Year | III Year | I Year | II Year | III Year | |||||
| Spelt wheat (Triticum spelta L.) | ||||||||||||||||
| 1st selenium application date (C) | ||||||||||||||||
| Se0 | 4.86 | 6.57 | 5.74 | 5.72 a | 5.93 | 8.44 | 5.02 | 6.46 a | 4.83 | 7.73 | 6.00 | 6.19 a | 5.21 | 7.58 | 5.59 | 6.12 |
| SeI | 6.89 | 7.19 | 5.51 | 6.53 a | 7.16 | 6.53 | 7.09 | 6.93 a | 7.20 | 6.93 | 5.24 | 6.46 a | 7.08 | 6.88 | 5.95 | 6.64 |
| SeII | 5.90 | 5.67 | 5.20 | 5.59 a | 5.41 | 7.11 | 6.91 | 6.48 a | 6.06 | 6.36 | 5.42 | 5.95 a | 5.79 | 6.38 | 5.84 | 6.00 |
| 5.88 | 6.48 | 5.48 | 5.95 | 6.17 | 7.36 | 6.34 | 6.62 | 6.03 | 7.01 | 5.55 | 6.20 | 6.03 | 6.95 | 5.79 | 6.26 | |
| 2nd selenium application date (C) | ||||||||||||||||
| Se0 | 4.86 | 6.57 | 5.74 | 5.72 a | 5.93 | 8.44 | 5.02 | 6.46 a | 4.83 | 7.73 | 6.00 | 6.19 a | 5.21 | 7.58 | 5.59 | 6.12 |
| SeI | 5.32 | 7.45 | 8.56 | 7.11 a | 5.79 | 7.54 | 7.89 | 7.07 a | 5.45 | 6.91 | 6.95 | 6.44 a | 5.52 | 7.30 | 7.80 | 6.87 |
| SeII | 6.29 | 6.17 | 9.11 | 7.19 a | 6.90 | 6.17 | 6.48 | 6.52 a | 6.06 | 6.36 | 5.42 | 5.95 a | 6.42 | 6.23 | 7.00 | 6.55 |
| 5.49 | 6.73 | 7.80 | 6.67 | 6.21 | 7.38 | 6.46 | 6.68 | 5.45 | 7.00 | 6.12 | 6.19 | 5.71 | 7.04 | 6.80 | 6.52 | |
| LSD0.05 | A—n.s. B—n.s. C—n.s. A × B—n.s. A × C—n.s. B × C—n.s. A × B × C—n.s. | |||||||||||||||
| Common wheat (Triticum aestivum L.) | ||||||||||||||||
| 1st selenium application date (C) | ||||||||||||||||
| Se0 | 4.19 | 5.75 | 3.73 | 4.56 a | 5.94 | 5.66 | 4.87 | 5.49 ab | 3.67 | 7.36 | 4.25 | 5.09 ab | 4.60 | 6.26 | 4.28 | 5.05 |
| SeI | 5.90 | 5.82 | 4.58 | 5.43 ab | 7.02 | 6.71 | 5.48 | 6.40 b | 6.45 | 6.78 | 4.72 | 5.98 ab | 6.46 | 6.44 | 4.93 | 5.94 |
| SeII | 5.79 | 5.62 | 6.28 | 5.90 ab | 5.31 | 6.04 | 4.21 | 5.19 ab | 4.24 | 5.63 | 5.32 | 5.06 ab | 5.11 | 5.76 | 5.27 | 5.38 |
| 5.29 | 5.73 | 4.86 | 5.30 | 6.09 | 6.14 | 4.85 | 5.69 | 4.79 | 6.59 | 4.76 | 5.38 | 5.39 | 6.15 | 4.83 | 5.46 | |
| 2nd selenium application date (C) | ||||||||||||||||
| Se0 | 4.19 | 5.75 | 3.73 | 4.56 a | 5.94 | 5.66 | 4.87 | 5.49 ab | 3.67 | 7.36 | 4.25 | 5.09 ab | 4.60 | 6.26 | 4.28 | 5.05 |
| SeI | 5.01 | 4.90 | 6.54 | 5.48 ab | 5.51 | 5.53 | 6.61 | 5.88 ab | 5.50 | 6.31 | 7.00 | 6.27 ab | 5.34 | 5.58 | 6.72 | 5.88 |
| SeII | 5.10 | 5.54 | 5.83 | 5.49 ab | 6.41 | 4.35 | 5.63 | 5.46 ab | 5.93 | 6.26 | 5.15 | 5.78 ab | 5.81 | 5.38 | 5.54 | 5.58 |
| 4.77 | 5.40 | 5.37 | 5.18 | 5.95 | 5.18 | 5.70 | 5.61 | 5.03 | 6.64 | 5.47 | 5.71 | 5.25 | 5.74 | 5.51 | 5.50 | |
| LSD0.05 | A—n.s. B—0.47 C—n.s. A × B—0.75 A × C—n.s. B × C—n.s. A × B × C—n.s. | |||||||||||||||
| Selenium Dose (B) | Sulphur Dose (A) | Average | ||||||||||||||
|---|---|---|---|---|---|---|---|---|---|---|---|---|---|---|---|---|
| S0 | SI | SII | ||||||||||||||
| I Year | II Year | III Year | I Year | II Year | III Year | I Year | II Year | III Year | I Year | II Year | III Year | |||||
| Spelt wheat (Triticum spelta L.) | ||||||||||||||||
| 1st selenium application date (C) | ||||||||||||||||
| Se0 | 38.51 | 39.50 | 41.03 | 39.68 b | 37.17 | 38.16 | 39.69 | 38.34 b | 36.39 | 37.37 | 38.90 | 37.55 ab | 37.36 | 38.34 | 39.87 | 38.52 |
| SeI | 35.84 | 36.83 | 38.35 | 37.01 ab | 38.46 | 39.45 | 40.97 | 39.63 b | 38.20 | 26.45 | 27.98 | 30.88 a | 37.50 | 34.24 | 35.77 | 35.84 |
| SeII | 37.09 | 38.08 | 39.61 | 38.26 b | 36.06 | 37.05 | 38.57 | 37.23 ab | 34.84 | 35.83 | 37.35 | 36.01 ab | 36.00 | 36.99 | 38.51 | 37.16 |
| 37.15 | 38.14 | 39.66 | 38.32 | 37.23 | 38.22 | 39.74 | 38.40 | 36.48 | 33.22 | 34.74 | 34.81 | 36.95 | 36.52 | 38.05 | 37.18 | |
| 2nd selenium application date (C) | ||||||||||||||||
| Se0 | 38.51 | 39.50 | 41.03 | 39.68 b | 37.17 | 38.16 | 39.69 | 38.34 b | 36.39 | 37.37 | 38.90 | 37.55 ab | 37.36 | 38.34 | 39.87 | 38.52 |
| SeI | 35.11 | 36.09 | 37.62 | 36.27 ab | 35.79 | 36.77 | 38.30 | 36.95 ab | 38.87 | 39.85 | 41.38 | 40.03 b | 36.59 | 37.57 | 39.10 | 37.75 |
| SeII | 38.05 | 39.04 | 40.57 | 39.22 b | 36.07 | 37.06 | 38.59 | 37.24 ab | 36.83 | 37.81 | 39.34 | 37.99 ab | 36.98 | 37.97 | 39.50 | 38.15 |
| 37.22 | 38.21 | 39.74 | 38.39 | 36.34 | 37.33 | 38.86 | 37.51 | 37.36 | 38.34 | 39.87 | 38.53 | 36.98 | 37.96 | 39.49 | 38.14 | |
| LSD0.05 | A—n.s. B—n.s. C—n.s. A × B—n.s. A × C—3.38 B × C—n.s. A × B × C—7.15 | |||||||||||||||
| Common wheat (Triticum aestivum L.) | ||||||||||||||||
| 1st selenium application date (C) | ||||||||||||||||
| Se0 | 42.50 | 43.49 | 44.23 | 43.41 ab | 40.83 | 41.82 | 42.57 | 41.74 a | 43.39 | 44.38 | 45.13 | 44.30 ab | 42.24 | 43.23 | 43.98 | 43.15 |
| SeI | 43.69 | 44.68 | 45.43 | 44.60 abc | 46.88 | 47.87 | 48.61 | 47.79 c | 45.21 | 46.20 | 46.95 | 46.12 bc | 45.26 | 46.25 | 47.00 | 46.17 |
| SeII | 43.20 | 44.19 | 44.93 | 44.11 ab | 44.17 | 45.16 | 45.91 | 45.08 abc | 43.04 | 44.03 | 44.77 | 43.95 ab | 43.47 | 44.46 | 45.20 | 44.38 |
| 43.13 | 44.12 | 44.86 | 44.04 | 43.96 | 44.95 | 45.70 | 44.87 | 43.88 | 44.87 | 45.62 | 44.79 | 43.66 | 44.65 | 45.39 | 44.57 | |
| 2nd selenium application date (C) | ||||||||||||||||
| Se0 | 42.50 | 43.49 | 44.23 | 43.41 ab | 40.83 | 41.82 | 42.57 | 41.74 a | 43.39 | 44.38 | 45.13 | 44.30 ab | 42.24 | 43.23 | 43.98 | 43.15 |
| SeI | 42.39 | 43.37 | 44.12 | 43.29 ab | 42.77 | 43.75 | 44.50 | 43.67 ab | 43.17 | 44.16 | 44.91 | 44.08 ab | 42.78 | 43.76 | 44.51 | 43.68 |
| SeII | 41.82 | 42.81 | 43.55 | 42.73 ab | 42.89 | 43.88 | 44.63 | 43.80 ab | 42.24 | 43.23 | 43.97 | 43.15 ab | 42.32 | 43.31 | 44.05 | 43.22 |
| 42.24 | 43.22 | 43.97 | 43.14 | 42.16 | 43.15 | 43.90 | 43.07 | 42.93 | 43.92 | 44.67 | 43.84 | 42.44 | 43.43 | 44.18 | 43.35 | |
| LSD0.05 | A—n.s. B—0.95 C—0.65 A × B—2.18 A × C—n.s. B × C—1.63 A × B × C—n.s. | |||||||||||||||
| Selenium Dose (B) | Sulphur Dose (A) | Average | ||||||||||||||
|---|---|---|---|---|---|---|---|---|---|---|---|---|---|---|---|---|
| S0 | SI | SII | ||||||||||||||
| I Year | II Year | III Year | I Year | II Year | III Year | I Year | II Year | III Year | I Year | II Year | III Year | |||||
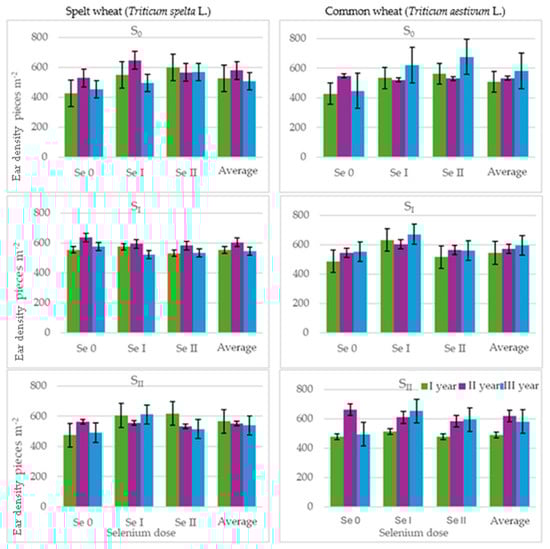
| Spelt wheat (Triticum spelta L.) | ||||||||||||||||
| 1st selenium application date (C) | ||||||||||||||||
| Se0 | 426.67 | 528.00 | 453.33 | 469.33 a | 553.33 | 636.00 | 573.33 | 587.55 b | 473.33 | 561.33 | 489.33 | 508.00 ab | 484.44 | 575.11 | 505.33 | 521.63 |
| SeI | 570.67 | 592.00 | 444.00 | 535.56 ab | 610.67 | 544.00 | 496.00 | 550.22 ab | 585.33 | 544.00 | 594.67 | 574.67 ab | 588.89 | 560.00 | 511.56 | 553.48 |
| SeII | 577.33 | 533.33 | 522.67 | 544.44 ab | 478.67 | 573.33 | 536.00 | 529.33 ab | 605.33 | 466.00 | 486.67 | 519.33 ab | 553.78 | 524.22 | 515.11 | 531.04 |
| 524.89 | 551.11 | 473.33 | 516.44 | 547.56 | 584.44 | 535.11 | 555.70 | 554.66 | 523.78 | 523.56 | 534.00 | 542.37 | 553.11 | 510.67 | 535.38 | |
| 2nd selenium application date (C) | ||||||||||||||||
| Se0 | 426.67 | 528.00 | 453.33 | 469.33 a | 553.33 | 636.00 | 573.33 | 587.55 b | 473.33 | 561.33 | 489.33 | 508.00 ab | 484.44 | 575.11 | 505.33 | 521.63 |
| SeI | 524.00 | 697.33 | 545.33 | 588.89 ab | 536.00 | 644.00 | 549.33 | 576.44 ab | 621.33 | 565.33 | 625.33 | 604.00 b | 560.44 | 635.55 | 573.33 | 589.78 |
| SeII | 618.67 | 594.67 | 614.67 | 609.34 b | 581.33 | 589.33 | 528.00 | 566.22 ab | 628.00 | 597.33 | 541.33 | 588.89 b | 609.33 | 593.78 | 561.33 | 588.15 |
| 523.11 | 606.67 | 537.78 | 555.85 | 556.89 | 623.11 | 550.22 | 576.74 | 574.22 | 574.66 | 552.00 | 566.96 | 551.41 | 601.48 | 546.66 | 566.52 | |
| LSD0.05 | A—n.s. B—31.50 C—21.52 A × B—72.36 A × C—n.s. B × C—n.s. A × B × C—n.s. | |||||||||||||||
| Common wheat (Triticum aestivum L.) | ||||||||||||||||
| 1st selenium application date (C) | ||||||||||||||||
| Se0 | 426.67 | 546.67 | 446.67 | 473.34 a | 485.33 | 542.67 | 553.33 | 527.11 ab | 478.67 | 661.33 | 493.33 | 544.44 ab | 463.56 | 583.56 | 497.78 | 514.96 |
| SeI | 436.00 | 573.33 | 521.33 | 510.22 ab | 596.00 | 670.67 | 616.00 | 627.56 b | 429.33 | 646.67 | 540.00 | 538.67 ab | 487.11 | 630.22 | 559.11 | 558.81 |
| SeII | 504.00 | 544.00 | 698.67 | 582.22 ab | 522.67 | 596.00 | 486.67 | 535.11 ab | 489.33 | 570.67 | 600.00 | 553.33 ab | 505.33 | 570.22 | 595.11 | 556.89 |
| 455.56 | 554.67 | 555.56 | 521.93 | 534.67 | 603.11 | 552.00 | 563.26 | 465.78 | 626.22 | 544.44 | 545.48 | 485.33 | 594.67 | 550.67 | 543.56 | |
| 2nd selenium application date (C) | ||||||||||||||||
| Se0 | 426.67 | 546.67 | 446.67 | 473.34 a | 485.33 | 542.67 | 553.33 | 527.11 ab | 478.67 | 661.33 | 493.33 | 544.44 ab | 463.56 | 583.56 | 497.78 | 514.96 |
| SeI | 629.33 | 465.33 | 718.67 | 604.44 ab | 665.33 | 537.33 | 726.67 | 643.11 b | 592.00 | 570.67 | 764.00 | 642.22 b | 628.89 | 524.44 | 736.45 | 629.93 |
| SeII | 620.00 | 516.00 | 652.00 | 596.00 ab | 508.00 | 530.67 | 629.33 | 556.00 ab | 461.33 | 597.33 | 586.67 | 548.44 ab | 529.78 | 548.00 | 622.67 | 566.81 |
| 558.67 | 509.33 | 605.78 | 557.93 | 552.89 | 536.89 | 636.44 | 575.41 | 510.67 | 609.78 | 614.67 | 578.37 | 540.74 | 552.00 | 618.96 | 570.57 | |
| LSD0.05 | A—n.s. B—40.76 C—n.s. A × B—93.63 A × C—n.s. B × C—n.s. A × B × C—n.s. | |||||||||||||||
Disclaimer/Publisher’s Note: The statements, opinions and data contained in all publications are solely those of the individual author(s) and contributor(s) and not of MDPI and/or the editor(s). MDPI and/or the editor(s) disclaim responsibility for any injury to people or property resulting from any ideas, methods, instructions or products referred to in the content. |
© 2025 by the authors. Licensee MDPI, Basel, Switzerland. This article is an open access article distributed under the terms and conditions of the Creative Commons Attribution (CC BY) license (https://creativecommons.org/licenses/by/4.0/).
Share and Cite
Brodowska, M.S.; Kurzyna-Szklarek, M.; Wyszkowski, M. Sulphur and Selenium as Determinants of Yield and Biometric Parameters in Wheat. Agronomy 2025, 15, 2591. https://doi.org/10.3390/agronomy15112591
Brodowska MS, Kurzyna-Szklarek M, Wyszkowski M. Sulphur and Selenium as Determinants of Yield and Biometric Parameters in Wheat. Agronomy. 2025; 15(11):2591. https://doi.org/10.3390/agronomy15112591
Chicago/Turabian StyleBrodowska, Marzena S., Magdalena Kurzyna-Szklarek, and Mirosław Wyszkowski. 2025. "Sulphur and Selenium as Determinants of Yield and Biometric Parameters in Wheat" Agronomy 15, no. 11: 2591. https://doi.org/10.3390/agronomy15112591
APA StyleBrodowska, M. S., Kurzyna-Szklarek, M., & Wyszkowski, M. (2025). Sulphur and Selenium as Determinants of Yield and Biometric Parameters in Wheat. Agronomy, 15(11), 2591. https://doi.org/10.3390/agronomy15112591

