Study on the Synergistic Regulation Model for Lycium barbarum Berries Under Integrated Irrigation and Fertigation in Northwest Arid Regions
Abstract
1. Introduction
2. Materials and Methods
2.1. Experimental Area Overview
2.2. Experimental Design
2.3. Indicator Measurement
2.3.1. Meteorological Data
2.3.2. Inter-Root Soil Volumetric Water Content of Lycium barbarum
2.3.3. Inter-Root Soil Temperature of Lycium barbarum
2.3.4. Inter-Root Soil Conductivity, Soil Enzyme Activity and Yield of Lycium barbarum
2.4. Water Utilization Efficiency and Irrigation Volume Calculation
- (1)
- The irrigation volume was calculated using the formula:
- (2)
- Water Consumption
- W0—initial time plot water content, mm;
- Wt—t time plot water content, mm;
- I—irrigation water, mm;
- M—effective rainfall;
- K—groundwater recharge, mm, the groundwater depth in the test area is under 25 m soil layer, so the recharge is 0;
- D—deep seepage, mm, the soil moisture content of 50–60 cm soil layer depth in the test area did not reach the level of field water holding capacity, so the seepage is 0;
- R—surface runoff volume, mm, the terrain of the test area is flat, so the runoff volume is 0;
- Pj—the jth rainfall, mm; j—the number of times of rainfall, j = 1~n; aj—the effective utilization coefficient of the jth rainfall, when the second rainfall Pj < 5 mm, aj = 0; when the Pj = 5~50 mm, aj = 1.0; when Pj > 50 mm, aj = 0.8~0.7.
- (3)
- Water Utilization Efficiency (WUE)
- (4)
- Irrigation Water Utilization Efficiency (GUE)
- (5)
- Nitrogen Fertilizer Bias Productivity (PFPn)
- (6)
- Agronomic Efficiency of Nitrogen Fertilizer (NAE)
2.5. Data Analysis
3. Results
3.1. Effect of Water and Nitrogen Regulation on Inter-Root Soil Hydrothermal Salts in Lycium barbarum
3.1.1. Soil Water Content
3.1.2. Soil Temperature
3.1.3. Soil Salinity
3.2. Effect of Water and Nitrogen Synergistic Regulation on Inter-Root Soil Enzyme Activities in Lycium barbarum
3.2.1. Soil Urease Activity
3.2.2. Soil Alkaline Phosphatase Activity
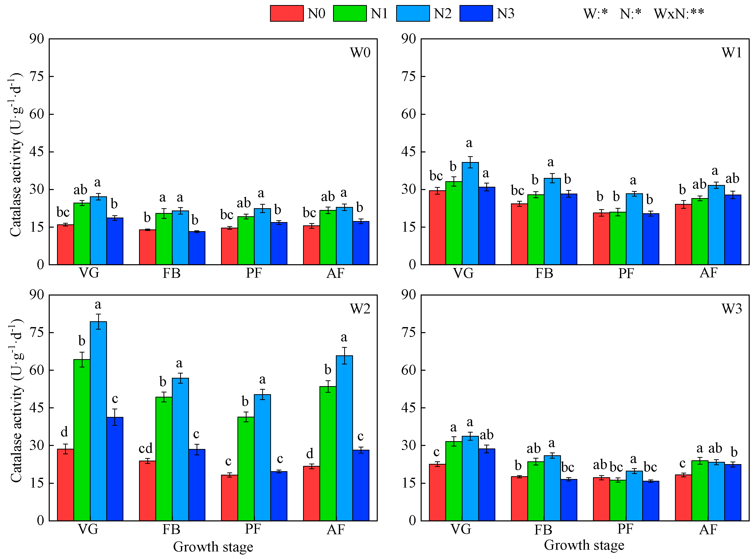
3.2.3. Soil Catalase Activity
3.3. Effects of Water and Nitrogen Co-Regulation on Lycium barbarum Yield and Water and Nitrogen Utilization Efficiency
3.3.1. Lycium barbarum Yield
3.3.2. Water and Nitrogen Utilization Efficiency
3.4. Correlation Analysis and Comprehensive Evaluation
3.4.1. Correlation
3.4.2. Comprehensive Evaluation
4. Discussion
4.1. Effect of Water and Nitrogen Synergistic Regulation on the Inter-Root Soil Hydrothermal Environment in Lycium barbarum
4.2. Effect of Water and Nitrogen Synergistic Regulation on Soil Enzyme Activity in the Inter-Root Area of Lycium barbarum
4.3. Water-Fertilizer Integration Drip Irrigation for Lycium barbarum and Water-Nitrogen Synergistic Regulation Mode
5. Conclusions
Author Contributions
Funding
Data Availability Statement
Acknowledgments
Conflicts of Interest
References
- Shun, B.L. Issues and countermeasures regarding water resources. Hydro-Electr. Technol. 2023, 6, 66–68. [Google Scholar]
- Iordan, N.; Boian, I.; Bulmez, A.; Căldare, I. Potable water: A potential national security issue in the near future. J. Environ. Res. 2024, 42, 250–265. [Google Scholar]
- Chen, C.H.; Wang, Y.; Zhang, H.; Bai, X.G. Evaluation of agricultural water use efficiency, economic development, and ecological environment coupling in the Yellow River Basin. China Rural. Water Hydropower 2024, 6, 114–123. Available online: https://link.cnki.net/urlid/42.1419.TV.20240315.1847.042 (accessed on 27 December 2024).
- 2023 China Water Resources Bulletin released. Water Resour. Dev. Manag. 2024, 10, 2. Available online: https://www.chinawater.com.cn/yw/202406/t20240614_1052624.html (accessed on 27 December 2024).
- Kang, S.Z. Implementing the national water-saving action plan and promoting the water-efficient and green high-efficiency water-saving development of agriculture. China Water Conserv. 2019, 13, 1–6. [Google Scholar]
- Zhang, J.B.; Xiong, H.G.; Li, B.F.; Long, T. Variation law of soil moisture and temperature in arid regions and their inter-relationship. Agric. Res. Arid Areas 2013, 31, 127–133. [Google Scholar]
- Yuan, M. Study on Soil Temperature and Moisture Characteristics in Karst Areas. Master’s Thesis, Yunnan Normal University, Kunming, China, 2015, unpublished. [Google Scholar]
- Ma, F.Y.; Liu, Y.; Cui, J.; Fan, H.; Lu, Y.; Li, M.R. Advances in research on water and fertilizer integration. Xinjiang Agric. Sci. 2019, 56, 183. [Google Scholar]
- Wu, Y.; Yan, S.; Fan, J.; Zhang, F.; Zhao, W.; Zheng, J.; Guo, J.; Xiang, Y.; Wu, L. Combined effects of irrigation level and fertilization practice on yield, economic benefit, and water-nitrogen use efficiency of drip-irrigated greenhouse tomato. Agric. Water Manag. 2022, 262, 107401. [Google Scholar] [CrossRef]
- Liu, H. Research on water and fertilizer management technology during the garlic growing period. Seed Sci. Technol. 2024, 42, 91–93. [Google Scholar]
- Xu, S.R.; Zhang, E.H.; Ma, R.L.; Wang, Q.; Liu, Q.L.; Wu, R. Effects of drought stress and rehydration on the hy-drological characteristics of drought-resistant goji berries. Chin. J. Eco-Agric. 2017, 25, 1190–1197. [Google Scholar]
- Zhang, K. The Longevity Formulas not Passed Down in Traditional Chinese Medicine Families: 300 Health-Maintenance Tips for the Elderly; Gold Wall Press: Beijing, China, 2014. [Google Scholar]
- Jiang, Z.W.; Yue, H.W.; Chen, J.; Liu, H. Effects of different water control treatments on the growth and water-use efficiency of goji berries. J. Anhui Agric. Sci. 2023, 51, 213. [Google Scholar]
- Yin, J.; Ma, Z.; Yang, Y.; Du, B.; Sun, F.; Yang, Z. Water and nitrogen coupling regulation on the balance of soil nutrients–microbial biomass and its effect on the yield of wolfberry (Lycium barbarum L.). Plants 2023, 12, 2768. [Google Scholar] [CrossRef]
- Li, H.Q.; Yao, R.J.; Yang, J.S.; Wang, X.P.; Zheng, F.L.; Chen, Q.; Zhang, X. Mechanisms of salinization effects on nitrogen transformation in farmland soils and methods for efficiency enhancement. Yingyong Shengtai Xuebao 2020, 31, 3915–3924. [Google Scholar]
- Tian, R.; Qi, G.; Kang, Y.; Jia, Q.; Wang, J.; Xiao, F.; Gao, Y.; Wang, C.; Lu, Q.; Chen, Q. Effects of irrigation and nitrogen application on soil water and nitrogen distribution and water-nitrogen utilization in wolfberry in the Yellow River Irrigation Region of Gansu Province, China. Front. Plant Sci. 2023, 14, 1309219. [Google Scholar] [CrossRef] [PubMed]
- Gao, Y.; Qi, G.; Ma, Y.; Yin, M.; Wang, J.; Wang, C.; Tian, R.; Xiao, F.; Lu, Q.; Wang, J. Regulation effects of water and nitrogen on yield, water, and nitrogen use efficiency of wolfberry. J. Arid Land 2024, 16, 29–45. [Google Scholar] [CrossRef]
- Gao, Y.; Wang, J.; Ma, Y.; Yin, M.; Jia, Q.; Tian, R.; Kang, Y.; Qi, G.; Wang, C.; Jiang, Y. Appropriate water and nitrogen regulation improves the production of wolfberry (Lycium barbar L.). Agronomy 2024, 14, 607. [Google Scholar] [CrossRef]
- Saltveit, M.E. Effect of ethylene on the quality of fresh fruits and vegetables. Postharvest Biol. Technol. 1999, 15, 279–292. [Google Scholar] [CrossRef]
- Tang, Z.X. Effects of irrigation and nitrogen regulation on nutrient enrichment of Bromus inermis in Hexi Corridor. Master’s Thesis, Gansu Agricultural University, Lanzhou, China, 2022. [Google Scholar] [CrossRef]
- Li, X.M.; Qi, G.P.; Kang, Y.X.; Wang, J.H.; Cai, L.H.; Zhao, M. Lycium barbarum intercropping with Onobrychis viciaefolia on soil water, soil salt transport, and yield of L. barbarum in different salinized soils. Bull. Soil Water Conserv. 2020, 40, 51–57. [Google Scholar]
- Gao, Z.D. Effects of different irrigation quotas on soil thermal-hydrological environment and crop growth characteristics. Rural. Pract. Technol. 2023, 8, 79–80. [Google Scholar]
- Gao, J.H.; Li, C.; Zhao, M.S.; Feng, X.P.; Kong, J.L.; Xue, H.L.; Meng, X.K.; Kang, H.M. Effects of water-nitrogen interaction on the growth, photosynthetic characteristics, and yield of industrial hemp. Trop. Crops 2021, 42, 2324–2333. [Google Scholar]
- Lü, M.F.; Ma, X.C.; Cai, T.; Jia, Z.K. Effects of biochar application on soil thermal-hydrological environment and soil res-piration in winter wheat fields. J. Arid Land Agric. Res. 2022, 40, 197–206. [Google Scholar]
- Xia, Z.Q.; Lu, H.D. Research progress on the regulation of soil temperature on root-zone environment and maize root-shoot growth. Corn Sci. 2020, 28, 99–104. [Google Scholar]
- Zhang, J.; Liu, H.G.; He, X.L.; Liu, B.; Ye, J.W.; Gong, P. Effects of drip irrigation on field relative humidity, soil temperature, and yield in dwarf jujube orchards under high-density planting. Irrig. Drain. J. 2016, 35, 78–84. [Google Scholar]
- Geng, J.B.; Yang, X.Y.; Nie, S.J.; Zhang, J.Y.; He, Y.; Yang, H.C.; Gao, X. Research progress on the application of controlled-release nitrogen fertilizers in wheat-maize rotation systems in China. Soil Bull. 2021, 52, 722–727. [Google Scholar]
- He, R.; Tong, C.F.; Wang, J.; Qin, Z.Y.; Zhen, Z.X.; Guo, S.H.; Wang, H.; Li, X.L. Effects of water-nitrogen regulation on sunflower growth, water-fertilizer use efficiency, and soil water-salt distribution. Irrig. Drain. J. 2023, 42, 73–81. [Google Scholar]
- Li, J.R.; Xie, J.H.; Li, L.L.; Wang, L.L.; Zhou, Y.J.; Wang, J.B.; Chen, Q. Effects of tillage measures and nitrogen application levels on dryland maize yield and soil water-nitrogen utilization efficiency. Northwest Agric. J. 2021, 30, 1000–1009. [Google Scholar]
- Gao, H.B.; Shao, M.A. Effects of temperature on basic parameters of soil water movement. Adv. Water Sci. 2011, 22, 484–494. [Google Scholar]
- Li, Y.H.; Zhang, X.Q.; Lu, Z.Y.; Cheng, Y.C.; Zhang, D.J.; Liu, Z.Y.; Li, F. Effects of different tillage practices on soil enzyme activity in oilseed rape fields in the northern agro-pastoral zone. North. Agric. J. 2019, 47, 33–39. [Google Scholar]
- Dick, W.A.; Cheng, L.; Wang, P. Soil acid and alkaline phosphatase activity as pH adjustment indicators. Soil Biol. Biochem. 2000, 32, 1915–1919. [Google Scholar] [CrossRef]
- Guo, T.C.; Song, X.; Ma, D.Y.; Zha, F.N.; Yue, Y.J.; Zhang, Y.; Li, Y.Z. Effects of nitrogen nutrition levels on root-zone microorganisms and soil enzyme activity in wheat. Soil Water Conserv. J. 2006, 3, 129–131. [Google Scholar]
- Zhang, H.J. Effects of Water-Nitrogen Regulation on the Growth and Soil Microenvironment of Wolfberry Under Trellis Drip Irrigation. Doctoral Dissertation, Ningxia University, Yinchuan, China, 2021, unpublished. [Google Scholar]
- Li, S.Y.; Sun, Y.L.; Zhao, J.W.; Zhao, J.W.; Liu, X.S.; Zhao, J.T.; Ma, C.H.; Zhang, Q.B. Effects of nitrogen application on microbial population, enzyme activity, and hay yield in the rhizosphere soil of alfalfa. Chin. Grassl. J. 2022, 44, 113–120. [Google Scholar]
- Elsoury, H.A.; Shouman, A.E.; Abdelrazek, S.; Elkony, H.M. Soil enzymes and microbial activity as influenced by tillage and fertilization in wheat production. Egypt. J. Soil Sci. 2015, 55, 53–65. [Google Scholar] [CrossRef][Green Version]
- Mooshammer, M.; Wanek, W.; Hämmerle, I.; Fuchslueger, L.; Hofhansl, F.; Knoltsch, A.; Schnecker, J.; Takriti, M.; Watzka, M.; Wild, B.; et al. Adjustment of microbial nitrogen use efficiency to carbon:nitrogen imbalances regulates soil nitrogen cycling. Nat. Commun. 2014, 5, 3694. [Google Scholar] [CrossRef] [PubMed]
- Zhang, J.; Ai, Z.; Liang, C.; Wang, G.; Xue, S. Response of soil microbial communities and nitrogen thresholds of Bothriochloa is-chaemum to short-term nitrogen addition on the Loess Plateau. Geoderma 2017, 308, 112–119. [Google Scholar] [CrossRef]
- Ma, X.X.; Wang, L.L.; Li, Q.H.; Li, H.; Zhang, S.L.; Sun, B.H.; Yang, X.Y. Effects of long-term fertilization on soil microbial biomass carbon and nitrogen and enzyme activities during the maize growth period. Acta Ecol. Sin. 2012, 32, 5502–5511. [Google Scholar]
- Guo, T.C.; Song, X.; Ma, D.Y.; Wang, Y.H.; Xie, Y.X.; Yue, Y.J.; Zha, F.N. Effects of nitrogen application rates on enzyme activity in the rhizosphere soil of winter wheat. Appl. Ecol. J. 2008, 1, 110–114. [Google Scholar]
- Tian, L.; Shi, W. Soil peroxidase regulates organic matter decomposition through improving the accessibility of reducing sugars and amino acids. Biol. Fertil. Soils 2014, 50, 785–794. [Google Scholar] [CrossRef]
- Ma, S.; Huo, K.; Zhang, D.; Zhang, J.; Zhang, J.H.; Chai, X.R.; Wang, H.Z. Effects of maize straw return combined with nitrogen on soil enzyme activity and nitrogen fertilizer use efficiency in western dryland wheat fields of Henan Province. Acta Prataculturae Sin. 2023, 32, 120–133. [Google Scholar]
- Jin, C.; Li, H.; Qu, G.; Wu, F.H.; Liu, X.X.; Liu, Y.; Kunag, L.R.; Cheng, Y.H.; Chen, X.P.; Li, J.Y.; et al. Developments in the research of soil microbial metabolic patterns and their environmental impacts. Environ. Chem. 2023, 42, 3188–3198. [Google Scholar]
- Zhang, J.; Li, G.; Yuan, J.Y.; Yan, L.J.; Wei, X.X.; Liu, S.N. Effects of water-nitrogen regulation on soil and leaf nutrient content in rainfed spring wheat. Arid Zone Res. 2021, 38, 89–98. [Google Scholar]
- Liu, P.Z.; Li, M.H.; Song, Y.C.; Yang, D.; Gao, X.D.; Ren, X.L.; Chen, X.L. Effects of drip irrigation and water-fertilizer integration on goji berry yield, water-nitrogen utilization, and economic benefits. J. Plant Nutr. Fertil. 2021, 27, 1820–1828. [Google Scholar]
- Ma, Z.; Yin, J.; Yang, Y.; Sun, F.; Yang, Z. Effect of water and nitrogen coupling regulation on the growth, physiology, yield, and quality attributes and comprehensive evaluation of wolfberry (Lycium barbarum L.). Front. Plant Sci. 2023, 14, 1130109. [Google Scholar] [CrossRef]
- Singh, G.; Lal, K. Bio-drainage for management of waterlogging and soil salinity. Agric. Water Manag. 2014, 145, 23–32. [Google Scholar] [CrossRef]
- Liang, X.; An, W.; Li, Y.; Wang, Y.; Su, S. Effects of different nitrogen application rates on root growth and distribution of fine root length across diameter classes of wolfberry (Lycium barbarum L.). Forests 2023, 14, 2317. [Google Scholar] [CrossRef]
- Wang, C.; Qi, G.; Ma, Y.; Yin, M.; Wang, J.; Kang, Y.; Jia, Q.; Gao, Y.; Tian, R.; Zhang, R. Effects of water and nitrogen control on the growth physiology, yields, and economic benefits of Lycium barbarum plants in a Lycium barbarum + alfalfa system. Plants 2024, 13, 1095. [Google Scholar] [CrossRef] [PubMed]
- Zhou, Y.; Gao, X.; Wang, J.; Robinson, B.H.; Zhao, X. Water-use patterns of Chinese wolfberry (Lycium barbar L. ) Tibet. Plateau. Agric. Water Manag. 2021, 255, 107010. [Google Scholar] [CrossRef]
- Hao, T.; Zhu, Q.; Zeng, M.; Shen, J.; Shi, X.; Liu, X.; Zhang, F.; de Vries, W. Impacts of nitrogen fertilizer type and application rate on soil acidification rate under a wheat-maize double cropping system. J. Environ. Manag. 2020, 270, 110888. [Google Scholar] [CrossRef]
- Song, Y.; Chen, X.; Ren, X.; Gao, X. Effects of deficit irrigation and reduced nitrogen fertilization on the growth and yield of wolfberry. Northwest Agric. J. 2019, 28, 1666–1673. [Google Scholar]
- He, J. Study on the Coupled Effects of Drip Irrigation and Fertilization on Grape Production in Extremely Arid Regions. Master’s Thesis, Shihezi University, Shihezi, China, 2013. [Google Scholar]








| Treatment | Water Regulation (%) | Nitrogen Application Level (kg·hm−2) | ||
|---|---|---|---|---|
| W0N0 | Severe water deficit (45~55% θFC) | (W0) | No Nitrogen (0) | N0 |
| W0N1 | Low Nitrogen (150) | N1 | ||
| W0N2 | Medium Nitrogen (300) | N2 | ||
| W0N3 | High Nitrogen (450) | N3 | ||
| W1N0 | Moderate water deficit (55~65% θFC) | (W1) | No Nitrogen (0) | N0 |
| W1N1 | Low Nitrogen (150) | N1 | ||
| W1N2 | Medium Nitrogen (300) | N2 | ||
| W1N3 | High Nitrogen (450) | N3 | ||
| W2N0 | Mild water deficit (65~75% θFC) | (W2) | No Nitrogen (0) | N0 |
| W2N1 | Low Nitrogen (150) | N1 | ||
| W2N2 | Medium Nitrogen (300) | N2 | ||
| W2N3 | High Nitrogen (450) | N3 | ||
| W3N0 | Fully irrigated (75~85% θFC) | (W3) | No Nitrogen (0) | N0 |
| W3N1 | Low Nitrogen (150) | N1 | ||
| W3N2 | Medium Nitrogen (300) | N2 | ||
| W3N3 | High Nitrogen (450) | N3 | ||
| Treatment | Water Use Efficiency (kg·m−3) | Irrigation Water Utilization Efficiency (kg·m−3) | Nitrogen Fertilizer Biased Productivity (kg·kg−1) | Nitrogen Fertilizer Agronomic Efficiency (kg·kg−1) |
|---|---|---|---|---|
| W0N0 | 4.58 | 6 | 0 | 0 |
| W0N1 | 4.99 | 6.83 | 9.69 | 0.3 |
| W0N2 | 4.79 | 6.14 | 5.18 | 0.48 |
| W0N3 | 4.65 | 6.09 | 3.77 | 0.64 |
| W1N0 | 5.63 | 8.19 | 0 | 0 |
| W1N1 | 6.69 | 9.1 | 12.51 | 0.84 |
| W1N2 | 7.45 | 9.22 | 7.57 | 1.74 |
| W1N3 | 6.58 | 8.84 | 4.79 | 0.9 |
| W2N0 | 6.18 | 8.21 | 0 | 0 |
| W2N1 | 6.86 | 9.02 | 14.72 | 1.97 |
| W2N2 | 7.42 | 8.94 | 9.01 | 2.63 |
| W2N3 | 6.7 | 7.06 | 5.39 | 1.14 |
| W3N0 | 5.51 | 7 | 0 | 0 |
| W3N1 | 6.62 | 7.58 | 14.06 | 1.86 |
| W3N2 | 6.8 | 7.85 | 8.47 | 2.36 |
| W3N3 | 5.41 | 7.26 | 5.09 | 1.02 |
Disclaimer/Publisher’s Note: The statements, opinions and data contained in all publications are solely those of the individual author(s) and contributor(s) and not of MDPI and/or the editor(s). MDPI and/or the editor(s) disclaim responsibility for any injury to people or property resulting from any ideas, methods, instructions or products referred to in the content. |
© 2024 by the authors. Licensee MDPI, Basel, Switzerland. This article is an open access article distributed under the terms and conditions of the Creative Commons Attribution (CC BY) license (https://creativecommons.org/licenses/by/4.0/).
Share and Cite
Ma, Y.; Lv, H.; Wang, Y.; Wang, Y.; Yin, M.; Kang, Y.; Qi, G.; Zhang, R.; Wang, J.; Chen, J. Study on the Synergistic Regulation Model for Lycium barbarum Berries Under Integrated Irrigation and Fertigation in Northwest Arid Regions. Agronomy 2025, 15, 73. https://doi.org/10.3390/agronomy15010073
Ma Y, Lv H, Wang Y, Wang Y, Yin M, Kang Y, Qi G, Zhang R, Wang J, Chen J. Study on the Synergistic Regulation Model for Lycium barbarum Berries Under Integrated Irrigation and Fertigation in Northwest Arid Regions. Agronomy. 2025; 15(1):73. https://doi.org/10.3390/agronomy15010073
Chicago/Turabian StyleMa, Yanlin, Huile Lv, Yanbiao Wang, Yayu Wang, Minhua Yin, Yanxia Kang, Guangping Qi, Rong Zhang, Jinwen Wang, and Junxian Chen. 2025. "Study on the Synergistic Regulation Model for Lycium barbarum Berries Under Integrated Irrigation and Fertigation in Northwest Arid Regions" Agronomy 15, no. 1: 73. https://doi.org/10.3390/agronomy15010073
APA StyleMa, Y., Lv, H., Wang, Y., Wang, Y., Yin, M., Kang, Y., Qi, G., Zhang, R., Wang, J., & Chen, J. (2025). Study on the Synergistic Regulation Model for Lycium barbarum Berries Under Integrated Irrigation and Fertigation in Northwest Arid Regions. Agronomy, 15(1), 73. https://doi.org/10.3390/agronomy15010073

