Soil Organic Matter and Bulk Density: Driving Factors in the Vegetation-Mediated Restoration of Coastal Saline Lands in North China
Abstract
1. Introduction
2. Materials and Methods
2.1. Experimental Site
2.2. Plot Sampling
2.3. Sample Measurement
2.4. Data Analysis
3. Results
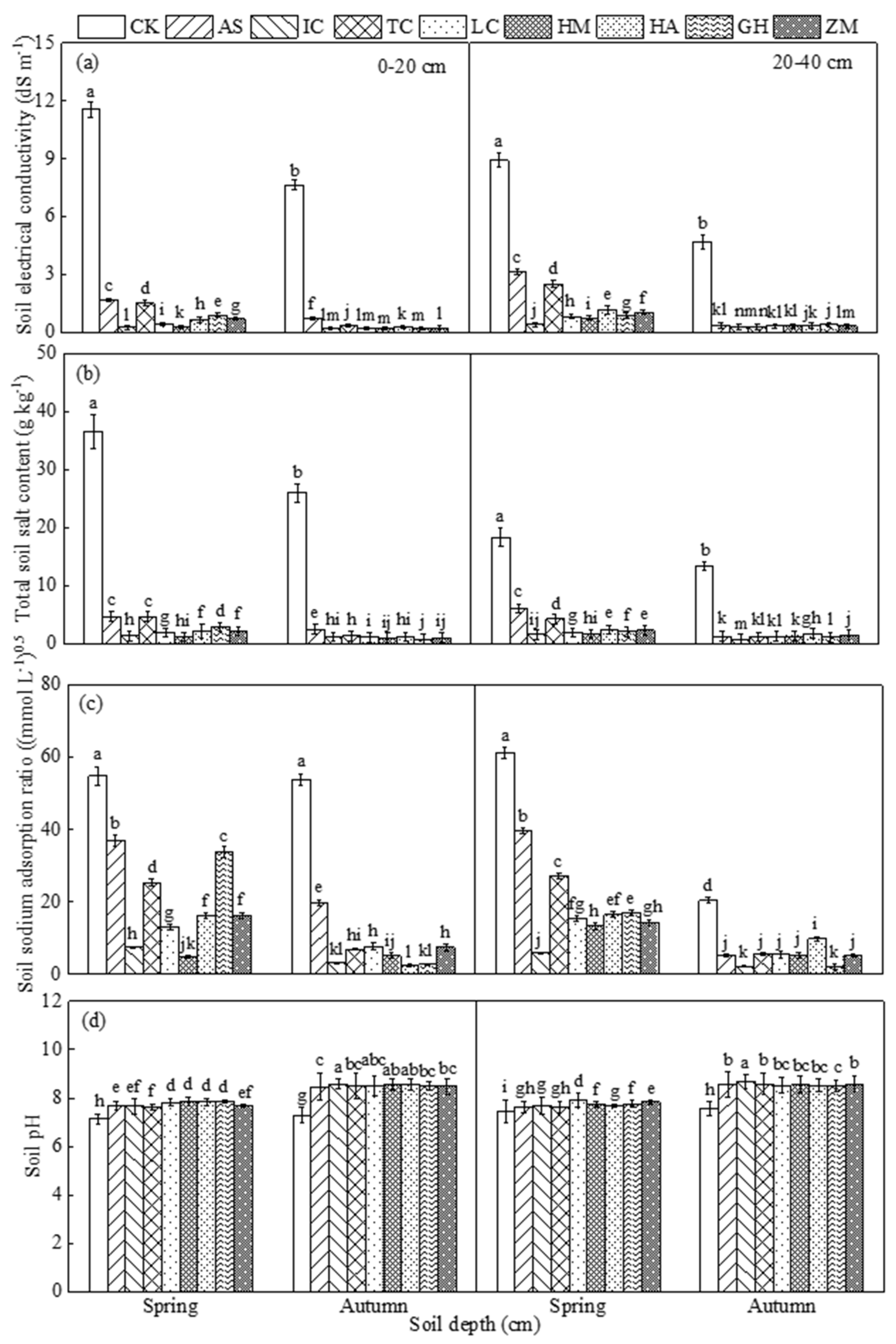
3.1. Changes in Soil Salinization Indicators Due to Vegetation
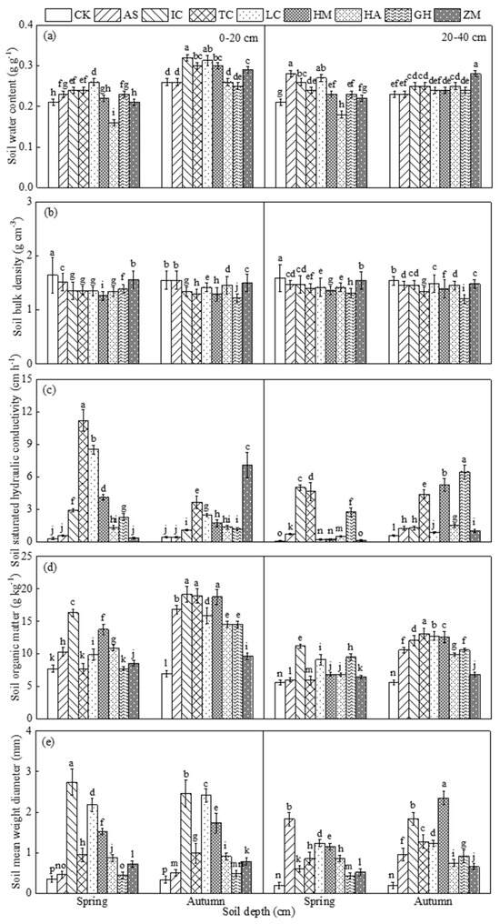
3.2. Changes in Soil Fertility Indicators Due to Vegetation
3.3. The Interrelationship between Soil Salinization and Soil Fertility Indicators
3.4. Quantification of the Comprehensive Influence of Soil Fertility Indicators on Soil Salinization
4. Discussion
4.1. Soil Restoration Functions of Various Vegetation Patterns in Coastal Saline Land
4.2. Changes in Soil Physical–Chemical Properties Induced Salt Leaching
5. Conclusions
Author Contributions
Funding
Data Availability Statement
Acknowledgments
Conflicts of Interest
References
- Zhao, W.; Wang, S.; Liu, L.; Xiao, J.; Wang, S.; Tang, L.; Chen, G. Effect of Biochar Amendment on Saline-alkaline Soil Amelioration and Plant Growth: A Literature Review. Chin. J. Soil Sci. 2024, 55, 551–561. [Google Scholar]
- Yu, P.J.; Liu, S.W.; Yang, H.T.; Fan, G.H.; Zhou, D.W. Short-term land use conversions influence the profile distribution of soil salinity and sodicity in northeastern China. Ecol. Indic. 2018, 88, 79–87. [Google Scholar] [CrossRef]
- Wang, S.; Feng, H.; Wang, K.; Gao, Z.; Hu, S. Advances of soil microbial ecological characteristics in saline-alkali soil. Chin. J. Soil Sci. 2019, 50, 233–239. [Google Scholar] [CrossRef]
- Baloch, M.Y.J.; Zhang, W.J.; Sultana, T.; Akram, M.; Shoumik, B.A.; Khan, M.Z.; Farooq, M.A. Utilization of sewage sludge to manage saline-alkali soil and increase crop production: Is it safe or not? Environ. Technol. Innov. 2023, 32, 103266. [Google Scholar] [CrossRef]
- Long, X.H.; Liu, L.P.; Shao, T.Y.; Shao, H.B.; Liu, Z.P. Developing and sustainably utilize the coastal mudflat areas in China. Sci. Total Environ. 2016, 569, 1077–1086. [Google Scholar] [CrossRef]
- Rose, D.A.; Konukcu, F.; Gowing, J.W. Effect of watertable depth on evaporation and salt accumulation from saline groundwater. Aust. J. Soil Res. 2005, 43, 565–573. [Google Scholar] [CrossRef]
- Skrzypek, G.; Dogramaci, S.; Rouillard, A.; Grierson, P.F. Groundwater seepage controls salinity in a hydrologically terminal basin of semi-arid northwest Australia. J. Hydrol. 2016, 542, 627–636. [Google Scholar] [CrossRef]
- Tanaka, N. Vegetation bioshields for tsunami mitigation: Review of effectiveness, limitations, construction, and sustainable management. Landsc. Ecol. Eng. 2009, 5, 71–79. [Google Scholar] [CrossRef]
- Veettil, B.K.; Wickramasinghe, D.; Amarakoon, V. Mangrove forests in Sri Lanka: An updated review on distribution, diversity, current state of research and future perspectives. Reg. Stud. Mar. Sci. 2023, 62, 102932. [Google Scholar] [CrossRef]
- Wang, G.; Jia, J.; Zhang, J. Plant soil feedback theory and its applications and prospects in natural and agricultural ecosystems. Acta Ecol. Sin. 2021, 41, 9130–9143. [Google Scholar] [CrossRef]
- Li, Z.K.; Li, X.Y.; Zhou, S.; Yang, X.F.; Fu, Y.S.; Miao, C.Y.; Wang, S.; Zhang, G.H.; Wu, X.C.; Yang, C.; et al. A comprehensive review on coupled processes and mechanisms of soil-vegetation-hydrology, and recent research advances. Sci. China-Earth Sci. 2022, 65, 2083–2114. [Google Scholar] [CrossRef]
- Yacine, Y.; Kutáková, E.; Zandt, D.I.; Hadincová, V.; Semerád, J.; Cajthaml, T.; Münzbergová, Z. Between- versus within-species variation in plant-soil feedback relates to different functional traits, but exudate variability is involved at both scales. Funct. Ecol. 2024, 38, 1156–1171. [Google Scholar] [CrossRef]
- Li, J.S.; Hussain, T.; Feng, X.H.; Guo, K.; Chen, H.Y.; Yang, C.; Liu, X.J. Comparative study on the resistance of Suaeda glauca and Suaeda salsa to drought, salt, and alkali stresses. Ecol. Eng. 2019, 140, 105593. [Google Scholar] [CrossRef]
- Bagstad, K.J.; Lite, S.J.; Stromberg, J.C. Vegetation, soils, and hydrogeomorphology of riparian patch types of a dryland river. West. N. Am. Nat. 2006, 66, 23–44. [Google Scholar] [CrossRef]
- Butterfield, B.J.; Briggs, J.M. Patch dynamics of soil biotic feedbacks in the Sonoran Desert. J. Arid Environ. 2009, 73, 96–102. [Google Scholar] [CrossRef]
- Liu, S.L.; Hou, X.Y.; Yang, M.; Cheng, F.Y.; Coxixo, A.; Wu, X.; Zhang, Y.Q. Factors driving the relationships between vegetation and soil properties in the Yellow River Delta, China. Catena 2018, 165, 279–285. [Google Scholar] [CrossRef]
- Lyu, D.; Liu, Q.M.; Xie, T.; Yang, Y.H. Impacts of Different Types of Vegetation Restoration on the Physicochemical Properties of Sandy Soil. Forests 2023, 14, 1740. [Google Scholar] [CrossRef]
- Li, P.; Zhang, X.; Hao, M.; Cui, Y.; Zhang, Y.; Zhu, S. Effects of Vegetation Restoration on Soil Physicochemical Properties, Enzyme Activities, and Fungal Community of Reconstructed Soil in a Mining Area on Loess Plateau. Bull. Soil Water Conserv. 2019, 39, 1–7. [Google Scholar] [CrossRef]
- Wang, A.N.; Zhang, Y.F.; Wang, G.L.; Zhang, Z.Q. Soil physicochemical properties and microorganisms jointly regulate the variations of soil carbon and nitrogen cycles along vegetation restoration on the Loess Plateau, China. Plant Soil 2024, 494, 413–436. [Google Scholar] [CrossRef]
- Xia, J.B.; Ren, J.Y.; Zhang, S.Y.; Wang, Y.H.; Fang, Y. Forest and grass composite patterns improve the soil quality in the coastal saline-alkali land of the Yellow River Delta, China. Geoderma 2019, 349, 25–35. [Google Scholar] [CrossRef]
- Chi, Y.; Sun, J.K.; Liu, W.Q.; Wang, J.; Zhao, M.W. Mapping coastal wetland soil salinity in different seasons using an improved comprehensive land surface factor system. Ecol. Indic. 2019, 107, 13. [Google Scholar] [CrossRef]
- Song, Y.; Gao, M.X.; Wang, Z.R.; Gong, T.F.; Chen, W.F. Spatio-Temporal Variability Characteristics of Coastal Soil Salinization and Its Driving Factors Detection. Water 2022, 14, 3326. [Google Scholar] [CrossRef]
- Ju, Z.Q.; Du, Z.L.; Guo, K.; Liu, X.J. Irrigation with freezing saline water for 6years alters salt ion distribution within soil aggregates. J. Soils Sediments 2019, 19, 97–105. [Google Scholar] [CrossRef]
- Dong, X.J.; Sun, H.Y.; Wang, J.T.; Liu, X.J.; Singh, B.P. Wheat-derived soil organic carbon accumulates more than its maize counterpart in a wheat–maize cropping system after 21 years. Eur. J. Soil Sci. 2019, 71, 695–705. [Google Scholar] [CrossRef]
- Kemper, W.D.; Chepil, W.S. Size distribution of aggregation. In Methods of Soil Analysis; Black, C.A., Ed.; American Society of Agronomy: Madison, WI, USA, 1965; pp. 499–510. [Google Scholar]
- Kemper, W.D.; Rosenau, R.C. Aggregate stability and size distribution. In Methods of Soil Analysis: Part I-Physical and Mineralogical Methods, 2nd ed.; Klute, A., Ed.; American Society of Agronomy and Soil Science: Madison, WI, USA, 1986; pp. 425–442. [Google Scholar]
- Guo, K.; Liu, X.J. Dynamics of meltwater quality and quantity during saline ice melting and its effects on the infiltration and desalinization of coastal saline soils. Agric. Water Manag. 2014, 139, 1–6. [Google Scholar] [CrossRef]
- Lao, J.S. Handbook of Soil and Agricultural Chemistry Analysis; Agricultural Press: Beijing, China, 1988. [Google Scholar]
- Suarez, D.L.; Wood, J.D.; Lesch, S.M. Effect of SAR on water infiltration under a sequential rain-irrigation management system. Agric. Water Manag. 2006, 86, 150–164. [Google Scholar] [CrossRef]
- Tao, Y.; Yu, K.; He, P.; Sun, B.; Li, C.; Zhao, M.; Fang, S. Distribution of scirpus mariqueter on nanhui coasts after reclamation and the associated affecting factors. Resour. Environ. Yangtze Basin 2017, 26, 1032–1041. [Google Scholar] [CrossRef]
- Chernov, T.I.; Tkhakakhova, A.K.; Lebedeva, M.P.; Zhelezova, A.D.; Bgazhba, N.A.; Kutovaya, O.V. Microbiomes of the Soils of Solonetzic Complex with Contrasting Salinization on the Volga-Ural Interfluve. Eurasian Soil Sci. 2018, 51, 1057–1066. [Google Scholar] [CrossRef]
- Tirgan, S.; Naqinezhad, A.; Moradi, H.; Kazemi, Z.; Vasefi, N.; Fenu, G. Caspian remnant coastal dunes: How do natural and anthropogenic factors impact on plant diversity and vegetation? Plant Biosyst. 2022, 156, 1456–1469. [Google Scholar] [CrossRef]
- Sobhani, B.; Abad, B.; Motlagh, O.M.K. Identification of Vegetation Coverage Seasons in Iran Using Enhanced Vegetation Index (EVI). Appl. Ecol. Environ. Res. 2018, 16, 3861–3872. [Google Scholar] [CrossRef]
- Su, Y.T.; Wang, D.C.; Zhao, S.; Shi, J.C.; Shi, Y.Q.; Wei, D.Y. Examining long-term natural vegetation dynamics in the Aral Sea Basin applying the linear spectral mixture model. PeerJ 2021, 9, e10747. [Google Scholar] [CrossRef] [PubMed]
- Nezlin, N.P.; Kostianoy, A.G.; Li, B.L. Inter-annual variability and interaction of remote-sensed vegetation index and atmospheric precipitation in the Aral Sea region. J. Arid Environ. 2005, 62, 677–700. [Google Scholar] [CrossRef]
- Qiao, B.; He, T.; Wu, C.; Su, Z. Spatial characteristics of soil physicochemical properties on ditch slope in the Yinchuan Plain. Agric. Res. Arid. Areas 2018, 36, 43. [Google Scholar] [CrossRef]
- Wang, J.; Wang, M.; Liu, G.; Chu, G.; Wu, Y.; Zhang, F. Analysis of the Typical Halophytic Vegetation Resistance and Restoration Process in Abandoned Salinized Field. Xinjiang Agric. Sci. 2015, 52, 129–136. [Google Scholar]
- Mei, X.M.; Ma, L.; Zhu, Q.K.; Wang, S.; Zhang, D.; Wang, Y. Responses of soil moisture to vegetation restoration type and slope length on the loess hillslope. J. Mt. Sci. 2018, 15, 548–562. [Google Scholar] [CrossRef]
- Wang, D.; Zou, W.; Yang, H.; Li, Y.; Liu, J.; Tian, F.; Li, X.; Yuan, L. Spatial pattern of soil carbon storage in salt marsh wetlands around the Chongming Island in the Yangtze River Estuary. Acta Ecol. Sin. 2023, 43, 8465–8475. [Google Scholar] [CrossRef]
- Li, Y.; Wang, Z.; Wang, B.; Zhang, B.; Zhang, N. Differences in Soil Physical Properties of Typical Vegetation in Loess Hilly Region and Effects on Water Conductivity. J. Soil Water Conserv. 2019, 33, 176. [Google Scholar] [CrossRef]
- Yang, C.; Chen, H.Y.; Feng, X.H.; Zheng, C.Y.; Liu, X.J.; Zhu, F. Soil Physicochemical Properties and Salt Leaching Associated with Typical Plant Communities in Coastal Saline Land. J. Soil Sci. Plant Nutr. 2023, 10, 5542–5551. [Google Scholar] [CrossRef]
- Cui, B.S.; Yang, Q.C.; Yang, Z.F.; Zhang, K.J. Evaluating the ecological performance of wetland restoration in the Yellow River Delta, China. Ecol. Eng. 2009, 35, 1090–1103. [Google Scholar] [CrossRef]
- Luo, S.S.; Tian, L.; Chang, C.L.; Wang, S.J.; Zhang, J.F.; Zhou, X.; Li, X.J.; Tran, L.S.P.; Tian, C.J. Grass and maize vegetation systems restore saline-sodic soils in the Songnen Plain of northeast China. Land Degrad. Dev. 2018, 29, 1107–1119. [Google Scholar] [CrossRef]
- Cheng, T.L.; Wang, X.P. Shrub-soil interaction and its feedbacks to vegetation patterns in Alxa plateau in NW China. Plant Soil 2023, 485, 349–360. [Google Scholar] [CrossRef]
- Kim, G.; Ahn, J.; Chang, H.N.; An, J.E.; Khamzina, A.; Kim, G.; Son, Y. Effect of vegetation introduction versus natural recovery on topsoil properties in the dried Aral Sea bed. Land Degrad. Dev. 2024, 35, 4121–4132. [Google Scholar] [CrossRef]
- Endo, T.; Sadahiro, Y.; Haruta, T.; Kitamura, Y.; Li, Z.B.; Li, P.; Honna, T. Soil Salinization Related to Soil Morphological and Physicochemical Characteristics in the Luohui Irrigation Scheme, China. Arid Land Res. Manag. 2012, 26, 122–136. [Google Scholar] [CrossRef]
- Liu, Q.S.; Liu, G.H.; Huang, C.; Li, H. Soil physicochemical properties associated with quasi-circular vegetation patches in the Yellow River Delta, China. Geoderma 2019, 337, 202–214. [Google Scholar] [CrossRef]
- Zhang, J.; Wang, L.; Xie, J.; Zhao, T.; Cao, J. Distribution and influencing factors of soil organic carbon in Dunhuang Yangguan wetland. Chin. J. Ecol. 2017, 36, 2455–2464. [Google Scholar] [CrossRef]
- Chenchouni, H. Edaphic factors controlling the distribution of inland halophytes in an ephemeral salt lake “Sabkha ecosystem” at North African semi-arid lands. Sci. Total Environ. 2017, 575, 660–671. [Google Scholar] [CrossRef] [PubMed]
- Zhang, X.; Jia, K.; Wei, H.; Li, X. Spatial differentiation and influencing factors of soil salinity in Yinchuan Plain based on MGWR model. Journal of Yunnan University. Nat. Sci. 2023, 45, 949–960. [Google Scholar] [CrossRef]
- Xie, W.; Zhang, Y.; Zhang, M.; Li, R.; Wu, L.; Ouyang, Z. Relationships between soil physicochemical propertiesand wheat production in coastal saline soil. Acta Pedol. Sin. 2015, 52, 461–466. [Google Scholar] [CrossRef]
- Dong, Z.; Zhao, Y.; Lei, J.; Xi, Y. Distribution pattern and influencing factors of soil salinity at Tamarix cones in the Taklimakan Desert. Chin. J. Plant Ecol. 2018, 42, 873–884. [Google Scholar] [CrossRef]
- Xie, X.F.; Pu, L.J.; Zhu, M.; Xu, Y.; Wang, X.H. Linkage between soil salinization indicators and physicochemical properties in a long-term intensive agricultural coastal reclamation area, Eastern China. J. Soils Sediments 2019, 19, 3699–3707. [Google Scholar] [CrossRef]
- Elmeknassi, M.; Elghali, A.; de Carvalho, H.W.P.; Laamrani, A.; Benzaazoua, M. A review of organic and inorganic amendments to treat saline-sodic soils: Emphasis on waste valorization for a circular economy approach. Sci. Total Environ. 2024, 921, 171087. [Google Scholar] [CrossRef] [PubMed]








| Vegetation Types | Sand (%) | Silt (%) | Clay (%) | |||
|---|---|---|---|---|---|---|
| 0–20 cm | 20–40 cm | 0–20 cm | 20–40 cm | 0–20 cm | 20–40 cm | |
| CK | 16.11 ± 0.04 b | 13.30 ± 0.21 c | 83.50 ± 0.04 f | 85.94 ± 0.16 e | 0.37 ± 0.02 d | 0.74 ± 0.02 gh | 
| AS | 18.13 ± 0.08 a | 18.52 ± 0.08 a | 81.03 ± 0.02 g | 80.50 ± 0.03 g | 0.84 ± 0.03 c | 0.98 ± 0.02 e | 
| IC | 8.84 ± 0.02 h | 7.07 ± 0.02 f | 90.13 ± 0.08 a | 92.23 ± 0.82 a | 1.03 ± 0.02 b | 0.70 ± 0.02 h | 
| TC | 11.22 ± 0.03 f | 9.02 ± 0.02 e | 87.75 ± 0.16 c | 89.92 ± 0.16 c | 1.03 ± 0.02 b | 1.06 ± 0.05 d | 
| LC | 12.70 ± 0.08 e | 9.29 ± 0.08 e | 86.24 ± 0.16 d | 89.84 ± 0.24 b | 1.06 ± 0.00 a | 0.88 ± 0.02 f | 
| HM | 18.22 ± 0.26 a | 6.98 ± 0.21 f | 80.25 ± 0.25 h | 90.68 ± 0.21 e | 1.53 ± 0.00 a | 2.34 ± 0.00 a | 
| HA | 13.56 ± 0.07 d | 13.21 ± 0.04 c | 85.14 ± 0.07 e | 85.50 ± 0.04 e | 1.30 ± 0.00 b | 1.30 ± 0.26 b | 
| GH | 14.10 ± 0.17 c | 9.90 ± 0.15 d | 85.01 ± 0.16 e | 88.98 ± 0.15 d | 0.89 ± 0.02 d | 1.12 ± 0.26 c | 
| ZM | 10.65 ± 0.12 g | 14.51 ± 0.22 b | 88.32 ± 0.12 b | 84.73 ± 0.21 f | 1.03 ± 0.00 c | 0.76 ± 0.26 g | 
| Seasons | Depth | Indicators | Explains % | Contribution % | Pseudo-F | p | 
|---|---|---|---|---|---|---|
| Spring | 0–20 cm | BD | 58 | 76.5 | 9.7 | 0.032 * | 
| SOM | 9.6 | 12.7 | 1.8 | 0.042 * | ||
| MWD | 4.2 | 5.6 | 0.7 | 0.034 * | ||
| SWC | 3.5 | 4.6 | 0.6 | 0.418 | ||
| Ks | 0.6 | 0.8 | <0.1 | 0.802 | ||
| 20–40 cm | SOM | 41 | 66 | 4.9 | 0.036 * | |
| BD | 11.1 | 17.9 | 1.4 | 0.031 * | ||
| MWD | 6.9 | 11.1 | 0.7 | 0.042 * | ||
| SWC | 2.3 | 3.7 | 0.3 | 0.468 | ||
| Ks | 0.8 | 1.3 | <0.1 | 0.824 | ||
| Autumn | 0–20 cm | BD | 36.9 | 39.9 | 4.1 | 0.034 * | 
| SOM | 22.5 | 24.4 | 6.9 | 0.014 * | ||
| MWD | 17.6 | 19 | 3.9 | 0.106 | ||
| SWC | 12 | 13 | 1.4 | 0.481 | ||
| Ks | 3.4 | 3.7 | 0.5 | 0.072 | ||
| 20–40 cm | SOM | 45.8 | 50 | 5.9 | 0.042 * | |
| BD | 23.1 | 25.2 | 5 | 0.034 * | ||
| SWC | 10.1 | 11 | 3.6 | 0.076 | ||
| Ks | 8.1 | 8.9 | 1.1 | 0.394 | ||
| MWD | 4.6 | 5 | 1 | 0.196 | 
| Disclaimer/Publisher’s Note: The statements, opinions and data contained in all publications are solely those of the individual author(s) and contributor(s) and not of MDPI and/or the editor(s). MDPI and/or the editor(s) disclaim responsibility for any injury to people or property resulting from any ideas, methods, instructions or products referred to in the content. | 
© 2024 by the authors. Licensee MDPI, Basel, Switzerland. This article is an open access article distributed under the terms and conditions of the Creative Commons Attribution (CC BY) license (https://creativecommons.org/licenses/by/4.0/).
Share and Cite
Li, W.; Li, J.; Wu, Y.; Guo, K.; Feng, X.; Liu, X. Soil Organic Matter and Bulk Density: Driving Factors in the Vegetation-Mediated Restoration of Coastal Saline Lands in North China. Agronomy 2024, 14, 2007. https://doi.org/10.3390/agronomy14092007
Li W, Li J, Wu Y, Guo K, Feng X, Liu X. Soil Organic Matter and Bulk Density: Driving Factors in the Vegetation-Mediated Restoration of Coastal Saline Lands in North China. Agronomy. 2024; 14(9):2007. https://doi.org/10.3390/agronomy14092007
Chicago/Turabian StyleLi, Weiliu, Jingsong Li, Yujie Wu, Kai Guo, Xiaohui Feng, and Xiaojing Liu. 2024. "Soil Organic Matter and Bulk Density: Driving Factors in the Vegetation-Mediated Restoration of Coastal Saline Lands in North China" Agronomy 14, no. 9: 2007. https://doi.org/10.3390/agronomy14092007
APA StyleLi, W., Li, J., Wu, Y., Guo, K., Feng, X., & Liu, X. (2024). Soil Organic Matter and Bulk Density: Driving Factors in the Vegetation-Mediated Restoration of Coastal Saline Lands in North China. Agronomy, 14(9), 2007. https://doi.org/10.3390/agronomy14092007
 
        

 
       