Combining Physiology and Transcriptome Data Screening for Key Genes in Actinidia arguta Response to Waterlogging Stress
Abstract
1. Introduction
2. Materials and Methods
2.1. Plant Materials
2.2. Calculation of Waterlogging Index and Yellowing Area Ratio
2.3. Measurement of Antioxidant Enzyme Activities
2.4. Determination of Reactive Oxygen Forms
2.5. Plant Hormone Content Measurement
2.6. Determination of Soluble Sugar Content
2.7. Measurement of Chlorophyll Content
2.8. Evaluation of Root Activity
2.9. Transcriptome Analysis
2.10. WGCNA
2.11. Real-Time Quantitative Polymerase Chain Reaction (qRT-PCR) Analysis
2.12. Statistical Analysis
3. Results
3.1. Morphological Changes in A. arguta Plants under Waterlogging Stress
3.2. Principal Component Analysis (PCA)
3.3. Changes in Hormone Content
3.4. Transcriptome Data Analysis
3.4.1. Sequence and Unigene Annotation
3.4.2. Differential Gene Expression Analysis
3.4.3. GO and KEGG Pathway Enrichment Analyses
3.4.4. WGCNA Analysis
3.4.5. Gene Expression in the Plant Hormone Signal Pathway under Waterlogging
3.4.6. Gene Expression in the Starch and Sucrose Metabolism Pathway under Waterlogging
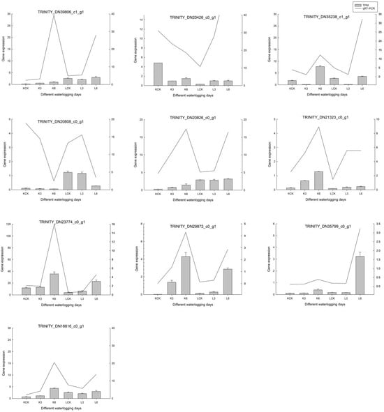
3.5. Real-Time Quantitative PCR (qRT-PCR) Analysis
4. Discussion
4.1. Responses of Hormones to Waterlogging Stress in A. arguta
4.2. Responses of Hormone-Related Genes to Waterlogging Stress in A. arguta
4.3. Responses of Sucrose Metabolism Genes to Waterlogging Stress in A. arguta
5. Conclusions
Author Contributions
Funding
Data Availability Statement
Conflicts of Interest
References
- Ai, J. Cultivation and Processing Technology of Actinidia arguta, 1st ed.; China Agriculture Press: Beijing, China, 2014. [Google Scholar]
- Zhao, J.P.; Wang, Y.L.; Lu, X.L.; Shen, Z.H.; Wang, M.T.; Li, Q.; Wang, R.L. Climatic suitable area analysis and response to climate change of Actinidia arguta in China. Chin. J. Eco-Agric. 2020, 28, 1523–1532. [Google Scholar] [CrossRef]
- Li, Y.D. Report on the Development of Small Berry Industry in China, 1st ed.; China Agriculture Press: Beijing, China, 2016. [Google Scholar]
- Wang, D.L.; Zhou, W.J.; Yao, P.; Zhao, F.J.; Huang, G.H. Quantitative Classification of Phenotypic Traits of Kiwifruit Germplasm Resources with Soft Dates. North. Hortic. 2022, 10, 33–40. [Google Scholar]
- Bai, D.F. Screening of waterlogging tolerant germplasm resources and research of physiological mechanism in Actinidia. Chin. Acad. Agric. Sci. 2019. [Google Scholar]
- Reid, J.B.; Petrie, R.A. Effects of soil aeration on root demography in kiwifruit. New Zealand J. Crop Hortic. Sci. 1991, 19, 423–432. [Google Scholar] [CrossRef]
- Clark, R.T.; Dong, X.Q.; Ho, C.H.; Sun, J.H.; Yuan, H.L.; Takemi, T. Preface to the Special Issue on Summer 2020: Record Rainfall in Asia—Mechanisms, Predictability and Impacts. Adv. Atmos. Sci. 2021, 38, 1977–1979. [Google Scholar] [CrossRef]
- Li, X.; Zhao, J.P. Effects of Continuous Flooding on the Morphology and Some Physiological Indicators of Peach Seedlings. Mod. Agric. Sci. Technol. 2010, 3, 129–130+133. [Google Scholar] [CrossRef]
- Ren, B.Z.; Yu, W.Z.; Liu, P.; Zhao, B.; Zhang, J.W. Responses of photosynthetic characteristics and leaf senescence in summer maize to simultaneous stresses of waterlogging and shading. Crop J. 2023, 11, 269–277. [Google Scholar] [CrossRef]
- Wang, X.; He, Y.; Zhang, C.; Tian, Y.A.; Lin, H. Physiological and transcriptional responses of Phalaris arundinacea under waterlogging conditions. J. Plant Physiol. 2021, 261, 153428. [Google Scholar] [CrossRef]
- Li, Z.; Bai, D.; Zhong, Y.; Abid, M.; Qi, X.; Hu, C.; Fang, J. Physiological Responses of Two Contrasting Kiwifruit (Actinidia spp.) Rootstocks against Waterlogging Stress. Plants 2021, 10, 2586. [Google Scholar] [CrossRef]
- Zhang, Y.; Cao, G.; Qu, L.J.; Gu, H. Characterization of Arabidopsis MYB transcription factor gene AtMYB17 and its possible regulation by LEAFY and AGL15. J. Genet. Genom. 2009, 36, 99–107. [Google Scholar] [CrossRef]
- Zhang, Y.; Ou, L.; Zhao, J.; Liu, Z.; Li, X. Transcriptome analysis of hot pepper plants identifies waterlogging resistance related genes. Chil. J. Agric. Res. 2019, 79, 296–306. [Google Scholar] [CrossRef]
- Xia, T.; Li, H.L.; Wan, L.; Zhou, Q.; Jiang, H. Alleviation effects of IAA foliar spray on waterlogging stressed rapeseed at budding stage. Chin. J. Oil Crop Sci. 2015, 37, 55. [Google Scholar] [CrossRef]
- Malick Cisse, E.; Zhang, Z.; Li, D.D. Exogenous ABA and IAA modulate physiological and hormonal adaptation strategies in Cleistocalyx operculatus and Syzygium jambos under long-term waterlogging conditions. BMC Plant Biol. 2022, 22, 523. [Google Scholar] [CrossRef]
- Zhang, J.Y.; Sheng, N.M.; Zheng, H.X.; Ji, P.J.; Xiao, D.W.; Gang, G.; Zhong, R. De novo transcriptome sequencing and comparative analysis of differentially expressed genes in kiwifruit under waterlogging stress. Mol. Breed. 2015, 35, 208. [Google Scholar] [CrossRef]
- Li, Z.; Zhong, Y.; Bai, D.F.; Abid, M.; Zhang, Y.; Lin, M.; Fang, J. Comparative Transcriptome Analysis of Two Contrasting Kiwifruit (Actinidia) Genotypes under Waterlogging Stress. Preprints 2020, 105, 2020070395. [Google Scholar] [CrossRef]
- Yamauchi, T.; Tanaka, A.; Inahashi, H.; Nishizawa, N.K.; Tsutsumi, N.; Inukai, Y.; Nakazono, M. Fine control of aerenchyma and lateral root development through AUX/IAA- and ARF-dependent auxin signaling. Proc. Natl. Acad. Sci. USA 2019, 116, 20770–20775. [Google Scholar] [CrossRef]
- Xie, R.; Zheng, L.; Jiao, Y.; Huang, X. Understanding physiological and molecular mechanisms of citrus rootstock seedlings in response to root zone hypoxia by RNA-Seq. Environ. Exp. Bot. 2021, 192, 104647. [Google Scholar] [CrossRef]
- Zhu, F.; Xi, D.; Deng, X.; Peng, X.; Tang, H.; Chen, Y.; Jian, W.; Feng, H.; Lin, H. The chilli veinal mottle virus regulates expression of the tobacco mosaic virus resistance genen and jasmonic acid/ethylene signaling is essential for systemic resistance against chilli veinal mottle virus in tobacco. Plant Mol. Biol. Rep. 2014, 32, 382–394. [Google Scholar] [CrossRef]
- Deng, X.G.; Zhu, T.; Zhang, D.W.; Lin, H.H. The alternative respiratory pathway is involved in brassinosteroid-induced environmental stress tolerance in Nicotiana benthamiana. J. Exp. Bot. 2015, 66, 6219–6232. [Google Scholar] [CrossRef]
- Zhou, Y.; Wu, Y.X.; Li, Y.X.; Wen, G.Q.; Nie, F. Study on the determination of endogenous hormones in blueberry leaves by high performance liquid chromatography. China Fruits 2018, 3, 88–91+94. [Google Scholar] [CrossRef]
- Onanuga, A.O.; Adl, S. Effect of Phytohormones, Phosphorus and Potassium on Cotton Varieties (Gossypium hirsutum) Root Growth and Root Activity Grown in Hydroponic Nutrient Solution. J. Agric. Sci. 2012, 4, 342–345. [Google Scholar] [CrossRef]
- He, S.T.; Liu, G.Q.; Fan, W.G. Effect of flooding stress on hormones and cell solute in Ginkgo. J. Anhui Agric. Sci. 2006, 7, 1292–1294+1318. [Google Scholar] [CrossRef]
- Arbona, V.; Gómez-Cadenas, A. Hormonal Modulation of Citrus Responses to Flooding. J. Plant Growth Regul. 2008, 27, 241–250. [Google Scholar] [CrossRef]
- Else, M.; Janowiak, F.; Atkinson, C.; Jackson, M. Root signals and stomatal closure in relation to photosynthesis, chlorophyll a fluorescence and adventitious rooting of flooded tomato plants. Ann. Bot. 2008, 2, 313–323. [Google Scholar] [CrossRef] [PubMed]
- Ahmed, S.; Nawata, E.; Sakuratani, T. Changes of endogenous ABA and ACC, and their correlations to photosynthesis and water relations in mungbean (Vigna radiata (L.) Wilczak cv. KPS1) during waterlogging. Environ. Exp. Bot. 2006, 57, 278–284. [Google Scholar] [CrossRef]
- Zhao, Y.; Chan, Z.; Gao, J.; Xing, L.; Cao, M.; Yu, C.; Zhu, Y. ABA receptor PYL9 promotes drought resistance and leaf senescence. Proc. Natl. Acad. Sci. USA 2016, 113, 1949–1954. [Google Scholar] [CrossRef]
- Uauy, C.; Distelfeld, A.; Fahima, T.; Blechl, A.; Dubcovsky, J. A NAC Gene Regulating Senescence Improves Grain Protein, Zinc, and Iron Content in Wheat. Science 2006, 314, 1298–1301. [Google Scholar] [CrossRef]
- Bashar, K.; Tareq, M.; Amin, M.; Honi, U.; Tahjib-Ul-Arif, M.; Sadat Hossen, Q. Phytohormone-Mediated Stomatal Response, Escape and Quiescence Strategies in Plants under Flooding Stress. Agronomy 2019, 9, 43. [Google Scholar] [CrossRef]
- Qi, X.H.; Xu, X.W.; Lin, X.J.; Zhang, W.J.; Chen, X.H. Identification of differentially expressed genes in cucumber (Cucumis sativus L) root under waterlogging stress by digital gene expression profile. Genomics 2012, 99, 160–168. [Google Scholar] [CrossRef]
- Yamauchi, T.; Colmer, T.D.; Pedersen, O.; Nakazono, M. Regulation of root traits for internal aeration and tolerance to soil waterlogging-flooding stress. Plant Physiol. 2018, 176, 1118. [Google Scholar] [CrossRef]
- Pérez-Sálamo, I.; Krasauskas, J.; Gates, S.; Eva, K.; Díaz-Sánchez, E.K.; Devoto, A. An Update on Core Jasmonate Signalling Networks, Physiological Scenarios, and Health Applications. Annu. Plant Rev. Online 2019, 2. [Google Scholar] [CrossRef]
- Fatehi, F.; Hosseinzadeh, A.; Alizadeh, H.; Brimavandi, T.; Struik, P.C. The proteome response of salt-resistant and salt-sensitive barley genotypes to long-term salinity stress. Mol. Biol. Rep. 2012, 39, 6387–6397. [Google Scholar] [CrossRef] [PubMed]
- Min, Q. Study on Application of Rice OsCOI3 Gene to Improve Stress Resistance of Crops; Chongqing University: Chongqing, China, 2021. [Google Scholar]
- Zhang, N. Regulation of ESSD Germination by Glutathione S-Transferase U7(AtGSTU7) in Arabidopsis thaliana; Northeast Forestry University: Heilongjiang, China, 2021. [Google Scholar]
- Aleman, F.; Yazaki, J.; Lee, M.; Takahashi, Y.; Schroeder, J.I. An ABA-increased interaction of the PYL6 ABA receptor with MYC2 Transcription Factor: A putative link of ABA and JA signaling. Sci. Rep. 2016, 6, 28941. [Google Scholar] [CrossRef] [PubMed]
- Li, C.; Lu, X.; Liu, Y.; Xu, J.; Yu, W. Trehalose alleviates the inhibition of adventitious root formation caused by drought stress in cucumber through regulating ros metabolism and activating trehalose and plant hormone biosynthesis. Plant Physiol. Biochem. 2023, 205, 108159. [Google Scholar] [CrossRef] [PubMed]
- Gao, C.Y. Based on metabonomics reveals the mechanism of trehalose promoting catharanthus roseus against low temperature stress. Bot. Res. 2021, 10, 468–484. [Google Scholar] [CrossRef]
- Tsai, A.Y.; Gazzarrini, S. Trehalose-6-phosphate and snrk1 kinases in plant development and signaling: The emerging picture. Front. Plant Sci. 2014, 5, 119. [Google Scholar] [CrossRef]











| Name | Forward | Reverse |
|---|---|---|
| TRINITY_DN35238_c1_g1 | TAGGTTTGGGAGGCTACTGA | CTACATTGATTCTCGTTTCG |
| TRINITY_DN23774_c0_g1 | CCATCACAAGCAAGAGGGAG | ATGGGACATCACCAACAAGCAC |
| TRINITY_DN35799_c0_g1 | AGGCATCAATGAGAACAACA | GGATTCCCGTTAGGATAGAGTA |
| TRINITY_DN29872_c0_g1 | TACAAAGATCCGAAACAGCC | ACTCCCTCCTCCACTCAACA |
| TRINITY_DN39806_c1_g1 | CCTTGTGGGAGGGTTATGTG | CTGATGACGGAAATGGACTA |
| TRINITY_DN18816_c0_g1 | ACAGACACTCACCGTTCAGG | CAATAAGGCTACAACAGGA |
| TRINITY_DN20426_c0_g1 | ATCTGCCGAACATGGCTACT | CACCACCACTCCTTTACTTACACC |
| TRINITY_DN20808_c0_g1 | GGTCGCCCTGTCGTTATTCA | GAACCCGTAGTCGCCAAACA |
| TRINITY_DN20826_c0_g1 | CCATCACAAGCAAGAGGGAG | ATGGGACATCACCAACAAGCAC |
| TRINITY_DN21323_c0_g1 | TGAGGGAGGCTGAGAAAGAG | ATTGGCTTGTAACTTGGGAG |
| β-actin | GCCCTGGGAGCATCATCACC | TGAAACGGAACTGGAATGG |
| Component | ||||
|---|---|---|---|---|
| PCA 1 | PCA 2 | PCA 3 | PCA 4 | |
| Waterlogging index | 0.946 | 0.199 | 0.067 | −0.133 |
| Yellow area ratio | 0.938 | 0.267 | 0.014 | 0.160 |
| Dry matter reduction | −0.914 | −0.032 | −0.160 | 0.212 |
| Root activity | −0.896 | −0.366 | 0.113 | 0.016 |
| GA3 | 0.413 | −0.752 | −0.374 | 0.189 |
| IAA | 0.155 | −0.853 | 0.387 | 0.046 |
| ABA | −0.199 | −0.625 | 0.583 | 0.362 |
| SOD | 0.422 | 0.100 | 0.775 | −0.432 |
| CAT | −0.428 | −0.403 | 0.760 | −0.269 |
| POD | −0.126 | 0.761 | 0.092 | 0.506 |
| MDA | 0.349 | 0.113 | 0.714 | 0.533 |
| H2O2 | 0.767 | 0.098 | −0.061 | 0.331 |
| O2− | 0.533 | 0.762 | 0.020 | −0.132 |
| Chlorophyll content | −0.544 | 0.692 | −0.267 | 0.088 |
| Soluble sugar | −0.564 | 0.539 | 0.460 | −0.186 |
| Principle component | 6.413 | 4.055 | 1.873 | 1.225 |
| Contribution ratio (%) | 42.752 | 27.033 | 12.488 | 8.168 |
| Cumulative contribution ratio (%) | 42.752 | 69.785 | 82.273 | 90.441 |
| Contribution rate weight | 0.473 | 0.299 | 0.138 | 0.09 |
| Sample | Raw Reads | Valid Reads | Valid Bases | Valid (%) | Q20% | Q30% | GC% |
|---|---|---|---|---|---|---|---|
| K3 | 51,907,688 | 51,110,294 | 7.12G | 98.47 | 97.41 | 92.39 | 46.39 |
| K6 | 41,258,898 | 40,280,748 | 5.63G | 97.63 | 98.15 | 94.35 | 45.52 |
| K0 | 35,929,319 | 35,143,180 | 4.91G | 97.81 | 98.15 | 94.34 | 45.92 |
| L3 | 51,824,247 | 51,018,125 | 7.11G | 98.44 | 97.41 | 92.38 | 46.55 |
| L6 | 42,992,417 | 42,021,586 | 5.88G | 97.72 | 98.17 | 94.42 | 45.81 |
| L0 | 45,522,746 | 44,540,190 | 6.23G | 97.84 | 98.14 | 94.32 | 46.02 |
| Total | 269,435,315 | 264,114,123 | 36.88G | —— | —— | —— | —— |
| Database | Number | Ratio (%) |
|---|---|---|
| All | 87,522 | 100.00 |
| GO | 37,229 | 42.54 |
| KEGG | 28,690 | 32.78 |
| Pfam | 31,794 | 36.33 |
| SwissProt | 30,324 | 34.65 |
| EggNOG | 41,870 | 47.84 |
| NR | 44,659 | 51.03 |
| Gene ID | Name | Annotation | KEGG Pathway |
|---|---|---|---|
| TRINITY_DN35238_c1_g1 | PYL10 | Abscisic acid receptor PYR/PYL family | Plant hormone signal |
| TRINITY_DN35799_c0_g1 | PYL7 | ||
| TRINITY_DN24637_c0_g2 | Os05g0537400 | Protein phosphatase 2C | |
| TRINITY_DN23774_c0_g1 | IAA7 | Auxin-responsive protein | |
| TRINITY_DN29872_c0_g1 | ARF18 | Auxin response factor | |
| TRINITY_DN39806_c1_g1 | COI1 | Coronatine-insensitive protein |
| Gene ID | Name | Annotation | KEGG Pathway |
|---|---|---|---|
| TRINITY_DN21398_c0_g1 | SUS | Sucrose synthase | Starch and sucrose metabolism |
| TRINITY_DN39013_c0_g1 | TPS11 | Alpha, alpha-trehalose-phosphate synthase | |
| TRINITY_DN27128_c0_g2 | WAXY | Granule-bound starch synthase | |
| TRINITY_DN22687_c0_g1 | BAM3 | Beta-amylase |
Disclaimer/Publisher’s Note: The statements, opinions and data contained in all publications are solely those of the individual author(s) and contributor(s) and not of MDPI and/or the editor(s). MDPI and/or the editor(s) disclaim responsibility for any injury to people or property resulting from any ideas, methods, instructions or products referred to in the content. |
© 2024 by the authors. Licensee MDPI, Basel, Switzerland. This article is an open access article distributed under the terms and conditions of the Creative Commons Attribution (CC BY) license (https://creativecommons.org/licenses/by/4.0/).
Share and Cite
Geng, J.; Shi, G.; Li, X.; Liu, Y.; An, W.; Sun, D.; Wang, Z.; Ai, J. Combining Physiology and Transcriptome Data Screening for Key Genes in Actinidia arguta Response to Waterlogging Stress. Agronomy 2024, 14, 2391. https://doi.org/10.3390/agronomy14102391
Geng J, Shi G, Li X, Liu Y, An W, Sun D, Wang Z, Ai J. Combining Physiology and Transcriptome Data Screening for Key Genes in Actinidia arguta Response to Waterlogging Stress. Agronomy. 2024; 14(10):2391. https://doi.org/10.3390/agronomy14102391
Chicago/Turabian StyleGeng, Jiaqi, Guangli Shi, Xiang Li, Yumeng Liu, Wenqi An, Dan Sun, Zhenxing Wang, and Jun Ai. 2024. "Combining Physiology and Transcriptome Data Screening for Key Genes in Actinidia arguta Response to Waterlogging Stress" Agronomy 14, no. 10: 2391. https://doi.org/10.3390/agronomy14102391
APA StyleGeng, J., Shi, G., Li, X., Liu, Y., An, W., Sun, D., Wang, Z., & Ai, J. (2024). Combining Physiology and Transcriptome Data Screening for Key Genes in Actinidia arguta Response to Waterlogging Stress. Agronomy, 14(10), 2391. https://doi.org/10.3390/agronomy14102391
