Opportunities to Improve the Recommendation of Plant Varieties under the Recommended List (RL) System
Abstract
1. Introduction
2. Materials and Methods
2.1. Data Collection
2.2. Yield Prediction
- y is a vector of yield in n varieties.
- X is a design matrix for the fixed effects such that the first column is a vector of 1’s for the overall mean, the second to fifth columns are vectors of 0’s and 1’s, indicating which year the observation belongs to, and the remaining columns are vectors of 0’s and 1’s, indicating which trial site the observation belongs to.
- is a vector of fixed effects including the overall mean effect, year effects, and site effects.
- is an incidence matrix relating n varieties to observations y.
- is a vector of random genetic effect with a normal distribution of .
- is an incidence matrix relating n varieties by p years to observations y.
- is a vector of random genetic-by-year effect with a normal distribution of .
- K is an additive genetic relationship matrix with elements ; is the marker score for variety i at marker k, is the marker score for variety j at marker k, is the allele frequency at marker k, and m is the total number of markers.
- P is an identity matrix of .
- is a vector of residual effect with a normal distribution of , and I is an identity matrix.
- Specifically, the trial site effect was excluded in I5B and the genetic-by-year effect was excluded in A5B.
2.3. Comparing Predicted and Observed Yield
3. Results
3.1. Trial Environment
3.2. Variety Selection Tool
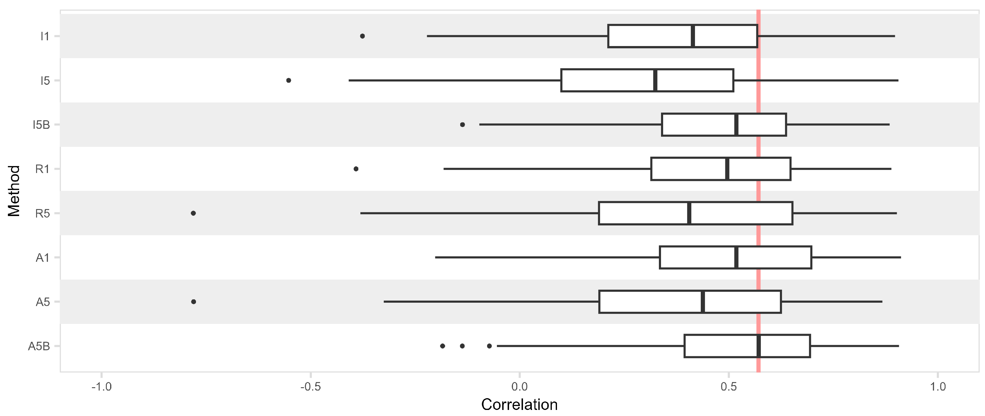
3.3. Comparison across Methods in Predicting Variety Yield
3.4. Site-Specific Comparison of Methods
3.5. Year-Specific Comparison of Methods
3.6. Quantifying Deficits in Yield
4. Discussion
5. Conclusions
Supplementary Materials
Author Contributions
Funding
Data Availability Statement
Acknowledgments
Conflicts of Interest
References
- Bradshaw, J.E. Plant breeding: Past, present and future. Euphytica 2017, 213, 60. [Google Scholar] [CrossRef]
- Cobb, J.N.; Juma, R.U.; Biswas, P.S.; Arbelaez, J.D.; Rutkoski, J.; Atlin, G.; Hagen, T.; Quinn, M.; Ng, E.H. Enhancing the rate of genetic gain in public-sector plant breeding programs: Lessons from the breeder’s equation. Theor. Appl. Genet. 2019, 132, 627–645. [Google Scholar] [CrossRef]
- Mackay, I.J.; Cockram, J.; Howell, P.; Powell, W. Understanding the classics: The unifying concepts of transgressive segregation, inbreeding depression and heterosis and their central relevance for crop breeding. Plant Biotechnol. 2021, 19, 26–34. [Google Scholar] [CrossRef] [PubMed]
- Scott, M.F.; Fradgley, N.; Bentley, A.R.; Brabbs, T.; Corke, F.; Gardener, K.A.; Horsnell, R.; Howell, P.; Ladejobi, O.; Mackay, I.J.; et al. Limited haplotype diversity underlies polygenic trait architecture across 70 years of wheat breeding. Genom. Biol. 2021, 22, 137. [Google Scholar] [CrossRef] [PubMed]
- Moose, S.P.; Dudley, J.W.; Rocheford, T.R. Maize selection passes the century mark: A unique resource for 21st century genomics. Trends Plant Sci. 2004, 9, 358–364. [Google Scholar] [CrossRef]
- Wallace, J.G.; Rodgers-Melnick, E.; Buckler, E.S. On the road to breeding 4.0: Unraveling the good, the bad and the boring of crop quantitative genomics. Annu. Rev. Genet. 2018, 52, 421–444. [Google Scholar] [CrossRef]
- Zaidi, S.S.A.; Vanderschuren, H.; Qaim, M.; Mahfouz, M.M.; Kohli, A.; Mansoor, S.; Tester, M. New plant breeding technologies for food security. Science 2019, 363, 1390–1391. [Google Scholar] [CrossRef]
- Xu, Y.; Zhang, X.; Li, H.; Zheng, H.; Zhang, J.; Olsen, M.S.; Varshney, R.K.; Prasanna, B.M.; Qian, Q. Smart breeding driven by big data, artificial intelligence, and integrated genomic-enviromic prediction. Mol. Plant 2022, 15, 1664–1695. [Google Scholar] [CrossRef]
- Federizzi, L.C.; Carbonell, S.A.M.; Pacheco, M.T.; Nava, I.C. Breeders’ work after cultivar development-the stage of recommendation. Crop Breed Appl. Biotechnol. 2012, S2, 67–74. [Google Scholar] [CrossRef]
- Patterson, H.D.; Silvey, V. Statutory and recommended list trials of crop varieties in the United Kingdom. J. Royal Stat. Soc. 1980, 143, 219–252. [Google Scholar] [CrossRef]
- Fisher, R.A. The Design of Experiments; Oliver and Boyd: Edinburgh, UK, 1935. [Google Scholar]
- Yates, F. The principles of orthogonality and confounding in replicated experiments. J. Agric Sci. 1933, 23, 108–145. [Google Scholar] [CrossRef]
- Yates, F. A new method of arranging variety trials involving a large number of varieties. J. Agric Sci. 1936, 26, 424–455. [Google Scholar] [CrossRef]
- Yates, F. Sampling Methods for Censuses and Surveys; Griffin: London, UK, 1960. [Google Scholar]
- Yates, F.; Cochran, W.G. The analysis of groups of experiments. J. Agric Sci. 1938, 28, 556–580. [Google Scholar] [CrossRef]
- Recommended Lists for Cereals and Oilseeds 2024/25. Available online: https://projectblue.blob.core.windows.net/media/Default/Imported%20Publication%20Docs/AHDB%20Cereals%20&%20Oilseeds/Varieties/RL2024-25/Recommended%20Lists%20for%20cereals%20and%20oilseeds%202024-25.pdf (accessed on 10 May 2024).
- Smith, A.B.; Cullis, B.R.; Thompson, R. Analyzing variety by environment data using multiplicative mixed models and adjustments for spatial field trend. Biometrics 2001, 57, 1138–1147. [Google Scholar] [CrossRef]
- Smith, A.; Ganesalingam, A.; Kuchel, H.; Cullis, B. Factor analytic mixed models for the provision of grower information from national crop variety testing programmes. Theor. Appl. Genet. 2015, 128, 55–72. [Google Scholar] [CrossRef]
- Gogel, B.; Smith, A.; Cullis, B. Comparison of a one- and two-stage mixed model analysis of Australia’s National Variety Trial Southern Region wheat data. Euphytica 2018, 214, 44. [Google Scholar] [CrossRef]
- Piepho, H.-P.; Mohring, J.; Schulz-Streeck, T.; Ogutu, J.O. A stage-wise approach for the analysis of multi-environment trials. Biom. J. 2012, 54, 844–860. [Google Scholar] [CrossRef]
- Piepho, H.-P.; Mohring, J.; Melchinger, A.E.; Buchse, A. BLUP for phenotypic selection in plant breeding and variety testing. Euphytica 2008, 161, 209–228. [Google Scholar] [CrossRef]
- Table 7.3a to 7.3c Barley; Production, Value, Supply and Use. Available online: https://www.gov.uk/government/statistics/agriculture-in-the-united-kingdom-2022/chapter-7-crops#barley (accessed on 12 September 2024).
- Yang, C.J.; Russell, J.; Ramsay, L.; Thomas, W.; Powell, W.; Mackay, I. Overcoming barriers to the registration of new plant varieties under the DUS system. Commun. Biol. 2021, 4, 302. [Google Scholar] [CrossRef]
- Looseley, M.E.; Ramsay, L.; Bull, H.; Swanston, J.S.; Shaw, P.D.; Macaulay, M.; Booth, A.; Russell, J.R.; Waugh, R.; Thomas, W.T.B. Association mapping of malting quality traits in UK spring and winter barley cultivar collections. Theor. Appl. Genet. 2020, 133, 2567–2582. [Google Scholar] [CrossRef]
- Bayer, M.M.; Rapazote-Flores, P.; Ganal, M.; Hedley, P.E.; Macaulay, M.; Plieske, J.; Ramsay, L.; Russell, J.; Shaw, P.D.; Thomas, W.; et al. Development and evaluation of a barley 50k iSelect SNP array. Front Plant Sci. 2017, 8, 1792. [Google Scholar] [CrossRef] [PubMed]
- Pebesma, E.; Bivand, R. Spatial Data Science: With Applications in R; Chapman and Hall: New York, NY, USA, 2023. [Google Scholar]
- Covarrubias-Pazaran, G. Genome-assisted prediction of quantitative traits using the R package sommer. PLoS ONE 2016, 11, e0156744. [Google Scholar] [CrossRef] [PubMed]
- Raymond, J.; Mackay, I.; Penfield, S.; Lovett, A.; Philpott, H.; Dorling, S. Continuing genetic improvement and biases in genetic gain estimates revealed in historical UK variety trials data. Field Crop Res. 2023, 302, 109086. [Google Scholar] [CrossRef]
- Williams, R.M.; O’Brien, L.; Eagles, H.A.; Solah, V.A.; Jayasena, V. The influences of genotype, environment, and genotype by environment interaction on wheat quality. Aust. J. Agric Res. 2008, 59, 95–111. [Google Scholar] [CrossRef]
- Zhao, F.; Xu, S. Genotype by environment interaction of quantitative traits: A case study in barley. G3 2012, 2, 779–788. [Google Scholar] [CrossRef]
- Lopez-Cruz, M.; Aguate, F.M.; Washburn, J.D.; de Leon, N.; Kaeppler, S.M.; Lima, D.C.; Tan, R.; Thompson, A.; Bretonne, L.W.D.L.; de los Campos, G. Leveraging data from the Genomes-to-Fields Initiative to investigate genotype-by-environment interactions in maize in North America. Nat. Comm. 2023, 14, 6904. [Google Scholar] [CrossRef]
- Clark, S.A.; van der Werf, J. Genomic Best Linear Unbiased Prediction (gBLUP) for the Estimation of Genomic Breeding Values; Humana Press: Totowa, NJ, USA, 2013. [Google Scholar]
- Hickey, J.M.; Chiurugwi, T.; Mackay, I.; Powell, W. Genomic prediction unifies animal and plant breeding programs to form platforms for biological discovery. Nat. Genet. 2017, 49, 1297–1303. [Google Scholar] [CrossRef]
- Edwards, S.M.; Buntjer, J.B.; Jackson, R.; Bentley, A.R.; Lage, J.; Byrne, E.; Burt, C.; Jack, P.; Berry, S.; Flatman, E.; et al. The effects of training population design on genomic prediction accuracy in wheat. Theor. Appl. Genet. 2019, 132, 1943–1952. [Google Scholar] [CrossRef]
- Voss-Fels, K.P.; Cooper, M.; Hayes, B.J. Accelerating crop genetic gains with genomic selection. Theor. Appl. Genet. 2019, 132, 669–686. [Google Scholar] [CrossRef]
- MacDonald, H.; Henry, R.J. Balancing incentives for innovation in new plant varieties. Nat. Plants 2022, 8, 1206–1208. [Google Scholar] [CrossRef]
- Mott, R.; Fischer, C.; Prins, P.; Davies, R.W. Private genomes and public SNPs: Homomorphic encryption of genotypes and phenotypes for shared quantitative genetics. Genetics 2020, 215, 359–372. [Google Scholar] [CrossRef] [PubMed]
- Zhao, T.; Wang, F.; Mott, R.; Dekkers, J.; Cheng, H. Using encrypted genotypes and phenotypes for collaborative genomic analyses to maintain data confidentiality. Genetics 2024, 226, iyad210. [Google Scholar] [CrossRef] [PubMed]
- Silvey, V. NIAB recommended lists of cereal varieties: An aid to orderly marketing in the United Kingdom. Plant Var. & Seeds 1999, 12, 23–42. [Google Scholar]
- McVittie, J.A.; Jellis, G.J.; Flux, A. Evaluation of wheat quality for the UK in the HGCA recommended list system. In Proceedings of the 12th International ICC Cereal and Bread Congress, Harrogate, UK, 24–26 May 2004; pp. 13–17. [Google Scholar]
- Macaulay, M.; Russell, J.; Ramsay, L.; Marshall, D.F.; Powell, W.; Waugh, R.; Thomas, W.T.B. Lessons from Barley Recommended Lists; Scottish Crop Research Institute: Invergowrie, UK, 2005. [Google Scholar]
- Mackay, I.; Horwell, A.; Garner, J.; White, J.; McKee, J.; Philpott, H. Reanalyses of the historical series of UK variety trials to quantify the contributions of genetics and environmental factors to trends and variability in yield over time. Theor. Appl. Genet. 2011, 122, 225–238. [Google Scholar] [CrossRef] [PubMed]
- Marshall, E. Impact of delaying autumn sowing and rotations on wheat yield and quality using AHDB recommended list trial data: Implications for control of Alopecurus myosuroides. Asp. Appl. Biol. 2017, 134, 127–136. [Google Scholar]
- Oberfoster, M.; Marshall, E. Descriptive and Recommended Variety Lists in European Countries and Their Scales; BOKU-University of Natural Resources and Life Sciences: Vienna, Austria, 2017. [Google Scholar]
- Dias, K.O.G.; dos Santos, J.P.R.; Krause, M.D.; Piepho, H.-P.; Guimaraes, L.J.M.; Pastina, M.M.; Garcia, A.A.F. Leveraging probability concepts for cultivar recommendation in multi-environment trials. Theor. Appl. Genet. 2022, 135, 1385–1399. [Google Scholar] [CrossRef]
- Smith, A.B.; Cullis, B.R.; Thompson, R. The analysis of crop cultivar breeding and evaluation trials: An overview of current mixed model approaches. J. Agric Sci. 2005, 143, 449–462. [Google Scholar] [CrossRef]
- Molenaar, H.; Boehm, R.; Piepho, H.-P. Phenotypic selection in ornamental breeding: It’s better to have the BLUPs than to have the BLUEs. Front Plant Sci. 2018, 9, 1511. [Google Scholar] [CrossRef]
- Gauch, H.G. Model selection and validation for yield trials with interaction. Biometrics 1988, 44, 705–715. [Google Scholar] [CrossRef]
- Annicchiarico, P. Additive main effects and multiplicative interaction (AMMI) analysis of genotype-location interaction in variety trials repeated over years. Theor. Appl. Genet. 1997, 94, 1072–1077. [Google Scholar] [CrossRef]
- Piepho, H.-P. Best linear unbiased prediction (BLUP) for regional yield trials: A comparison to additive main effects multiplicative interaction (AMMI) analysis. Theor. Appl. Genet. 1994, 89, 647–654. [Google Scholar] [CrossRef] [PubMed]
- Piepho, H.-P. Analyzing genotype-environment data by mixed models with multiplicative effects. Biometrics 1997, 53, 761–766. [Google Scholar] [CrossRef]
- Piepho, H.-P.; Williams, E. Factor-analytic variance-covariance structures for prediction into target populations of environments. Biom. J. 2024, 66, e202400008. [Google Scholar] [CrossRef] [PubMed]
- Newman, S.J.; Furbank, R.T. Explainable machine learning models of major crop traits from satellite-monitored continent-wide field trial data. Nat. Plants 2021, 7, 1354–1363. [Google Scholar] [CrossRef]
- Balakrishnan, D.; Kumar, A.P.; Reddy, K.S.K.; Kumar, R.R.; Aadith, K.; Madhan, S. Agricultural crop recommendation system. In Proceedings of the 2023 3rd International Conference on Intelligent Technologies (CONIT), Hubli, India, 23–25 June 2023. [Google Scholar]
- Hasan, M.; Marjan, M.A.; Uddin, M.P.; Afjal, M.I.; Kardy, S.; Ma, S.; Nam, Y. Ensemble machine learning-based recommendation system for effective prediction of suitable agricultural crop cultivation. Front Plant Sci. 2023, 14, 1234555. [Google Scholar] [CrossRef]
- Han, Y.; Wang, K.; Zhang, Q.; Yang, F.; Pan, S.; Liu, Z.; Zhang, Q. Developing a comprehensive evaluation model of variety adaptability based on machine learning method. Field Crops Res. 2024, 306, 109203. [Google Scholar] [CrossRef]
- Shams, M.Y.; Gamel, S.A.; Talaat, F.M. Enhancing crop recommendation systems with explainable artificial intelligence: A study on agricultural decision-making. Neural. Comput. Applic. 2024, 36, 5695–5714. [Google Scholar] [CrossRef]






| ID | Weather Station | Long. (°) | Lat. (°) | Tmax (°C) | Tmin (°C) | Trange (°C) | Frost (Day) | Rain (mm) |
|---|---|---|---|---|---|---|---|---|
| 1 | Nairn | 57.593 | −3.821 | 15.26 | 7.05 | 8.20 | 1.93 | 56.80 |
| 2 | Braemar | 57.011 | −3.396 | 13.95 | 4.88 | 9.07 | 5.48 | 66.70 |
| 3 | Leuchars | 56.377 | −2.861 | 15.36 | 7.30 | 8.06 | 2.02 | 61.44 |
| 4 | Paisley | 55.846 | −4.430 | 16.13 | 8.33 | 7.79 | 1.09 | 83.03 |
| 5 | Eskdalemuir | 55.312 | −3.205 | 14.41 | 5.93 | 8.48 | 3.93 | 129.14 |
| 6 | Ballypatrick Forest | 55.181 | −6.153 | 13.84 | 7.56 | 6.28 | 0.88 | 96.95 |
| 7 | Durham | 54.768 | −1.585 | 16.19 | 7.68 | 8.51 | 1.63 | 56.65 |
| 8 | Whitby | 54.481 | −0.624 | 16.10 | 8.32 | 7.77 | 1.04 | 52.10 |
| 9 | Armagh | 54.352 | −6.649 | 16.34 | 7.97 | 8.37 | 1.43 | 67.24 |
| 10 | Bradford | 53.813 | −1.772 | 16.19 | 8.32 | 7.87 | 1.23 | 66.22 |
| 11 | Sheffield | 53.381 | −1.490 | 16.97 | 8.93 | 8.04 | 0.81 | 65.04 |
| 12 | Waddington | 53.175 | −0.522 | 17.12 | 8.71 | 8.41 | 1.00 | 55.88 |
| 13 | Shawbury | 52.794 | −2.663 | 16.91 | 7.66 | 9.25 | 2.20 | 54.92 |
| 14 | Lowestoft | 52.483 | 1.727 | 16.81 | 9.48 | 7.32 | 0.71 | 49.73 |
| 15 | Cambridge NIAB | 52.245 | 0.102 | 18.33 | 8.52 | 9.81 | 1.49 | 44.68 |
| 16 | Ross-On-Wye | 51.911 | −2.584 | 17.97 | 8.76 | 9.02 | 1.26 | 58.65 |
| 17 | Oxford | 51.761 | −1.262 | 18.51 | 9.05 | 9.46 | 0.97 | 53.87 |
| 18 | Heathrow | 51.479 | −0.449 | 19.16 | 10.04 | 9.11 | 0.64 | 46.79 |
| 19 | Manston | 51.346 | 1.337 | 17.35 | 9.68 | 7.67 | 0.48 | 46.52 |
| 20 | Chivenor | 51.089 | −4.147 | 16.96 | 9.62 | 7.35 | 0.66 | 65.27 |
| 21 | Yeovilton | 51.006 | −2.641 | 17.73 | 8.29 | 9.44 | 2.03 | 52.41 |
| 22 | Hurn | 50.779 | −1.835 | 17.98 | 8.21 | 9.77 | 2.25 | 57.35 |
| 23 | Eastbourne | 50.759 | 0.285 | 17.17 | 10.59 | 6.58 | 0.28 | 48.14 |
| 24 | Camborne | 50.218 | −5.327 | 15.28 | 9.83 | 5.45 | 0.22 | 69.87 |
| Site | Lat. (°) | Long. (°) | County | Region | Nation | Count | Weather Station |
|---|---|---|---|---|---|---|---|
| Tain | 57.812 | −4.055 | Highland | North | Scotland | 10 | Nairn, 28 km |
| Sandend | 57.685 | −2.748 | Aberdeenshire | North | Scotland | 1 | Nairn, 65 km |
| Inverurie | 57.284 | −2.374 | Aberdeenshire | North | Scotland | 2 | Braemar, 69 km |
| Laurencekirk | 56.832 | −2.468 | Aberdeenshire | North | Scotland | 11 | Leuchars, 56 km |
| Coupar Angus | 56.547 | −3.264 | Perth and Kinross | North | Scotland | 1 | Leuchars, 31 km |
| Dundee | 56.465 | −2.971 | City of Dundee | North | Scotland | 1 | Leuchars, 12 km |
| Perth | 56.394 | −3.432 | Perth and Kinross | North | Scotland | 5 | Leuchars, 35 km |
| Kinross | 56.208 | −3.423 | Perth and Kinross | North | Scotland | 1 | Leuchars, 40 km |
| Coaltown of Balgonie | 56.185 | −3.126 | Fife | North | Scotland | 11 | Leuchars, 27 km |
| East Saltoun | 55.901 | −2.840 | East Lothian | North | Scotland | 8 | Leuchars, 53 km |
| Lanark | 55.674 | −3.776 | South Lanarkshire | West | Scotland | 3 | Paisley, 45 km |
| St Boswells | 55.570 | −2.646 | Scottish Borders | North | Scotland | 10 | Eskdalemuir, 46 km |
| Ayr | 55.458 | −4.629 | South Ayrshire | West | Scotland | 1 | Paisley, 45 km |
| Strabane | 54.827 | −7.463 | Tyrone | West | N Ireland | 4 | Armagh, 75 km |
| Crossnacreevy | 54.556 | −5.849 | Down | West | N Ireland | 6 | Armagh, 57 km |
| Ballywalter | 54.543 | −5.484 | Down | West | N Ireland | 1 | Armagh, 79 km |
| Abergavenny | 51.825 | −3.019 | Monmouthshire | West | Wales | 2 | Ross-On-Wye, 31 km |
| Bowsden | 55.669 | −2.014 | Northumberland | North | England | 2 | Eskdalemuir, 85 km |
| Bainton | 53.957 | −0.533 | East Yorkshire | East | England | 6 | Whitby, 59 km |
| High Legh | 53.354 | −2.451 | Cheshire | West | England | 4 | Sheffield, 64 km |
| Horncastle | 53.208 | −0.113 | Lincolnshire | East | England | 7 | Waddington, 28 km |
| Edgmond | 52.775 | −2.412 | Shropshire | West | England | 5 | Shawbury, 17 km |
| Kings Lynn | 52.752 | 0.402 | Norfolk | East | England | 8 | Cambridge NIAB, 60 km |
| Wymondham | 52.569 | 1.115 | Norfolk | East | England | 11 | Lowestoft, 43 km |
| Fulbourn | 52.183 | 0.222 | Cambridgeshire | East | England | 1 | Cambridge NIAB, 11 km |
| Callow | 52.005 | −2.739 | Herefordshire | West | England | 4 | Ross-On-Wye, 15 km |
| Cirencester | 51.718 | −1.969 | Gloucestershire | West | England | 4 | Ross-On-Wye, 48 km |
| Stockbridge | 51.117 | −1.486 | Hampshire | West | England | 9 | Oxford, 73 km |
| Kingsbridge | 50.283 | −3.777 | Devon | West | England | 4 | Chivenor, 93 km |
Disclaimer/Publisher’s Note: The statements, opinions and data contained in all publications are solely those of the individual author(s) and contributor(s) and not of MDPI and/or the editor(s). MDPI and/or the editor(s) disclaim responsibility for any injury to people or property resulting from any ideas, methods, instructions or products referred to in the content. |
© 2024 by the authors. Licensee MDPI, Basel, Switzerland. This article is an open access article distributed under the terms and conditions of the Creative Commons Attribution (CC BY) license (https://creativecommons.org/licenses/by/4.0/).
Share and Cite
Yang, C.J.; Russell, J.; Mackay, I.; Powell, W. Opportunities to Improve the Recommendation of Plant Varieties under the Recommended List (RL) System. Agronomy 2024, 14, 2267. https://doi.org/10.3390/agronomy14102267
Yang CJ, Russell J, Mackay I, Powell W. Opportunities to Improve the Recommendation of Plant Varieties under the Recommended List (RL) System. Agronomy. 2024; 14(10):2267. https://doi.org/10.3390/agronomy14102267
Chicago/Turabian StyleYang, Chin Jian, Joanne Russell, Ian Mackay, and Wayne Powell. 2024. "Opportunities to Improve the Recommendation of Plant Varieties under the Recommended List (RL) System" Agronomy 14, no. 10: 2267. https://doi.org/10.3390/agronomy14102267
APA StyleYang, C. J., Russell, J., Mackay, I., & Powell, W. (2024). Opportunities to Improve the Recommendation of Plant Varieties under the Recommended List (RL) System. Agronomy, 14(10), 2267. https://doi.org/10.3390/agronomy14102267

