Abstract
Rice is an important cereal crop in many countries, but its production in the Senegal River Valley is hampered by adverse climatic conditions. This study was aimed at evaluating the diversity among genotypes and the association between several phenological and yield attributes of irrigated rice to mitigate the consequences of climate change. During the dry season of 2013–2014, 300 irrigated high yielding oryza sativa indica panel were used in an Alpha-lattice experiment at the Ndiaye research station in Senegal. Results revealed considerable differences between genotypes in yield and yield attributes. Grain yields ranged between 1378 and 9776 kg/ha. There were also substantial differences in the genotypic and phenotypic coefficients of variation, broad-sense heritability, genetic advance, and genetic advance as a percentage of the mean between evaluated traits. Days to heading (DH) had a higher broad-sense heritability (67.31%), indicating that the chances of transferring this trait for selection purposes will be higher, and genotypes may be used to generate early or late flowering lines. Significant positive and negative correlations were found between the studied traits and grain yield. Path analysis indicated that the maximum positive direct impact was observed with the harvest index (0.256), and the maximum negative direct effect was observed with the days to heading (−0.142). Results showed that 56 accessions outperformed the local check Giza 178, whose yield was 8987 kg/ha. Using principal component analysis and a dendrogram, genotypes were classified into four groups. The plant materials had significant variability and may be utilized to develop desired features in rice-breeding programs.
1. Introduction
Rice is among the most consumed cereals in West Africa in recent decades, and its consumption has shown the highest increase worldwide, from around 30 kg/year per capita in 1990 to 45 kg in 2010 [1,2]. Its consumption in Senegal has reached higher levels, with around 70 kg/year per capita in 2009 [3]. To satisfy such a gap, the country’s imports of rice in the decade 2008–2017 amounted on average to 1,500,000 metric tons, in addition to the average national production of about 580,000 tons [4]. This strong internal demand, as a sneak preview of the global West African situation, also reinforced by the hazardous international rice market, has prompted regional agricultural policies to promote local rice cultivation [5,6]. Nowadays, in Senegal, rice production has rapidly increased based on major infrastructure investments, mainly concentrated in the Senegal River Valley and Anambe Basin. For the last couple of decades, rice farming systems in the region have become increasingly threatened by factors such as decreased precipitation, prolonged droughts and floods, and soil degradation (salinization, acidification, and silting up); this has forced the Senegalese government and fund donors to undertake actions aimed at the recovery of the lowlands to secure rice production for smallholders. In the context of worldwide climate change, Panda et al. [7] and Singh et al. [8] mentioned that, in addition to biotic constraint damages, rice productivity is also considerably affected in rainfed areas due to the prevalence of floods, water deficits, and soil deficiencies. Abiotic stress occurrence is a critical factor that jeopardizes the productivity of rice, and its occurrence, particularly that of drought, is predicted to increase in the future [9,10,11,12]. Rice is extremely susceptible to drought stress [13]. Additionally, global warming is a serious threat to agricultural crop productivity [14]. Temperature fluctuations impact rice growth stages. Higher temperatures can affect rice fertility and cause a reduction in yields [15]. Various rice accessions respond to stresses in versatile ways that indicate their tolerance or susceptibility to the climatic stresses [16]. The availability of suitable and elite germplasm can then help combat the impacts of climate change [17,18]. Hence, it becomes important to explore the diversity and variability among the available germplasms.
Climatic fluctuations and stresses cause substantial yield losses depending on their intensity and duration of occurrence [19]. Stress occurrence in midseason can affect grain numbers as well as spikelet fertility, and severe productivity losses occur if stress prevails at heading stages [20,21]. Throughout a paradigm, Liu et al. [22] showed that climate change affects photosynthesis, leaf area, plant phenology, biomass, nitrogen uptake, soil profile, soil water content, fraction of roots waterlogged, and final grain yield. The yield and the performance of yield attributes are highly affected. Elite varieties in this scenario have the potential to sustain yields. For example, Anantha et al. [23] stated that stress-tolerant varieties have stable productivity when compared to susceptible individuals. The exploring diversity, selection, and breeding of resilient rice for stress tolerance are important elements to sustain crop productivity. Therefore, knowledge of the diversity and the genotypic variation regulating the extent of contributing traits on yield is highly essential for plant breeders [24]. The identification of desirable donors or parental lines is also important in crop improvement programs. The selection and identification of rice accessions in breeding trials are laborious and time-consuming processes, but they are essential components. Various agronomic and morphological characteristics need to be exploited under different management scenarios. Following that, accessions can be classified into different categories, groups, and subgroups. According to Chuchert et al. [25], rice crop breeders can classify accessions based on the performance of plant morphological and agronomic attributes. Whereas, according to Khomphet et al. [26] and Ichsan et al. [27], diversity among different attributes is a critical component in a crop population. Enhancing rice yield with broad-spectrum genetic resistance to multiple stresses that strongly inhibit plant growth and development is an economically feasible and environmentally sustainable alternative [28]. There are huge efforts to enhance rice’s adaptability and yields under hard climate conditions in Africa. For a few decades, researchers at the Africa Rice Center have continuously exploited the local genetic diversity to improve Asian rice species (Oryza sativa), which do not perform well on the continent. So, several new rice varieties, such as NERICA (New Rice for Africa), are being developed to tackle its hazardous importations and overcome population starvation [29].
Exploring the associations among different attributes is highly valuable to figure out their impact on crop yield and performance in rice-crop-breeding programs, which can ultimately lead to the identification of elite traits and accessions. According to Schober and Schwarte [30], the value of correlation or association ranges between −1 and +1, which indicates the positive or negative association among two different plant traits, whereas a zero value indicates no association. Hence, attributes indicating a higher and more positive correlation can be targeted for further yield enhancement. Employing multivariate statistical tools such as path coefficient analysis [31] can help identify the linkages among various attributes, which can assist in the identification of direct and indirect impacts contributing to the actual yield. This can also help in comparing the relative importance of attributes under evaluation. In rice breeding, direct impacting traits are valuable as they are associated with targeted attributes. The significance of the application of path coefficient analysis and its usefulness for the identification of associations between different yield attributes have been witnessed in numerous studies, including rice [11,32], cowpea [33], spinach [34], barley [35], and wheat [36]. Heritability, which is the proportion of phenotypic variance, explains the proportion of diversity that is passed from parental lines to progenies [12]. According to Khomphet et al. [26], it can be used to estimate the deviation or chances of improvement in targeted attributes, whereas it also explains the responses for the assortment. The extent of variability in a specific plant population determines the efficiency of the selection process. Moreover, the greater variability among the cultivars indicates better chances for improvement in the specific crop. Yield attributes usually have low values for heritability and generate difficulties in achieving the desired target for selection purposes. Therefore, Islam et al. [37] suggested choosing attributes that have high heritability and a strong association with yield attributes. For a better understanding of the selection process, variability could be utilized along with heritability, as suggested by Burton and DeVane [38]. Similar suggestions were also made by Johnson et al. [39]. Furthermore, the classification of genotypes into various groups can be performed using principal component analysis (PCA) and hierarchical clustering. In this case, similarly, behaving genotypes can be grouped together, and superior performers can be chosen from the group for further study [11,40].
Farmers have long complained that the only way to obtain competitive yields is to select plants that thrive in their difficult local climate. The objectives of this study were to do the following: (i) evaluate the performance of yield and yield components of lowland rice accessions under farming conditions in the Senegal Valley; (ii) determine the contribution of traits to the yield increase; and (iii) identify the ones performing well to be used as donors in breeding programs. Multiple statistical methods will be used to identify yield response, genotypic variability, effects, and associations among studied traits. To our knowledge, it was the first-time researchers assessed such a large number of accessions to combat rice climate change effects in Ndiaye.
2. Materials and Methods
2.1. Experimental Setup
The experiment was conducted at the Africa Rice Sahel station in Ndiaye during the dry season of 2013–14 under irrigated conditions. The experimental location was at 16°14′ N, 16°14′ W, and 9 m of altitude. The research site is located in the delta (Ndiaye) at 35 km inland of the Senegal River Valley, which is characterized by floods and droughts as climate change issues. These aforementioned constraints jeopardize the rice production in the location, and these risks have increased in the past couple of years. Prior to the planting, the soil’s physicochemical properties were known from earlier findings [41]. Ploughed A-horizon soil properties are presented in Table S1. Three hundred (300) rice genotypes were used in this assessment, and their descriptions are provided in Supplementary Table S2. The experiment was laid out using an alpha lattice design with three replications, where the local Sahel 108 and elite introduced rice varieties (Giza 178 and NERICA L20) were used as checks. Those aforementioned three rice varieties were the ones adopted and cultivated by the farmers for their organoleptic quality, high yield, and stress tolerance abilities. Giza 178 is known to be tolerant to salinity and occurs in several rice farms. Sahel 108 is a cold-tolerant rice variety released by the ISRA in Senegal. Unlike NERICA L20 which is an interspecific rice variety developed by breeders of AfricaRice, exploiting the interest genes of the African rice Oryza glaberrima accessionTOG5681 (good adaptation to local conditions), the rest (295 rice plant materials) consisted of parental lines, landraces, and newly developed progenies, which we are evaluating throughout MET (Multi Environmental Trials) to confirm their agronomic performances. Those progenies were developed using as donors some parents that are tolerant to several rice constraints. Those donors belong to diverse types such as landraces, wild rice species, O. glaberrima, etc. A seed nursery was established, and each genotype was transplanted 21 days after sowing in a plot size of 1 × 2 m having 10 rows with a single plant per hill in a spacing of 20 × 20 cm within and between rows.
2.2. Field Management and Cultural Practices
Irrigation was applied, while the water level in the plot was permanently maintained at 5–10 cm after crop establishment until at least 2 weeks after flowering, including vegetative and reproductive phases. Piezometers (1-12F4 X 14 Stainless Steel Piezometer w/Coupler, Rice Engineering & Operating, 9333 41 Ave Edmonton, AB, Canada) were installed at a depth of 1.75 m in the center of the bunds for daily measurement of water. Fertilizers were supplemented via the top-dress method, where they were broadcast over the entire field at vegetative and reproductive stages in different splits as detailed in Table 1. Recommended crop production practices for insect, weed, and bird control were performed to avoid damage from insect, pest, and disease attacks.
Table 1.
Fertilizer application at vegetative and reproductive crop stages.
2.3. Data Collection
Rice plants were manually harvested. All data were recorded based on the rice descriptors for morphological, agronomic, yield, and yield component traits [42]. Days to heading and maturity were counted from the day of planting to those at 95% heading and 95% plant maturity, respectively. Plant height was recorded from the topsoil to the panicles. Total leaf numbers and panicle numbers were counted as the number of leaves and panicles recorded on 10 plants randomly selected and taken as an average. Grain numbers were recorded as the number of filled grains per panicle harvested on 10 plants. Grain yield weight (kg) per 5 m2 and grain moisture content at 14% for each sample, and total dry matter were recorded by harvesting the plants from the same area. The harvest index was estimated as the ratio between grain yield and total dry matter.
2.4. Statistical Analysis
Data analysis was performed with the open-source statistical software R version 4.3.1 [43]. Descriptive statistics of recorded data such as days to heading (DH), days to maturity (DM), total leaf numbers (TL), grain numbers per panicle (GN), fertility percentage (FP), grain yield (GY), total dry matter (TDM), and harvest index (HI) obtained from three replications were generated with the ‘pastecs’ package R version 4.3.1 [44]. An analysis of variance was conducted with the function PBIB.test of the package agricolae R version 4.3.1 [45]. Genotypic (GCV) and phenotypic (PCV) coefficients of variation, broad-sense heritability (H2), genetic advance (GA), and genetic advance as percentage of mean (GAM) for the traits were computed with the function gen.var of the package variability R version 4.3.1 [46]. The coefficient of correlation among the studied variables was calculated through Pearson’s correlation analysis with the function corr_coef of the package metan R version 4.3.1 [47]. Path analysis to figure out the direct and indirect effects of studied traits on grain productivity and water-use efficiency was performed as used by the function path analysis of the package agricolae R version 4.3.1 [45]. Principal component analysis was carried out using the function pca of FactoMineR [48]. Hierarchical clustering of the accessions was performed with the function agnes of the ‘cluster’ package R version 4.3.1 [49]. The Euclidean distance and Ward classification methods were used to classify the tested accessions. The function fviz_dend of the package factoextra R version 4.3.1 [50] was used to plot the circular tree plot.
3. Results
3.1. Phenology, Leaf Numbers, and Fertility Percentage
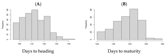
Statistical analysis showed that there was a highly significant difference among the accessions for days to heading, days to maturity, total leaf numbers, and fertility percentage (Table 2). The probability density curves showed a unimodal distribution of the aforementioned traits. Analysis indicated that days to heading varied among studied genotypes and were between 92 and 148 days, while the mean value was estimated at 112 days (Figure 1A). Similarly, days to maturity were between 103 and 163 days, with a mean value estimated at 139 days (Figure 1B). The total leaf numbers recorded per accession varied between 10 and 23, while the mean number of leaves per plant was 14 (Figure 1C). Considering the fertility percentage, the 300 accessions exhibited an 8–98% fertility percentage. Therefore, the mean fertility percentage recorded was estimated at 66% (Figure 1D).
Table 2.
Significance and mean squares obtained from analysis of variance for days to heading, days to maturity, total leaf numbers, grain numbers per panicle, fertility percent, grain yield, total dry matter, and harvest index of rice cultivars.

Figure 1.
Frequency plots for days to heading (A), days to maturity (B), total leaf numbers (C), and fertility percentage (D) of rice accessions grown at Ndiaye.
3.2. Total Dry Matter, Yield Components, and Harvest Index
Total dry matter, grain numbers per panicle, grain yield, and harvest index were significantly different, as indicated in the statistical analysis (Table 2), whereas probability density curves showed a unimodal distribution of recorded data. Analysis indicated that plants had between 3 and 144 grains per panicle, with an average of 58 grains per panicle (Figure 2A). Based on total dry matter, accessions had 70–8841 kg/ha of total dry matter, whereas their mean value was 1024 kg/ha of total dry matter (Figure 2B). A statistical study showed that maximum plants had grain yields between 642 and 9996 kg/ha, whereas its average grain yields were about 7645 kg/ha (Figure 2C). Similarly, the harvest index of accessions varied between 0.01 and 1.00 of the biomass weight, whereas the mean harvest index was estimated at 0.40 (Figure 2D).
Figure 2.
Frequency plots for grain numbers per panicle (A), total dry matter (B), grain yield (C), and harvest index (D) of rice accessions grown at Ndiaye.
3.3. Genotypic Variability
Genotypic variability assessment from the combined data indicated that the attributes, including Genotypic (GCV) and phenotypic (PCV) coefficients of variation, broad-sense heritability (H2), genetic advance (GA), and genetic advance as percentage of mean (GAM), were represented differentially for the studied attributes (Table 3), which showed that significant genotypic variability prevailed among lowland rice. GCV was categorized as high for total dry matter (27.01) and medium for number of grains per panicle (13.20), grain yield (15.31), and harvest index (16.75), while it was low for days to heading (7.50), days to maturity (5.01), total leaf numbers (5.14), and fertility percentage (8.21) (Table 3). The phenotypic coefficient of variation (PCV) was categorized as high for number of grains per panicle (36.09), fertility percentage (20.66), grain yield (38.17), total dry matter (49.42), and harvest index (29.00), while it was low for days to heading (9.14), days to maturity (6.52), and total leaf numbers (9.27) (Table 3).
Table 3.
Genotypic (GCV) and phenotypic (PCV) coefficients of variation, broad-sense heritability (H2), genetic advance (GA) and genetic advance as percentage of mean (GAM) among days to heading, days to maturity, total leaf numbers, grain numbers per panicle, fertility percent, grain yield, total dry matter, and harvest index of rice accessions.
Broad-sense heritability (H2) was categorized as high only for days to heading (67.31) and medium for days to maturity (59.12), total leaf numbers (30.72), and harvest index (33.31), whereas it was low for most of the attributes, including number of grains per panicle (11.71), fertility percentage (15.77), grain yield (16.08), and total dry matter (29.88) (Table 3).
Genetic advance (GA) was categorized as high for grain yield (1375.30) and total dry matter (311.46) and medium for days to heading (14.25) and days to maturity (11.00), while low for total leaf numbers (0.82), number of grains per panicle (5.03), fertility percentage (4.46), and harvest index (0.08). Similarly, genetic advance as a percentage of the mean (GAM) was categorized as high for total dry matter (30.43) and medium for days to heading (12.68), grain yield (17.99), and harvest index (20.16), whereas it was categorized as low for days to maturity (7.94), number of grains per panicle (8.62), and fertility percentage (6.71) (Table 3).
3.4. Correlation Study
Correlation analysis indicated a highly significant positive correlation between days to maturity, days to heading, and total leaf numbers. However, the degree of correlation varied among different traits (Figure 3). Similarly, there was a significant positive correlation between days to heading and total leaf numbers, as well as total dry matter. Moreover, days to maturity was positively correlated with total leaf number and total dry matter. There was a positive correlation between fertility percentage and days to maturity, as well as grain number per panicle. Furthermore, there was a positive correlation between the harvest index and grain yield. Grain yield exhibited negative correlations with total dry matter, total leaf numbers, days to heading, and days to maturity. The harvest index was negatively correlated with total dry matter, days to heading, and days to maturity. Grain number per panicle was negatively correlated with days to heading.
Figure 3.
Correlation among days to heading (DH), days to maturity (DM), total leaf numbers (TL), grain numbers per panicle (GN), fertility percent (FP), grain yield (GY), total dry matter (TDM), and harvest index (HI) of rice accessions. Red and purple highlighted colors specify negative and positive associations among attributes, respectively. A higher or lower association among parameters is indicated by the intensity of red or purple color.
3.5. Path Analysis
The results of the path analysis conducted for the studied traits showed direct and indirect impacts of the attributes on grain yield. The maximum positive direct impact was revealed on the harvest index (0.256) and grain numbers per panicle (0.019). In contrast, the maximum negative direct effect was exhibited by days to heading (−0.142), total leaf numbers (−0.033), days to maturity (−0.023), total dry matter (−0.018), and fertility percentage (−0.003) (Table 4).
Table 4.
Path analysis with the direct and indirect effects of examined attributes including days to heading (DH), days to maturity (DM), total leaf numbers (TL), grain numbers per panicle (GN), fertility percent (FP), grain yield (GY), total dry matter (TDM), and harvest index (HI) of rice accessions.
3.6. Principal Component Analysis and Classification of Accessions
Cluster analysis from the principal component analysis classified the examined accessions into four clusters with respect to studied traits, including days to heading, days to maturity, total leaf numbers, grain numbers per panicle, fertility percentage, grain yield, total dry matter, and harvest index. PC1 contributed 29.5%, while PC2 contributed 19.6%. The largest clusters, 1 and 2, included 145 and 88 accessions, respectively, whereas the lowest clusters, 3 and 4, included 48 and 19 accessions, respectively (Figure 4).
Figure 4.
Principal component analysis (PCA) obtained based on studied traits including days to heading, days to maturity, total leaf numbers, grain numbers per panicle, fertility percentage, grain yield, total dry matter, and harvest index of lowland rice accessions. Rice accessions denoted by the ●, ▲, ■, and + symbols are assigned to clusters 1, 2, 3, and 4, respectively.
Considering the studied traits, including days to heading, days to maturity, total leaf numbers, grain numbers per panicle, fertility percentage, grain yield, total dry matter, and harvest index, and the groups in the dendrogram, accessions were classified into four different groups, A, B, C, and D, which consisted of 48, 19, 145, and 88 accessions, respectively. Local elite rice varieties Sahel 108 and NERICA L20 are in group C, while the elite rice variety Giza 178, known for its high yield, tolerance to salinity, and grain quality, is in group B (Figure 5).
Figure 5.
Dendrogram of the classification of lowland rice accessions into four different groups based on studied traits including days to heading, days to maturity, total leaf numbers, grain numbers per panicle, fertility percentage, grain yield, total dry matter, and harvest index. Accessions are classified into four groups, A, B, C, and D, and each group is comprised of similarly acting accessions.
4. Discussion
Under severe climate circumstances in Ndiaye, Senegal, we investigated the diversity of 300 rice accessions to identify those with desired features in comparison to local elite cultivars Sahel 108, Giza 178, and NERICA L20. A statistical analysis of germplasm was then useful in determining yield-contributing factors that directly affect the performance of rice accessions. This strategy helped enhance the efficiency of the selection process and the rice-breeding objectives.
We observed that there was significant variability among the accessions and studied traits. We found that the studied cultivars possess a diverse range of plant characteristics and yield attributes. Statistical analysis indicated that DH, DM, TL, GN, FP, GY, TDM, and HI were highly significantly different. The studied accessions were also diverse in their phenology, with early, medium, and late days to heading and days to maturity. Early- and late-maturity plant materials could be utilized for the desired maturity or according to the predicted climate. Early maturity genotypes are capable of avoiding stress intervals [11], triggering drought avoidance phenomena in rice. For Zeng et al. [51], an early maturing attitude could prevent the toxic effects of salinity stress in rice. Days to heading and days to maturity were significantly positively correlated, which indicated that early flowering accessions had shorter maturity durations and vice versa. Based on the leaf number, most genotypes had leaf numbers between 11 and 17 leaves per plant. Higher leaf numbers contribute to higher biomass (total dry matter production). Similar findings have been observed in previous research [52,53]. Furthermore, accessions with higher leaf numbers could be used to develop high dry matter, producing elite lines.
Fertility percentage is important to determine the grain yield. A higher fertility percentage contributes to a higher number of grains per panicle, more grain weight, and, ultimately, a higher grain yield [54]. In addition, total dry matter and grain yield exhibited wide ranges of distributions with low, moderate, and high values. Some of the studied individuals performed better than the elite rice varieties, Sahel 108, Giza 178, and NERICA L20, adopted and cultivated in the location by farmers. Grain yield and total dry matter were negatively correlated. Therefore, the harvest index was positively correlated with grain yield and negatively correlated with total dry matter. For breeders, the number of grains per panicle is an important trait to select the best lines for yield improvement. Researchers focused on genotypes with high numbers of filled grains per panicle and the number of primary and secondary branches [55]. According to earlier findings, the ideal plant architecture model with low tiller numbers and a large panicle (200–250 grains per panicle) is the future target for rice breeding [56]. Grain numbers per panicle recorded on the evaluated accessions varied between 20 and 104. Despite several progenies possessing more grains per panicle than the three elite local varieties, we are still far from the plant model described by Khush [56]. The lowest number of grains per panicle recorded in our population could be caused by the soil and the drastic weather conditions in this location.
Genotypic coefficient of variation (GCV) and phenotypic coefficient of variation (PCV)—heritability (H2), genetic advance (GA), and genetic advance as percentage of mean (GAM) among studied traits, including days to heading, days to maturity, total leaf numbers, grain numbers per panicle, fertility percent, total dry matter, and harvest index—were categorized as low, medium, and high. It was found that variability prevailed among the studied traits. The phenotypic coefficient of variation was higher in value than the GCV for all traits, which revealed that the environment had a significant influence on the expression of all traits. Higher PCV than GCV for different agronomic traits has been observed in various studies [11,24,25]. The GCV is a measure of the amount of variation within a population for a particular trait. Genotypic variations are caused by differences in the number or structure of chromosomes or by differences in the genes carried by the chromosomes. It refers to the tendency of individual genetic characteristics in a population to vary from one another. It may also refer to the potential for a genotype to change or deviate when exposed to environmental or genetic factors. Therefore, the phenotypic superiority of selected plants or families over the original population is not solely due to their genotypic superiority. Improvement in the mean genotypic value of the selected families over that of the base population is known as genetic advance under selection. Heritability ranged between 12 and 67% for the studied traits. High heritability indicated that the genetic variability was greater in comparison to the environmental variability, whereas medium heritability indicates that the chances of transfer of the desired trait from parents to progenies will be reduced as compared to traits with high heritability. Therefore, selection and breeding for the desired attributes and further developments for increasing yield potential, such as developing high grain numbers per panicle, along with early and late maturity genotypes, would be beneficial. Similar results have been reported in various studies [11,57,58,59]. Higher heritability and higher genetic advance for some traits indicated that these attributes were regulated by the impacts of additive genes. Our results were supported by the findings of earlier research [25,60,61]. Genetic advance gives evidence on expected gains resulting from the selection of higher individuals. For Ogunbayo et al. [62], the estimation of heritability along with genetic advance combinations is more useful in predicating the gain under selection than heritability alone. Under these circumstances, our population consisted of accessions adapted to rice production and able to enhance its yield in the area of study.
We used path analysis to establish the direct and indirect impacts of the examined traits on grain yield. The results showed that harvest index (0.256) had the most positive direct influence, while days to heading (−0.142) had the greatest negative direct impact. The study indicated the relationship between studied traits and their impacts on grain yield. Directly impacting attributes could be utilized in the selection process in rice breeding for various desired objectives. Principal component analysis and cluster analysis were used to classify accessions into different groups based on the studied attributes, and four groups were identified. Similarly acting plant materials were grouped together, and results were similar to the previous findings [40,63]. Cluster analysis provides a summary of accessions that behave similarly and of those with superior yield features, which can be selected for future trait exploitation and plant development. There is a wide genetic diversity among the population screened for its performance with regards to the local elite checks used by rice producers. Exploring the results can have several beneficial consequences for rice production, nourish the inhabitants, and boost the local economy in the Senegal river valley. Furthermore, high-yield rice accessions noticed to possess good interest traits with positive direct impacts on productivity could be introduced into the farming system or used as gene donors in future regional breeding programs. Tendencies in the results obtained are due to the wide genetic diversity in the population assessed for this study, which offers a panoply of solutions to boost rice cultivation in Ndiaye. We were able to identify 56 rice accessions as performing better than the local check Giza 178, whose yield was 8987 kg/ha. Early research suggested combining genotyping with phenotyping to overcome environmental constraints and swiftly and efficiently achieve the targets in order to better leverage the genes of interest present in potential rice genotypes [64,65].
5. Conclusions
This study highlights the potential of 300 accessions evaluated after screening and examining the diversity among germplasms under the agro-climatic conditions at Ndiaye in Senegal. Some of them demonstrated a remarkable ability to preserve rice yield and resilience during rice-crop-breeding operations in this climate-change-affected region. Our results indicated that there was a significant variation in yield and yield components among genotypes. Grain yields ranged between 1378 and 9776 kg/ha. Fifty-six accessions exhibited yields superior to those of the most productive elite variety, Giza 178, with 8987 kg/ha. There was also significant variability for the genotypic and phenotypic coefficients of variation, broad-sense heritability, genetic advance, and genetic advance as a percentage of the mean among the studied traits. Higher broad-sense heritability was observed for days to heading (67.31), indicating that the chances of a transfer of heading days will be higher for selection purposes and that accessions could be utilized to develop early or late flowering ones. Significant positive and negative associations were observed between the studied traits and the grain yield of lowland rice. Path analysis indicated that the maximum positive direct impact was observed with the harvest index (0.227) and the number of grains per panicle (0.019). Consequently, the maximum negative direct effect was observed with the days to heading (−0.142), followed by the total leaf numbers (−0.033), days to maturity (−0.023), total dry matter (−0.018), and fertility percentage (−0.003). Accessions were classified into four groups based on the studied attributes using principal component analysis and a dendrogram. It was concluded that screened genotypes had significant variability and could be utilized for acquiring desired traits in the selection process of rice-breeding programs. The objectives of the study were reached, and we discovered 56 new high yield rice accessions adapted to the location’s climate conditions. Some of these accessions can also be used as donor parents in breeding programs.
Supplementary Materials
The following supporting information can be downloaded at https://www.mdpi.com/article/10.3390/agronomy13092218/s1: Table S1: Initial topsoil characteristics for the long-term experiments at Ndiaye, Senegal, determined in 1997 [41]; Table S2: List and sources of the 300 rice accessions used; Table S3: Field randomization.
Author Contributions
Conceptualization, Y.D.M., D.M. and B.M.; Methodology, Y.D.M., S.M.B.L. and D.M.; Software, M.S. and R.B.; Formal analysis, M.S., T.H. and R.B.; Investigation, Y.D.M.; Resources, Y.D.M. and S.M.B.L.; Data curation, M.S. and D.M.; Writing—original draft, Y.D.M., S.M.B.L., M.S. and R.B.; Writing—review & editing, M.S., D.M., T.H. and R.B.; Visualization, T.H.; Supervision, Y.D.M. and B.M.; Project administration, Y.D.M. and B.M.; Funding acquisition, B.M. All authors have read and agreed to the published version of the manuscript.
Funding
The Global Rice Science Partnership (GRiSP) supported this project as a CGIAR Research Program initiative to bring together research and development partners from around the world to undertake and deliver rice research. GRiSP aims to “dramatically improve the ability of rice farmers to feed growing populations in some of the world’s poorest nations”. GRiSP was led by three international centers: International Rice Research Institute (IRRI), the Africa Rice Center (AfricaRice), and the International Center for Tropical Agriculture (CIAT). The Africa Rice Center Sahel Station at Ndiaye (Saint Louis) conducted activities to discover new varieties adapted to climate change disasters in the Senegal Delta River.
Data Availability Statement
Data are provided with this article and Supplementary Materials.
Acknowledgments
“The costs of publishing this article in Open Access were paid with support from the One CGIAR Excellence in Agronomy (EiA) initiative”. The authors thank the management of AfricaRice for fi-nancing this research throughout the GrisP Program. We also thank the Genetic Resources Unit (GRU) of AfricaRice and NARS partners such as ISRA (Senegal) and IER (Mali) for providing some seed samples. We are grateful for the kind collaboration of Yedomon Ange Bovys Zoclanclounon in data analysis. A particular thank goes to the field team for the assessment activities.
Conflicts of Interest
The authors declare no conflict of interest.
References
- Ahmadi, N.; Bouman, B. Riz et rizicultures, enjeux économiques, écologiques et scientifiques. Cah. Agric. 2013, 2222, 333–335. [Google Scholar] [CrossRef]
- Mendez Del Villar, P.M.; Bauer, J.M. Le riz en Afrique de l’Ouest: Dynamiques, politiques et perspectives. Cah. Agric. 2013, 2222, 336–344. [Google Scholar]
- Maclean, J.; Hardy, B.; Hettel, G. Rice Almanac: Source Book for One of the Most Important Economic Activities on Earth, 3rd ed.; IRRI: Manila, Philippines, 2013; pp. 216–217. ISBN 0-85199-636-1. [Google Scholar]
- FAOSTAT Statistical Database; FAO (Food and Agriculture Organization of the United Nations): Rome, Italy, 2020; Available online: http://www.fao.org/faostat/en/#home (accessed on 21 June 2020).
- Mendez Del Villar, P.; Bauer, J.M.; Maiga, A.; Ibrahim, L. Crise Rizicole, Évolution des Marchés et Sécurité Alimentaire en AFRIQUE de l’Ouest; Appraisal Report; CIRAD: Montpellier, France, 2011. [Google Scholar]
- Seck, P.A.; Togola, A.; Touré, A.; Diagne, A. Propositions pour une optimisation des performances de la riziculture en Afrique de l’Ouest. Cah. Agric. 2013, 2222, 361–368. [Google Scholar]
- Panda, D.; Mohanty, B.; Behera, P.K.; Barik, J.; Mishra, S.S. Harnessing leaf photosynthetic traits and antioxidant defence for multiple stress tolerance in three premium indigenous rice landraces of Jeypore tract of Odisha, India. Funct. Plant Biol. 2020, 47, 99–111. [Google Scholar] [CrossRef]
- Singh, B.; Mishra, S.; Bisht, D.S.; Joshi, R. Growing Rice with Less Water: Improving Productivity by Decreasing Water Demand. In Rice Improvement; Ali, J., Wani, S.H., Eds.; Springer: Cham, Switzerland, 2021. [Google Scholar] [CrossRef]
- Ahmad, A.; Aslam, Z.; Naz, M.; Hussain, S.; Javed, T.; Aslam, S.; Raza, A.; Ali, H.M.; Siddiqui, M.H.; Salem, M.Z.M.; et al. Exogenous salicylic acid-induced drought stress tolerance in wheat (Triticum aestivum L.) grown under hydroponic culture. PLoS ONE 2021, 16, e0260556. [Google Scholar] [CrossRef]
- Abdelhamid, H.; Sherbiny, E.; El-hashash, E.F.; El-enin, M.M.A.; Nofal, R.S.; El-mageed, T.A.A.; Bleih, E.M.; El-Saadony, M.T.; El-Tarabily, K.A.; Shaaban, A. Exogenously Applied Salicylic Acid Boosts Morpho-Physiological Traits, Yield, and Water Productivity of Lowland Rice under Normal and Deficit Irrigation. Agronomy 2022, 12, 1860. [Google Scholar]
- Hussain, T.; Hussain, N.; Tahir, M.; Raina, A.; Ikram, S.; Maqbool, S.; Fraz Ali, M.; Duangpan, S. Impacts of Drought Stress on Water Use Efficiency and Grain Productivity of Rice and Utilization of Genotypic Variability to Combat Climate Change. Agronomy 2022, 12, 2518. [Google Scholar] [CrossRef]
- Singhal, R.K.; Fahad, S.; Kumar, P.; Choyal, P.; Javed, T.; Jinger, D.; Singh, P.; Saha, D.; Md, P.; Bose, B.; et al. Beneficial elements: New Players in improving nutrient use efficiency and abiotic stress tolerance. Plant Growth Regul. 2023, 100, 237–265. [Google Scholar] [CrossRef]
- Agarwal, P.; Parida, S.K.; Raghuvanshi, S.; Kapoor, S.; Khurana, P.; Khurana, J.P.; Tyagi, A.K. Rice Improvement through Genome-Based Functional Analysis and Molecular Breeding in India. Rice 2016, 9, 1. [Google Scholar] [CrossRef]
- Janni, M.; Gullì, M.; Maestri, E.; Marmiroli, M.; Valliyodan, B.; Nguyen, H.T.; Marmiroli, N. Molecular and genetic bases of heat stress responses in crop plants and breeding for increased resilience and productivity. J. Exp. Bot. 2020, 71, 3780–3802. [Google Scholar] [CrossRef]
- Song, Y.; Wang, C.; Linderholm, H.W.; Fu, Y.; Cai, W.; Xu, J.; Zhuang, L.; Wu, M.; Shi, Y.; Wang, G.; et al. The negative impact of increasing temperatures on rice yields in southern China. Sci. Total Environ. 2022, 820, 153262. [Google Scholar] [CrossRef] [PubMed]
- Lawas, L.M.F.; Li, X.; Erban, A.; Kopka, J.; Jagadish, S.V.K.; Zuther, E.; Hincha, D.K. Metabolic responses of rice cultivars with different tolerance to combined drought and heat stress under field conditions. GigaScience 2019, 8, 5. [Google Scholar] [CrossRef] [PubMed]
- Bocco, R.; Lorieux, M.; Futakuchi, K.; Manneh, B.; Baimey, H.; Ndjiondjop, M.N. Agro-morphological characterization of a population of introgression lines derived from crosses between IR 64 (O. sativa indica) and TOG 5681 (O. glaberrima) for drought tolerance. Plant Sci. 2012, 183, 65–76. [Google Scholar] [CrossRef] [PubMed]
- Mishra, S.S.; Behera, P.K.; Kumar, V.; Lenka, S.K.; Panda, D. Physiological characterization and allelic diversity of selected drought tolerant traditional rice (Oryza sativa L.) landraces of Koraput, India. Physiol. Mol. Biol. Plants 2018, 24, 1035–1046. [Google Scholar] [CrossRef]
- Muehe, E.M.; Wang, T.; Kerl, C.F.; Planer-Friedrich, B.; Fendorf, S. Rice production threatened by coupled stresses of climate and soil arsenic. Nat. Commun. 2019, 10, 4985. [Google Scholar] [CrossRef]
- Zeng, D.; Tian, Z.; Rao, Y.; Dong, G.; Yang, Y.; Huang, L.; Leng, Y.; Xu, J.; Sun, C.; Zhang, G.; et al. Rational design of high-yield and superior-quality rice. Nat. Plants 2017, 3, 17031. [Google Scholar] [CrossRef]
- Shrestha, A.; Cosenza, F.; van Inghelandt, D.; Wu, P.-Y.; Li, J.; Casale, F.A.; Weisweiler, M.; Stich, B. The double round-robin population unravels the genetic architecture of grain size in barley. J. Exp. Bot. 2022, 73, 7344–7361. [Google Scholar] [CrossRef]
- Liu, K.; Harrison, M.T.; Yan, H.; Liu, D.L.; Meinke, H.; Hoogenboom, G.; Bin Wang, B.; Bin Peng, B.; Guan, K.; Jaegermeyr, J.; et al. Silver lining to a climate crisis in multiple prospects for alleviating crop waterlogging under future climates. Nat. Commun. 2023, 14, 765. [Google Scholar] [CrossRef]
- Anantha, M.S.; Patel, D.; Quintana, M.; Swain, P.; Dwivedi, J.L.; Torres, R.O.; Verulkar, S.B.; Variar, M.; Mandal, N.P.; Kumar, A.; et al. Trait combinations that improve rice yield under drought: Sahbhagi Dhan and new drought-tolerant varieties in South Asia. Crop Sci. 2016, 56, 408–421. [Google Scholar] [CrossRef]
- Singh, P.; Singh, S.K.; Korada, M.; Khaire, A.; Singh, D.K.; Habde, S.V.; Majhi, P.K.; Naik, R. Exploring variability and genetic diversity among rice genotypes in Eastern Uttar Pradesh. Electron. J. Plant Breed. 2022, 12, 1367–1374. [Google Scholar] [CrossRef]
- Chuchert, S.; Nualsri, C.; Junsawang, N.; Soonsuwon, W. Genetic diversity, genetic variability, and path analysis for yield and its components in indigenous upland rice (Oryza sativa L. var. glutinosa). Songklanakarin J. Sci. Technol. 2018, 40, 609–616. [Google Scholar] [CrossRef]
- Khomphet, T.; Intana, W.; Promwee, A.; Islam, S.S. Genetic Variability, Correlation, and Path Analysis of Thai Commercial Melon Varieties. Int. J. Agron. 2022, 7877239. [Google Scholar] [CrossRef]
- Ichsan, C.N.; Basyah, B.; Zakaria, S.; Efendi, E. Differences of water status and relationship with roots growth and yield of rice under water stress. Syst. Rev. Pharm. 2020, 11, 611–618. [Google Scholar]
- González Guzmán, M.; Cellini, F.; Fotopoulos, V.; Balestrini, R.; Arbona, V. New approaches to improve crop tolerance to biotic and abiotic stresses. Special Issue Article. Physiol. Plant. 2022, 147, e13547. [Google Scholar] [CrossRef]
- Diagne, A.; Mindingoyi, S.; Wopereis, M.; Akintayo, I. The NERICA Success Story: Development, Achievements and Lessons Learned; The Africa Rice Center (Africa Rice): Cotonou, Benin, 2010. [Google Scholar]
- Schober, P.; Schwarte, L.A. Correlation coefficients: Appropriate use and interpretation. Anesth. Analg. 2018, 126, 1763–1768. [Google Scholar] [CrossRef]
- Lleras, C. Path Analysis. In Encyclopedia of Social Measurement; Kempf-Leonard, K., Ed.; Elsevier Inc.: Amsterdam, The Netherlands, 2005; pp. 25–30. [Google Scholar] [CrossRef]
- Sari, W.K.; Nualsri, C.; Junsawang, N.; Soonsuwon, W. Combining ability and heritability for yield and its related traits in Thai. Agric. Nat. Resour. 2020, 54, 229–236. [Google Scholar]
- Raina, A.; Laskar, R.A.; Wani, M.; Jan, B.L.; Ali, S.; Khan, S. Gamma Rays and Sodium Azide Induced Genetic Variability in High-Yielding and Biofortified Mutant Lines in Cowpea [Vigna unguiculata (L.) Walp.]. Front. Plant Sci. 2022, 13, 911049. [Google Scholar] [CrossRef]
- Rashid, M.; Yousaf, Z.; Din, A.; Munawar, M.; Aftab, A.; Riaz, N.; Younas, A.; Alaraidh, I.A.; Okla, M.K.; AbdElgawad, H. Assessment of Mineral Nutrient Efficiency in Genetically Diverse Spinach Accessions by Biochemical and Functional Marker Strategies. Front. Plant Sci. 2022, 13, 889604. [Google Scholar] [CrossRef]
- Arpali, D.; Yagmur, M. The Determination of Selection Criteria Using Path Analysis in Two Rowed Barley (Hordeum vulgare L. Conv. Distichon). Turk. J. Agric. Nat. Sci. 2015, 2, 248–255. [Google Scholar]
- Shamuyarira, K.W.; Shimelis, H.A.; Mathew, I.; Tsilo, T.J. Correlation and path coefficient analyses of yield and yield components in drought-tolerant bread wheat populations. S. Afr. J. Plant Soil 2019, 36, 367–374. [Google Scholar] [CrossRef]
- Islam, S.; Anothai, J.; Nualsri, C.; Soonsuwon, W. Correlation and path analysis of phenological traits of Thai upland rice genotypes. Songklanakarin J. Plant Sci. 2020, 7, 133–142. [Google Scholar]
- Burton, G.W.; DeVane, E.H. Estimating Heritability in Tall Fescue (Festuca arundinacea) from Replicated Clonal Material1. Agron. J. 1953, 45, 478–481. [Google Scholar] [CrossRef]
- Johnson, H.W.; Robinson, H.F.; Comstock, R.E. Estimates of Genetic and Environmental Variability in Soybeans1. Agron. J. 1955, 47, 314–318. [Google Scholar] [CrossRef]
- Duangpan, S.; Buapet, P.; Sujitto, S.; Eksomtramage, T. Early assessment of drought tolerance in oil palm D × P progenies using growth and physiological characters in seedling stage. Plant Genet. Resour. 2018, 16, 544–554. [Google Scholar] [CrossRef]
- Haefele, S.M.; Wopereis, M.C.S.; Wiechmann, H. Long-term fertility experiments for irrigated rice in the West African Sahel: Agronomic results. Field Crop. Res. 2002, 78, 119–131. [Google Scholar] [CrossRef]
- IRRI. Standard Evaluation System (SES) for Rice; International Rice Research Institute: Los Banos, Philippines, 2002; 65p. [Google Scholar]
- R Core Team. R: A Language and Environment for Statistical Computing; R Core Team: Vienna, Austria, 2021; Available online: https://www.r-project.org/ (accessed on 1 December 2021).
- Grosjean, P.; Ibanez, F. pastecs: Package for Analysis of Space-Time Ecological Series. R Package Version 1.3.21. 2018. Available online: https://CRAN.R-project.org/package=pastecs (accessed on 1 December 2021).
- de Mendiburu, F. agricolae: Statistical Procedures for Agricultural Research. R Package Version 1.3-5. 2021. Available online: https://CRAN.R-project.org/package=agricolae (accessed on 1 December 2021).
- Popat, R.; Patel, R.; Parmar, D. variability: Genetic Variability Analysis for Plant Breeding Research. R Package Version 0.1.0. 2020. Available online: https://CRAN.R-project.org/package=variability (accessed on 1 December 2021).
- Olivoto, T.; Lúcio, A.D. metan: An R package for multi-environment trial analysis. Methods Ecol. Evol. 2020, 11, 783–789. [Google Scholar] [CrossRef]
- Lê, S.; Josse, J.; Husson, F. FactoMineR: An R package for multivariate analysis. J. Stat. Softw. 2008, 25, 1–18. [Google Scholar] [CrossRef]
- Maechler, M.; Rousseeuw, P.; Struyf, A.; Hubert, M.; Hornik, K.; cluster: Cluster Analysis Basics and Extensions. R Package Version 2.1.4. 2022. Available online: https://CRAN.R-project.org/package=cluster (accessed on 1 December 2021).
- Kassambara, A.; Mundt, F. factoextra: Extract and Visualize the Results of Multivariate Data Analyses. R Package Version 1.0.7. 2020. Available online: https://CRAN.R-project.org/package=factoextra (accessed on 1 December 2021).
- Zeng, L.; Shannon, M.; Grieve, C. Evaluation of salt tolerance in rice genotypes by multiple agronomic parameters. Euphytica 2002, 127, 235–245. [Google Scholar] [CrossRef]
- Vendruscolo, T.P.S.; Barelli, M.A.A.; Castrillon, M.A.S.; da Silva, R.S.; de Oliveira, F.T.; Corrêa, C.L.; Zago, B.W.; Tardin, F.D. Correlation and path analysis of biomass sorghum production. Genet. Mol. Res. 2016, 15, 1–106. [Google Scholar] [CrossRef]
- Hussain, N.; Ahmed, M.; Duangpan, S.; Hussain, T.; Taweekun, J. Potential impacts of water stress on rice biomass composition and feedstock availability for bioenergy production. Sustainability 2021, 13, 10449. [Google Scholar] [CrossRef]
- Kalaiselvan, S.; Subramanian, A.; Thirumurugan, T.; Rajanbabu, V. Genetic variability and association studies in F2 population of rice under sodicity. Electron. J. Plant Breed. 2019, 10, 601–613. [Google Scholar] [CrossRef]
- Gunasekaran, A.; Seshadri, G.; Ramasamy, S.; Muthurajan, R.; Karuppasamy, K.S. Identification of Newer Stable Genetic Sources for High Grain Number per Panicle and Understanding the Gene Action for Important Panicle Traits in Rice. Plants 2023, 12, 250. [Google Scholar] [CrossRef]
- Khush, G. What it will take to feed 5.0 billion rice consumers in 2030. Plant Mol. Biol. 2005, 59, 1–6. [Google Scholar] [CrossRef] [PubMed]
- Poehlman, J. Breeding Field Crops; The Avi Publishing Company, Incorporation: Westport, CT, USA, 1979. [Google Scholar]
- Sari, W.K.; Nualsri, C.; Junsawang, N.; Soonsuwon, W. Path analysis for yield and its components in F1 upland rice hybrids and their parental lines. Songklanakarin J. Sci. Technol. 2019, 41, 1419–1425. [Google Scholar]
- Lu, Y.; Chuan, M.; Wang, H.; Chen, R.; Tao, T.; Zhou, Y.; Xu, Y.; Li, P.; Yao, Y.; Xu, C.; et al. Genetic and molecular factors in determining grain number per panicle of rice. Front. Plant Sci. 2022, 13, 964246. [Google Scholar] [CrossRef]
- Vange, T. Biometrical studies on genetic diversity of some upland rice (Oryza sativa L.) accessions. Nat. Sci. 2009, 7, 21–27. [Google Scholar]
- Sumanth, V.; Suresh, B.G.; Ram, B.J.; Srujana, G. Estimation of genetic variability, heritability and genetic advance for grain yield components in rice (Oryza sativa L.). J. Pharmacogn. Phytochem. 2017, 6, 1437–1439. [Google Scholar]
- Ogunbayo, S.A.; Sié, M.; Ojo, D.K.; Sanni, K.A.; Akinwale, M.G.; Toulou, B.; Shittu, A.; Idehen, E.O.; Popoola, A.R.; Daniel, I.O.; et al. Genetic variation and heritability of yield and related traits in promising rice genotypes (Oryza sativa L.). J. Plant Breed. Crop Sci. 2014, 6, 153–159. [Google Scholar]
- Hussain, T.; Hussain, N.; Ahmed, M.; Nualsri, C.; Duangpan, S. Responses of lowland rice genotypes under terminal water stress and identification of drought tolerance to stabilize rice productivity in southern thailand. Plants 2021, 10, 2565. [Google Scholar] [CrossRef]
- Moukoumbi, Y.D.; El-Namaky, R.; Djaman, K.; Mbodj, D.; Manneh, B. Alternate phenotype–genotype selection for developing superior high-yielding irrigated rice lines. Crop J. 2018, 6, 191–201. [Google Scholar] [CrossRef]
- Xie, W.; Wang, G.; Yuan, M.; Yao, W.; Lyu, K.; Zhao, H.; Yang, M.; Li, P.; Zhang, X.; Yuan, J.; et al. Breeding Signatures of Rice Improvement Revealed by a Genomic Variation Map from a Large Germplasm Collection. Proc. Natl. Acad. Sci. USA 2015, 112, 5411–5419. [Google Scholar]
Disclaimer/Publisher’s Note: The statements, opinions and data contained in all publications are solely those of the individual author(s) and contributor(s) and not of MDPI and/or the editor(s). MDPI and/or the editor(s) disclaim responsibility for any injury to people or property resulting from any ideas, methods, instructions or products referred to in the content. |
© 2023 by the authors. Licensee MDPI, Basel, Switzerland. This article is an open access article distributed under the terms and conditions of the Creative Commons Attribution (CC BY) license (https://creativecommons.org/licenses/by/4.0/).