Response of Soil Absolute and Specific Enzyme Activities to Long-Term Application of Organic Fertilizer to Solonetz in Northeast China
Abstract
1. Introduction
2. Materials and Methods
2.1. Site Description
2.2. Measurements and Methods
2.3. Statistical Analysis
3. Results
3.1. Soil Properties
3.2. Absolute Enzyme Activities
3.3. Specific Enzyme Activities per Unit of SOC (EA/SOC) and MBC (EA/MBC)
3.4. Geometric Mean of Absolute and Specific Enzyme Activity
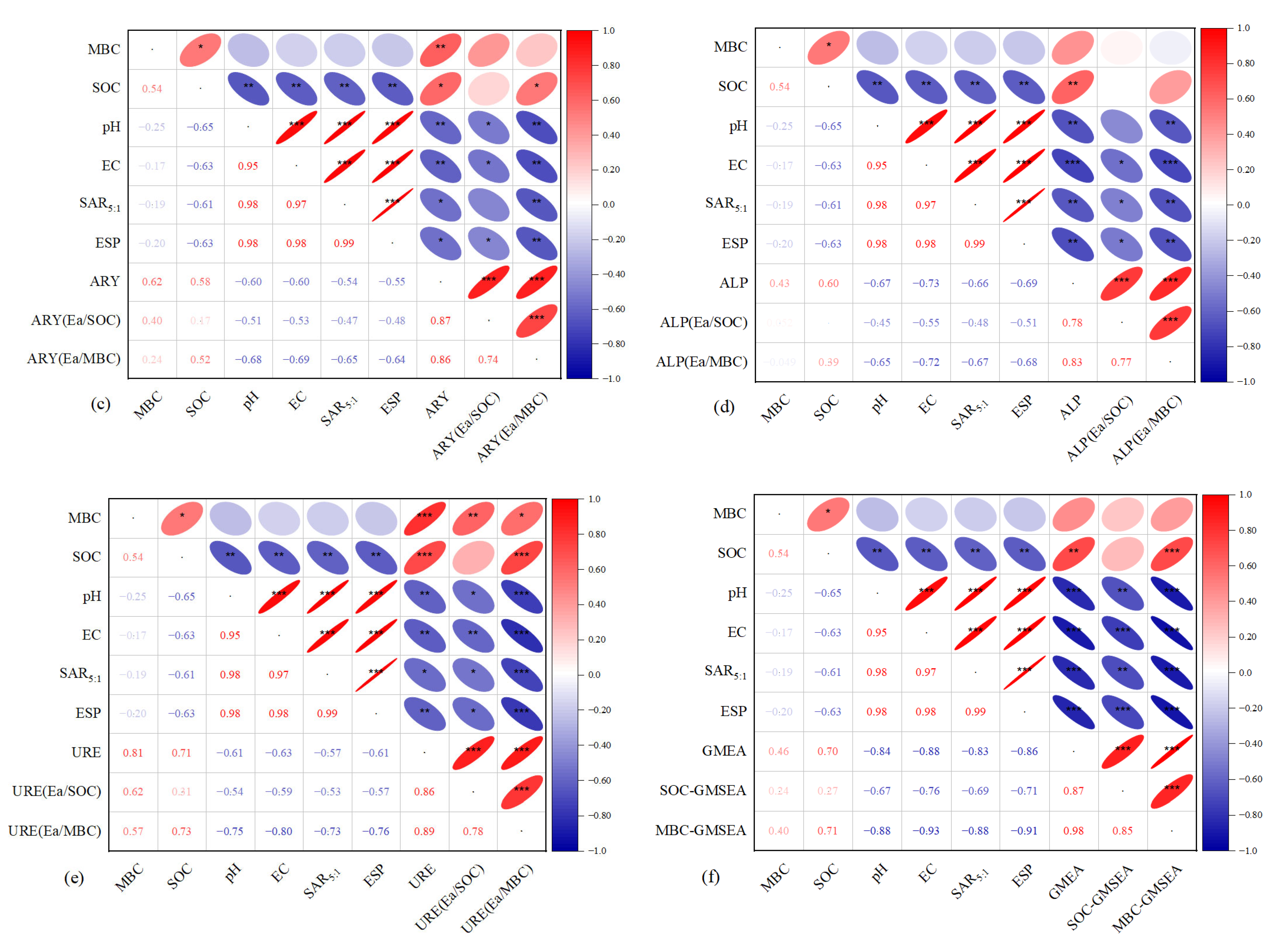
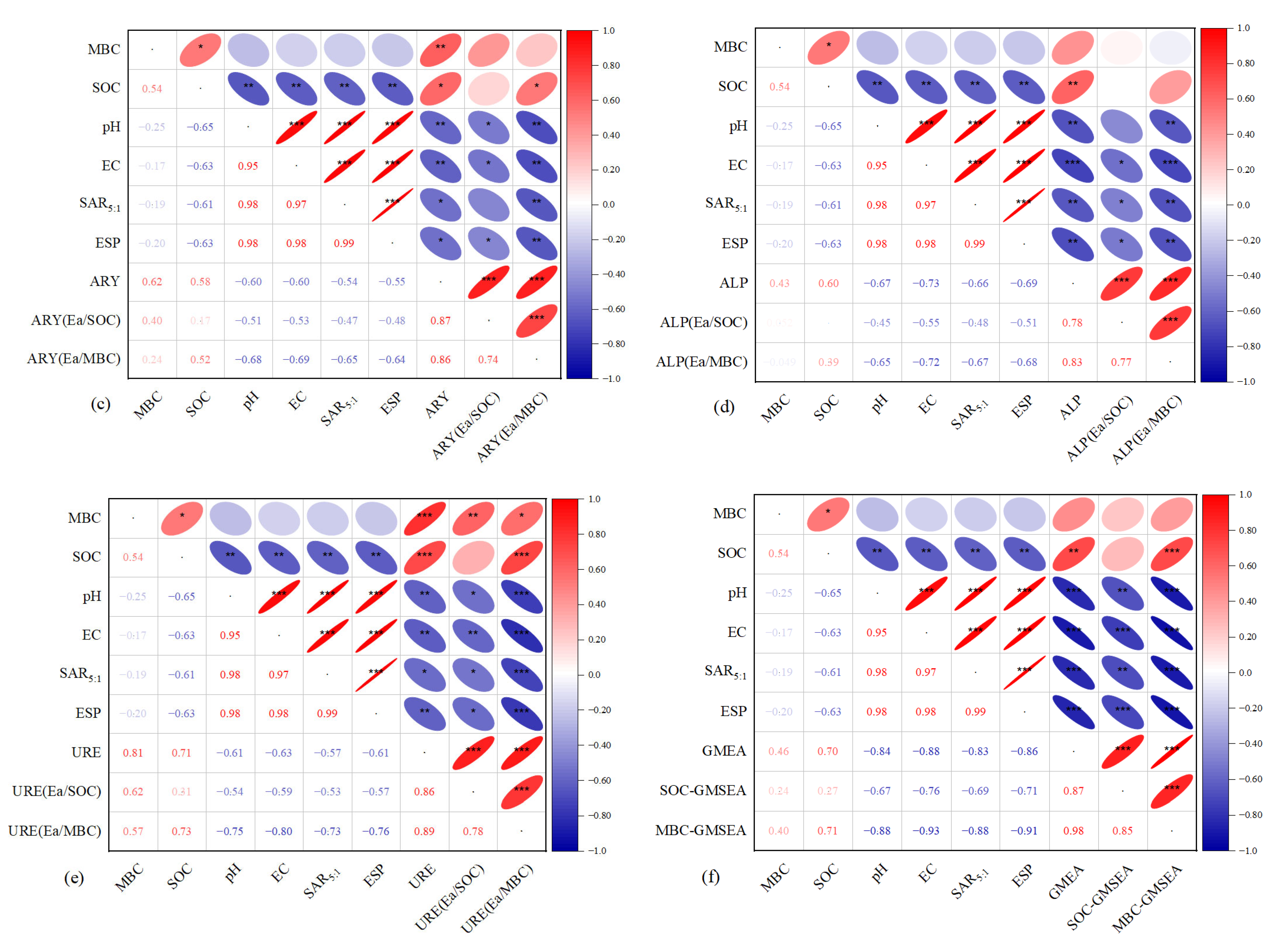
3.5. Relationships between the Soil Properties and Enzymes
4. Discussion
5. Conclusions
Author Contributions
Funding
Data Availability Statement
Conflicts of Interest
References
- Singh, A. Soil salinization and waterlogging: A threat to environment and agricultural sustainability. Ecol. Indic. 2015, 57, 128–130. [Google Scholar] [CrossRef]
- Yu, P.; Liu, S.; Yang, H.; Fan, G.; Zhou, D. Short-term land use conversions influence the profile distribution of soil salinity and sodicity in northeastern China. Ecol. Indic. 2018, 88, 79–87. [Google Scholar] [CrossRef]
- Wang, L.; Seki, K.; Miyazaki, T.; Ishihama, Y. The causes of soil alkalinization in the Songnen Plain of Northeast China. Paddy Water Environ. 2009, 7, 259–270. [Google Scholar] [CrossRef]
- IUSS Working Group WRB. World Soil Resources Reports No. 106. In World Reference Base for Soil Resources 2014; Schad, P., van Huyssteen, C., Micheli, E., Eds.; FAO: Rome, Italy, 2014; p. 189. ISBN 978-92-5-108369-7. [Google Scholar]
- IUSS Working Group WRB. International Soil Classification System for Naming Soils and Creating Legends for Soil Maps. In World Reference Base for Soil Resources, 4th ed.; International Union of Soil Sciences (IUSS): Vienna, Austria, 2022. [Google Scholar]
- De Souza Oliveira Filho, J.; Pinheiro Junior, C.R.; Pereira, M.G.; Valladares, G.S.; Camara, R. Sodification and solodization processes: Pedogenesis or natural soil degradation? J. South Am. Earth Sci. 2020, 104, 102909. [Google Scholar] [CrossRef]
- Shaaban, M.; Wu, Y.; Núñez-Delgado, A.; Kuzyakov, Y.; Peng, Q.-A.; Lin, S.; Hu, R. Enzyme activities and organic matter mineralization in response to application of gypsum, manure and rice straw in saline and sodic soils. Environ. Res. 2023, 224, 115393. [Google Scholar] [CrossRef]
- Meng, Q.-F.; Li, D.-W.; Zhang, J.; Zhou, L.-R.; Ma, X.-F.; Wang, H.-Y.; Wang, G.-C. Soil properties and corn (Zea mays L.) production under manure application combined with deep tillage management in solonetzic soils of Songnen Plain, Northeast China. J. Integr. Agric. 2016, 15, 879–890. [Google Scholar] [CrossRef]
- Zhu, F.; Huang, N.; Xue, S.; Hartley, W.; Li, Y.; Zou, Q. Effects of binding materials on microaggregate size distribution in bauxite residues. Environ. Sci. Pollut. Res. 2016, 23, 23867–23875. [Google Scholar] [CrossRef]
- Jia, J.; Zhang, J.; Li, Y.; Koziol, L.; Podzikowski, L.; Delgado-Baquerizo, M.; Wang, G.; Zhang, J. Relationships between soil biodiversity and multifunctionality in croplands depend on salinity and organic matter. Geoderma 2023, 429, 116273. [Google Scholar] [CrossRef]
- Ali, S.; Dongchu, L.; Jing, H.; Ahmed, W.; Abbas, M.; Qaswar, M.; Kofi, C.; Lu, Z.; Boren, W.; Yongmei, X.; et al. Soil microbial biomass and extracellular enzymes regulate nitrogen mineralization in a wheat-maize cropping system after three decades of fertilization in a Chinese Ferrosol. J. Soils Sediments 2020, 21, 281–294. [Google Scholar] [CrossRef]
- Mao, X.; Yang, Y.; Guan, P.; Geng, L.; Ma, L.; Di, H.; Liu, W.; Li, B. Remediation of organic amendments on soil salinization: Focusing on the relationship between soil salts and microbial communities. Ecotoxicol. Environ. Saf. 2022, 239, 113616. [Google Scholar] [CrossRef]
- Ji, L.; Si, H.; He, J.; Fan, L.; Li, L. The shifts of maize soil microbial community and networks are related to soil properties under different organic fertilizers. Rhizosphere 2021, 19, 100388. [Google Scholar] [CrossRef]
- Filip, Z. International approach to assessing soil quality by ecologically-related biological parameters. Agric. Ecosyst. Environ. 2002, 88, 169–174. [Google Scholar] [CrossRef]
- Acosta-Martínez, V.; Pérez-Guzmán, L.; Johnson, J.M.F. Simultaneous determination of β-glucosidase, β-glucosaminidase, acid phosphomonoesterase, and arylsulfatase activities in a soil sample for a biogeochemical cycling index. Appl. Soil Ecol. 2019, 142, 72–80. [Google Scholar] [CrossRef]
- Xu, H.; Qu, Q.; Lu, B.; Li, P.; Xue, S.; Liu, G. Response of soil specific enzyme activity to vegetation restoration in the Loess hilly region of China. Catena 2020, 191, 104564. [Google Scholar] [CrossRef]
- Chen, Y.X.; Wei, T.X.; Sha, G.L.; Zhu, Q.K.; Liu, Z.; Ren, K.; Yang, C. Soil enzyme activities of typical plant communities after vegetation restoration on the Loess Plateau, China. Appl. Soil Ecol. 2022, 170, 104292. [Google Scholar] [CrossRef]
- Nsabimana, D.; Haynes, R.; Wallis, F. Size, activity and catabolic diversity of the soil microbial biomass as affected by land use. Appl. Soil Ecol. 2004, 26, 81–92. [Google Scholar] [CrossRef]
- Wang, Z.; Ma, S.; Hu, Y.; Chen, Y.; Jiang, H.; Duan, B.; Lu, X. Links between chemical composition of soil organic matter and soil enzyme activity in alpine grassland ecosystems of the Tibetan Plateau. Catena 2022, 218, 106565. [Google Scholar] [CrossRef]
- Hendriksen, N.B.; Creamer, R.E.; Stone, D.; Winding, A. Soil exo-enzyme activities across Europe-The influence of climate, land-use and soil properties. Appl. Soil Ecol. 2016, 97, 44–48. [Google Scholar] [CrossRef]
- Liu, X.; Guo, K.; Huang, L.; Ji, Z.; Jiang, H.; Li, H.; Zhang, J. Responses of absolute and specific enzyme activity to consecutive application of composted sewage sludge in a Fluventic Ustochrept. PLoS ONE 2017, 12, e0177796. [Google Scholar] [CrossRef]
- Raiesi, F.; Beheshti, A. Soil specific enzyme activity shows more clearly soil responses to paddy rice cultivation than absolute enzyme activity in primary forests of northwest Iran. Appl. Soil Ecol. 2014, 75, 63–70. [Google Scholar] [CrossRef]
- Trasar-Cepeda, C.; Leirós, M.C.; Gil-Sotres, F. Hydrolytic enzyme activities in agricultural and forest soils. Some implications for their use as indicators of soil quality. Soil Biol. Biochem. 2008, 40, 2146–2155. [Google Scholar] [CrossRef]
- Wang, B.; Xue, S.; Liu, G.B.; Zhang, G.H.; Li, G.; Ren, Z.P. Changes in soil nutrient and enzyme activities under different vegetations in the Loess Plateau area, Northwest China. Catena 2012, 92, 186–195. [Google Scholar] [CrossRef]
- Xiao, L.; Li, P.; Shi, P.; Liu, Y. Soil nutrient stoichiometries and enzymatic activities along an elevational gradient in the dry-hot valley region of southwestern China. Arch. Agron. Soil Sci. 2018, 65, 322–333. [Google Scholar] [CrossRef]
- Yu, P.; Tang, X.; Zhang, A.; Gaohua, F.; Liu, S. Responses of soil specific enzyme activities to short-term land use conversions in a salt-affected region, northeastern China. Sci. Total Environ. 2019, 687, 939–945. [Google Scholar] [CrossRef]
- De Oliveira Silva, É.; de Medeiros, E.V.; Duda, G.P.; Junior, M.A.L.; Brossard, M.; de Oliveira, J.B.; dos Santos, U.J.; Hammecker, C. Seasonal effect of land use type on soil absolute and specific enzyme activities in a Brazilian semi-arid region. Catena 2019, 172, 397–407. [Google Scholar] [CrossRef]
- Bower, C.A.; Reitemeier, R.F.; Fireman, M. Exchangeable cation analysis of saline and alkali soils. Soil Sci. 1952, 73, 251–262. [Google Scholar] [CrossRef]
- Richards, L. Diagnosis and Improvement of Saline and Alkali Soils; United States Salinity Laboratory: Washington, WA, USA, 1954; p. 160. [Google Scholar] [CrossRef]
- Walkley, A.; Black, I.A. An Examination of the degtjareff method for determining soil organic matter, and a proposed modification of the chromic acid titration method. Soil Sci. 1934, 37, 29–38. [Google Scholar] [CrossRef]
- Vance, E.D.; Brookes, P.C.; Jenkinson, D.S. An extraction method for measuring soil microbial biomass C. Soil Biol. Biochem. 1987, 19, 703–707. [Google Scholar] [CrossRef]
- Dong, R.; Abdelkerim-Ouba, D.; Liu, D.; Ma, X.; Wang, S. Impacts of Partial Substitution of Chemical Fertilizer with Organic Manure on the Kinetic and Thermodynamic Characteristics of Soil β–Glucosidase. Agronomy 2023, 13, 1065. [Google Scholar] [CrossRef]
- Louis, V.; Verchot, T.B. Application of para-nitrophenol (pNP) enzyme assays in degraded tropical soils. Soil Biol. Biochem. 2005, 37, 625–633. [Google Scholar] [CrossRef]
- Tabatabai, M.A. Soil enzymes. In Methods of Soil Analysis: Microbiological and Biochemical Properties. Part 2; Weaver, R.W., Angle, J.R., Bottomley, P.S., Eds.; Soil Science Society of America: Madison, WI, USA, 1994; pp. 775–833. [Google Scholar]
- Guan, S.Y. Soil Enzyme and Research Method; China Agricultural Press: Beijing, China, 1986. [Google Scholar]
- Kobierski, M.; Lemanowicz, J.; Wojewódzki, P.; Kondratowicz-Maciejewska, K. The Effect of Organic and Conventional Farming Systems with Different Tillage on Soil Properties and Enzymatic Activity. Agronomy 2020, 10, 1809. [Google Scholar] [CrossRef]
- García-Ruiz, R.; Ochoa, V.; Hinojosa, M.B.; Carreira, J.A. Suitability of enzyme activities for the monitoring of soil quality improvement in organic agricultural systems. Soil Biol. Biochem. 2008, 40, 2137–2145. [Google Scholar] [CrossRef]
- Xiao, Y.; Huang, Z.; Lu, X. Changes of soil labile organic carbon fractions and their relation to soil microbial characteristics in four typical wetlands of Sanjiang Plain, Northeast China. Ecol. Eng. 2015, 82, 381–389. [Google Scholar] [CrossRef]
- Xu, W.; Liu, W.; Tang, S.; Yang, Q.; Meng, L.; Wu, Y.; Wang, J.; Wu, L.; Wu, M.; Xue, X.; et al. Long-term partial substitution of chemical nitrogen fertilizer with organic fertilizers increased SOC stability by mediating soil C mineralization and enzyme activities in a rubber plantation of Hainan Island, China. Appl. Soil Ecol. 2023, 182, 104691. [Google Scholar] [CrossRef]
- Qi, R.; Li, J.; Lin, Z.; Li, Z.; Li, Y.; Yang, X.; Zhang, J.; Zhao, B. Temperature effects on soil organic carbon, soil labile organic carbon fractions, and soil enzyme activities under long-term fertilization regimes. Appl. Soil Ecol. 2016, 102, 36–45. [Google Scholar] [CrossRef]
- Zhang, L.; Chen, X.; Xu, Y.; Jin, M.; Ye, X.; Gao, H.; Chu, W.; Mao, J.; Thompson, M.L. Soil labile organic carbon fractions and soil enzyme activities after 10 years of continuous fertilization and wheat residue incorporation. Sci. Rep. 2020, 10, 11318. [Google Scholar] [CrossRef]
- Minasny, B.; McBratney, A.B.; Wadoux, A.M.C.; Akoeb, E.N.; Sabrina, T. Precocious 19th century soil carbon science. Geoderma Reg. 2020, 22, e00306. [Google Scholar] [CrossRef]
- Fansler, S.J.; Smith, J.L.; Bolton, H.; Bailey, V.L. Distribution of two C cycle enzymes in soil aggregates of a prairie chronosequence. Biol. Fertil. Soils 2005, 42, 17–23. [Google Scholar] [CrossRef]
- Wu, Y.; Li, Y.; Zheng, C.; Zhang, Y.; Sun, Z. Organic amendment application influence soil organism abundance in saline alkali soil. Eur. J. Soil Biol. 2013, 54, 32–40. [Google Scholar] [CrossRef]
- Hartmann, M.; Frey, B.; Mayer, J.; Mäder, P.; Widmer, F. Distinct soil microbial diversity under long-term organic and conventional farming. ISME J. 2014, 9, 1177–1194. [Google Scholar] [CrossRef]
- Romero-Díaz, A.; Ruiz-Sinoga, J.D.; Robledano-Aymerich, F.; Brevik, E.C.; Cerdà, A. Ecosystem responses to land abandonment in Western Mediterranean Mountains. Catena 2017, 149, 824–835. [Google Scholar] [CrossRef]
- Raiesi, F.; Salek-Gilani, S. The potential activity of soil extracellular enzymes as an indicator for ecological restoration of rangeland soils after agricultural abandonment. Appl. Soil Ecol. 2018, 126, 140–147. [Google Scholar] [CrossRef]
- Wang, Q.; Liu, J.; Wang, Y.; Guan, J.; Liu, Q.; Lv, D. Land use effects on soil quality along a native wetland to cropland chronosequence. Eur. J. Soil Biol. 2012, 53, 114–120. [Google Scholar] [CrossRef]
- Li, Y.; Nie, C.; Liu, Y.; Du, W.; He, P. Soil microbial community composition closely associates with specific enzyme activities and soil carbon chemistry in a long-term nitrogen fertilized grassland. Sci. Total Environ. 2018, 654, 264–274. [Google Scholar] [CrossRef]
- Katsalirou, E.; Deng, S.; Nofziger, D.L.; Gerakis, A. Long-term management effects on organic C and N pools and activities of C-transforming enzymes in prairie soils. Eur. J. Soil Biol. 2010, 46, 335–341. [Google Scholar] [CrossRef]
- Zhang, X.; Dong, W.; Dai, X.; Schaeffer, S.; Yang, F.; Radosevich, M.; Xu, L.; Liu, X.; Sun, X. Responses of absolute and specific soil enzyme activities to long term additions of organic and mineral fertilizer. Sci. Total Environ. 2015, 536, 59–67. [Google Scholar] [CrossRef]
- Du, T.; Hu, Q.; He, H.; Mao, W.; Yang, Z.; Chen, H.; Sun, L.; Zhai, M. Long-term organic fertilizer and biofertilizer application strengthens the associations between soil quality index, network complexity, and walnut yield. Eur. J. Soil Biol. 2023, 116, 103492. [Google Scholar] [CrossRef]
- Raiesi, F.; Beheshti, A. Microbiological indicators of soil quality and degradation following conversion of native forests to continuous croplands. Ecol. Indic. 2015, 50, 173–185. [Google Scholar] [CrossRef]
- Gharaibeh, M.A.; Albalasmeh, A.A.; Pratt, C.; El Hanandeh, A. Estimation of exchangeable sodium percentage from sodium adsorption ratio of salt-affected soils using traditional and dilution extracts, saturation percentage, electrical conductivity, and generalized regression neural networks. Catena 2021, 205, 105466. [Google Scholar] [CrossRef]
- Zhao, Y.; Wang, S.; Liu, J.; Zhuo, Y.; Li, Y.; Zhang, W. Fertility and biochemical activity in sodic soils 17 years after reclamation with flue gas desulfurization gypsum. J. Integr. Agric. 2021, 20, 3312–3322. [Google Scholar] [CrossRef]
- Liu, C.; Mao, B.; Yuan, D.; Chu, C.; Duan, M. Salt tolerance in rice: Physiological responses and molecular mechanisms. Crop J. 2021, 10, 13–25. [Google Scholar] [CrossRef]
- Zhao, S.; Yu, F.; Zhai, C.; Zhong, R.; Zhao, Y.; Wang, Y.; Zhang, J.; Meng, Q. Long-term effects of cattle manure application on the soil aggregate stability of salt-affected soil on the Songnen Plain of North-Eastern China. J. Soils Sediments 2023, 23, 344–354. [Google Scholar] [CrossRef]






| Treatment | pH | EC (dS m−1) | ESP (%) | SAR5:1 [(mmol L−1) 0.5] | SOC (g kg−1) | MBC (mg kg−1) |
|---|---|---|---|---|---|---|
| 26a | 8.21 ± 0.23 c | 0.31 ± 0.15 b | 2.38 ± 0.23 c | 3.34 ± 0.29 c | 21.47 ± 2.35 ab | 697.48 ± 27.11 a |
| 21a | 8.17 ± 0.20 c | 0.15 ± 0.02 b | 1.73 ± 0.46 c | 1.37 ± 0.57 c | 19.00 ± 2.91 bc | 310.52 ± 12.24 b |
| 18a | 8.69 ± 0.05 b | 0.30 ± 0.07 b | 5.46 ± 0.97 b | 7.65 ± 1.80 b | 14.56 ± 2.33 cd | 405.48 ± 7.57 b |
| 15a | 8.73 ± 0.07 b | 0.28 ± 0.00 b | 5.88 ± 0.37 b | 9.03 ± 0.73 b | 26.94 ± 2.19 a | 593.48 ± 91.15 a |
| 10a | 8.34 ± 0.27 c | 0.30 ± 0.09 b | 5.66 ± 0.99 b | 7.53 ± 0.90 b | 20.57 ± 6.04 b | 644.30 ± 91.83 a |
| CK | 10.67 ± 0.05 a | 2.32 ± 0.35 a | 29.38 ± 1.60 a | 35.41 ± 2.19 a | 9.48 ± 1.05 d | 416.15 ± 158.00 b |
Disclaimer/Publisher’s Note: The statements, opinions and data contained in all publications are solely those of the individual author(s) and contributor(s) and not of MDPI and/or the editor(s). MDPI and/or the editor(s) disclaim responsibility for any injury to people or property resulting from any ideas, methods, instructions or products referred to in the content. |
© 2023 by the authors. Licensee MDPI, Basel, Switzerland. This article is an open access article distributed under the terms and conditions of the Creative Commons Attribution (CC BY) license (https://creativecommons.org/licenses/by/4.0/).
Share and Cite
Liu, D.; Feng, A.; Li, S.; Song, B.; He, Y.; Lv, Y.; Luo, J.; Liu, Y.; Ma, X.; Li, X. Response of Soil Absolute and Specific Enzyme Activities to Long-Term Application of Organic Fertilizer to Solonetz in Northeast China. Agronomy 2023, 13, 1987. https://doi.org/10.3390/agronomy13081987
Liu D, Feng A, Li S, Song B, He Y, Lv Y, Luo J, Liu Y, Ma X, Li X. Response of Soil Absolute and Specific Enzyme Activities to Long-Term Application of Organic Fertilizer to Solonetz in Northeast China. Agronomy. 2023; 13(8):1987. https://doi.org/10.3390/agronomy13081987
Chicago/Turabian StyleLiu, Danyang, Andi Feng, Senmiao Li, Bo Song, Yujie He, Yunhao Lv, Jingmei Luo, Yang Liu, Xianfa Ma, and Xinyang Li. 2023. "Response of Soil Absolute and Specific Enzyme Activities to Long-Term Application of Organic Fertilizer to Solonetz in Northeast China" Agronomy 13, no. 8: 1987. https://doi.org/10.3390/agronomy13081987
APA StyleLiu, D., Feng, A., Li, S., Song, B., He, Y., Lv, Y., Luo, J., Liu, Y., Ma, X., & Li, X. (2023). Response of Soil Absolute and Specific Enzyme Activities to Long-Term Application of Organic Fertilizer to Solonetz in Northeast China. Agronomy, 13(8), 1987. https://doi.org/10.3390/agronomy13081987
