Abstract
Screening for low-accumulation varieties is an effective way to reduce the cadmium (Cd) content in crops and decrease human Cd intake. In this study, a field experiment was conducted to analyze the characteristics of Cd absorption and accumulation in 24 maize varieties at maturity in farmland with different levels of Cd pollution. Cluster analysis and Pareto analysis methods were used to screen for maize varieties with low Cd absorption. In addition, the environmental threshold of Cd in farmland in the study area was estimated based on the Species Sensitivity Distribution (SSD) characteristics of different maize Cd enrichment coefficients (1/BCF). The results showed that maize in the study area was subject to varying degrees of Cd pollution, with total soil Cd content ranging from 1.81 to 2.71 mg·kg−1 at test site 1 and from 0.95 to 1.76 mg·kg−1 at test site 2. Only the Cd content of heavy metals in maize kernels at test site 2 did not exceed China’s national food safety standard (GB 2762-2022, 0.1 mg·kg−1), with the Cd content of different maize varieties at test site 2 ranging from 0.008 to 0.073 mg·kg−1 and the bioconcentration factor (BCF) of maize kernels for Cd ranging from 0.004 to 0.054. According to cluster analysis and Pareto analysis, the low-Cd accumulation maize varieties suitable for local planting were identified as Yufeng 303, Nongda 372, Jingnongke 728, MC121 (Fengda Seed Industry), and Jinyu 1233. In addition, the soil Cd environmental threshold for ensuring that 95% of maize would not be polluted by Cd in soil was derived as 1.39 mg·kg−1.
1. Introduction
The rapid development of industrial and agricultural production has led to an increase in the content of toxic and harmful heavy metals in farmland soil worldwide [1]. Approximately 23.5 million hectares of cultivated land are polluted by heavy metals [2], including 280,000 hectares of agricultural soil in China that are polluted by cadmium (Cd) [3]. Cd is considered one of the most dangerous substances globally due to its strong migration and transformation characteristics in the environment and its high hazard to human health. In China, 7.0% of soil exceeds the Cd standard, with 0.5% of sites heavily polluted by Cd [4]. Unreasonable discharge of mine and factory sewage, sedimentation from industrial waste gas and automobile exhaust, and unscientific application of pesticides and fertilizers have all contributed to China’s soil heavy metal pollution problem, posing a serious threat to agricultural product safety and human health [5,6].
Soil is the direct carrier of agricultural production, and when it is polluted by heavy metals, the edible parts of crops can have high heavy metal content. These heavy metals can enter the human or animal body through the food chain and accumulate, causing chronic heavy metal poisoning and endangering human health [7,8]. To reduce the transfer of heavy metals to the food chain, two main approaches are currently used: passivating heavy metals in soil through chemical methods or screening for crop varieties that are tolerant to heavy metals and have low accumulation [4]. The latter approach has the advantages of being simple, low-risk, and easy to implement, making it a popular measure for safely using polluted cultivated land [9]. By exploring the characteristics of heavy metal enrichment in bulk grain crops and screening for low-accumulation varieties, it is possible to reduce the absorption and accumulation of heavy metals in crops and lower their heavy metal content [10].
Studies have shown that different plants exhibit significant variations in their Cd accumulation characteristics, with genetic factors playing a fundamental role [11]. Arthur et al. classified plants into high-, medium-, and low-accumulation types based on their Cd accumulation capacity [12]. Maize (Zea mays L.), a widely cultivated economic grain crop in China, has been shown to be a low-accumulation crop for Cd compared to wheat (Triticum aestivum L.) and rice (Oryza sativa L.) [13]. Its large biomass and high economic efficiency make it suitable for use in the “production while remediation” of polluted farmland. Advances in technology have also enabled the use of maize for the production of biofuels, aligning with China’s sustainable development goals [14,15]. However, different varieties of maize have varying abilities to absorb and accumulate Cd [10], and variations in soil physicochemical properties and Cd pollution levels can alter the total amount and bioavailability of Cd in the soil. This presents challenges for the screening of low-accumulation maize varieties [16,17]. To address this issue, researchers are working to screen for maize varieties with low Cd accumulation characteristics in their edible parts and test their adaptability to different soil environments [18,19].
China’s current “Soil Environmental Quality Standard” (GB 15618-2018) has encountered situations where soil heavy metals exceed the standard while agricultural products do not, or vice versa [20,21]. This is because the standard does not fully account for differences in soil type and crop variety when setting soil thresholds for agricultural land [22,23]. As a result, there is a need for research on the environmental baseline values of Cd in soil to effectively control cadmium pollution in different soil types and crop species. Compared to developed countries, China’s ecological risk assessment research is still in its initial stage [24], with most current work focusing on environmental quality evaluation and grading of polluted soils using different index evaluation methods [25]. Conducting research on the ecological risk threshold values of crops under different soil Cd pollution levels is crucial for preventing and controlling Cd pollution in China’s major agricultural products and evaluating the suitability of Cd-polluted soils.
The Species Sensitivity Distribution (SSD) curve method is a commonly used extrapolation method in ecological risk assessment. It is used to determine the maximum environmental permissible concentration threshold (HCx, usually HC5), where HC5 represents the concentration at which no more than 5% of species are affected or 95% of species are protected [26]. From this value, the predicted no-effect concentration (PNEC) can be derived for use in ecological risk assessment and environmental quality standards [23]. The SSD method has been adopted by many countries and organizations as a means of formulating environmental quality standards and has become a focus of international risk assessment research.
This study aims to identify low cadmium (Cd) accumulation maize varieties in a Cd-polluted agricultural area in eastern Anhui Province, China. Through field experiments, we will screen for maize varieties with low Cd accumulation and use the bioconcentration factor (BCF) of Cd in maize kernels as an evaluation index for species sensitivity. Using the species sensitivity distribution (SSD) model, we will derive the safe threshold (HC5) of total soil Cd based on protecting 95% of maize varieties. Our findings will provide an important reference for the safe production of maize and the safety evaluation of agricultural product origins in the region.
2. Materials and Methods
2.1. Study Area Overview
As shown in Figure 1, the test site is located in Tongling City (30°57′ N, 117°49′ E), Anhui Province, China. The test site was established on two adjacent Cd-contaminated farmlands around a large pyrite mining area. The soil from the experimental field was characterized as sandy loam, with a composition of 25.8% clay, 11.5% silt, and 62.7% sand. The basic physical and chemical properties of the soil and the mass fraction of heavy metal Cd in the two test sites are shown in Table 1.
Figure 1.
Map of the test site.
Table 1.
Property traits of the test soil.
According to China’s “Soil Environmental Quality Standards” (GB15618-2018), the Cd content in the soil of test site No. 1 is 1.56 times the risk intervention values for soil contamination of agricultural land; the Cd content in the soil of test site No. 2 is between the risk screening values and risk intervention values for soil contamination of agricultural land, at 0.94 times the risk intervention value.
2.2. Test Materials and Design
In this study, 24 maize varieties (Table 2) were evaluated, all of which were approved by the Anhui Provincial Crop Variety Approval Committee and purchased from local seed markets. No Cd was detected in the seeds.
Table 2.
Tested maize varieties.
Each variety was cultivated in a 7.2 m2 (1.2 m × 6 m) plot, arranged in a randomized block design with three replicates. The maize was planted in double rows with a row spacing of 65 cm and a plant spacing of 30 cm, with protective rows around the perimeter. One week before sowing, a base fertilizer of NPK compound fertilizer (15:15:15) was applied at a rate of 750 kg·hm−2, and the seeds were sunned before sowing. The soil moisture content was maintained at 60–70% of the maximum field water holding capacity. During this period, field management was carried out in accordance with local cultivation practices.
2.3. Sample Collection and Processing
Prior to maize planting, soil samples (0–20 cm) were collected from each experimental site using the “X” shaped 5-point sampling method. At maturity, maize plants were removed, dried, and threshed to determine actual yield. Five plants from each maize variety were sampled using the plum blossom sampling method, and corresponding rhizosphere soil samples (0–20 cm) were collected to form composite soil samples. Soil samples were air-dried and sieved through 10, 60, and 100 mesh sieves. Plant samples were divided into roots, stems and leaves, and grains. The roots were treated with a 10 mmol·L−1 EDTA-Na2 solution to remove Cd ions, and the plant samples were finally rinsed with deionized water. The samples were wilted for 30 min in a 105 °C oven and dried at 70 °C until constant weight was achieved. After measuring the dry mass, the samples were ground and sieved through a 100-mesh sieve.
2.4. Sample Analysis Methods and Quality Control
2.4.1. Analysis of Soil Sample Indices
In this study, the analysis of basic physicochemical properties of soil samples was mainly conducted following the methods described in Bao’s “Soil and Agricultural Chemistry Analysis” [27]. Soil pH was measured using a precision pH meter (PHS-3G) after extraction with CO2-free distilled water at a soil-to-water ratio of 1:2.5. Alkali-hydrolyzable nitrogen was determined using an alkali diffusion method. Total nitrogen was quantified using the semi-micro Kjeldahl method (KN620, Jinan HePu Instrument Equipment Co., Ltd., Jinan, China). Available potassium was extracted with ammonium acetate and measured using flame photometry (Sherwood410, Sherwood Scientific Ltd., Cambridge, UK). Organic matter was determined using the potassium dichromate oxidation volumetric method with external heating. Available phosphorus was extracted with sodium bicarbonate and quantified colorimetrically using a molybdenum-antimony method (UV-1800, Shimadzu Corporation, Kyoto, Japan). Soil particle size composition was measured using the pipette method, and texture was classified according to the international soil texture triangle. Total Cd content in soil samples was determined according to the Chinese national standard (GB/T17141-1997). A 0.2 g sample (accurate to 0.001 g) was placed in a mixture of HCl, HF, HClO4, and HNO3 and digested at high temperature in a graphite digestion box (GD40, Nanjing Kejie Analytical Instrument Co., Ltd., Nanjing, China). After cooling, the Cd content was measured using flame atomic absorption spectrophotometry with an atomic absorption spectrophotometer (ZEEnit700p, Analytik Jena AG, Jena, Germany).
2.4.2. Analysis of Plant Sample Indices
The Cd content in different parts of maize plants was determined according to the Chinese national standard (GB5009.268-2016). A 0.3 g sample (accurate to 0.001 g) was placed in a microwave digestion tank, and 5 mL of HNO3 was added. The tank was covered and left for 1 h before being digested using a CEM MARS6 (CEM Corporation, Matthews, NC, USA) microwave. After cooling, the tank was removed, the lid was slowly opened to release gas, and the inner lid was rinsed with a small amount of ultrapure water. The digestion tank was placed on a temperature-controlled electric heating plate and heated at 100 °C for 30 min before being diluted to 25 mL with ultrapure water. The Cd content was measured using inductively coupled plasma emission spectroscopy (iCAP 7400, Thermo Fisher Scientific, Waltham, MA, USA).
2.4.3. Quality Control Methods in Experimentation
The certified reference materials (CRM) GBW07427 and GBW10012 for soil and maize (Institute of Geophysical and Geochemical Exploration, Chinese Academy of Geological Sciences), respectively, were used as quality control for Cd analysis. Analyses were performed after every ten samples and at the end of each experiment. Throughout the sample analysis period, all CRMs achieved good recovery rates. The average recovery rates for Cd in soil and maize were 95.3% ± 2.8% and 91.7% ± 5.1%, respectively.
2.5. Data Analysis
2.5.1. Maize Bioconcentration Factor Analysis
The accumulation capacity of crops for heavy metals was analyzed using the bioconcentration factor (BCF), Calculated using the formula:
where Cp and Cs represent the corresponding heavy metal content in maize and soil samples, respectively.
2.5.2. SSD Curve Fitting and Derivation of HC5 Value
SSD is a method for evaluating the ecological risk of pollutants to certain species based on acute or chronic toxicological data, taking into account the differences in sensitivity of different species to pollutants by constructing statistical distribution models. The basic assumption of SSD is that the sensitivity of a group of organisms can be described by a distribution, such as a normal distribution or logistic distribution, and the toxicological data measured by experiments are considered to come from this distribution. The Logistic distribution model is a flexible distribution function with good fitting characteristics for species sensitivity data. In this study, the bioconcentration data of maize kernels were taken in reverse order (1/BCF) and arranged in ascending order, and then the SSD curve was fitted using the Logistic model distribution function. Based on China’s national food safety standard (GB 2762-2022, 0.1 mg·kg−1), the safe threshold (HC5) of soil Cd for rice was derived by backtracking [10].
In the equation, x represents 1/BCF, y represents the cumulative probability of the corresponding crop sample, and a, b, c, and x0 are constants.
In this study, data in figures or tables are presented as the mean ± standard deviation (M ± SD) of three replicates. Data obtained from experiments were analyzed using Microsoft Excel 2016 (Microsoft, Redmond, DC, USA) and SPSS 22.0 (IBM, Chicago, IL, USA). One-way analysis of variance (ANOVA) was used to evaluate differences between treatments, and the least significant difference (LSD) was applied to test the significance between means. Duncan’s test was used to test for significant differences (p < 0.05). Graphs were plotted using Origin 2021 (Origin Lab, Northampton, MA, USA).
3. Results
3.1. Soil pH and Cd Content
As shown in Figure 2, the total Cd content in the soil of test site 1 ranged from 1.81 to 2.71 mg·kg−1, with soil pH values ranging from 4.52 to 6.36. The total Cd content in the soil of test site 2 ranged from 0.95 to 1.76 mg·kg−1, with soil pH values ranging from 4.36 to 5.33. Analysis of variance (ANOVA) of the total Cd content and pH values of the soil at maturity revealed that there were highly significant differences (p < 0.001) between the total Cd content in the soil of different test sites, as the coefficient of variation was very low, around 0.05. Similarly, there were also highly significant differences (p < 0.001) between soil pH values between test sites. The box plot of the total Cd content and pH values of the soil at maturity also confirmed the results of the ANOVA, showing that there were certain differences in both mean and extreme values between the two test sites for both soil Cd content and soil pH.
Figure 2.
Comparison of pH value and Cd content of soil samples at the maturity stage of test site (1) and test site (2). Note: The bottom, middle line, middle dashed line, and top of the box in the box plot represent the lower quartile, median, mean, and upper quartile, respectively. The upper and lower edges (short horizontal lines) represent the maximum and minimum values within the 1.5 IQR range. Solid dots represent outliers beyond the 1.5 IQR range.
3.2. Cd Content and Enrichment Characteristics of Maize
3.2.1. Cd Content in Maize Kernel
The total Cd content of maize grains from different varieties in test sites 1 and 2 is shown in Figure 3. The mean total Cd content of maize grains in test site 1 was 0.150 ± 0.021 mg kg−1, with a range from 0.087 to 0.196 mg kg−1. Compared to the Cd contamination limit for maize crops set by the United Nations Food and Agriculture Organization (FAO) (0.1 mg kg−1), the Cd content of crops in test site 1 almost all exceeded the limit. However, compared to the requirements of China’s national standard, “Feed Hygiene Standard” (GB 13078-2017) (Cd ≤ 1.0 mgkg−1), the Cd content of all varieties of grains met the requirements for plant-based feed ingredients.
Figure 3.
Comparison of Cd content in maize kernels of different varieties in test site (1) and test site (2).
The mean total Cd content of maize grains in test site 2 was 0.035 ± 0.032 mg kg−1, with a range from 0.008 to 0.073 mg·kg−1 for grain Cd content. Compared to the FAOs Cd contamination limit, the Cd content of all varieties of grains met the requirements, with a compliance rate of 100%. Compared to test site 1, the Cd content of grains from different maize varieties decreased by 0.079 to 0.123 mg·kg−1, which is related to the lower soil Cd content in test site 2 compared to test site 1, indicating that the Cd content in maize grains is directly related to the Cd content in soil.
3.2.2. Maize Root and Kernel Enrichment Factor
Maize roots absorb Cd from the soil and transfer it to the kernels, which is then transmitted to humans through the food chain, posing a serious threat to human health. The BCF is used to evaluate the enrichment of heavy metals in soil by plants. In this study, the enrichment coefficients of roots and kernels of different maize varieties are shown in Figure 4. It can be seen from the figure that there are significant differences in the absorption and accumulation of Cd by roots and kernels of different maize varieties.
Figure 4.
Comparison of Cd accumulation coefficient in root and grain of different maize varieties in test site (1) and test site (2).
In test site 1, the range of enrichment coefficients for roots and kernels of different maize varieties was 0.506 to 1.556 and 0.053 to 0.080, respectively. The coefficients of variation were 0.305 and 0.116, respectively, indicating a low degree of variation.
In test site 2, the range of enrichment coefficients for roots and kernels of different maize varieties was 0.890 to 3.110 and 0.004 to 0.054, respectively. The coefficients of variation were 0.284 and 0.651, respectively, with a high degree of variation in the enrichment coefficient of kernels. Compared to test site 1, the enrichment coefficient of maize roots increased in test site 2, while the enrichment coefficient of kernels decreased. This indicates that the heavy metal content in soil significantly affects the enrichment of Cd by above- and below-ground parts of maize and that the higher the Cd content in the soil, the smaller the enrichment coefficient of roots for Cd, while the opposite is true for kernels. This may be due to an increase in pollution levels, which reduces maize biomass and thereby increases the relative concentration of Cd in plants.
3.3. Selection of Maize Varieties with Low Cd Accumulation
Although the Cd mass fraction of kernels from the 24 maize varieties planted in both test sites met the requirements of China’s national standard “Feed Hygiene Standard” (GB 13078-2017) (Figure 3), according to the screening criteria for low-accumulation crops, the Cd content in edible parts must not exceed international or national food safety and hygiene standards. To screen maize varieties with low accumulation capacity in soils with different levels of Cd pollution, the authors used a systematic cluster analysis method—intergroup linkage—Euclidean distance analysis method, and Pareto analysis method to analyze the Cd enrichment coefficients of kernels from 24 maize varieties planted in two test sites, to identify low-Cd accumulation maize varieties. The analysis results divided different maize varieties into three categories: high enrichment, medium enrichment, and low enrichment of kernels, as shown in Table 3 and Figure 5 and Figure 6.
Table 3.
Systematic cluster analysis of Cd enrichment coefficients in seeds of different maize varieties.
Figure 5.
Systematic cluster analysis of Cd enrichment coefficients of different maize varieties in test site (1) and test site (2). The Roman numerals I, II, III indicate the ranking of maize kernels’ absorption capacity for Cd from low to high.
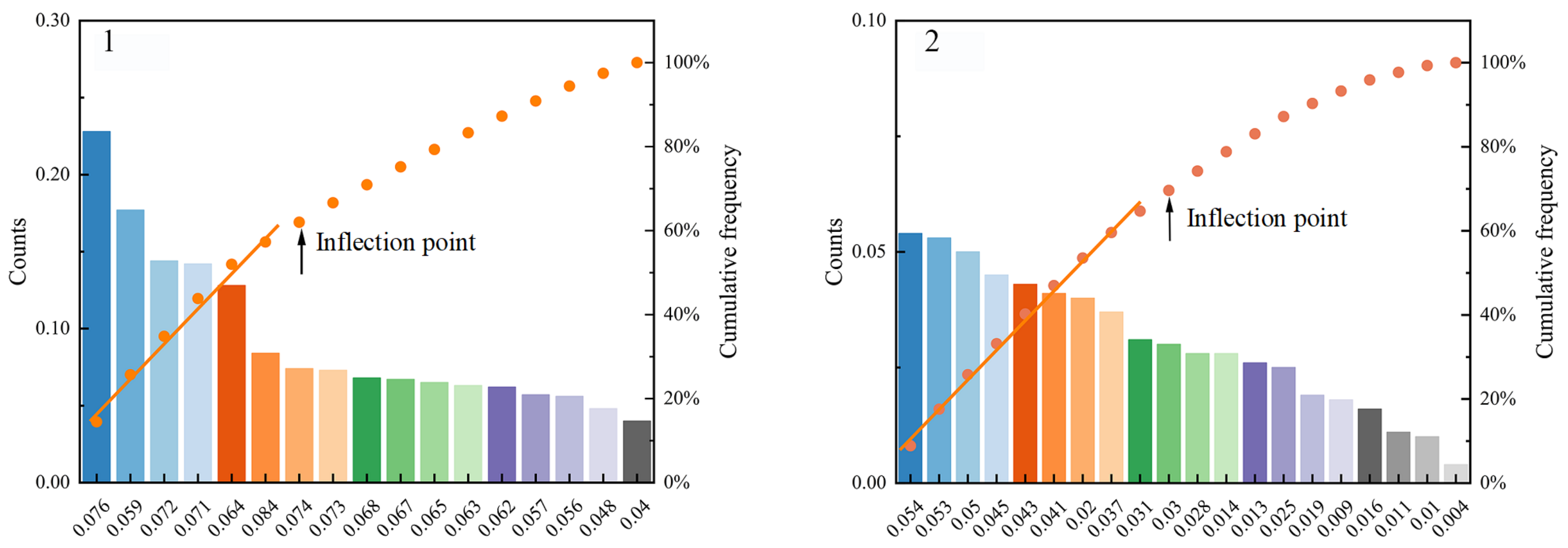
Figure 6.
Pareto analysis of Cd enrichment coefficients of different maize varieties in test site (1) and test site (2). Note: The orange circle represents the cumulative frequency, and the inflection point indicates the boundary between high and low Cd accumulation varieties; the leftmost 20% of bars represent varieties responsible for 80% of total Cd accumulation.
In test site 1, Category I included 7 low-enrichment varieties with a range of kernel enrichment coefficients (Cd) from 0.053 to 0.059. Category II was a medium-enrichment group consisting of 7 varieties, with a range of kernel enrichment coefficients (Cd) from 0.063 to 0.067. Category III was a high-enrichment group, with 10 varieties and an average kernel enrichment coefficient (Cd) of 0.074.
In test site 2, Category I included 13 low-enrichment varieties with a range of kernel enrichment coefficients (Cd) from 0.004 to 0.020. Category II was a medium-enrichment group consisting of 5 varieties with a range of kernel enrichment coefficients (Cd) from 0.025 to 0.037. Category III was a high-enrichment group, with 6 varieties and an average kernel enrichment coefficient (Cd) of 0.048. Compared to the results of test site 1, the number of Category I low-enrichment varieties increased, while the number of medium and high-enrichment varieties decreased. In test sites with different levels of Cd pollution, maize varieties S1, S3, S5, and S6 consistently showed low enrichment of heavy metal Cd.
According to the results of the Pareto analysis method (Figure 5), there were significant differences in the Cd enrichment coefficients of kernels from different varieties in test site 1, with a value of 0.074. Of these, 18 maize varieties were low-Cd accumulation varieties, and 6 were high-Cd accumulation varieties. In test site 2, there were also significant differences in the Cd enrichment coefficients of kernels from different varieties, with a value of 0.029. Of these, 15 maize varieties were low-Cd accumulation varieties, and 9 were high-Cd accumulation varieties. The results indicate that maize varieties S1, S3, S5, S6, and S7 had relatively low accumulation levels.
3.4. Establishing Environmental Thresholds for Soil
Based on the differences in the migration capacity of heavy metals in different types of maize, the accuracy of determining soil environmental thresholds can be improved. In this study, a Logistic model was used to fit the bioconcentration factor of Cd in maize kernels and construct an SSD curve (Figure 7), and the risk based on maize Cd absorption was evaluated; in other words, the concentration value (HC5) for protecting 95% of species (maize) was determined. The R-squared values of the maize SSD curve in test sites 1 and 2 were 0.984 and 0.987, respectively, indicating good data fit. As shown in the figure, there are differences in the sensitivity of maize varieties to soil Cd. As can be seen from the figure, S20, S24, and S17 are below the safety threshold for protecting 95% of species (maize) derived from the Logistic model and are maize species with a risk of Cd enrichment. The enrichment coefficients (1/BCF) of the remaining maize varieties are all above the safety value. The cumulative frequencies (%) of different maize enrichment coefficients (1/BCF) in the frequency distribution based on species sensitivity were calculated as follows: test site 1: 2.91% to 85.41%; test site 2: 1.58 to 125.63. Also, maize varieties are generally distributed near the curve, indicating that both crops have strong transport and accumulation capacity for Cd and high sensitivity. From the analysis of crop varieties, maize varieties S1 and S5 are located at the top of the SSD curve; in other words, they are least sensitive to soil Cd accumulation and belong to low-accumulation varieties.
Figure 7.
The SSD curves of Cd in different Maize varieties in test site (1) and test site (2).
In order to calculate the environmental threshold for Cd, an environmental threshold based on local soil scenarios was derived from the limit values set by the FAO to protect 95% of crop varieties from pollution (Table 4). Based on the derived threshold for protecting 95% of species (maize) safely (HC5), HC5 = 12.778 in test site 1 and HC5 = 13.864 in test site 2. Also, when total soil Cd content ≤ 1.39 mg kg−1 in maize-producing areas, it is suitable for planting 95% of maize varieties and can be designated as a pollution-free maize-producing area. When soil Cd content is outside this range, planting of crops with high enrichment capacity should be prohibited. The planting process should use production techniques based on agronomic regulation, supplemented by soil remediation and strengthened coordinated monitoring of Cd in soil and crop products.
Table 4.
Classification threshold of cadmium environmental quality in different crop areas.
4. Discussion
The absorption and transport of elements in maize are influenced by both environmental conditions and the plant’s genetic characteristics [28]. Our study found significant differences in Cd absorption, transport, and accumulation among different maize varieties, likely due to genotypic differences. Previous research has shown that maize varieties differ in their response to Cd stress, with some varieties exhibiting higher antioxidant system activity and transcription levels of oxidative stress response genes [29]. Our study also found significant differences in Cd absorption among different maize organs, with the highest levels found in roots, followed by stems and leaves, ear axis, and kernels [30]. These differences may be due to variations in Cd accumulation ability, distribution ratio, and transfer coefficient among maize varieties at different growth stages. For example, one study found that the Cd content in roots, stems, and leaves of different maize varieties followed a consistent trend across growth stages [31]. Our experiment investigated the differences among maize varieties grown in soil with varying levels of Cd contamination. We found that both the interaction among different maize varieties and between maize varieties and the experimental environment significantly affected kernel Cd content. Previous research has also shown that soil Cd environment can significantly affect the Cd accumulation risk of different maize inbred lines [32]. According to China’s “Soil Pollution Prevention Action Plan,” strict control measures are in place to prevent the planting of edible agricultural products on contaminated land without a safety assessment.
Some studies have reported that maize can tolerate certain levels of Cd without showing toxic symptoms and can be grown on contaminated soils as a replacement for other major crops such as wheat and rice [9,33].
In our study, we found that the soil Cd content at test site 2 exceeded China’s risk screening value for Cd pollution in farmland soil. However, the Cd concentration in maize kernels at this site did not exceed the standard limit set by the FAO. Previous research has shown that maize has a low accumulation capacity for Cd, even in heavily polluted farmland [34,35]. This is because the plant’s ability to absorb Cd depends on its bioavailability, which is influenced by soil pH [36,37]. As a result, even if the total concentration of Cd in the soil is high, the risk of crop Cd pollution will only increase significantly when soil acidification occurs. In this study, we screened several maize varieties with low Cd accumulation that are suitable for planting in Anhui Province, China. These varieties consistently showed low Cd accumulation in soils with different levels of Cd pollution. However, due to the fact that seed Cd accumulation capacity can vary under different soil Cd content conditions, further verification and study of these low-accumulation varieties through additional field experiments is needed.
Our study provides a comprehensive analysis of Cd concentration levels in different maize varieties and has important implications for crop selection and breeding strategies, as well as food safety policies. The results highlight the importance of China’s “Soil Environmental Quality Risk Control Standard for Agricultural Land” (GB 15618-2018) [10] but also suggest that this standard may not be entirely applicable to places with high soil heavy metal background values due to insufficient basic toxicological data and lack of effective data [25]. In addition, biological and non-biological factors can affect the scientificity and rationality of soil environmental quality standards (SEQSs) during the derivation process of soil pollutant thresholds [38,39]. Therefore, when establishing soil environmental thresholds, consideration should be given to the ability of maize varieties to accumulate heavy metals [40]. For example, researchers have derived the safe threshold for Cd transfer in two rice varieties with high and low Cd accumulation, showing that there is a significant difference in soil thresholds between the two varieties [41]. Safari et al. used an efficiency threshold reflecting Cd risk to soil pollution to evaluate Cd transfer characteristics from polluted soil to crops [42]. This approach has been confirmed by other studies on the sensitivity of rice varieties to heavy metal accumulation [43]. The Species Sensitivity Distribution (SSD) model has been shown to be an effective means of deriving environmental safety thresholds for Cd in regional farmland soils [44,45]. Determining soil heavy metal environmental thresholds can provide a basis for assessing the harm of heavy metal pollution in agricultural products to human health and for regulating the management of heavy metal-polluted soil [46]. In our study, we derived the soil Cd pollution threshold near a pyrite mine in Tongling. The extrapolated threshold for the Cd enrichment coefficient of maize kernels was higher than China’s soil environmental threshold, indicating that China’s threshold is generally strict [10,47]. However, our results are only applicable to maize soil in the study area and do not consider factors that affect the toxicity of pollutants in soil. It should be noted that our experiment was conducted under field conditions, where the factors affecting heavy metal Cd accumulation in crops are complex and diverse. As a result, there may be some differences between our results and those obtained from pot experiments [48]. Our finding that the soil Cd HC5 value changes significantly with the degree of soil pollution highlights the need for more enforceable ecological thresholds. Further research is needed to understand the relationship between different soil properties and HC5 values and to improve the scientific validity and rationality of the derived results.
5. Conclusions
In this study, we analyzed the Cd content in soil and maize kernels at maturity in two research areas with different levels of Cd pollution. We found that the average Cd content in the soil was 1.56 and 0.94 times higher than the risk control value specified in China’s “Soil Environmental Quality Risk Control Standard for Agricultural Land” in test site 1 and test site 2, respectively. The Cd content of maize kernels ranged from 0.087 to 0.196 mg·kg−1 in test site 1 and from 0.008 to 0.073 mg·kg−1 in test site 2, with only the latter meeting China’s national food safety standard (GB 2762-2022, 0.1 mg·kg−1). The BCF of maize roots and kernels for Cd in test site 2 ranged from 0.890 to 3.110 and from 0.004 to 0.054, respectively.
We used cluster analysis and Pareto analysis methods to screen for maize varieties with low Cd accumulation and identified five suitable varieties for planting in areas with high soil Cd content in Anhui Province, China: Yufeng 303, Nongda 372, Jingnongke 728, MC121, and Jinyu 1233. Additionally, based on the SSD curve of different maize Cd enrichment coefficients (1/BCF), we estimated that the soil Cd threshold for ensuring that 95% of maize would not be polluted by Cd was 1.39 mg·kg−1.
Author Contributions
C.C. conceived and designed the framework and wrote the paper. X.L., Y.M. and J.L. conceptualized and formulated overarching research goals and aims; N.Z., R.T. and J.Z. contributed to data preparation and analysis. C.C., R.T. and H.H. performed the experiments. All authors have read and agreed to the published version of the manuscript.
Funding
This research was funded by the National Key R&D Program Project “Technology Demonstration of Cadmium Arsenic Pollution Prevention and Ecological Security in Urban Rural Areas” (No. 2018YFD0800203) and the Anhui Provincial Science and Technology Major Research Project “Development and Application of Efficient Nanoremediation Materials for Heavy Metal Pollution in Farmland” (No. 17030701053).
Data Availability Statement
The data presented in this study are available on request from the corresponding author.
Conflicts of Interest
The authors declare no conflict of interest.
References
- Briffa, J.; Sinagra, E.; Blundell, R. Heavy metal pollution in the environment and their toxicological effects on humans. Heliyon 2020, 6, e04691. [Google Scholar] [CrossRef] [PubMed]
- Bermudez, G.M.A.; Jasan, R.; Plá, R.; Pignata, M.L. Heavy metals and trace elements in atmospheric fall–out: Their relationship with topsoil and wheat element composition. J. Hazard. Mater. 2012, 213, 447–456. [Google Scholar] [CrossRef] [PubMed]
- Liu, F.; Liu, X.N.; Ding, C.; Wu, L. The dynamic simulation of rice growth parameters under cadmium stress with the assimilation of multi–period spectral indices and crop model. Field Crop. Res. 2015, 183, 225–234. [Google Scholar] [CrossRef]
- Zhao, F.J.; Ma, Y.B.; Zhu, Y.G.; Tang, Z.; McGrath, S.P. Soil Contamination in China: Current Status and Mitigation Strategies. Environ. Sci. Technol. 2015, 49, 750–759. [Google Scholar] [CrossRef]
- Chen, S.B.; Wang, M.; Li, S.S.; Zheng, H.; Lei, X.Q.; Sun, X.Y.; Wang, L.F. Current status of and discussion on farmland heavy metal pollution prevention in China. Earth Sci. Front. 2019, 26, 35–41. [Google Scholar] [CrossRef]
- Huang, R.; Li, Y.Q.; Li, F.; Yin, X.L.; Li, R.; Wu, Z.M.; Liang, X.F.; Li, Z.A. Phosphate fertilizers facilitated the Cd contaminated soil remediation by sepiolite: Cd mobilization, plant toxicity, and soil microbial community. Environ. Toxicol. Chem. 2022, 234, 113388. [Google Scholar] [CrossRef]
- Yan, J.L.; Fischel, M.; Chen, H.P.; Siebecker, M.G.; Wang, P.; Zhao, F.J.; Sparks, D.L. Cadmium speciation and release kinetics in a paddy soil as affected by soil amendments and flooding–draining cycle. Environ. Pollut. 2021, 268, 115944. [Google Scholar] [CrossRef]
- Tao, R.H.; Hu, J.Y.; Cao, C.; Zheng, J.; Zhou, X.T.; Hu, H.X.; Ma, Y.H.; Ye, W.L.; Ma, Z.W.; Lu, H.J. Effect of LMWOAs on Maize Remediation of Cadmium and Plumbum Pollution in Farmland. Sustainability 2020, 14, 14580. [Google Scholar] [CrossRef]
- Yang, N.K.; Wang, H.B.; Wang, H.J.; Wang, Z.Z.; Ran, J.K.; Guo, S.Y.; Peng, Y. Screening maize (Zea mays L.) varieties with low accumulation of cadmium, arsenic, and lead in edible parts but high accumulation in other parts: A field plot experiment. Environ. Sci. Pollut. Res. 2021, 28, 33583–33598. [Google Scholar] [CrossRef]
- Xu, M.Q.; Yang, L.Y.; Chen, Y.L.; Jing, H.N.; Wu, B.; Yang, W.T. Selection of rice and maize varieties with low cadmium accumulation and derivation of soil environmental thresholds in karst. Ecotoxicol. Environ. Saf. 2022, 247, 114244. [Google Scholar] [CrossRef]
- Martin, F.; Bovet, L.; Cordier, A.; Stanke, M.; Gunduz, I.; Peitsch, M.C.; Ivanov, N.V. Design of a tobacco exon array with application to investigate the differential cadmium accumulation property in two tobacco varieties. BMC Genom. 2012, 13, 674. [Google Scholar] [CrossRef] [PubMed]
- Arthur, E.; Crews, H.; Morgan, C. Optimizing Plant Genetic Strategies for Minimizing Environmental Contamination in the Food Chain. Int. J. Phytoremed. 2000, 2, 1–21. [Google Scholar] [CrossRef]
- Chen, X.H.; Shen, G.X.; Bai, Y.J.; Guo, C.X. Accumulation of Cd in Different Crops and Screening of Low–Cd Accumulation Cultivars. Chin. J. Environ. Sci. 2019, 40, 4647–4653. [Google Scholar]
- Ericsson, K.; Nilsson, L.J. Assessment of the potential biomass supply in Europe using a resource–focused approach. Biomass Bioenergy 2006, 30, 1–15. [Google Scholar] [CrossRef]
- Erenstein, O.; Jaleta, M.; Sonder, K.; Mottaleb, K.; Prasanna, B.M. Global maize production, consumption and trade: Trends and R&D implications. Food Secur. 2022, 14, 1295–1319. [Google Scholar]
- Cao, X.; Gao, X.; Zeng, X.B.; Ma, Y.B.; Gao, Y.; Baeyens, W.; Jia, Y.H.; Liu, J.; Wu, C.X.; Su, S. Seeking for an optimal strategy to avoid arsenic and cadmium over–accumulation in crops: Soil management vs. cultivar selection in a case study with maize. Chemosphere 2021, 272, 129891. [Google Scholar] [CrossRef]
- Grant, C.A.; Clarke, J.M.; Duguid, S.; Duguid, S.; Chaney, R.L. Selection and breeding of plant cultivars to minimize cadmium accumulation. Sci. Total Environ. 2008, 390, 301–310. [Google Scholar] [CrossRef]
- Tanwir, K.; Javed, M.T.; Abbas, S.; Shahid, M.; Akram, M.S.; Chaudhary, H.J.; Iqbal, M. Serratia sp. CP–13 alleviates Cd toxicity by morpho–physio–biochemical improvements, antioxidative potential and diminished Cd uptake in Zea mays L. cultivars differing in Cd tolerance. Ecotoxicol. Environ. Saf. 2021, 208, 111584. [Google Scholar] [CrossRef]
- Fontanili, L.; Lancilli, C.; Suzui, N.; Dendena, B.; Yin, Y.G.; Ferri, A.; Ishii, S.; Kawachi, N.; Lucchini, G.; Fujimaki, S.; et al. Kinetic Analysis of Zinc/Cadmium Reciprocal Competitions Suggests a Possible Zn–Insensitive Pathway for Root–to–Shoot Cadmium Translocation in Rice. Rice 2016, 9, 16. [Google Scholar] [CrossRef]
- Zhou, H.; Zhu, W.; Yang, W.T.; Gu, G.F.; Gao, Z.X.; Chen, J.W.; Du, W.Q.; Zhang, P.; Peng, P.Q.; Liao, B.H. Cadmium uptake, accumulation, and remobilization in iron plaque and rice tissues at different growth stages. Ecotoxicol. Environ. Saf. 2018, 152, 91–97. [Google Scholar] [CrossRef]
- Mu, T.T.; Wu, T.Z.; Zhou, T.; Li, Z.; Ouyang, Y.N.; Jiang, J.P.; Zhu, D.; Hou, J.Y.; Wang, Z.Y.; Luo, Y.M.; et al. Geographical variation in arsenic, cadmium, and lead of soils and rice in the major rice producing regions of China. Sci. Total Environ. 2019, 677, 373–381. [Google Scholar] [CrossRef]
- Chen, P.; Zhang, H.M.; Yao, B.M.; Chen, S.C.; Sun, G.X.; Zhu, Y.G. Bioavailable arsenic and amorphous iron oxides provide reliable predictions for arsenic transfer in soil–wheat system. J. Hazard. Mater. 2020, 383, 121160. [Google Scholar] [CrossRef]
- Zhao, S.; Qin, L.; Wang, L.; Sun, X.Y.; Yu, L.; Wang, M.; Chen, S.B. Ecological risk thresholds for Zn in Chinese soils. Sci. Total Environ. 2022, 833, 155182. [Google Scholar] [CrossRef]
- Graham, R.L.; Hunsaker, C.T.; O’Neill, R.V.; Jackson, B.L. Ecological Risk Assessment at The Regional Scale. Ecol. Appl. 1991, 1, 196–206. [Google Scholar] [CrossRef] [PubMed]
- Li, S.S.; Yang, B.; Wang, M.; Zhang, R.; Chen, K.; He, Z.X.; Shi, H.D.; Chen, S.B. Environmental quality standards for agricultural land in China: What should be improved on derivation methodology? J. Environ. Manag. 2022, 324, 116334. [Google Scholar] [CrossRef] [PubMed]
- Li, L.J.; Jiang, B.; Wan, Y.N.; Li, J.M.; Ma, Y.B. Integrating bioavailability and aging in the criteria derivation of cadmium for the safe production of rice in paddy soils. Ecotoxicol. Environ. Saf. 2021, 219, 112356. [Google Scholar] [CrossRef] [PubMed]
- Bao, S.D. Soil and Agricultural Chemistry Analysis, 3rd ed.; China Agriculture Press: Beijing, China, 2013; ISBN 978-7-109-06644-1. [Google Scholar]
- Tang, B.; Luo, M.J.; Zhang, Y.X.; Guo, H.L.; Li, J.N.; Song, W.; Zhang, R.Y.; Feng, Z.; Kong, M.S.; Li, H.; et al. Natural variations in the P–type ATPase heavy metal transporter gene ZmHMA3 control cadmium accumulation in maize grains. J. Exp. Bot. 2021, 72, 6230–6246. [Google Scholar] [CrossRef]
- Li, C.; Cao, Y.D.; Li, T.F.; Guo, M.Y.; Ma, X.L.; Zhu, Y.S.; Fan, J.J. Changes in antioxidant system and sucrose metabolism in maize varieties exposed to Cd. Environ. Sci. Pollut. Res. 2022, 29, 64999–65011. [Google Scholar] [CrossRef]
- Zhang, N.; Tao, R.H.; Zhang, H.M.; Zhou, X.T.; Gao, C.H.; Hu, Z.Y.; Ma, Y.H. Differences in cadmium accumulation and translocation in different varieties of Zea mays. J. Agric. Resour. Environ 2022, 39, 1208–1216. [Google Scholar]
- Yang, W.W.; Liu, M.; Cao, M.Z.; Zhang, S.L. Accumulation and Transfer of Lead (Pb) and Cadmium (Cd) on Different Species of Maize. J. Ecol. Rural Environ. 2014, 30, 774–779. [Google Scholar]
- Feng, L.; Yan, H.L.; Dai, C.H.; Xu, W.X.; Gu, F.Y.; Zhang, F.; Li, T.; Xian, J.Y.; He, X.Q.; Yu, Y.J.; et al. The systematic exploration of cadmium–accumulation characteristics of maize kernel in acidic soil with different pollution levels in China. Sci. Total Environ. 2020, 729, 138972. [Google Scholar] [CrossRef] [PubMed]
- Meers, E.; Van Slycken, S.; Adriaensen, K.; Ruttens, A.; Vangronsveld, J.; Du Laing, G.; Witters, N.; Thewys, T.; Tack, F.M.G. The use of bio–energy crops (Zea mays) for ‘phytoattenuation’ of heavy metals on moderately contaminated soils: A field experiment. Chemosphere 2010, 78, 35–41. [Google Scholar] [CrossRef]
- Antoniadis, V.; Golia, E.E.; Liu, Y.T.; Wang, S.L.; Shaheen, S.M.; Rinklebe, J. Soil and maize contamination by trace elements and associated health risk assessment in the industrial area of Volos, Greece. Environ. Int. 2019, 124, 79–88. [Google Scholar] [CrossRef]
- Nannoni, F.; Rossi, S.; Protano, G. Potentially toxic element contamination in soil and accumulation in maize plants in a smelter area in Kosovo. Environ. Sci. Pollut. Res. 2016, 23, 11937–11946. [Google Scholar] [CrossRef]
- Qin, L.Y.; Wang, M.; Sun, X.Y.; Yu, L.; Wang, J.; Han, Y.; Chen, S.B. Formation of ferrihydrite induced by low pe+pH in paddy soil reduces Cd uptake by rice: Evidence from Cd isotope fractionation. Environ. Pollut. 2023, 328, 121644. [Google Scholar] [CrossRef]
- Zakaria, Z.; Zulkafflee, N.S.; Redzuan, N.A.M.; Selamat, J.; Ismail, M.R.; Praveena, S.M.; Toth, G.; Razis, A.F.A. Understanding Potential Heavy Metal Contamination, Absorption, Translocation and Accumulation in Rice and Human Health Risks. Plants 2021, 10, 1070. [Google Scholar] [CrossRef]
- Wang, F.J.; Tan, H.F.; Huang, L.H.; Cai, C.; Ding, Y.F.; Bao, H.; Chen, Z.X.; Zhu, C. Application of exogenous salicylic acid reduces Cd toxicity and Cd accumulation in rice. Ecotoxicol. Environ. Saf. 2021, 207, 111198. [Google Scholar] [CrossRef] [PubMed]
- Guan, Q.Y.; Liu, Z.; Shao, W.Y.; Tiam, J.; Luo, H.P.; Ni, F.; Shan, Y.X. Probabilistic risk assessment of heavy metals in urban farmland soils of a typical oasis city in northwest China. Sci. Total Environ. 2022, 833, 155096. [Google Scholar] [CrossRef]
- Hu, W.; Huang, B.; Borggaard, O.K.; Ye, M.; Tian, K.; Zhang, H.D.; Holm, P.E. Soil threshold values for cadmium based on paired soil–vegetable content analyses of greenhouse vegetable production systems in China: Implications for safe food production. Environ. Pollut. 2018, 241, 922–929. [Google Scholar] [CrossRef] [PubMed]
- Mu, T.T.; Zhou, T.; Li, Z.; Hu, P.J.; Luo, Y.M.; Christie, P.; Wu, L.H. Prediction models for rice cadmium accumulation in Chinese paddy fields and the implications in deducing soil thresholds based on food safety standards. Environ. Pollut. 2020, 258, 113879. [Google Scholar] [CrossRef]
- Safari, Y.; Delavar, M.A.; Zhang, C.; Noori, C.; Rahmanian, M. Assessing cadmium risk in wheat grain using soil threshold values. Int. J. Environ. Sci. 2018, 15, 887–894. [Google Scholar] [CrossRef]
- Gao, J.N.; Chen, X.T.; Wei, P.C.; Wang, Y.; LI, P.E.; Shao, K. Regulation of pyroptosis in cardiovascular pathologies: Role of noncoding RNAs. Mol. Ther. Nucleic Acids 2021, 25, 220–236. [Google Scholar] [CrossRef] [PubMed]
- Ding, C.F.; Ma, Y.B.; Li, X.G.; Zhang, T.L.; Wang, X.X. Determination and validation of soil thresholds for cadmium based on food quality standard and health risk assessment. Sci. Total Environ. 2018, 619, 700–706. [Google Scholar] [CrossRef]
- Song, W.E.; Chen, S.B.; Liu, J.F.; Chen, L.; Song, N.N.; Li, N.; Liu, B. Variation of Cd concentration in various rice cultivars and derivation of cadmium toxicity thresholds for paddy soil by species–sensitivity distribution. J. Integr. Agric. 2015, 14, 1845–1854. [Google Scholar] [CrossRef]
- He, J.Y.; Yang, Y.; Christakos, G.; Liu, Y.J.; Yang, X. Assessment of soil heavy metal pollution using stochastic site indicators. Geoderma 2019, 337, 359–367. [Google Scholar] [CrossRef]
- Xia, J.Q. Methods for Derivation of Site Specific Standard for Management of Contaminated Agricultural Soil. J. Ecol. Rural Environ. 2019, 35, 405–408. [Google Scholar]
- Wei, S.H.; Niu, R.C.; Srivastava, M.; Zhou, Q.X.; Wu, Z.J.; Sun, T.H.; Hu, Y.H.; Li, Y.M. Bidens tripartite L.: A Cd–accumulator confirmed by pot culture and site sampling experiment. J. Hazard. Mater. 2009, 170, 1269–1272. [Google Scholar] [CrossRef]
Disclaimer/Publisher’s Note: The statements, opinions and data contained in all publications are solely those of the individual author(s) and contributor(s) and not of MDPI and/or the editor(s). MDPI and/or the editor(s) disclaim responsibility for any injury to people or property resulting from any ideas, methods, instructions or products referred to in the content. |
© 2023 by the authors. Licensee MDPI, Basel, Switzerland. This article is an open access article distributed under the terms and conditions of the Creative Commons Attribution (CC BY) license (https://creativecommons.org/licenses/by/4.0/).






