Abstract
The System of Rice Intensification (SRI) developed in Madagascar has spread to many parts of the world, including India. This study assessing insect pest prevalence on rice grown with SRI vs. conventional methods at multiple locations in India was prompted by reports that SRI-managed rice plants are healthier and more resistant to pest and disease damage. Field experiments were conducted under the All-India Coordinated Rice Improvement Project over a 5-year period. The split-plot design assessed both cultivation methods and different cultivars, hybrids and improved varieties. Across the eight locations, SRI methods of cultivation showed a lower incidence of stem borer, planthoppers, and gall midge compared to conventional methods. Whorl maggots and thrips, on the other hand, were observed to be higher. Grain yield was significantly higher with SRI management across all locations. Higher ash, cellulose, hemicellulose, as well as silica content in rice plants under SRI management could explain at least in part the SRI plants’ resistance to pest damage. Analysis of guild composition revealed that in SRI plots, there were more natural enemies (insect predators and parasitoids) present and fewer crop pests (phytophages). A meta-analysis that considered other published research on this subject revealed a lower incidence of dead hearts, white ear-heads, and leaf folders, along with higher grain yield, in SRI plots.
1. Introduction
Agricultural production has tripled globally between 1960 and 2015, owing to productivity-enhancing technologies like the Green Revolution and to a significant expansion in the land, water, and other natural resources used for agricultural purposes. Even so, with the growing population, hunger and malnutrition remain huge challenges in many parts of the world [1]. Rice is a staple food crop for about half of the world’s population, and the global demand for rice is rising, mainly due to population growth but also due to consumer preferences, especially in developing countries in Africa and South Asia. Rice is grown in more than a hundred countries on an area of 163 million hectares worldwide, producing 500 million tons of milled rice [2].
The System of Rice Intensification (SRI) developed in Madagascar in the 1980s has been found to be advantageous in more than 60 countries, including India, due to its effects like requiring less water and having lower costs of production compared to current methods of rice cultivation. There are also reports of SRI methods contributing to greater crop tolerance of biotic and abiotic stresses, which are increasing with climate change, and to reductions in the emission of greenhouse gases [3,4,5]. SRI methodology has also shown promise for addressing problems of water scarcity, energy requirements, and environmental degradation [6]. The main components of SRI include the transplanting of younger seedlings, careful transplanting of single seedlings per hill, wider spacing, reduced irrigation with alternate wetting and drying, aeration of the topsoil around plants by using a cono-weeder for weed control, and relying as much as possible on organic manures in preference to chemical fertilizer. Field demonstrations in over 60 countries have validated the benefits of SRI over other cultivation methods in terms of yields (20–100% more), reduction in the quantity of seed required (90%) and saving of water (50%) as well as associated economic and social benefits (http://sri.ciifad.cornell.edu/ accessed on 3 December 2020).
Rice productivity in India and elsewhere is much constrained by the impact of insect pests, diseases, and weeds [7]. Rice production is limited by both abiotic and biotic stresses, with insect pests causing about 25% of these losses, amounting to some Rs. 240 billion, almost 30 billion USD [8]. There are over 100 insect species that damage rice crops from nursery to maturity and also in storage. Although the majority of these do relatively little damage, in tropical Asia there are about 20 insect species of major importance which occur regularly. These cause direct damage through ingestion or serve as vectors for diseases [9]. In India, the rapid increase in area under high-yielding varieties of rice accompanied by the increased use of chemical fertilizers has led to increased incidences of both pests and diseases.
Multilocation studies under the All India Co-ordinated Rice Improvement Programme (AICRIP) have shown that between 1965 and 2015, the number of insect pests considered ‘important’ has risen from 3 to 19, with planthoppers becoming a most serious concern across the country [10]. Farmers rely mostly on pesticides to reduce the losses caused by these pests. Paddy crop accounts for about 20% of the total pesticide consumption in India [11]. The pest spectrum is dynamic and unique for different ecosystems, and damage by pests varies over time and space. Previous reports have indicated that rice plants grown under SRI methods are less susceptible to insect pests and diseases due to their healthy growth [12]. Only a few studies have been done with standard scientific methods to assess the pest scenario with SRI cultivation, e.g., [13,14,15].
Published papers on this question were collected through an online search, and a meta-analysis was performed to know the influence of alternative methods of rice cultivation on the incidence of insect pests in rice cropping. Meta-analysis is the statistical analysis of a large collection of results from individual studies for the purpose of integrating the findings to identify what heterogeneity there is in study findings [16]. Continuous monitoring and accurate forecasting of pest populations during the period of crop growth is useful for protecting rice crops against insect pests [17]. There are few reports that biotic stress problems were less in SRI. Keeping this in mind, with a research hypothesis to assess the insect pest incidence in SRI and conventional method (control), experiments were conducted under the auspices of the AICRIP in multiple locations over five (2008–2013) years. The main objectives are: (i) to assess the impact of rice cultivation methods, particularly SRI, on the incidence of insect pests; (ii) to assess the effect of SRI methods on yield losses due to insect pests, the impacts of SRI on arthropod biodiversity, and the factors responsible for lower damage to crops; and (iii) to relate this studies’ results to those of similar studies through meta-analysis.
2. Materials and Methods
2.1. Experiment 1 at Multiple Locations—Insect Pest Incidence with SRI vs. Conventional Methods
A field experiment was conducted during 2008–2013 at eight locations across India: Coimbatore (CBT) in Tamil Nadu; Chinsurah (CHN) in West Bengal; Pattambi (PTB) in Kerala; Ragolu (RGL) in Andhra Pradesh; Ranchi (RNC) in Jharkhand; Raipur (RPR) in Chhattisgarh; and Rajendranagar (RNR) and Warangal (WGL) in Telangana. The meteorological and soil data along with GPS coordinates of each location are given in a Table (Table S1). This study was done under the Entomology program of the AICRIP.
Split-plot design was adopted using rice cultivation systems as the main treatments: (S1 = Conventional methods, and S2 = SRI methods), with different cultivars planted in sub-plots (V1 = A hybrid rice considered suitable for that location, and V2 = A high yielding improved inbred variety widely grown in that location—Table S2). The experimental area at each location measured approximately 4000 square meters, divided into seven equal blocks to have 7 replications of sub-treatments as given below (Figure 1).
Figure 1.
Experimental layout at each location. R—Replication; S1—system 1 (normal system of cultivation); S2—system 2. (System of Rice Intensification); V1—hybrid; V2—high-yielding improved inbred variety.
The experimental area at each location thus had 28 plots, each plot being 250 square meters. The package of practices followed with each rice cultivation system was specified (Table S3). No pest-control measures were applied in these plots. In each plot, observations on insect pest incidence were recorded on ten randomly selected hills at 10-day intervals starting from transplanting to harvest.
For each observation, the total number of tillers, total number of leaves, number of dead hearts, number of silver shoots, and number of leaves damaged by foliage-feeding insects were recorded. At the pre-harvest stage, the total number of panicles and the number of white earheads were noted. Finally, grain yields were calculated and reported from each plot (250 square meters) at the end of the season. These yields were converted per hectare by using a formula—10,000x/250 where x is the yield obtained from 250 square meters plot in kilograms.
2.2. Experiment 2 at Institute Farm—Assessment of Yield Loss, Biochemical Parameters, and Biodiversity
A field experiment was conducted at the IIRR farm at ICRISAT campus, Patancheru, Hyderabad with a randomized complete block design, evaluating two methods of rice cultivation (conventional and SRI) with six different rice cultivars, including two hybrids (DRRH3, KRH2) and four improved inbreds (IR 64, Krishnahamsa, RP Bio-226, and Chittimuthyalu) all grown under both cultivation methods.
Observations on insect pest incidence were recorded on ten randomly selected hills starting from transplanting until harvest of the crop. At each observation, total tillers, dead hearts, total leaves, damaged leaves, total panicles, and white earheads were noted. At the pre-harvest stage, the total number of panicles and the number of white earheads were recorded. The percent of dead hearts, white earheads, and leaf folder-damaged leaves were calculated from the observed data. For every cultivar, five hills each with 0, 1, 2, and 3 white earheads were collected and threshed by hand. The weight of the grains obtained from each hill was recorded to work out the percent yield loss due to white earhead damage caused by the yellow stem borer.
To assess arthropod biodiversity, insects were collected using a standard sweep net. In each plot, sweeps were made thrice at a maximum tillering stage for two wet seasons of 2009 and 2010. To estimate biochemical parameters, five plants of RP Bio-226 were collected from both SRI and conventional methods. The plant samples were dried under shade for three days. The samples were then transferred into brown paper bags and dried in an oven at 60 °C for about four days. After complete drying, each sample was powdered using a Wiley Mill. The powdered material was used for the estimation of ash, hemicelluloses, cellulose, lignin, and silica, using an automated fiber analyzer with filter bags and muffle furnace. Each sample was replicated seven times, and the mean values were calculated. Neutral detergent fiber (NDF), acid detergent fiber (ADF), and hemicellulose were determined in this way [18].
2.3. Statistical Analysis
In field experiment 1, the data on pest incidence were converted to per cent, and square root transformations (√X + 0.5) were performed before subjecting the data to statistical analysis. Combined split-plot analysis was done using Statistical Tools for Agricultural Research (STAR) software, Version 2.0.1, developed by the International Institute of Rice Research (IRRI) in the Philippines. Before combining the data, Bartlett’s chi-square test was performed to confirm the homogeneity of the data. If the data were heterogeneous, they were transformed by dividing the mean by the square root of the error mean for the sum of squares, and combined-plot analysis was done. Mean separation procedures were conducted when F tests were significant (p ≤ 0.05) by using Tukey’s honest significant difference (HSD) test. At each location, data were considered for analysis only if the pest incidence was found for 2 or >2 years.
In field experiment 2, the data on grain yield losses and biochemical parameters were subjected to analysis of variance (ANOVA) using PROC GLM in SAS (version 9.3). The Honest significant difference (HSD) test was performed to compare the means.
2.4. Meta-Analysis
A comprehensive literature search was conducted using Publish or Perish software, version 7.27.2949.7581 (https://harzing.com/resources/publish-or-perish accessed on 3 December 2020) that tracks a number of data sources such as Google Scholar, PubMed, Microsoft Academia, Scopus, and Web of Science. Search terms such as System of Rice Intensification, rice pests, normal method, rice cultivation, stem borer, leaf folder, gall midge, whorl maggot, hispa, case worm, thrips, brown planthopper, white-backed planthopper, and yield were used in various combinations. All eligible studies available up to October 2020 were included. The meta-analysis was done using the metaphor R package, version 2.4.0 [19].
A total of more than 150 papers were downloaded, from which the 10 most relevant studies were included in the meta-analysis. As this paper deals with insect pest incidence in different rice cultivation systems, each species of insect was considered independently and included as a separate data point. The damage values collated from the literature were used to calculate means and 95% confidence intervals for the insect pest incidence in the two methods of rice cultivation.
The effect size in meta-analysis indicates the standard mean difference between the pest incidence values in SRI and normal methods of rice cultivation and is calculated as per Borenstein et al. [20]. The variability in the effect sizes was characterized using heterogeneity as measured by the Q statistic. Q is the weighted sum of squared differences of effect sizes from the mean. It can be used to test whether variability among effect sizes is greater than expected by sampling error alone in terms of I2. It is calculated as I2 = 100% × (Q − df)/Q, where df = degrees of freedom (k − 1; k = the total number of observations) [21,22].
3. Results
3.1. Experiment 1 at Multiple Locations
The incidence of yellow stem borer (YSB), leaf folder (LF), gall midge (GM), case worm (CW), brown planthopper (BPH), white-backed planthopper (WBPH), whorl maggot (WM), and thrips (TH) was observed at various locations. However, not all insect pests were prevalent at all locations.
YSB damage was observed at six locations. Combined split-plot analysis revealed a significant difference in damage at the vegetative stage of rice growth, represented by dead hearts (DH), and at the reproductive stage, represented by white earheads (WEH). The incidence of DH and WEH was low in the SRI method at all the locations. DH was significantly different between the methods at three locations, viz., Chinsurah, Ragolu and Rajendranagar and WEH at two locations, viz., Pattambi and Rajendranagar. The incidence of DH varied from 5.5–18% while that for WEH ranged between 0.7 and 30% at various locations with both methods of rice cultivation (Figure 2).
Figure 2.
Stem borer incidence in SRI and conventional methods at various locations. CHN = Chinsurah, PTB = Pattambi, RGL = Ragolu, RNR = Rajendranagar, RPR = Raipur, WGL = Warangal. Means with the same letter are not significantly different by Tukey’s HSD (p = 0.05) at each location.
The incidence of DH was highest at Warangal with conventional methods (18%), and lowest at Pattambi with SRI methods (5.5%). The incidence of dead hearts was significantly different at three locations, where the lowest incidence was with SRI methods. There was no significant difference in dead-heart incidence with both methods of rice cultivation at three locations (Figure 2).
WEH incidence was highest (30%) at Raipur and the same with both methods of rice cultivation, while it was very low (0.7–1.6%) at Chinsurah. There were no significant differences between the sub-plot treatments of hybrids vs. inbred varieties, although the incidence was relatively higher with hybrids grown by conventional methods compared to inbred varieties grown with SRI methods (Figure 3).
Figure 3.
Stem borer incidence averaged for different cultivars. Means with the same letter are not significantly different by Tukey’s HSD (p = 0.05) across cultivation systems for each parameter.
Leaf folder incidence was observed at two locations, Pattambi and Warangal. At both of these locations, leaf folder damage was found to be higher with SRI methods compared to conventional methods. The highest incidence was observed with SRI methods at Warangal (11%), where the incidence was at par for both hybrids and varieties (Figure 4).
Figure 4.
Leaf folder incidence with different methods of rice cultivation and cultivars. Means with the same letter are not significantly different by Tukey’s HSD (p = 0.05) at each location.
Caseworm incidence was also observed at two locations where it was at par with both cultivation methods and across cultivars (Figure 5). Gall midge incidence was observed at two locations, and the highest damage was observed at Ragolu in hybrid rice with both cultivation methods (Figure 6). The damage was on par in both methods of rice cultivation.
Figure 5.
Caseworm incidence with different methods of rice cultivation and cultivars. Means with the same letter are not significantly different by Tukey’s HSD (p = 0.05) at each location.
Figure 6.
Gall midge incidence with different methods of rice cultivation. Means with the same letter are not significantly different by Tukey’s HSD (p = 0.05) at each location.
Brown planthopper incidence was observed at three locations, with the highest numbers seen in the variety grown with conventional methods at Siruguppa (965/10 hills) followed by the hybrid with conventional methods (350/10 hills). In the other two locations (JDP and WGL), brown planthoppers were found to exceed the economic threshold level only with conventional methods in both the hybrid and variety plots. With SRI methods, brown plant hoppers were nil or less than 10 per hill (Table 1). At Warangal, the incidence of white-backed planthopper was high with conventional methods (40/10 hills), and nil with SRI methods. Between hybrid and variety plots, the numbers of hoppers were not significantly different.
Table 1.
Planthopper (BPH and WBPH) incidence with different methods of rice cultivation.
Early-stage pests, such as whorl maggot and thrips incidence, were also observed. Whorl maggot damage was highest (15%) with the SRI method at Pattambi. The incidence across the locations was at par for both cultivation methods and cultivars. Thrips incidence was observed only at Rajendranagar and was found to be significantly higher with SRI methods in both the hybrid and variety plots (Figure 7).
Figure 7.
Incidence of whorl maggot and thrips in cultivation methods and cultivars. PTB = Pattambi, CHN = Chinsurah, RNR = Rajendranagar. Means with the same letter are not significantly different by Tukey’s HSD (p = 0.05) across locations, methods and cultivars.
Grain yield was significantly different among the different environments, cultivation methods, cultivars, and their interactions. Across the locations, the SRI method showed higher grain yield than the conventional method, and hybrids yielded more than improved varieties (Table 2). SRI advantage was the same for both hybrids and varieties, about 15% in both cases.
Table 2.
Grain yield recorded in cultivation methods (kg ha−1).
3.2. Experiment 2 at Institute Farm
3.2.1. Stem Borer Incidence and Yield Loss in SRI and Conventional Methods
Stem borer incidence was observed in different cultivars grown with both cultivation methods on the ICAR-IIRR station. A higher incidence of white earheads was reported with conventional methods (49–51%) compared to SRI methods (24–26%) (Figure 8). All of the cultivars yielded higher with SRI methods compared to conventional methods.
Figure 8.
Incidence of white earheads in six cultivars. Means with the same letter are not significantly different by Tukey’s HSD (p = 0.05) for each cultivar.
White earheads resulted in a significant reduction in grain yield, but more with conventional methods than with SRI methods. As expected, yield loss was greatest with three white earheads per hill for all the methods and for all of the cultivars compared to having one or two white earheads per hill (Table 3).
Table 3.
Loss in grain yield (in %) associated with different densities of white earheads and rice cultivation methods.
3.2.2. Effects on Biochemical Composition of Rice Plants
Biochemical analysis of the rice plants sampled from the different trial plots showed that the levels of ash, cellulose, hemicellulose, and silica content were superior in those plants grown with SRI methods compared with those grown under conventional management. Lignin, however, was found on par with both methods (Figure 9).
Figure 9.
Biochemical parameters with different methods of rice cultivation. Means with the same letter are not significantly different by Tukey’s HSD (p = 0.05) for each parameter.
3.2.3. Impact of Cultivation Methods on Insect Biodiversity
The guild composition of insects captured in the respective plots revealed that the proportion of insects that feed on plants (phytophages) was higher where conventional cultivation methods had been used, while the predators, parasitoids, and other insects that prey upon and control phytophage populations were more numerous in SRI-method plots.
This indicated that there was a higher total abundance and greater richness of beneficial insect species associated with SRI management. The phytophages counted included yellow stem borer, spotted stem borer, two species of leaf folders, stink bugs, hispa, skipper, and leaf and plant hoppers. The predators counted included spiders, coccinellids, staphylinid beetles, predatory bugs, carabid beetles, and damsel and dragonflies. Parasitoids included braconids, ichneumonids, and chalcids. Not surprisingly, conventional methods, which include the continuous flooding of plots, showed more aquatic arthropods compared to SRI-method plots (Figure 10).
Figure 10.
Guild composition of arthropods with conventional and SRI methods of rice cultivation.
3.3. Meta-Analysis
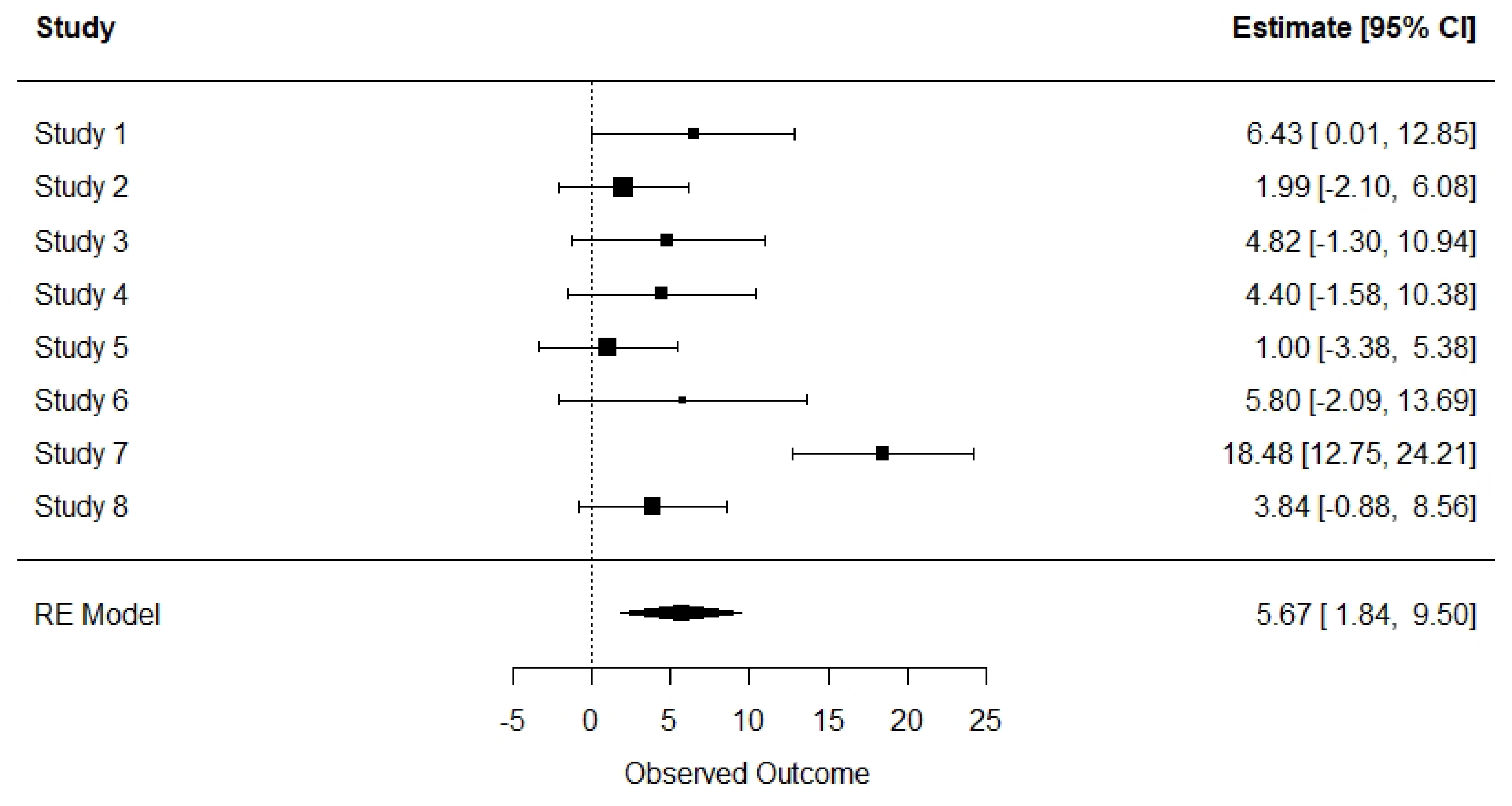
Random-effects meta-analysis resulted in an I2 value of 75% for dead hearts (Q = 27.01; df = 24; p = 0.0003) indicating that the variability in the pest incidence with two methods of rice cultivation was more likely due to real study differences than due to chance (25%). The standard mean difference between the dead heart incidence values in SRI and the normal method of rice cultivation (effect size) was 5.7 with a 95% confidence interval (1.8–9.5; Figure 11). Similarly, the I2 value for white earheads meta-data was 65% indicating that the difference in incidence was mainly due to the cultivation method. The analysis below is presented graphically as a forest plot representation [23].
Figure 11.
Forest plot evaluating dead heart damage caused by stem borer. For each study, in this figure, a horizontal line indicates the standard effect size of dead heart damage estimate (the rectangular box in the centre of each line) and 95% CL for the risk ratio used. The diamond at the bottom of the figure represents the combined estimate for all of the studies and its 95% confidence interval (width). Study 1: Pathak et al., 2013 [24]; Study 2: Karthikeyan et al., 2014 [3]; Study 3: Karthikeyan et al., 2010 [13]; Study 4: Padmavathi et al., 2009 [15]; Study 5: Jayakumar and Sankari, 2010 [25]; Study 6: Visalakshmi et al., 2014 [26]; Study 7: Yashpal Singh et al., 2015 [27]; Study 8: Kakde and Patel, 2018 [28].
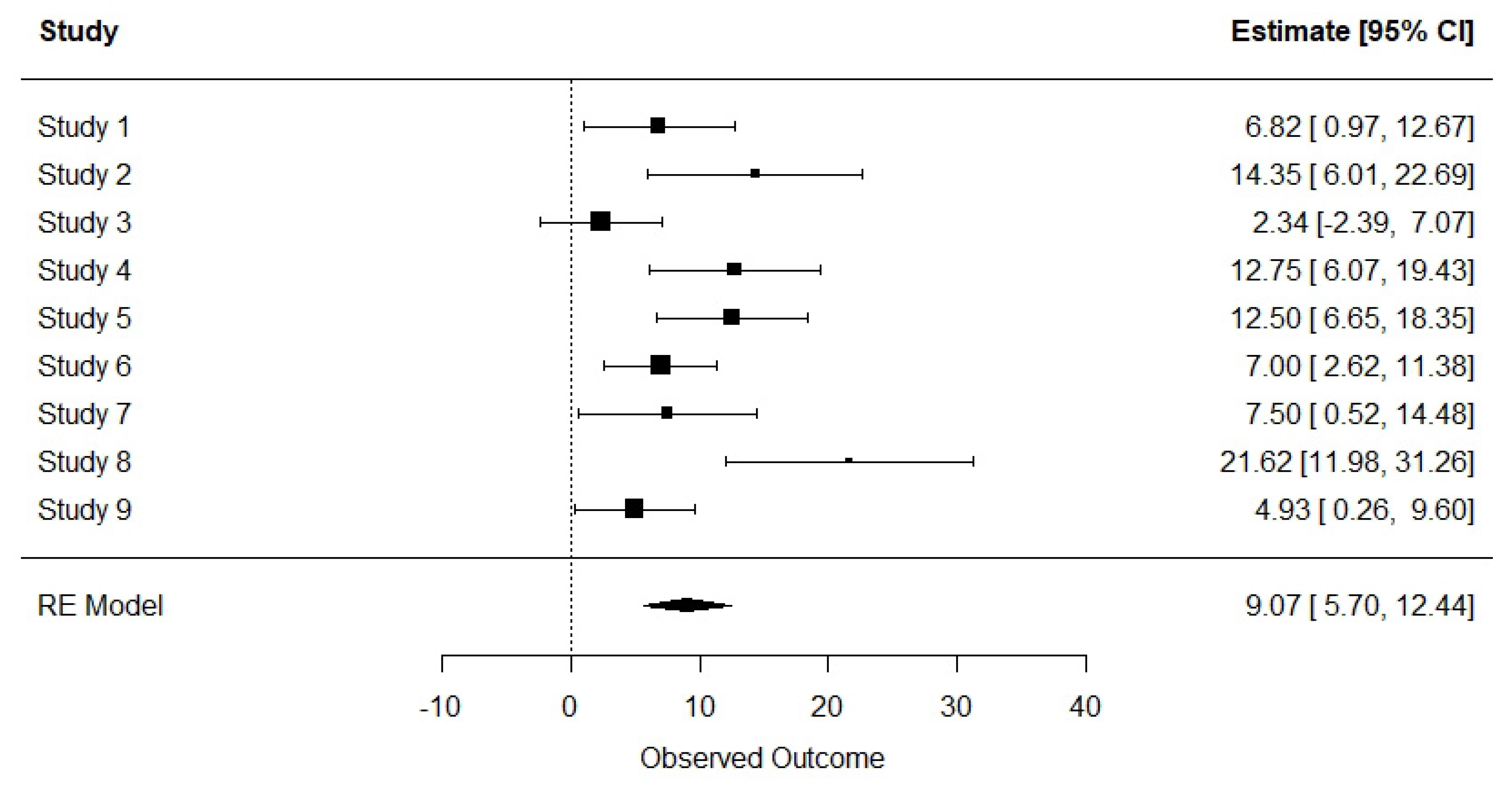
The standard mean difference values for white earheads ranged from 5.7–12.4 with a mean size of 9.07 (Q = 21.63; p ≤ 0.0056). This indicates that the cultivation method had a significant impact on the incidence of white earheads (Figure 12). The standard mean difference values of 3.9 (95% CI = 2.28–5.44) for leaf folder damaged leaves indicated that only 44% of that pest’s incidence was due to the effect of cultivation methods (Q = 12.66; df = 9; p = 0.0809; Figure 13).
Figure 12.
Forest plot evaluating white earhead damage caused by stem borer. For each study, in this figure, a horizontal line indicates the standard effect size of white earhead damage estimate (the rectangular box in the centre of each line) and 95% CL for the risk ratio used. The diamond at the bottom represents the combined estimate of all the studies and its 95% confidence interval (width). Study 1: Kega et al., 2015 [29]; Study 2: Pathak et al., 2013 [24]; Study 3: Karthikeyan et al., 2014 [3]; Study 4: Karthikeyan et al., 2010 [30]; Study 5: Padmavathi et al., 2009 [15]; Study 6: Jayakumar and Sankari, 2010 [25]; Study 7: Visalakshmi et al., 2014 [26]; Study 8: Yashpal Singh et al., 2015 [27]; Study 9: Kakde and Patel, 2015 [31].
Figure 13.
Forest plot evaluating leaf folder-damaged leaves. For each study, a horizontal line indicates the standard effect size of leaf folder-damaged leaves estimate (the rectangular box in the centre of each line) and 95% CL for the risk ratio used. The diamond represents the combined estimate of all the studies and its 95% confidence interval (width). Study 1: Pathak et al., 2013 [24]; Study 2: Karthikeyan et al., 2014 [3]; Study 3: Karthikeyan et al., 2010 [30]; Study 4: Padmavathi et al., 2009 [15]; Study 5: Jayakumar and Sankari, 2010 [25]; Study 6: Kakde and Patel, 2015 [31]; Study 7: Yashpal Singh et al., 2015 [27]; Study 8: Kakde and Patel, 2018 [28]; Study 9: Dung, 2007 [32].
Similarly, the mean grain yield difference between the methods was 6476 kg/ha (5436–7516 kg/ha) with 95% confidence intervals. The I2 value of 99.6% indicated that the variation is mainly due to the cultivation methods with only 0.4% due to chance. The funnel-shaped pattern in the scatter plot of effect size against sample size was relatively symmetrical with respect to white earheads and leaf folder damage, indicating an absence of publication bias (Figure S1).
4. Discussion
Between the two rice cultivation methods, SRI showed a consistently lower incidence of dead hearts and white earheads attributable to stem borers compared to conventional cultivation. These findings are consistent with earlier reports [3,24,26]. On the other hand, Kega et al. [29] reported no difference in the number of whiteheads caused by African white rice stem borer, Meliarpha separatella, under flooded or SRI crop management.
In the present study, caseworm incidence was found at par with both cultivation methods and both categories of cultivars. However, few other reports [13,30,33] have recorded lower caseworm incidence with SRI than with usual methods. In the case of early-stage pests, such as whorl maggost and thrips as well as leaf folders, the damage was higher with SRI methods. This finding confirms some earlier reports of higher leaf folder incidence in SRI methods [3,27,31].
Brown planthopper populations which crossed an economic threshold level at three locations were found to be less with SRI methods than conventional methods. The incidence of white-backed planthopper was found to be low at Jagdalpur and completely absent at Warangal with SRI methods compared to conventional methods, consistent with some earlier findings [28]. That grain yield was significantly higher with SRI methods of rice cultivation confirmed a number of earlier reports [32,34,35,36,37].
Most of the practices recommended for SRI are similar to those recommended to deal with major insect pests in rice through what is called integrated pest management (IPM). Therefore, it is not surprising that the incidence and damage of major insect pests were lower with SRI management as compared with conventional methods of rice cultivation.
Planting single seedlings with wider spacing (25 × 25 cm) as proposed with SRI methodology greatly reduces plant population m−2. Further, it increases airflow within the crop canopy and exposes rice plants to more sunlight, resulting in reduced pest incidence. This practice is recommended particularly for the management of planthoppers.
Similarly, inter-cultivation between the rows and between plants within a row with a cono-weeder (if possible, four times in 10-day intervals) gives greater surface-soil aeration and incorporates weeds into the soil as green manure in SRI methodology. As most weeds can serve as alternate hosts for major pests, their removal at regular intervals reduces pest incidence and restricts their further spread and development.
In the tillering stage, vigorous plant growth as observed with SRI methods may attract certain defoliators such as cutworms, ear-cutting caterpillars, and leaf folders. However, as SRI plants have high numbers of tillers and leaves growing vigorously, this can compensate for losses due to defoliation.
Yield loss was found to be higher for most of the cultivars evaluated with an incidence of three white earheads per plant with conventional methods compared to SRI methods with the same number of three white earheads per plant. A number of studies have reported that SRI methods produce significantly higher grain yield, number of tillers, effective tillers, panicle length, number of grains per panicle, and harvest index [32,34,35,36,37]. Having a greater number of effective tillers and a higher number of grains per panicle may partly explain how there is less yield loss with SRI methods compared to conventional methods.
The present study showed that rice plants from SRI plots had higher silica content, which is known to enhance plants’ resistance to pests and to reduce the damage caused by insect pests, pathogens, and non-insect pests, in part through the regulation of both constitutive and induced-resistance mechanisms [38]. The accumulation of silica in plant tissues acts as a physical barrier for feeding by leaf-chewing pests, and it regulates the release of defense-related enzymes and plant hormone signaling, as well as altering plants’ volatile blends [39]. Gas chromatography–mass spectrometry analyses showed lower production of volatiles such as α-bergamotene, β-sesquiohellandrene, hexanal 2-ethyl, and cedrol from silica supplemented (+Si) rice leaf folder-infested plants compared with silica-deprived (−Si) rice leaf folder-infested plants. These changes in plant chemistry were ecologically significant in altering the extent to which parasitoids were attracted to infested plants. Adult females of Trathala flavoorbitalis and Microplitis mediator both exhibited greater attraction to the HIPV blend of +Si plants infested with their respective insect hosts compared to −Si-infested plants [40].
Under SRI cultivation, there may not be the need for external application of silica amendments as is often recommended for pest management [41,42] because its methods, particularly the alternate wetting and drying of fields, enhance plants’ uptake of silica from the soil [43].
Our biodiversity study of guild composition showed higher numbers of phytophages (pests) in conventionally managed rice plots, while the populations of beneficial natural enemies like predators and parasitoids were relatively greater in SRI plots. Karthikeyan et al. [30] and Jayakumar and Sankari [25] have reported high spider populations with SRI, while Devi and Singh [44] have reported higher species diversity and a better Shannon Index with SRI compared to conventional methods.
Meta-analysis data provided clear evidence that the incidence of stem borer damage was lower with SRI methods compared to conventional methods across locations and that the differences were mainly due to the cultivation methods employed rather than being attributable to chance.
It has been widely reported by farmers and often documented by researchers that the pest incidence is lower in SRI-managed rice fields compared to those under conventional methods of rice cultivation. The health and vigor of rice plants grown with SRI methods enable them to resist attacks by pests as well as diseases (although the latter were not addressed in this entomological research). SRI practices like wider spacing, mechanical weed control, absence of standing water, and reliance on organic nutrition to enhance soil health and fertility make the micro-environments in which rice plants grow, both above- and below-ground, less favorable to most of the major pests of rice.
5. Conclusions
The multi-location study revealed that insect pests’ incidence was lower in the SRI method of rice cultivation compared to the conventional method. The incidence of stem borer, planthoppers, and gall midge was found low while the incidence of leaf folder, whorl maggot, and thrips found high in the SRI method than in the conventional method. In all the locations, grain yield was found significantly higher in SRI plots. White ear head damage caused by stem borer had less impact in SRI plots due to their high number of tillers and losses ranged from 7 to 34% while in conventional methods, losses of 13 to 51% were observed. Analysis of guild composition revealed that there were higher numbers of natural enemies (insect predators and parasitoids) and a lower number of pests (phytophages) in plots cultivated with SRI compared to conventional plots. Meta-analysis of published studies revealed a significant reduction in the incidence of dead hearts, white earheads, and leaf folders with higher grain yield in the SRI plots. It was apparent that SRI practices establish a micro-environment in the crop canopy that is less conducive to the growth and multiplication of insect pests. The effect of such an environment is complemented by SRI rice plants having higher silica content in leaves and stalks and a greater number of natural enemies in the plot. These factors lead to lower pest incidence and less crop loss in SRI.
Supplementary Materials
The following are available online at https://www.mdpi.com/article/10.3390/agronomy13041100/s1, Table S1: Meteorological and soil data of each location along with GPS co-ordinates; Table S2: The package of practices followed in each cultivation system; Table S3: List of hybrids and varieties grown at each location; Figure S1: Funnel shaped scatter plot of meta-analysis data
Author Contributions
P.C., G.K. and R.M.K.—Conceptualization, methodology, investigation, validation, data curation, analysis, writing—original draft preparation, writing—review and editing, visualization, supervision; S.R.—Formal analysis, meta-analysis; N.R.—literature search, data curation for meta-analysis; N.R.G.V.—Investigation at Rajendranagar, and data curation; K.K.—Investigation at Pattambi and data curation; S.S.—Investigation at Raipur and data curation; All authors have read and agreed to the published version of the manuscript.
Funding
This research received no external funding.
Institutional Review Board Statement
Article approved for submission; Ref No. IIRR/PD/DIR/PMEC/2020-21?Res.paper/406/dt. 31.12.2020.
Informed Consent Statement
Consent taken from all the concerned.
Data Availability Statement
The data utilized in this study are collected from the All India Co-ordinated Rice Improvement Project (AICRIP), available at ICAR-Indian Institute of Rice Research, Hyderabad, India. The data presented in this study are available on request from the corresponding author.
Acknowledgments
Authors would like to thank the ICAR-Indian Institute of Rice Research for providing facilities for the conduct of the study. We also thank S. Islam of Chinsurah, S. Suresh of Coimbatore, Visalakshmi and Rama Mohan Rao of Ragolu, Rabindra Prasad of Ranchi, and R Sunitha Devi of Warangal for conducting the experiments at their respective locations. We are highly grateful to Norman Uphoff, SRI International Network and Resources Center, Cornell University, Ithaca, New York, for going through the manuscript meticulously and providing suggestions, also for providing the APC charges of this manuscript.
Conflicts of Interest
The authors declare no conflict of interest.
References
- FAO. The Future of Food and Agriculture–Trends and Challenges; UN Food and Agriculture Organization: Rome, Italy, 2017; pp. 11–16. [Google Scholar]
- Food and Agriculture Organization. Rice Market Monitor, April 2018. XXI. Available online: http://www.fao.org/economic/RMM (accessed on 20 June 2022).
- Karthikeyan, K.; Christy, M.M.; Sreeshma, M.K. Effect of system of rice cultivation on insect pest incidence in Palakkad district of Kerala. J. Biopest. 2014, 7, 122–127. [Google Scholar]
- Thakur, A.K.; Uphoff, N. How the System of Rice Intensification can contribute to climate-smart agriculture? Agron. J. 2017, 109, 1163–1182. [Google Scholar] [CrossRef]
- Cacacho, E.L.; Agcaoili, S.O.; Cacatian, S.B.; Ouano, N.B. Assessment of the organic-based system of rice intensification (SRI) under coastal rice field ecosystem. Indian J. Sci. Technol. 2020, 13, 1867–1872. [Google Scholar] [CrossRef]
- Vibhu, N.; Ravichandran, V.K. System of Rice Intensification: Optimizing production with fewer inputs. The Hindu, 4 April 2008. [Google Scholar]
- Babendreier, D.; Maolin, H.; Rui, T.; Zhang, F.; Vongsabouth, T.; Win, K.K.; Min, K.; Peng, H.; Song, K.; Annamalai, S.; et al. Biological control of Lepidopteran pests in rice: A multi-nation case study from Asia. J. Integr. Pest Manag. 2020, 11, 1–11. [Google Scholar] [CrossRef]
- Dhaliwal, G.S.; Jindal, V.; Dhawan, A.K. Insect pest problems and crop losses: Changing trends. Indian J. Ecol. 2010, 37, 1–7. [Google Scholar]
- Heinrichs, E.A.; Muniappan, R. IPM for tropical crops: Rice. CAB Rev. 2017, 12, 1–31. [Google Scholar] [CrossRef]
- Padmavathi, C.; Chitra, S.; Gururaj, K. Advances in rice IPM: Indian scenario. J. Res. PJTSAU 2017, 45, 1–13. [Google Scholar]
- Shetty, P.K. Socio-ecological implications of pesticide use in India. Econ. Polit. Wkly. 2004, 39, 5261–5267. [Google Scholar]
- Ngo, T.D. SRI Application in Vietnam. Paper Presented at Pre-Congress SRI Day on 8 November 2010. Available online: https://www.slideshare.net/SRI.CORNELL/sri-application-in-vietnam (accessed on 15 December 2021).
- Karthikeyan, K.; Smitha, R.; Balachandran, P.V.; Shanmugasundaram, B.; Purushothaman, S.M. Influence of SRI cultivation on the incidence of major pests of rice. In Proceedings of the Extended Summaries of the 2nd National Symposium on System of Rice Intensification in India: Progress and Prospects, Tripura, India, 3–5 October 2007; pp. 96–97. [Google Scholar]
- Ratnasudhakar, T.; Narasimha Reddy, P. Influence of System of Rice Intensification (SRI) on the incidence of insect pests. In Proceedings of the Extended summaries of the Second National Symposium on System of Rice Intensification in India: Progress and Prospects, Agartala, India, 3–5 October 2007; pp. 87–88. [Google Scholar]
- Padmavathi, C.; Mahendra Kumar, R.; Subba Rao, L.V.; Surekha, K.; Srinivas Prasad, M.; Ravindra Babu, V.; Pasalu, I.C. Insect-pest dynamics and arthropod diversity in SRI and conventional methods of rice cultivation. Oryza 2009, 4, 227–230. [Google Scholar]
- Glass, G.V. Integrating findings: The meta-analysis of research. Rev. Res. Educ. 1978, 5, 351–379. [Google Scholar]
- Skawsang, S.; Nagai, M.K.; Tripathi, N.; Soni, P. Predicting rice pest population occurrence with satellite-derived crop phenology: Ground meteorological observation and machine learning: A case study for the Central Plain of Thailand. Appl. Sci. 2019, 9, 4846. [Google Scholar] [CrossRef]
- Van Soest, P.J. Use of detergents in the analysis of fibrous feeds. II. A rapid method for the determination of fiber and lignin. J. AOAC 1963, 46, 829–835. [Google Scholar] [CrossRef]
- Viechtbauer, W. METAFOR: Meta-Analysis Package for R, Version 2.4.0. 2020. Available online: https://CRAN.R-project.org/package=metafor (accessed on 17 December 2020).
- Borenstein, M.; Hedges, L.V.; Higgins, J.P.T.; Rothstein, H. Introduction to Meta-Analysis; John Wiley: Chichester, UK, 2009; 421p. [Google Scholar]
- Viechtbauer, W. Hypothesis tests for population heterogeneity in meta-analysis. Br. J. Math. Stat. Psychol. 2007, 60, 29–60. [Google Scholar] [CrossRef] [PubMed]
- Higgins, J.P.T.; Thompson, S.G.; Deeks, J.J.; Altman, D.G. Measuring inconsistency in meta-analyses. Br. Med. J. 2003, 327, 557–560. [Google Scholar] [CrossRef] [PubMed]
- Dettori, J.R.; Norvell, D.C.; Chapman, J.R. Seeing the forest by looking at the trees: How to interpret a meta-analysis forest plot. Glob. Spine J. 2021, 11, 614–616. [Google Scholar] [CrossRef]
- Pathak, M.; Shakyawar, R.C.; Dinseh, S. Biodiversity of insect pests, natural enemies and diseases in SRI and traditional system of rice cultivation in northeastern region of India. Oryza 2013, 50, 370–374. [Google Scholar]
- Jayakumar, S.; Sankari, A. Spider population and their predatory efficiency in different rice establishment techniques in Aduthurai, Tamil Nadu. J. Biopest. 2010, 3, 020–027. [Google Scholar]
- Visalakshmi, V.; Rama Mohana Rao, P.; Hari Satyanarayana, N. Impact of paddy cultivation systems on insect pest incidence. J. Crop Weed. 2014, 10, 139–142. [Google Scholar]
- Yashpal Singh, N.; Sahu, C.M.; Ghirtlahre, S.K.; Painkra, K.L.; Chandrakar, G. Studies on the seasonal incidence of leaf folder, Cnaphalocrocis medinalis Guenee, in midland SRI and normal transplanted rice ecosystem. Int. J. Trop. Agric. 2015, 33, 547–551. [Google Scholar]
- Kakde, A.M.; Patel, K.G. Succession of rice pest complex and natural enemies in conventional and SRI methods of planting. Int. J. Curr. Microbiol. Appl. Sci. 2018, 6, 2181–2188. [Google Scholar]
- Kega, V.M.; Nderitu, J.H.; Kasina, M.; Olubayo, F. Influence of cropping and irrigation systems on population fluctuation of the African white stem borer (Maliapha separatella Rag) and damage on rice. J. Entomol. 2015, 12, 95–102. [Google Scholar] [CrossRef]
- Karthikeyan, K.; Sosamma, J.; Purushothaman, S.M. Incidence of insect pests and natural enemies under SRI method of rice cultivation. Oryza 2010, 47, 164–167. [Google Scholar]
- Kakde, A.M.; Patel, K.G. Seasonal incidence of rice leaf folder in relation to SRI and conventional methods of planting and its correlation with weather parameters. Plant Arch. 2015, 15, 121–126. [Google Scholar]
- Dung, N.T. SRI Application in Rice Production in Northern Ecological Areas of Vietnam. Report of National IPM Program to Ministry of Agriculture and Rural Development, Hanoi. Available online: http://sri.cals.cornell.edu/countries/vietnam/vndungipmrpt06.pdf (accessed on 20 December 2020).
- David, P.M.; Ezhilrani, M.K.; Thiyagarajan, T.M. Relative abundance of insects in SRI and conventional rice. Presented at the National Symposium on Biodiversity and Insect Pest Management, Chennai, India, 3–4 February 2005; Entomology Research Institute: Chennai, India, 2005; pp. 96–99. [Google Scholar]
- Mahender Kumar, R.; Raghuveer Rao, P.; Somasekhar, N.; Surekha, K.; Padmavathi, C.; Srinivas Prasad, M.; Ravindra Babu, V.; Subba Rao, L.V.; Sreedevi, B.; Ravichandran, S.; et al. SRI: A method for sustainable intensification of rice production with enhanced water productivity. Agrotechnology 2013, S11, 009. [Google Scholar] [CrossRef]
- Raj, R.; Kumar, A.; Solanki, I.S.; Shiva, D.; Anchal, D.; Gupta, A.K.; Vikash, K.; Singh, C.B.; Jat, R.K.; Pandey, U.C. Influence of crop establishment methods on yield, economics, and water productivity of rice cultivars under upland and lowland production ecologies of Eastern Indo-Gangetic Plains. Paddy Water Environ. 2017, 15, 861–877. [Google Scholar] [CrossRef]
- Hossain, M.; Hossain, S.M.; Anwar, M.; Sarkar, M.R.; Mamun, A. Performance of BRRI Dhan in SRI and conventional methods and their technology mixes. Pak. J. Agron. 2003, 2, 195–200. [Google Scholar] [CrossRef]
- Gopalakrishnan, S.; Mahender Kumar, R.; Humayun, P.; Srinivas, V.; Ratna Kumari, B.; Vijayabharathi, R.; Singh, A.; Surekha, K.; Padmavathi, C.; Somashekar, N.; et al. Assessment of different methods of rice (Oryza sativa L.) cultivation affecting growth parameters, soil chemical, biological, and microbiological properties, water saving, and grain yield in rice–rice system. Paddy Water Environ. 2014, 12, 79–87. [Google Scholar] [CrossRef]
- Calatayud, P.A.; Njuguna, E.; Juma, G. Silica in insect-plant interactions. Entomol. Ornithol. Herpetol. 2016, 5, e125. [Google Scholar] [CrossRef]
- Alhousari, F.; Greger, M. Silicon and mechanisms of plant resistance to insect pests. Plants 2018, 7, 33. [Google Scholar] [CrossRef]
- Liu, J.; Zhu, J.; Zhang, P.; Han, L.; Reynolds, O.L.; Zeng, R.; Wu, J.; Shao, Y.; You, M.; Gurr, G.M. Silicon Supplementation Alters the Composition of Herbivore Induced Plant Volatiles and Enhances Attraction of Parasitoids to Infested Rice Plants. Front. Plant Sci. 2017, 8, 1265. [Google Scholar] [CrossRef]
- Han, Y.; Lei, W.; Wen, L.; Hou, M. Silicon-mediated resistance in a susceptible rice variety to the rice leaf folder, Cnapholocrosis medinalis Guenée (Lepidoptera: Pyralidae). PLoS ONE 2015, 10, e0120557. [Google Scholar] [CrossRef]
- Yang, L.; Han, Y.; Li, P.; Wen, L.; Hou, M. Silicon amendment to rice plants impairs sucking behaviors and population growth in the phloem feeder Nilaparvata lugens (Hemiptera: Delphacidae). Sci. Rep. 2017, 7, 1101. [Google Scholar] [CrossRef] [PubMed]
- Gowele, G.E.; Mahoo, H.F.; Kahimba, F.C. Comparison of silicon status in rice grown under the system of rice intensification and flooding regime in Mkindo irrigation scheme, Morogoro, Tanzania. Tanzan. J. Agric. Sci. 2020, 19, 216–226. [Google Scholar]
- Devi, P.R.; Singh, K.I. Studies of insect pest diversity: Special reference to system of rice intensification and conventional method in Imphal valley, Manipur, India. Int. Res. J. Mark. Econ. 2015, 2, 19–30. [Google Scholar]
Disclaimer/Publisher’s Note: The statements, opinions and data contained in all publications are solely those of the individual author(s) and contributor(s) and not of MDPI and/or the editor(s). MDPI and/or the editor(s) disclaim responsibility for any injury to people or property resulting from any ideas, methods, instructions or products referred to in the content. |
© 2023 by the authors. Licensee MDPI, Basel, Switzerland. This article is an open access article distributed under the terms and conditions of the Creative Commons Attribution (CC BY) license (https://creativecommons.org/licenses/by/4.0/).












