Abstract
In this study, rapid resistance in-season quick (RISQ) tests were developed for detecting the resistance in Echinochloa spp. to penoxsulam, metamifop, and quinclorac, which are widely used in rice fields to control E. spp. biotypes. Seedlings in 1–2 leaf stages from nine biotypes of E. crusgalli, E. crusgalli var. zelayensis, and E. glabrescens, with different susceptibility to the three herbicides tested, were transplanted to plates containing nutrient agar and different rates of herbicides. The survival rates were recorded at 8 days after treatment when no more new roots emerged for all the treatments. By comparing the results from RISQ tests and whole-plant pot bioassays statistically, discrimination rates could be determined to distinguish resistant plants from susceptible plants. For penoxsulam, metamifop, and quinclorac, the discrimination rates were 0.3, 0.6, and 2.4 µmol/L, respectively. Two additional biotypes of E. crusgalli collected in rice fields were used to confirm the validation of the RISQ test and the obtained results by the RISQ test were consistent with that of the whole-plant pot bioassay. Therefore, the developed RISQ test would be a possible alternative method to determine the susceptibility of E. spp. to certain herbicides.
1. Introduction
Echinochloa spp. are annual grass weeds with a wide range of distribution from latitudes 50″ N to 40″ S [1], among which E. crusgalli is one of the most troublesome weed species colonizing rice fields [2,3]. The various species of Echinochloa genus are well adapted to wettable soils and are commonly found growing among both temperate and tropical crops, including potatoes, snap beans, sugar beet, green peas, and melons, in over 60 countries. In many major rice-growing regions, intensive monocropping, typically with two or even three harvests each year of direct-seeded rice, has prompted farmers to use considerable amounts of herbicides to control these grass weeds [4]. It is generally considered as an effective, simple, and comparatively inexpensive approach for the control of noxious weeds [5]. Meanwhile, modern agricultural production has come to depend heavily on the use of herbicides to control crop weeds [6].
The increased use of pesticides has contributed immensely to enhancing agricultural productivity, decreased losses of stored grains, and generally improved people’s living standard [7]. However, the application of large amounts of these chemicals would also bring negative repercussions for both human society and the environment, including economic loss to the user, inefficient control of pests, and potential environmental contamination [8]. Moreover, as a consequence of the large-scale use of herbicides, many weeds have evolved resistance to herbicides, which has accordingly become a threat to conventional agricultural practices, particularly as the number of reported incidences of resistance are still rising. Since the discovery of resistance to triazine herbicides in common groundsel (Senecio vulgaris) in 1968, there has been a substantial increase in the incidence of herbicide resistance worldwide [9]. Over the past 50 years, herbicide-resistant weeds have infested both cultivated and non-cultivated areas of the world. To date, 515 unique cases of herbicide-resistant weeds (including 267 species) had been identified in 72 countries [10].
The first case of E. spp. resistance found was the resistance to triazine in US corn fields [11], and more were reported to be resistant to propanil [12], thiobencarb, butachlor, mefenacet [13], paraquat, quinclorac [14], and the acetolactate synthase (ALS) and acetyl CoA carboxylase (ACCase) inhibitors [15]. In China, the most widely used post-emergence herbicides to control E. spp. are ALS and ACCase inhibitors, and auxin-like herbicides, such as penoxsulam, metamifop, and quinclorac, respectively. However, the resistance to penoxsulam and quinclorac in E. spp. have evolved and resistance mechanisms have been reported [14,16,17].
Different resistance detecting methods have been developed for numerous herbicides and weed species [18], including the whole-plant pot bioassay, agar-based seedling assay, thermal imagery, spectral indices, molecular biology-based assay, as well as physiology and biochemistry-based assays [19]. However, the existing tests or technology have their disadvantages, such as cost inefficiency, the prerequisites for a good understanding of resistance mechanisms, the requirement for expensive instruments, not being in-season, and so on. The resistance in-season quick (RISQ) test was first developed to detect resistance to post-emergence ACCase and ALS inhibitor herbicides in Lolium spp. [20]. It is a more cost effective, simple, and early-season bioassay compared with the many existing ones. The RISQ test has also been used to detect glyphosate resistance in Lolium, Eleusine, Conyza, and Amaranthus species [21]; resistance to clodinafop-propargyl and pinoxaden in L. rigidum [22]; and ALS resistance in Schoenoplectus juncoides [23].
Given that most weed-management decisions must be made early in the growing season before plants mature and develop seeds, an ideal resistance test should be both effective and comparatively quick [24]. Therefore, the objective of the present work was to develop a reliable and quick assay for the detection of herbicide resistance in species of Echinochloa based on the RISQ test. Our specific objectives were as follows: (i) to determine the discriminating rates of different herbicides used against E. spp. in the RISQ test; and (ii) to verify the validity of the developed RISQ tests.
2. Materials & Methods
2.1. Plant Materials
In this study, eleven biotypes of Echinochloa species were used. Seeds of EC-2, EC-3, EC-4, EC-5, EZ-2, and EZ-3 were collected from rice fields with long histories of herbicide use in Anhui, Jiangsu provinces and Shanghai, whereas other seeds, EC-1, EZ-1, and EG-1, were collected from fallow fields in Jiangsu province that have not been sprayed with herbicides in recent years. The biotypes EC-6 and EC-7 were used in verifying this test. The resistant biotypes (EC-2 and EC-5) have been characterized as carrying mutations in ALS, responsible for the resistance to penoxsulam. The characteristics of the plant materials used in this study are shown in Table 1.
Table 1.
Characteristics of the biotypes used to develop the RISQ test.
2.2. Sensitivity of Different Biotypes to the Three Herbicides
Penoxsulam (25 g/L OD, Corteva Agriscience, Shanghai, China), metamifop (10% EC, FMC Cooperation, Philadelphia, PA, USA), and quinclorac (50% WP, Jiangsu Xinyizhongkai Agrochemicals, Xinyi, China) were used in the present study. The susceptibility of different biotypes to the three herbicides was determined by a whole-plant pot assay. Details of the doses of herbicides used for different biotypes are shown in Table 2. Plants were grown in 7 × 7 × 7 cm plastic pots containing fertilizer: loam soil (1:3) under a day/night temperature regime of 30 °C/25 °C and 12-h photoperiod. For each herbicide treatment, 20 plants per biotype were sprayed at the early vegetative growth stages (2–3 leaves) using an automatic sprayer (3WP-2000), which was calibrated to deliver 600 L/ha solution at a speed of 291 mm s−1, from a spray nozzle at 300 mm above the sprayed surface with a spraying pressure of 0.3 MPa. After being treated, all the plants were returned to the greenhouse and grown under the same conditions as described above. Each treatment had four replicates and each experiment was repeated twice at the same conditions. At 21 days after treatment (DAT), the above-ground parts of the seedlings were collected and fresh weights were recorded.
Table 2.
Herbicide doses used in whole-plant pot bioassays for the E. spp. populations.
2.3. Development of the RISQ Test
Seedlings were prepared according to the procedure described by Kaundun et al. [20], with minor modifications. Square Petri dishes (13 × 13 cm) were used as alternatives and the incubated plates were put in the incubator vertically instead of horizontally, which would allow the roots of seedlings to grow downward due to geotropism, and make the visual observation of root emergence much easier than that described by Kaundun et al.
2.3.1. Media Preparation
Agar powder (Beijing Solarbio Science & Technology Co., Ltd., Beijin, China) was added to ultrapure water at 1.2% w/v and placed in an autoclave (D-1-70, Beijing Faen Scientific Co., Ltd., Beijing, China) for sterilization. When the agar solution had cooled to approximately 50 °C, herbicides were added at the desired rates, and the resulting solutions were gently mixed at room temperature for 3 min. Thereafter, approximately 60 mL of each solution was poured into 13 × 13 cm square Petri dishes, which were placed horizontally in a laminar flow cabinet until the agar had cooled and solidified. Five square Petri dishes containing no herbicide were used as controls. All tests were performed immediately after the plates had been prepared.
2.3.2. Seedling Transplantation
The procedures used for seedling transplantation and subsequent growth followed the methods described by Kaundun et al. [20]. Initially, the seedlings from each biotype were cultured in the glasshouse under culture conditions used for whole-plant pot tests. When the seedlings had grown to the 2-leaf stage, they were carefully uprooted from the plastic pots. The roots were then washed in clean water to remove soil, and excess moisture was removed using filter papers. Seedlings were transplanted into square Petri dishes (13 × 13 cm) using a pair of forceps, placed horizontally with the roots below the growing point being gently pushed into the agar, and ensuring that the remaining roots were in contact with the agar. Ten seedlings were transplanted per Petri dish. A total of 50 plants per biotype were tested for each herbicide treatment. The Petri dishes were covered with lids and placed in an incubator with a day/night temperature regime of 30 °C/25 °C under a 12-h photoperiod. Plates containing no herbicides were used as controls.
2.3.3. Determination of Observation Time
The survival of the transplanted seedlings in each Petri dish under each treatment at different herbicide rates (0, 0.01, 0.1, 1, 10, and 100 µmol/L) was recorded daily until 11 DAT. When no more new roots emerged under the different treatments, the observation was stopped. The earliest day on which no more new roots emerged for all the treatments was taken as the optimal observation time.
2.3.4. Selection of Discriminating Rates of Herbicides
Serial rates for the selection of discriminating rates were set at the rate which could totally inhibit the root growth (Table 3), and the survived plants in each biotype were recorded.
Table 3.
Herbicide rates for screening the discriminating rates of the three herbicides.
2.3.5. The Whole-Plant Pot Assay
In this part, the whole-plant pot assay was performed as described in Section 2.2, except that 50 plants of each biotype and the recommended doses of penoxsulam (22.5 g a.i. ha−1), metamifop (100 g a.i. ha−1), and quinclorac (300 g a.i. ha−1) were applied. Also, 50 plants without herbicide treatment for each biotype were taken as contrast. At 21 DAT, the number of surviving plants was recorded.
2.4. Verification
Susceptible and resistant biotypes of E. crus-galli, collected from Pailou, Jiangsu Province (EC-6), and Ruanjiang, Hunan Province (EC-7), respectively, were tested with single discriminating rates of penoxsulam, metamifop, and quinclorac to verify the accuracy of the developed RISQ test. The specific method was the same as above. For each biotype, 50 individual seedlings (five plates and 10 plants of each) were tested.
2.5. Statistical Analysis
2.5.1. The Sensitivity of Different Biotypes
Fresh weights were measured and percentage inhibitions were calculated using the following equation [25]:
A probit regression Equation (2) [14] was fitted by SPSS to calculated the ED50 value of different biotypes to penoxsulam, metamifop, and quinclorac,
where Y represents the probit value; A is the intercept; B is the regression coefficient; and X is the base 10 logarithm of herbicide doses.
Biotypes were classified as high, moderate, or low resistance, or susceptible, based on the ED50. Herbicide resistance was classified into five groups: no resistance (S, RI < 2); low resistance (L, RI = 2–5); moderate resistance (M, RI = 6–10); high resistance (H, RI = 11–100); and very high resistance (VH, RI > 100) [26].
2.5.2. RISQ Test
The results of the RISQ test and whole-plant pot assay were analyzed with the Fisher exact test using GraphPad Prism 7.00 to determine correlations between the two tests. p-values greater than 0.05 indicated that there was no significant difference between the two tests and that the results were highly correlated.
3. Results
3.1. Susceptibility of Different Biotypes to the Three Herbicides
Based on the results from the whole-plant pot assay, for penoxsulam, EC-1, EG-1, EC-6, and EZ-1 were identified as susceptible (S) biotypes; EC-4 as low resistant (L); EC-7 as moderate resistant (M); and EC-2 and EC-3 as highly resistant (H) biotypes (Table 4).
Table 4.
The susceptibility of different E. spp. to penoxsulam.
Similarly, for metamifop, EC-1, EG-1, EZ-1, EC-6, and EC-7 were classified as S; EC-5 and EC-2 as L (Table 5), whereas for quinclorac, EC-1, EG-1, and EC-6 were classified as S; EZ-1 as L; EC-7 and EZ-3 as H; and EZ-2 as VH (Table 6). In addition, because the plants from EC-6 were all suppressed at the lowest doses of herbicides [penoxsulam (3.75 g a.i. ha−1), metamifop (7.5 g a.i. ha−1), and quinclorac (46.88 g a.i. ha−1)], it was identified as a susceptible (S) biotype (Table 4, Table 5 and Table 6).
Table 5.
The susceptibility of different E. spp. to metamifop.
Table 6.
The susceptibility of different E. spp. to quinclorac.
Meanwhile, all the three species of Echinochloa genus shared the same susceptibility to penoxsulam and metamifop. However, biotype EZ-1 of E. crusgalli var. zelayensis appearred to be less susceptible to quinclorac than the other two species, which would be due to the different susceptibility between species, as the EZ-1 biotype had been confirmed to be susceptible to quinclorac.
3.2. Development of the RISQ Test
3.2.1. Determination of Observation Time
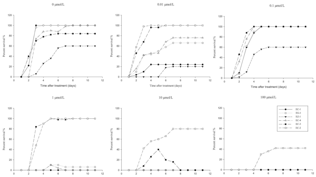
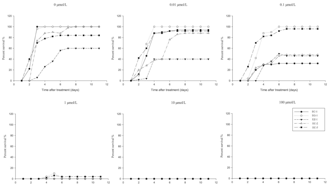
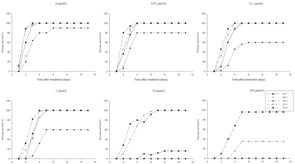
The numbers of surviving plants in different treatments were counted daily until 11 DAT to determine the point at which there were no further changes in the number of survivors. Percentage survival was calculated and plotted against DAT. The earliest day on which no more new roots emerged, resulting in a constant percentage survival for all the treatments, was selected as the optimal observation time. As shown in Figure 1, Figure 2 and Figure 3, 8 DAT was selected as the optimal test time for all three herbicides.
Figure 1.
Percentage of daily survival of various biotypes at different penoxsulam concentrations (%).
Figure 2.
Percentage of daily survival of various groups at different metamifop concentrations (%).
Figure 3.
Percentage of daily survival of various biotypes at different quinclorac concentrations (%).
3.2.2. Selection of Discriminating Rates of Herbicides in the RISQ Test
When plants were exposed to the recommended field doses of herbicides [penoxsulam (22.5 g a.i. ha−1), metamifop (100 g a.i. ha−1), and quinclorac (300 g a.i. ha−1)], it was found that almost all plants of the susceptible biotypes were totally killed, whereas resistant biotypes showed varied inhibiting effects (Table 7a–c).
Table 7.
The percentage surviving in the RISQ test compared with whole-plant pot tests for different susceptible and resistant Echinochloa spp. biotypes treated with (a) penoxsulam, (b) metamifop, and (c) quinclorac.
In subsequent tests, the lowest rate of penoxsulam that killed all the plants from all three susceptible biotypes was 0.3 µmol/L. At that rate, 100% of the individuals from EC-2 and EC-3, and 22% of EC-4 survived, of which EC-2, EC-3, and EC-4 were identified as highly resistant, highly resistant, and lowly resistant to penoxsulam, respectively. For the whole-plant pot assay at the recommend dose of penoxsulam, all the plants from the three sensitive biotypes were killed at 22.5 g a.i. ha−1, except for EG-1 (6% of the tested plants survived), while for the resistant biotypes, EC-2, EC-3, and EC-4, the survival rates were 100%, 100%, and 30%, respectively. These results were well correlated as no p values were less than 0.05 (Table 7a). Therefore, 0.3 µmol/L was taken as the discriminating rate for E. spp. to penoxsulam.
For metamifop, the lowest rate that killed all individuals from the three susceptible biotypes was 0.6 µmol/L, at which the survival rate for EC-2 (L) and EC-5 (L) were 28% and 6%, respectively (Table 7b). Therefore, 0.6 µmol/L was taken as the discriminating rate for E. spp. to metamifop.
For quinclorac, the lowest rate that killed all the susceptible biotypes was 2.4 µmol/L. At this rate, the percentage surviving of EZ-2 (VH) and EZ-3 (H) were 100% and 52%, respectively, which were not significantly different with the results from the whole-plant pot assay. Although EZ-1 was an L biotype, it was completely killed at 2.4 µmol/L (Table 7c). However, in the whole-plant pot assay, all the plants could be killed by the recommended dose of quinclorac, and between these two results, no significant difference were found. Therefore, such a false negative result would not affect the choice of quinclorac. As a result, 2.4 µmol/L was taken as the discriminating rate for E. spp. to quinclorac, although this rate could not be used to identify R biotypes.
3.3. Verification
Two E. crusgalli biotypes, which were identified by whole-plant bioassays as susceptible to all three herbicides (EC-6) and resistant to penoxsulam and quinclorac (EC-7), were used in the RISQ verification. When plants from EC-6 were subjected to the discriminating rates of penoxsulam, metamifop, and quinclorac, almost all of the tested seedlings from EC-6 were killed, from which it could be identified as being susceptible to these three herbicides, except for quinclorac. At 2.4 µmol/L quinclorac, 18% of the plants from EC-6 survived, which is a very high value. For EC-7, more than 50% of the tested seedlings survived from the treatment of penoxsulam and quinclorac at the discriminating rates, while nearly all the tested seedlings were killed by metamifop, which were consistent with the results from Section 3.1 (Table 8). From the results, it is verified that the developed RISQ test could be used to identify the resistance to penoxsulam and metamifop in E. spp., although for the field test, it still requires more research. However, for quinclorac, 2.4 µmol/L could only discriminate the E. spp. with high resistance to quinclorac, but not the susceptible biotypes, which is a problem to be solved in the future.
Table 8.
The field samples and percentage surviving under discriminative rates of penoxsulam, metamifop, and quinclorac in the RISQ test.
4. Discussion and Conclusions
Herbicides make an extremely valuable contribution to securing crop yields and are indispensable in traditional, mechanized arable farming [27]. However, intensive use of these herbicides worldwide has accelerated the selection of resistance genes in a number of weed grass species [28], and the number of reported cases of herbicide-resistant weeds continue to increase [10]. These resistant weeds endanger the productivity of modern cropping systems in many regions of the world [29], and represent a constraint on weed management in many cropping regions [30].
In China, E. spp. are the most noxious weeds in both direct-seeding and transplanting paddy fields. The most widely-used post-emergence herbicides to control E. spp. are penoxsulam, metamifop, and quinclorac, which belong to ALS inhibitor, ACCase inhibitor, and auxin-like herbicides, respectively. However, resistance to penoxsulam, metamifop, and/or quinclorac in E. spp. have evolved [14,16], although metamifop-resistance in E. crusgalli has not yet been reported (data in the present paper). Therefore, quick resistance detecting technologies have become urgent requirements for the management of herbicide resistance.
In order to effectively tackle the problem of herbicide resistance, it would therefore be beneficial to have a simple means of determining which weeds are resistant to a particular herbicide [31]. In this regard, an increasing number of methods have been developed for detecting resistant weeds. Whole-plant tests performed under glasshouse conditions could most closely simulate conditions experienced in the field, which is currently one of the most commonly used methods for screening herbicide resistance. However, a major limitation of the whole-plant test is that several months are required to obtain the final results. Pollen germination has been applied to detect target site-based resistance to ALS inhibitors and ACCase inhibitors in Lolium rigidum [32] and A. myosuroides [33], which was performed on specific agar mediums and the results could be observed in 2 h. Other seed-basedtests have also been developed, such as the tribenuron-methyl resistance in Papaver rhoeas [34,35]; quiclorac resistance in E. spp. [36]; ALS inhibitor resistance in Avena sterilis [37]; and dicamba resistance in Chenopodium album. However, these tests would take 10 to 20 d before the results were obtained and were labor intensive as the root and/or shoot lengths should be measured in general. All these mentioned tests could not be performed at the early vegetative growth stage of weeds in season and subsequently give directions for the choice of herbicides.
Some in-season detection methods have also been reported. Methods based on leaf chlorophyll fluorescence have been developed to detect ALS and ACCase inhibitor resistance in E. spp. [38,39], Apera spica-venti [40], and A. myosroiudes [41,42], and glyphosate resistance in E. indica [43], in 2 to 10 days, respectively. Although it could detect resistance in season, it requires special equipment and detecting sensors, which would be very expensive and professional grade. Leaf disc flotation was developed to detect glyphosate-resistant plants in 48 h [44], but complex procedures were needed. With further exploration on herbicide resistance mechanisms, molecular biology-based detections were developed for rapid and in-season resistance detection. Tests based on PCR (qPCR and/or droplet digital PCR etc), CAPS/dCAPS, and LAMP have been developed to detect target-site based resistance to ACCase and ALS inhibitors in A. myosuroides [27], Beckmannia syzigachne [45,46]; and L. spp. [47], glyphosate resistance in L. perenne [48] and Amaranthus palmeri [49]. Meanwhile, SNaPshot, genome-wide signatures and next-generation sequencing have also been used to detect herbicide resistance. A SNaPshot assay had been developed to detect the ACCase inhibitor resistance in L. spp. [50]. Genome-wide signatures had been used to detect 2,4-D resistance in Trifolium pratense [51], and the next-generation sequencing had been reported to detect ALS inhibitor resistance in E. crusgalli [52]. However, these methods are mutation-specific and limited to known mutations. Also, as various mutations in ACCase and/or ALS could confer resistance, it would be very costly and time consuming to develop methods and to identify each and every one of these mutations [20]. Furthermore, it could not be used to detect non-target site-based resistance, which had appeared to be a more dominant mechanism for resistance to ACCase and ALS inhibitors in grass weeds [53]. Novel techniques have emerged in herbicide resistance detection. Monoclonal antibody for CP4 EPSPS had been tested to detect glyphosate resistance in weeds, although it is still in development [54]. Image-based spectral reflectance has been conceptually proved to have the possibility in discriminating the glufosinate-resistant and -susceptible varieties of Zea mays, Gossypium hirsutum, and Glycine max, which would also assist in the detection of herbicide resistance in weeds [55].
Compared with the existing methods, the RISQ test is a reliable, quick, cost effective, and an in-season test to detect target-site based and non-target-site based resistance in Conyza canadensis, L. multiflorum, L. rigidum, E. indica, and A. rudis [20,21] to certain ACCase and/or ALS inhibitors, as well as glyphosate. In the present study, our RISQ tests could discriminate between the resistant and susceptible biotypes of E. spp. to penoxsulam, metamifop, and quinclorac, in 8 days, which is a much shorter observation time than those previously reported, and would allow the famers to choose proper post-emergence herbicides to control E. spp. in time. Also, the development of RISQ tests will also facilitate in monitoring and finding resistance, and assist weed scientists in subsequent researches. However, further research will be required to include more species of E. spp. and herbicides, to widen the scope of application and to shorten the observation time to meet the optional application stage of post-emergence herbicides.
Author Contributions
Conceptualization, J.L. (Jun Li); methodology, J.L. (Jun Li); software, Y.Z. and D.L.; validation, Y.Z., M.W., S.B. and J.L. (Jiamin Li); formal analysis, J.L. (Jun Li); investigation, Y.Z. and D.L.; resources, J.L. (Jun Li) and L.D.; data curation, Y.Z. and D.L.; writing—original draft preparation, Y.Z.; writing—review and editing, J.L. (Jun Li); visualization, M.W.; supervision, J.L. (Jun Li); project administration, J.L. (Jun Li); funding acquisition, J.L. (Jun Li). All authors have read and agreed to the published version of the manuscript.
Funding
This research was funded by the National Key Research and Development Program (2021YFD1700100).
Institutional Review Board Statement
Not applicable.
Informed Consent Statement
Not applicable.
Data Availability Statement
The data presented in this study are available on request from the corresponding author.
Acknowledgments
The authors thanks to the Minstry of Science and Technology of China for the funding.
Conflicts of Interest
The authors declare no conflict of interest.
References
- Maun, M.A.; Barrett, S.C.H. The biology of Canada weeds.: 77. Echinochloa-crussgalli (L.) Beauv. Can. J. Plant Sci. 1986, 66, 739–759. [Google Scholar] [CrossRef]
- Lim, S.H.; Kim, H.; Noh, T.K.; Lim, J.S.; Yook, M.J.; Kim, J.W.; Yi, J.H.; Kim, D. Baseline Sensitivity of Echinochloa crus-gall and E. oryzicola to Florpyrauxifen-Benzyl, a New Synthetic Auxin Herbicide, in Korea. Front. Plant Sci. 2021, 12, 656642. [Google Scholar] [CrossRef]
- Holm, L.G.; Pucknett, D.L.; Pancho, J.V.; Heberger, J.P. The World’s Worst Weeds. Distribution and Biology; University Press of Hawaii: Honolulu, HI, USA, 1977. [Google Scholar]
- Juliano, L.M.; Casimero, M.C.; Llewellyn, R. Multiple herbicide resistance in barnyardgrass (Echinochloa crus-galli) in direct-seeded rice in the Philippines. Int. J. Pest Manag. 2010, 56, 299–307. [Google Scholar] [CrossRef]
- Zhang, N.Y.; Linscombe, S.; Oard, J. Out-crossing frequency and genetic analysis of hybrids between transgenic glufosinate herbicide-resistant rice and the weed, red rice. Euphytica 2003, 130, 35–45. [Google Scholar] [CrossRef]
- Tadeo, J.L.; Sanchez-Brunete, C.; Perez, R.A.; Fernandez, M.D. Analysis of herbicide residues in cereals, fruits and vegetables. J. Chromatogr. A 2000, 882, 175–191. [Google Scholar] [CrossRef] [PubMed]
- Tiryaki, O.; Temur, C. The Fate of Pesticide in the Environment. J. Biol. Environ. Sci. 2010, 4, 29–38. [Google Scholar]
- Quan, L.; Li, S.F.; Tian, S.J.; Xu, H.; Lin, A.Q.; Gu, L. Determination of organochlorine pesticides residue in ginseng root by orthogonal array design soxhlet extraction and gas chromatography. Chromatographia 2004, 59, 89–93. [Google Scholar]
- Beckie, H.J.; Ashworth, M.B.; Flower, K.C. Herbicide Resistance Management: Recent Developments and Trends. Plants 2019, 8, 161. [Google Scholar] [CrossRef]
- Heap, I. The International Herbicide-Resistant Weed Database. Available online: http://www.weedscience.org/Home.aspx (accessed on 13 February 2023).
- Ryan, G.F. Resistance of common groundsel to simazine and atrazine. Weed Sci. 1970, 18, 614–616. [Google Scholar] [CrossRef]
- Carey, V.F.; Hoagland, R.E.; Talbert, R.E. Resistance mechanism of propanil-resistant barnyardgrass: 2. In-vivo metabolism of the propanil molecule. Pestic. Sci. 1997, 49, 333–338. [Google Scholar] [CrossRef]
- Cai, X.; Chen, J.; Wang, X.; Gao, H.; Xiang, B.; Dong, L. Mefenacet resistance in multiple herbicide-resistant Echinochloa crus-galli L. populations. Pestic. Biochem. Physiol. 2022, 182, 105038. [Google Scholar] [CrossRef] [PubMed]
- Xu, J.; Lv, B.; Wang, Q.; Li, J.; Dong, L. A resistance mechanism dependent upon the inhibition of ethylene biosynthesis. Pest Manag. Sci. 2013, 69, 1407–1414. [Google Scholar] [CrossRef] [PubMed]
- Bagavathiannan, M.V.; Norsworthy, J.K.; Smith, K.L.; Neve, P. Modeling the Simultaneous Evolution of Resistance to ALS- and ACCase-Inhibiting Herbicides in Barnyardgrass (Echinochloa crusgalli) in Clearfield (R) Rice. Weed Technol. 2014, 28, 89–103. [Google Scholar] [CrossRef]
- Fang, J.; Zhang, Y.; Liu, T.; Yan, B.; Li, J.; Dong, L. Target-Site and Metabolic Resistance Mechanisms to Penoxsulam in Barnyardgrass (Echinochloa crus-galli (L.) P. Beauv). J. Agric. Food Chem. 2019, 67, 8085–8095. [Google Scholar] [CrossRef]
- Zhao, Z.; Liu, X.; Pan, X.; Napier, R.; Dong, L.; Li, J. Different regulation of auxin homeostasis would be a possible mechanism conferring quinclorac resistance in Echinochloa crusgalli var. zelayensis. Weed Res. 2022, 62, 318–327. [Google Scholar] [CrossRef]
- Burgos, N.R.; Tranel, P.J.; Streibig, J.C.; Davis, V.M.; Shaner, D.; Norsworthy, J.K.; Ritz, C. Review: Confirmation of Resistance to Herbicides and Evaluation of Resistance Levels. Weed Sci. 2013, 61, 4–20. [Google Scholar] [CrossRef]
- Tataridas, A.; Jabran, K.; Kanatas, P.; Oliveira, R.S.; Freitas, H.; Travlos, I. Early detection, herbicide resistance screening, and integrated management of invasive plant species: A review. Pest Manag. Sci. 2022, 78, 3957–3972. [Google Scholar] [CrossRef] [PubMed]
- Kaundun, S.S.; Hutchings, S.J.; Dale, R.P.; Bailly, G.C.; Glanfield, P. Syngenta ‘RISQ’ test: A novel in-season method for detecting resistance to post-emergence ACCase and ALS inhibitor herbicides in grass weeds. Weed Res. 2011, 51, 284–293. [Google Scholar] [CrossRef]
- Kaundun, S.S.; Hutchings, S.-J.; Harris, S.C.; Jackson, L.V.; Shashi-Kiran, R.; Dale, R.P.; McIndoe, E. A Simple In-Season Bioassay for Detecting Glyphosate Resistance in Grass and Broadleaf Weeds Prior to Herbicide Application in the Field. Weed Sci. 2014, 62, 597–607. [Google Scholar] [CrossRef]
- Khammassi, M.; Hajri, H.; Menchari, Y.; Chaabane, H.; Souissi, T. Current status in resistance to ACCase and ALS-inhibiting herbicides in rigid ryegrass populations from cereal crops in North of Tunisia. J. Agric. Sci. 2019, 157, 676–683. [Google Scholar] [CrossRef]
- Weiqiang, J.; Roh, S.-W.; Song, J.E.; Bo, A.B.; Cho, K.M.; Park, K.W.; Joo, L. Evaluation of Three in-season Tests for Rapidly Detecting Resistance to Acetolactate Synthase Inhibitors in Schoenoplectus juncoides. Weed Turfgrass Sci. 2021, 10, 13–23. [Google Scholar]
- Koger, C.H.; Shaner, D.L.; Henry, W.B.; Nadler-Hassar, T.; Thomas, W.E.; Wilcut, J.W. Assessment of two nondestructive assays for detecting glyphosate resistance in horseweed (Conyza canadensis). Weed Sci. 2005, 53, 438–445. [Google Scholar] [CrossRef]
- Chung, I.M.; Ahn, J.K.; Yun, S.J. Assessment of allelopathic potential of barnyard grass (Echinochloa crus-galli) on rice (Oryza sativa L.) cultivars. Crop Prot. 2001, 20, 921–928. [Google Scholar] [CrossRef]
- Beckie, H.J.; Tardif, F.J. Herbicide cross resistance in weeds. Crop Prot. 2012, 35, 15–28. [Google Scholar] [CrossRef]
- Delye, C. Weed resistance to acetyl coenzyme A carboxylase inhibitors: An update. Weed Sci. 2005, 53, 728–746. [Google Scholar] [CrossRef]
- Beckie, H.J.; Reboud, X. Selecting for Weed Resistance: Herbicide Rotation and Mixture. Weed Technol. 2009, 23, 363–370. [Google Scholar] [CrossRef]
- Rosenhauer, M. Distribution, Detection and Genetic Background of Herbicide-Resistant Alopecurus myosuroides (Huds.) in Germany. Ph.D. Dissertation, Universität Hohenheim, Stuttgart, Germany, 2015. [Google Scholar]
- Preston, C. Herbicide resistance in weeds endowed by enhanced detoxification: Complications for management. Weed Sci. 2004, 52, 448–453. [Google Scholar] [CrossRef]
- Ghanizadeh, H.; Harrington, K.C.; James, T.K.; Woolley, D.J. A quick test using seeds for detecting dicamba resistance in fathen (Chenopodium album). Aust. J. Crop Sci. 2015, 9, 337–343. [Google Scholar]
- Richter, J.; Powles, S.B. Pollen Expression of Herbicide Target Site Resistance Genes in Annual Ryegrass (Lolium rigidum). Plant Physiol. 1993, 102, 1037–1041. [Google Scholar] [CrossRef]
- Letouze, A.; Gasquez, J. A pollen test to detect ACCase target-site resistance within Alopecurus myosuroides populations. Weed Res. 2000, 40, 151–162. [Google Scholar] [CrossRef]
- Cirujeda, A.; Recasens, J.; Taberner, A. A qualitative quick-test for detection of herbicide resistance to tribenuron-methyl in Papaver rhoeas. Weed Res. 2001, 41, 523–534. [Google Scholar] [CrossRef]
- Cirujeda, A.; Taberner, A. A qualitative quick-test for the detection of herbicide resistance towards tribenuron-methyl in Papaver rhoeas L. on agar medium. In Proceedings of the Actas Congreso 2001 Sociedad Española de Malherbología, León, Spain, 20–22 November 2001. [Google Scholar]
- Concenco, G.; Melo, P.T.B.S.; Andres, A.; Ferreira, E.A.; Galon, L.; Ferreira, F.A.; Silva, A.A. A quick method for detecting resistance of Echinochloa spp. to quinclorac. Planta Daninha 2008, 26, 429–437. [Google Scholar]
- Abdurruhman, A.M.; Uygur, S.; Mathiassen, S.K.; Uygur, N. Identification of sterile wild oat (Avena sterilis L.) resistance to acetolactate synthase (ALS)-inhibiting herbicides using different assay techniques. J. Plant Prot. Res. 2020, 60, 244–252. [Google Scholar]
- Zhang, C.J.; Lim, S.H.; Kim, J.W.; Nah, G.; Fischer, A.; Kim, D.S. Leaf chlorophyll fluorescence discriminates herbicide resistance in Echinochloa species. Weed Res. 2016, 56, 424–433. [Google Scholar] [CrossRef]
- Zhang, C.-J.; Kim, D.-S. Using Leaf Chlorophyll Fluorescence for In-Season Diagnosing Herbicide Resistance in Echinochloa Species at Reproductive Growth Stage. Plant Prot. Sci. 2018, 54, 194–202. [Google Scholar] [CrossRef]
- Linn, A.I.; Kosnarova, P.; Soukup, J.; Gerhards, R. Detecting herbicide-resistant Apera spica-venti with a chlorophyll fluorescence agar test. Plant Soil Environ. 2018, 64, 386–392. [Google Scholar] [CrossRef]
- Wang, P.; Peteinatos, G.; Li, H.; Gerhards, R. Rapid in-season detection of herbicide resistant Alopecurus myosuroides using a mobile fluorescence imaging sensor. Crop Prot. 2016, 89, 170–177. [Google Scholar] [CrossRef]
- Kaiser, Y.I.; Menegat, A.; Gerhards, R. Chlorophyll fluorescence imaging: A new method for rapid detection of herbicide resistance in Alopecurus myosuroides. Weed Res. 2013, 53, 399–406. [Google Scholar] [CrossRef]
- Zhang, T.-J.; Feng, L.; Tian, X.-S.; Yang, C.-H.; Gao, J.-D. Use of chlorophyll fluorescence and P700 absorbance to rapidly detect glyphosate resistance in goosegrass (Eleusine indica). J. Integr. Agric. 2015, 14, 714–723. [Google Scholar] [CrossRef]
- Shaner, D.L.; Nadler-Hassar, T.; Henry, W.B.; Koger, C.H. A rapid in vivo shikimate accumulation assay with excised leaf discs. Weed Sci. 2005, 53, 769–774. [Google Scholar] [CrossRef]
- Pan, L.; Li, J.; Xia, W.; Zhang, D.; Dong, L. An effective method, composed of LAMP and dCAPS, to detect different mutations in fenoxaprop-P-ethyl-resistant American sloughgrass (Beckmannia syzigachne Steud.) populations. Pestic. Biochem. Physiol. 2015, 117, 1–8. [Google Scholar] [CrossRef] [PubMed]
- Pan, L.; Li, J.; Zhang, W.-N.; Dong, L. Detection of the I1781L mutation in fenoxaprop-p-ethyl-resistant American sloughgrass (Beckmannia syzigachne Steud.), based on the loop-mediated isothermal amplification method. Pest Manag. Sci. 2015, 71, 123–130. [Google Scholar] [CrossRef]
- Panozzo, S.; Farinati, S.; Sattin, M.; Scarabel, L. Can allele-specific loop-mediated isothermal amplification be used for rapid detection of target-site herbicide resistance in Lolium spp.? Plant Methods 2023, 19, 14. [Google Scholar] [CrossRef] [PubMed]
- Ghanizadeh, H.; Griffiths, A.G.; Buddenhagen, C.E.; Anderson, C.B.; Harrington, K.C. A PCR plus restriction enzyme-based technique for detecting target-enzyme mutations at position Pro-106 in glyphosate-resistant Lolium perenne . PLoS ONE 2021, 16, e0246028. [Google Scholar] [CrossRef] [PubMed]
- Cao, J.; Wu, Q.; Wan, F.; Guo, J.; Wang, R. Reliable and rapid identification of glyphosate-resistance in the invasive weed Amaranthus palmeri in China. Pest Manag. Sci. 2022, 78, 2173–2182. [Google Scholar] [CrossRef]
- Alarcon-Reverte, R.; Hanley, S.; Kaundun, S.S.; Karp, A.; Moss, S.R. A SNaPshot assay for the rapid and simple detection of known point mutations conferring resistance to ACCase-inhibiting herbicides in Lolium spp. Weed Res. 2013, 53, 12–20. [Google Scholar] [CrossRef]
- Benevenuto, J.; Bhakta, M.; Lohr, D.A.; Ferrao, L.F.V.; Resende, M.F.R., Jr.; Kirst, M.; Quesenberry, K.; Munoz, P. Cost-effective detection of genome-wide signatures for 2,4-D herbicide resistance adaptation in red clover. Sci. Rep. 2019, 9, 20037. [Google Scholar] [CrossRef]
- Delye, C.; Causse, R.; Gautier, V.; Poncet, C.; Michel, S. Using next-generation sequencing to detect mutations endowing resistance to pesticides: Application to acetolactate-synthase (ALS)-based resistance in barnyard grass, a polyploid grass weed. Pest Manag. Sci. 2015, 71, 675–685. [Google Scholar] [CrossRef]
- Petit, C.; Bay, G.; Pernin, F.; Delye, C. Prevalence of cross- or multiple resistance to the acetyl-coenzyme A carboxylase inhibitors fenoxaprop, clodinafop and pinoxaden in black-grass (Alopecurus myosuroides Huds.) in France. Pest Manag. Sci. 2010, 66, 168–177. [Google Scholar] [CrossRef]
- Yoon, A.M.; Kim, I.R.; Choi, W. Monoclonal antibody production for CP4 EPSPS detection assays. Korean J. Environ. Biol. 2021, 39, 445–451. [Google Scholar] [CrossRef]
- Jones, E.A.L.; Austin, R.; Dunne, J.C.; Cahoon, C.W.; Jennings, K.M.; Leon, R.G.; Everman, W.J. Utilization of image-based spectral reflectance to detect herbicide resistance in glufosinate-resistant and glufosinate-susceptible plants: A proof of concept. Weed Sci. 2022, 1–11. [Google Scholar] [CrossRef]
Disclaimer/Publisher’s Note: The statements, opinions and data contained in all publications are solely those of the individual author(s) and contributor(s) and not of MDPI and/or the editor(s). MDPI and/or the editor(s) disclaim responsibility for any injury to people or property resulting from any ideas, methods, instructions or products referred to in the content. |
© 2023 by the authors. Licensee MDPI, Basel, Switzerland. This article is an open access article distributed under the terms and conditions of the Creative Commons Attribution (CC BY) license (https://creativecommons.org/licenses/by/4.0/).


