Litter Decomposition Characteristics and Variety Differences in a Kiwifruit Orchard in Subtropical Climate Zone of China
Abstract
1. Introduction
2. Materials and Methods
2.1. Study Site
2.2. Study Plant Species
2.3. Litter Decomposition Study
2.4. Litter Residue Analysis
2.5. Analysis of Soil Enzyme Activity
2.6. Data Analysis
3. Results
3.1. Litter Decomposition Rate
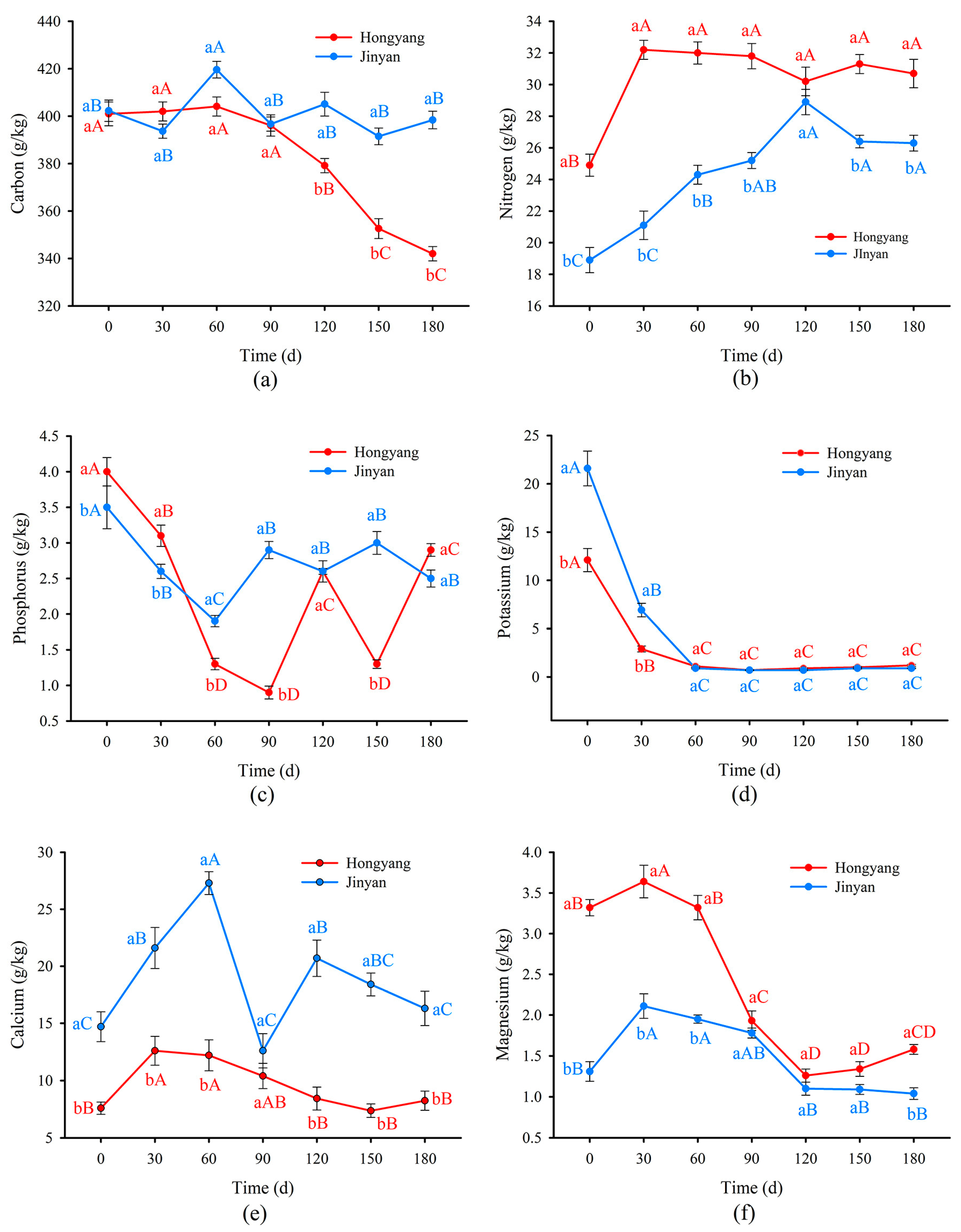
3.2. Dynamics of Nutrients during Litter Decomposition

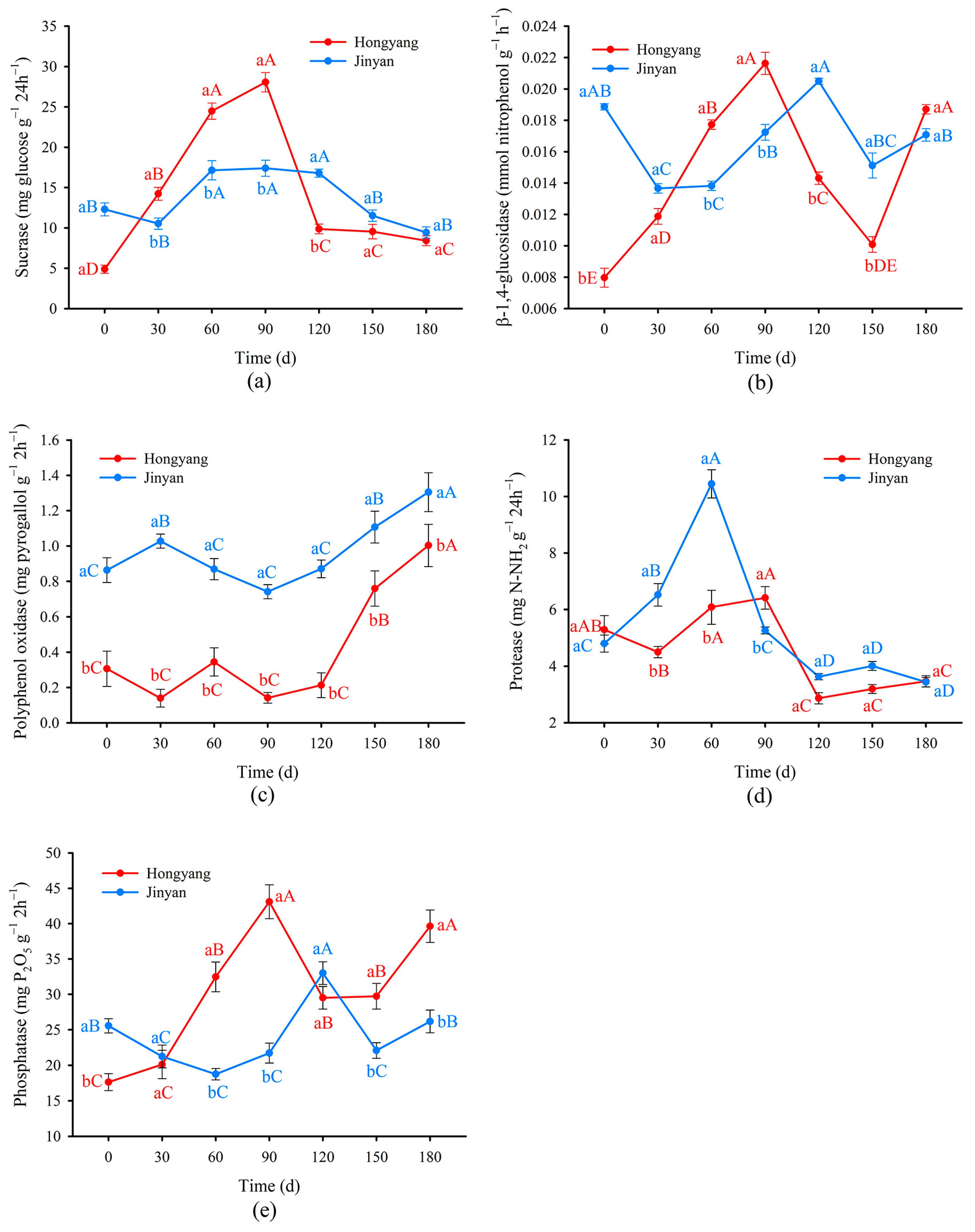
3.3. Dynamics of Soil Enzyme Activities during Litter Decomposition
3.4. Correlation between Litter Nutrient and Soil Enzyme Activities
4. Discussion
4.1. Variety Differences in Litter Decomposition
4.2. Dynamics of Nutrients during Litter Decomposition
4.3. The Role of Soil Enzyme during Litter Decomposition
5. Conclusions
Supplementary Materials
Author Contributions
Funding
Data Availability Statement
Conflicts of Interest
References
- Pei, G.; Liu, J.; Peng, B.; Gao, D.; Wang, C.; Dai, W.; Jiang, P.; Bai, E. Nitrogen, lignin, C/N as important regulators of gross nitrogen release and immobilization during litter decomposition in a temperate forest ecosystem. For. Ecol. Manag. 2019, 440, 61–69. [Google Scholar] [CrossRef]
- de la Riva, E.G.; Prieto, I.; Villar, R. The leaf economic spectrum drives leaf litter decomposition in Mediterranean forests. Plant Soil 2019, 435, 353–366. [Google Scholar] [CrossRef]
- Maisto, G.; De Marco, A.; Meola, A.; Sessa, L.; De Santo, A.V. Nutrient dynamics in litter mixtures of four Mediterranean maquis species decomposing in situ. Soil Biol. Biochem. 2011, 43, 520–530. [Google Scholar] [CrossRef]
- Tagliavini, M.; Scandellari, F. Nutrient fluxes in kiwifruit orchards. Acta Hortic. 2007, 753, 487–494. [Google Scholar] [CrossRef]
- Naik, S.K.; Maurya, S.; Mukherjee, D.; Singh, A.K.; Bhatt, B.P. Rates of decomposition and nutrient mineralization of leaf litter from different orchards under hot and dry sub-humid climate. Arch. Agron. Soil Sci. 2018, 64, 560–573. [Google Scholar] [CrossRef]
- Han, M.Y.; Zhang, L.X.; Fan, C.H.; Liu, L.H.; Zhang, L.S.; Li, B.Z.; Alva, A.K. Release of nitrogen, phosphorus, and potassium during the decomposition of apple (Malus domestica) leaf litter under different fertilization regimes in Loess Plateau, China. Soil Sci. Plant Nutr. 2011, 57, 549–557. [Google Scholar] [CrossRef]
- Ventura, M.; Scandellari, F.; Bonora, E.; Tagliavini, M. Nutrient release during decomposition of leaf litter in a peach (Prunus persica L.) orchard. Nutr. Cycl. Agroecosyst. 2010, 87, 115–125. [Google Scholar] [CrossRef]
- Kumari, R.; Kundu, M.; Das, A.; Rakshit, R.; Sahay, S.; Sengupta, S.; Ahmad, M. Long-term integrated nutrient management improves carbon stock and fruit yield in a subtropical mango (Mangifera indica L.) orchard. J. Soil Sci. Plant Nutr. 2020, 20, 725–737. [Google Scholar] [CrossRef]
- Germer, S.; Dongen, R.v.; Kern, J. Decomposition of cherry tree prunings and their short-term impact on soil quality. Appl. Soil Ecol. 2017, 117–118, 156–164. [Google Scholar] [CrossRef]
- Krishna, M.; Mohan, M. Litter decomposition in forest ecosystems: A review. Energy Ecol. Environ. 2017, 2, 236–249. [Google Scholar] [CrossRef]
- Ge, X.; Zeng, L.; Xiao, W.; Huang, Z.; Geng, X.; Tan, B. Effect of litter substrate quality and soil nutrients on forest litter decomposition: A review. Acta Ecol. Sin. 2013, 33, 102–108. [Google Scholar] [CrossRef]
- Meng, J.; Li, L.; Liu, H.; Li, Y.; Li, C.; Wu, G.; Yu, X.; Guo, L.; Cheng, D.; Muminov, M.A. Biodiversity management of organic orchard enhances both ecological and economic profitability. PeerJ 2016, 4, e2137. [Google Scholar] [CrossRef] [PubMed]
- Knorr, M.; Frey, S.; Curtis, P. Nitrogen additions and litter decomposition: A meta-analysis. Ecology 2005, 86, 3252–3257. [Google Scholar] [CrossRef]
- Cornwell, W.K.; Cornelissen, J.H.; Amatangelo, K.; Dorrepaal, E.; Eviner, V.T.; Godoy, O.; Hobbie, S.E.; Hoorens, B.; Kurokawa, H.; Pérez-Harguindeguy, N. Plant species traits are the predominant control on litter decomposition rates within biomes worldwide. Ecol. Lett. 2008, 11, 1065–1071. [Google Scholar] [CrossRef]
- Wang, Y.; Liu, L.; Luo, Y.; Awasthi, M.K.; Yang, J.; Duan, Y.; Li, H.; Zhao, Z. Mulching practices alter the bacterial-fungal community and network in favor of soil quality in a semiarid orchard system. Sci. Total Environ. 2020, 725, 138527. [Google Scholar] [CrossRef]
- Jiao, K.; Qin, S.; Lyu, D.; Liu, L.; Ma, H. Red clover intercropping of apple orchards improves soil microbial community functional diversity. Acta Agric. Scand. Sect. B Soil Plant Sci. 2013, 63, 466–472. [Google Scholar] [CrossRef]
- Gómez-Muñoz, B.; Hatch, D.; Bol, R.; García-Ruiz, R. Nutrient dynamics during decomposition of the residues from a sown legume or ruderal plant cover in an olive oil orchard. Agric. Ecosyst. Environ. 2014, 184, 115–123. [Google Scholar] [CrossRef]
- Pearsons, K.A.; Tooker, J.F. Preventive insecticide use affects arthropod decomposers and decomposition in field crops. Appl. Soil Ecol. 2021, 157, 103757. [Google Scholar] [CrossRef]
- Schoffer, J.T.; Sauvé, S.; Neaman, A.; Ginocchio, R. Role of Leaf Litter on the Incorporation of Copper-Containing Pesticides into Soils Under Fruit Production: A Review. J. Soil Sci. Plant Nutr. 2020, 20, 990–1000. [Google Scholar] [CrossRef]
- Hasanuzzaman, M.; Hossain, M. Leaf Litter Decomposition and Nutrient Dynamics Associated with Common Horticultural Cropland Agroforest Tree Species of Bangladesh. Int. J. For. Res. 2014, 2014, 805940. [Google Scholar] [CrossRef]
- Neto, C.; Carranca, C.; Clemente, J. Senescent leaf decomposition in a Mediterranean pear orchard. Eur. J. Agron. 2009, 30, 34–40. [Google Scholar] [CrossRef]
- Paranychianakis, N.V.; Giannakis, G.; Moraetis, D.; Tzanakakis, V.A.; Nikolaidis, N.P. Crop Litter Has a Strong Effect on Soil Organic Matter Sequestration in Semi-Arid Environments. Sustainability 2021, 13, 13278. [Google Scholar] [CrossRef]
- Zhou, T.; Jiao, K.; Qin, S.; Lyu, D. The impact of cover crop shoot decomposition on soil microorganisms in an apple orchard in northeast China. Saudi J. Biol. Sci. 2019, 26, 1936–1942. [Google Scholar] [CrossRef] [PubMed]
- Caramanico, L.; Rustioni, L.; De Lorenzis, G. Iron deficiency stimulates anthocyanin accumulation in grapevine apical leaves. Plant Physiol. Biochem. 2017, 119, 286–293. [Google Scholar] [CrossRef]
- Carruthers, S. Zinc: Deficiency and toxicity. Pract. Hydroponics Greenh. 2016, 172, 42–45. [Google Scholar] [CrossRef]
- Bani, A.; Pioli, S.; Ventura, M.; Panzacchi, P.; Borruso, L.; Tognetti, R.; Tonon, G.; Brusetti, L. The role of microbial community in the decomposition of leaf litter and deadwood. Appl. Soil Ecol. 2018, 126, 75–84. [Google Scholar] [CrossRef]
- He, J.; Wu, D.; Zhang, Q.; Chen, H.; Li, H.; Han, Q.; Lai, X.; Wang, H.; Wu, Y.; Yuan, J.; et al. Efficacy and Mechanism of Cinnamon Essential Oil on Inhibition of Colletotrichum acutatum Isolated From ‘Hongyang’ Kiwifruit. Front. Microbiol. 2018, 9, 1288. [Google Scholar] [CrossRef]
- Yang, L. Effect of Different Fertilizer Application on Kiwifruit Yield, Quality and the Orchard Nutrient; Northwest A & F Univ: Yangling, Shaanxi, China, 2016; pp. 6–7. [Google Scholar]
- Tagliavini, M.; Tonon, G.; Scandellari, F.; Quiñones, A.; Palmieri, S.; Menarbin, G.; Gioacchini, P.; Masia, A. Nutrient recycling during the decomposition of apple leaves (Malus domestica) and mowed grasses in an orchard. Agric. Ecosyst. Environ. 2007, 118, 191–200. [Google Scholar] [CrossRef]
- Zhong, C.; Wang, S.; Jiang, Z.; Huang, H. ‘Jinyan’, an Interspecific Hybrid Kiwifruit with Brilliant Yellow Flesh and Good Storage Quality. HortScience 2012, 47, 1187–1190. [Google Scholar] [CrossRef]
- Jimenez, R.R.; Ladha, J.K. Automated elemental analysis: A rapid and reliable but expensive measurement of total carbon and nitrogen in plant and soil samples. Commun. Soil Sci. Plant Anal. 1993, 24, 1897–1924. [Google Scholar] [CrossRef]
- Cakmak, I.; Yazici, A.; Tutus, Y.; Ozturk, L. Glyphosate reduced seed and leaf concentrations of calcium, manganese, magnesium, and iron in non-glyphosate resistant soybean. Eur. J. Agron. 2009, 31, 114–119. [Google Scholar] [CrossRef]
- Masson, P.; Dalix, T.; Bussière, S. Determination of Major and Trace Elements in Plant Samples by Inductively Coupled Plasma–Mass Spectrometry. Commun. Soil Sci. Plant Anal. 2010, 41, 231–243. [Google Scholar] [CrossRef]
- Zhang, X.; Lu, Y.; Xu, J.; Liu, Z. Leachates of medicinal herbs inhibit the decomposition rate of Catalpa fargesii Bur. litter. Ecoscience 2018, 25, 179–188. [Google Scholar] [CrossRef]
- Liu, P.; Huang, J.; Sun, O.J.; Han, X. Litter decomposition and nutrient release as affected by soil nitrogen availability and litter quality in a semiarid grassland ecosystem. Oecologia 2010, 162, 771–780. [Google Scholar] [CrossRef] [PubMed]
- Tateno, R.; Tokuchi, N.; Yamanaka, N.; Du, S.; Otsuki, K.; Shimamura, T.; Xue, Z.; Wang, S.; Hou, Q. Comparison of litterfall production and leaf litter decomposition between an exotic black locust plantation and an indigenous oak forest near Yan’an on the Loess Plateau, China. For. Ecol. Manag. 2007, 241, 84–90. [Google Scholar] [CrossRef]
- Letts, B.; Lamb, E.G.; Mischkolz, J.M.; Romo, J.T. Litter accumulation drives grassland plant community composition and functional diversity via leaf traits. Plant Ecol. 2015, 216, 357–370. [Google Scholar] [CrossRef]
- Moore, T.R.; Trofymow, J.; Prescott, C.E.; Titus, B. Nature and nurture in the dynamics of C, N and P during litter decomposition in Canadian forests. Plant Soil 2011, 339, 163–175. [Google Scholar] [CrossRef]
- Parton, W.; Silver, W.; Burke, I.; Grassens, L.; Harmon, M.; Currie, W.; King, J.; Adair, C.; Brandt, L.; Hart, S.; et al. Global-Scale Similarities in Nitrogen Release Patterns During Long-Term Decomposition. Science 2007, 315, 361–364. [Google Scholar] [CrossRef]
- Hessen, D.O.; Ågren, G.I.; Anderson, T.R.; Elser, J.J.; De Ruiter, P.C. Carbon sequestration in ecosystems: The role of stoichiometry. Ecology 2004, 85, 1179–1192. [Google Scholar] [CrossRef]
- Haitao, W.; Xianguo, L.; Qing, Y.; Ming, J.; Shouzheng, T. Early-stage litter decomposition and its influencing factors in the wetland of the Sanjiang Plain, China. Acta Ecol. Sin. 2007, 27, 4027–4035. [Google Scholar] [CrossRef]
- Hernández, D.L.; Hobbie, S.E. The effects of substrate composition, quantity, and diversity on microbial activity. Plant Soil 2010, 335, 397–411. [Google Scholar] [CrossRef]
- Isaac, S.R.; Achuthan Nair, M. Biodegradation of leaf litter in the warm humid tropics of Kerala, India. Soil Biol. Biochem. 2005, 37, 1656–1664. [Google Scholar] [CrossRef]
- Zhang, J.; Li, J.; Fan, Y.; Mo, Q.; Li, Y.; Li, Y.; Li, Z.; Wang, F. Effect of nitrogen and phosphorus addition on litter decomposition and nutrients release in a tropical forest. Plant Soil 2020, 454, 139–153. [Google Scholar] [CrossRef]
- Osono, T.; Takeda, H. Accumulation and release of nitrogen and phosphorus in relation to lignin decomposition in leaf litter of 14 tree species. Ecol. Res. 2004, 19, 593–602. [Google Scholar] [CrossRef]
- Hänsch, R.; Mendel, R.R. Physiological functions of mineral micronutrients (Cu, Zn, Mn, Fe, Ni, Mo, B, Cl). Curr. Opin. Plant Biol. 2009, 12, 259–266. [Google Scholar] [CrossRef]
- Zhai, S.; Qiu, S.; Gao, H.; Hou, G. Dynamics and characteristics of biogenic silica and macro-and microelements in decomposing litter in the Min River estuary, southeast China. Elem. Sci. Anthr. 2021, 9, 84. [Google Scholar] [CrossRef]
- Kovacova, S.; Sturdik, E. Interactions between microorganisms and heavy metals including radionuclides. BIOLOGIA-BRATISLAVA- 2002, 57, 651–664. [Google Scholar]
- Zawislanski, P.; Chau, S.; Mountford, H.; Wong, H.; Sears, T.C. Accumulation of selenium and trace metals on plant litter in a tidal marsh. Estuar. Coast. Shelf Sci. 2001, 52, 589–603. [Google Scholar] [CrossRef]
- Sun, Z.; Mou, X. Effects of sediment burial disturbance on macro and microelement dynamics in decomposing litter of Phragmites australis in the coastal marsh of the Yellow River estuary, China. Environ. Sci. Pollut. Res. 2016, 23, 5189–5202. [Google Scholar] [CrossRef]
- Van Nevel, L.; Mertens, J.; Demey, A.; De Schrijver, A.; De Neve, S.; Tack, F.M.G.; Verheyen, K. Metal and nutrient dynamics in decomposing tree litter on a metal contaminated site. Environ. Pollut. 2014, 189, 54–62. [Google Scholar] [CrossRef]
- Kot, F.S.; Farran, R.; Fujiwara, K.; Kharitonova, G.V.; Kochva, M.; Shaviv, A.; Sugo, T. On boron turnover in plant–litter–soil system. Geoderma 2016, 268, 139–146. [Google Scholar] [CrossRef]
- Peng, Y.; Zhou, C.; Jin, Q.; Ji, M.; Wang, F.; Lai, Q.; Shi, R.; Xu, X.; Chen, L.; Wang, G. Tidal variation and litter decomposition co-affect carbon emissions in estuarine wetlands. Sci. Total Environ. 2022, 839, 156357. [Google Scholar] [CrossRef] [PubMed]
- Hu, X.; Xie, T.; Arif, M.; Ding, D.; Li, J.; Yuan, Z.; Li, C. Response of annual herbaceous plant leaching and decomposition to periodic submergence in mega-reservoirs: Changes in litter nutrients and soil properties for restoration. Biology 2021, 10, 1141. [Google Scholar] [CrossRef] [PubMed]
- Błońska, E.; Piaszczyk, W.; Staszel, K.; Lasota, J. Enzymatic activity of soils and soil organic matter stabilization as an effect of components released from the decomposition of litter. Appl. Soil Ecol. 2021, 157, 103723. [Google Scholar] [CrossRef]
- Zheng, W.; Zhao, Z.; Gong, Q.; Zhai, B.; Li, Z. Effects of cover crop in an apple orchard on microbial community composition, networks, and potential genes involved with degradation of crop residues in soil. Biol. Fertil. Soils 2018, 54, 743–759. [Google Scholar] [CrossRef]
- Adair, E.C.; Parton, W.J.; Del Grosso, S.J.; Silver, W.L.; Harmon, M.E.; Hall, S.A.; Burke, I.C.; Hart, S.C. Simple three-pool model accurately describes patterns of long-term litter decomposition in diverse climates. Glob. Chang. Biol. 2008, 14, 2636–2660. [Google Scholar] [CrossRef]
- Purahong, W.; Kapturska, D.; Pecyna, M.J.; Jariyavidyanont, K.; Kaunzner, J.; Juncheed, K.; Uengwetwanit, T.; Rudloff, R.; Schulz, E.; Hofrichter, M. Effects of forest management practices in temperate beech forests on bacterial and fungal communities involved in leaf litter degradation. Microb. Ecol. 2015, 69, 905–913. [Google Scholar] [CrossRef]
- Zeng, Q.; Chen, Z.; Tan, W.J.P. Plant litter quality regulates soil eco-enzymatic stoichiometry and microbial nutrient limitation in a citrus orchard. Plant Soil 2021, 466, 179–191. [Google Scholar] [CrossRef]
- Chen, H.; Li, D.; Zhao, J.; Xiao, K.; Wang, K. Effects of nitrogen addition on activities of soil nitrogen acquisition enzymes: A meta-analysis. Agric. Ecosyst. Environ. 2018, 252, 126–131. [Google Scholar] [CrossRef]
- Wang, X.; Song, D.; Liang, G.; Zhang, Q.; Ai, C.; Zhou, W. Maize biochar addition rate influences soil enzyme activity and microbial community composition in a fluvo-aquic soil. Appl. Soil Ecol. 2015, 96, 265–272. [Google Scholar] [CrossRef]
- Cenini, V.L.; Fornara, D.A.; McMullan, G.; Ternan, N.; Carolan, R.; Crawley, M.J.; Clément, J.-C.; Lavorel, S. Linkages between extracellular enzyme activities and the carbon and nitrogen content of grassland soils. Soil Biol. Biochem. 2016, 96, 198–206. [Google Scholar] [CrossRef]
- Güsewell, S.; Freeman, C. Nutrient limitation and enzyme activities during litter decomposition of nine wetland species in relation to litter N: P ratios. Funct. Ecol. 2005, 19, 582–593. [Google Scholar] [CrossRef]
- Pan, F.; Zhang, W.; Liang, Y.; Liu, S.; Wang, K.J.E.S. Increased associated effects of topography and litter and soil nutrients on soil enzyme activities and microbial biomass along vegetation successions in karst ecosystem, southwestern China. Environ. Sci. Pollut. Res. 2018, 25, 16979–16990. [Google Scholar] [CrossRef] [PubMed]
- Berg, B.; Johansson, M.-B.; Anta, R.C.d.; Escudero, A.; Gärdenäs, A.; Laskowski, R.; Madeira, M.; Mälkönen, E.; McClaugherty, C.; Meentemeyer, V. The chemical composition of newly shed needle litter of Scots pine and some other pine species in a climatic transect. X Long-term decomposition in a Scots pine forest. Can. J. Bot. 1995, 73, 1423–1435. [Google Scholar] [CrossRef]
- Chen, Y.; Wang, L.; Yang, Y.; Guo, L.; Han, M.; Wang, J.; Shao, L. Resource assessment of fruit tree pruning branches and fertilizer utilization potential analysis in Shandong Province. China Fruits 2020, 92–95. (in Chinese). [Google Scholar]






| Nutrients | Hongyang | Jinyan | Nutrients | Hongyang | Jinyan |
|---|---|---|---|---|---|
| C (g/kg) | 401.0 ± 8.5 | 402.3 ± 9.6 | Ca (g/kg) | 7.6 ± 0.4 | 14.7 ± 1.6 * |
| N (g/kg) | 24.9 ± 1.2 * | 18.9 ± 0.8 | Mg(g/kg) | 3.3 ± 0.1 * | 1.3 ± 0.1 |
| P (g/kg) | 4.0 ± 0.6 | 3.5 ± 0.3 | Fe (mg/kg) | 144.0 ± 6.8 | 19.0 ± 1.8 * |
| K (g/kg) | 12.1 ± 0.5 | 21.6 ± 1.2 * | Mn (mg/kg) | 456.0 ± 9.3 ** | 216.0 ± 6.7 |
| C/N | 16.1 ± 1.1 | 21.3 ± 1.4 * | Cu (mg/kg) | 6.3 ± 0.4 | 6.0 ± 0.9 |
| C/P | 100.3 ± 15.6 | 114.9 ± 13.2 | Zn (mg/kg) | 12.0 ± 1.3 | 23.1 ± 2.3 * |
| N/P | 6.2 ± 1.1 | 5.4 ± 0.7 | B (mg/kg) | 34.6 ± 0.7 | 31.7 ± 1.6 |
Disclaimer/Publisher’s Note: The statements, opinions and data contained in all publications are solely those of the individual author(s) and contributor(s) and not of MDPI and/or the editor(s). MDPI and/or the editor(s) disclaim responsibility for any injury to people or property resulting from any ideas, methods, instructions or products referred to in the content. |
© 2023 by the authors. Licensee MDPI, Basel, Switzerland. This article is an open access article distributed under the terms and conditions of the Creative Commons Attribution (CC BY) license (https://creativecommons.org/licenses/by/4.0/).
Share and Cite
Lu, Y.; Gao, Z.; Mao, J.; Chen, L.; Zhang, X.; Wang, X. Litter Decomposition Characteristics and Variety Differences in a Kiwifruit Orchard in Subtropical Climate Zone of China. Agronomy 2023, 13, 774. https://doi.org/10.3390/agronomy13030774
Lu Y, Gao Z, Mao J, Chen L, Zhang X, Wang X. Litter Decomposition Characteristics and Variety Differences in a Kiwifruit Orchard in Subtropical Climate Zone of China. Agronomy. 2023; 13(3):774. https://doi.org/10.3390/agronomy13030774
Chicago/Turabian StyleLu, Yupeng, Zhu Gao, Jipeng Mao, Lu Chen, Xiaoli Zhang, and Xiaoling Wang. 2023. "Litter Decomposition Characteristics and Variety Differences in a Kiwifruit Orchard in Subtropical Climate Zone of China" Agronomy 13, no. 3: 774. https://doi.org/10.3390/agronomy13030774
APA StyleLu, Y., Gao, Z., Mao, J., Chen, L., Zhang, X., & Wang, X. (2023). Litter Decomposition Characteristics and Variety Differences in a Kiwifruit Orchard in Subtropical Climate Zone of China. Agronomy, 13(3), 774. https://doi.org/10.3390/agronomy13030774

