Yield, Quality, and Water and Fertilizer Partial Productivity of Cucumber as Influenced by the Interaction of Water, Nitrogen, and Magnesium
Abstract
1. Introduction
2. Materials and Methods
2.1. Experimental Design
2.2. Measurements
2.2.1. Yield
2.2.2. Fruit Quality
2.2.3. Partial Productivity of Water and Fertilizer
2.3. Comprehensive Evaluation for Cucumber Production Based on Grey Relational Analysis (GRA)
2.3.1. Establishment of a Comprehensive Evaluation System
2.3.2. Determination of the Indicator Weights
- 1.
- Two methods were employed to weigh the index, in which w1 is the weight vector determined by the AHP method, and w2 is the weight vector determined by the entropy weight method. The linear combination coefficient was set as αq(q = 1,2), and W is the linear combination of the two weight vectors.
- 2.
- According to the idea of game theory, the consistency and compromise between different weights were determined, and optimization was carried out to minimize the deviation. The optimal w was then obtained. Its combination coefficient αq was calculated as follows:
- 3.
- The combination factor will be optimized. αq is normalized. Finally, the combined weight was obtained according to the following formula:
2.3.3. Grey Correlation Degree Evaluation Model
2.4. Data Analysis
3. Result
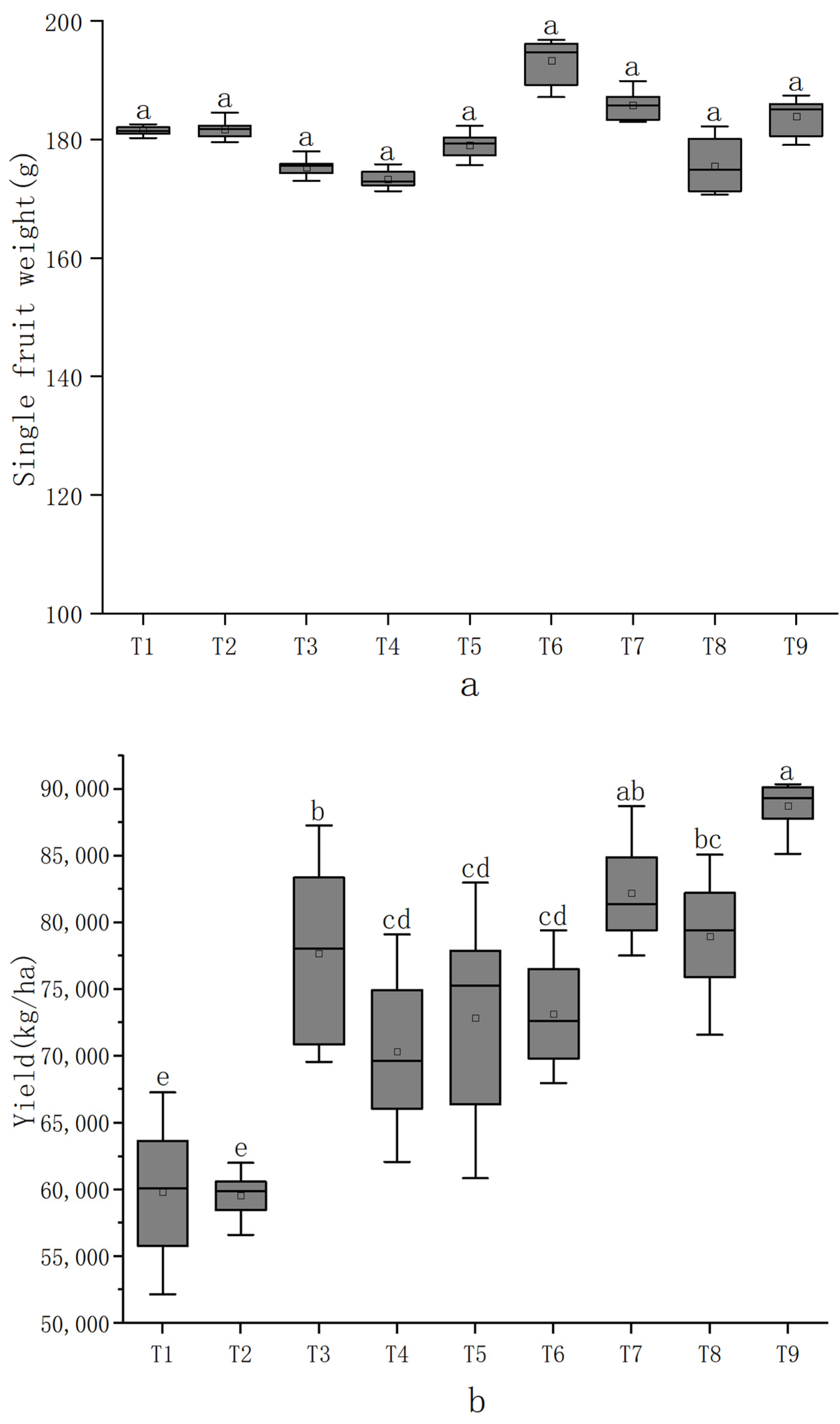
3.1. Effect of Irrigation Combined with Nitrogen and Magnesium on Cucumber Yield
3.2. Effects of Irrigation Combined with Nitrogen and Magnesium on Water and Fertilizer Benefit Indexes of Cucumber
3.3. Effect of Irrigation Combined with Nitrogen and Magnesium on the Quality Indexes of Cucumber
3.4. Comprehensive Evaluation for Cucumber Based on the Grey Correlation Degree Model
3.4.1. Construction of the Comprehensive Evaluation System
3.4.2. Determination of Indicator Weights
4. Discussion
4.1. Yield
4.2. Water and Fertilizer Utilization
4.3. Quality Indicators
4.4. Comprehensive Evaluation
5. Conclusions
Author Contributions
Funding
Institutional Review Board Statement
Informed Consent Statement
Data Availability Statement
Acknowledgments
Conflicts of Interest
References
- Van Vuuren, D.P.; Bijl, D.L.; Bogaart, P.; Stehfest, E.; Biemans, H.; Dekker, S.C.; Doelman, J.C.; Gernaat, D.E.; Harmsen, M. Integrated scenarios to support analysis of the food–energy–water nexus. Nat. Sustain. 2019, 2, 1132–1141. [Google Scholar] [CrossRef]
- Chen, H.; Zhang, Y.P. New biorefineries and sustainable agriculture: Increased food, biofuels, and ecosystem security. Renew. Sustain. Energy Rev. 2015, 47, 117–132. [Google Scholar] [CrossRef]
- Rahil, M.H.; Qanadillo, A. Effects of different irrigation regimes on yield and water use efficiency of cucumber crop. Agric. Water Manag. 2015, 148, 10–15. [Google Scholar] [CrossRef]
- Maris, S.C.; Teira-Esmatges, M.R.; Arbonés, A.; Rufat, J. Effect of irrigation, nitrogen application, and a nitrification inhibitor on nitrous oxide, carbon dioxide and methane emissions from an olive (olea europaea l.) Orchard. Sci. Total Environ. 2015, 538, 966–978. [Google Scholar] [CrossRef]
- Tian, X.; He, D.; Bai, S.; Zeng, W.; Wang, Z.; Wang, M.; Wu, L.; Chen, Z. Physiological and molecular advances in magnesium nutrition of plants. Plant Soil. 2021, 468, 1–17. [Google Scholar] [CrossRef]
- Karley, A.J.; White, P.J. Moving cationic minerals to edible tissues: Potassium, magnesium, calcium. Curr. Opin. Plant Biol. 2009, 12, 291–298. [Google Scholar] [CrossRef]
- Tewari, R.K.; Kumar, P.; Sharma, P.N. Magnesium deficiency induced oxidative stress and antioxidant responses in mulberry plants. Sci. Hortic. 2006, 108, 7–14. [Google Scholar] [CrossRef]
- Apple, J.K.; Maxwell, C.V.; Derodas, B.; Watson, H.B.; Johnson, Z.B. Effect of magnesium mica on performance and carcass quality of growing-finishing swine. J. Anim. Sci. 2000, 78, 2135–2143. [Google Scholar] [CrossRef]
- Shahrokhnia, M.H.; Sepaskhah, A.R. Effects of irrigation strategies, planting methods and nitrogen fertilization on yield, water and nitrogen efficiencies of safflower. Agric. Water Manag. 2016, 172, 18–30. [Google Scholar] [CrossRef]
- Ding, W.; Xu, X.; He, P.; Zhang, J.; Cui, Z.; Zhou, W. Estimating regional n application rates for rice in china based on target yield, indigenous n supply, and n loss. Environ. Pollut. 2020, 263, 114408. [Google Scholar] [CrossRef]
- Shalit, M.; Katzir, N.; Tadmor, Y.; Larkov, O.; Burger, Y.; Shalekhet, F.; Lastochkin, E.; Ravid, U.; Amar, O.; Edelstein, M. Acetyl-coa: Alcohol acetyltransferase activity and aroma formation in ripening melon fruits. J. Agric. Food Chem. 2001, 49, 794–799. [Google Scholar] [CrossRef]
- Akubor, P.I.; Ogbadu, R.L. Effects of processing methods on the quality and acceptability of melon milk. Plant Foods Hum. Nutr. 2003, 58, 1–6. [Google Scholar]
- Sundriyal, M.; Sundriyal, D.C. Wild edible plants of the sikkim himalaya: Nutritive values of selected species. Econ. Bot. 2001, 55, 377–390. [Google Scholar] [CrossRef]
- Zhu, Y.; Luo, Y.; Wang, P.; Zhao, M.; Li, L.; Hu, X.; Chen, F. Simultaneous determination of free amino acids in pu-erh tea and their changes during fermentation. Food Chem. 2016, 194, 643–649. [Google Scholar] [CrossRef]
- Colla, G.; Kim, H.; Kyriacou, M.C.; Rouphael, Y. Nitrate in fruits and vegetables. Sci. Hortic. 2018, 237, 221–238. [Google Scholar] [CrossRef]
- Zhu, X.; Zhang, Y.; Hou, Y.; Jiang, M. Evaluation and analysis of land input-output comprehensive benefit based on fuzzy mathematics and analytic hierarchy process. Adv. Math. Phys. 2022, 2022, 1–10. [Google Scholar] [CrossRef]
- Wang, H.; Xu, C.; Xu, Z. An approach to evaluate the methods of determining experts’ objective weights based on evolutionary game theory. Knowl. Based Syst. 2019, 182, 104862. [Google Scholar] [CrossRef]
- Marden, J.R.; Shamma, J.S. Game Theory and Distributed Control, Handbook of Game Theory with Economic Applications; Elsevier: Amsterdam, The Netherlands, 2015; pp. 861–899. [Google Scholar]
- Wu, F.; Wei, C.; Zhang, B. A yarn nep prediction method combining grey correlation and nearest neighbour. J. Inf. Knowl. Manag. 2022, 21, 2250052. [Google Scholar] [CrossRef]
- Xia, X.; Sun, Y.; Wu, K.; Jiang, Q. Optimization of a straw ring-die briquetting process combined analytic hierarchy process and grey correlation analysis method. J. Fuel Process. Technol. 2016, 152, 303–309. [Google Scholar] [CrossRef]
- Chen, Y. Survey on influence of maritime port cluster effect on offshore reginal economy based on grey correlation model. J. Coast. Res. 2019, 94, 707–711. [Google Scholar] [CrossRef]
- Luo, W.; Yang, S.; Khan, M.A.; Ma, J.; Xu, W.; Li, Y.; Xiang, Z.; Jin, G.; Jia, J.; Zhong, B. Mitigation of cd accumulation in rice with water management and calcium-magnesium phosphate fertilizer in field environment. Environ. Geochem. Health 2020, 42, 3877–3886. [Google Scholar] [CrossRef]
- Shaul, O. Magnesium transport and function in plants: The tip of the iceberg. Biometals 2002, 15, 307–321. [Google Scholar] [CrossRef]
- Verbruggen, N.; Hermans, C. Physiological and molecular responses to magnesium nutritional imbalance in plants. Plant Soil. 2013, 368, 87–99. [Google Scholar] [CrossRef]
- Peng, W.T.; Qi, W.L.; Nie, M.M.; Xiao, Y.B.; Liao, H.; Chen, Z.C. Magnesium supports nitrogen uptake through regulating nrt2. 1/2.2 in soybean. Plant Soil. 2020, 457, 97–111. [Google Scholar] [CrossRef]
- Grzebisz, W. Crop response to magnesium fertilization as affected by nitrogen supply. Plant Soil. 2013, 368, 23–39. [Google Scholar] [CrossRef]
- Mendes, K.R.; Marenco, R.A. Photosynthetic traits of tree species in response to leaf nutrient content in the central amazon. Theor. Exp. Plant Physiol. 2015, 27, 51–59. [Google Scholar] [CrossRef]
- Ye, T.; Ma, J.; Zhang, P.; Shan, S.; Liu, L.; Tang, L.; Cao, W.; Liu, B.; Zhu, Y. Interaction effects of irrigation and nitrogen on the coordination between crop water productivity and nitrogen use efficiency in wheat production on the north china plain. Agric. Water Manag. 2022, 271, 107787. [Google Scholar] [CrossRef]
- Bagheri, N.; Yazdanpanah, N.; Sedaghati, N. Effect of different levels of magnesium in irrigation water on growth parameters of two pistachio bases. Qual. Durab. Agric. Prod. Food Stuffs 2021, 1, 65–71. [Google Scholar]
- Zamora-Re, M.I.; Dukes, M.D.; Hensley, D.; Rowland, D.; Graham, W. The effect of irrigation strategies and nitrogen fertilizer rates on maize growth and grain yield. Irrig. Sci. 2020, 38, 461–478. [Google Scholar] [CrossRef]
- Chen, Z.; Li, Y.; Zhang, X.; Xiong, Y.; Huang, Q.; Jin, S.; Shijun, S.; Daocai, C.; Huang, G. Effects of lignite bioorganic product on sunflower growth, water and nitrogen productivity in saline-sodic farmlands at northwest china. Agric. Water Manag. 2022, 271, 107806. [Google Scholar] [CrossRef]
- Shi, J.; Wang, Y.; Li, Z.; Huang, X.; Shen, T.; Zou, X. Simultaneous and nondestructive diagnostics of nitrogen/magnesium/potassium-deficient cucumber leaf based on chlorophyll density distribution features. Biosyst. Eng. 2021, 212, 458–467. [Google Scholar] [CrossRef]
- Yin, S.; Ze, Y.; Liu, C.; Li, N.; Zhou, M.; Duan, Y.; Hong, F. Cerium relieves the inhibition of nitrogen metabolism of spinach caused by magnesium deficiency. Biol. Trace Elem. Res. 2009, 132, 247–258. [Google Scholar] [CrossRef] [PubMed]
- Li, Y.; Xu, X.; Lei, B.; Zhuang, J.; Zhang, X.; Hu, C.; Cui, J.; Liu, Y. Magnesium-nitrogen co-doped carbon dots enhance plant growth through multifunctional regulation in photosynthesis. Chem. Eng. J. 2021, 422, 130114. [Google Scholar] [CrossRef]
- Cole, J.C.; Smith, M.W.; Penn, C.J.; Cheary, B.S.; Conaghan, K.J. Nitrogen, phosphorus, calcium, and magnesium applied individually or as a slow release or controlled release fertilizer increase growth and yield and affect macronutrient and micronutrient concentration and content of field-grown tomato plants. Sci. Hortic. 2016, 211, 420–430. [Google Scholar] [CrossRef]
- Li, J.; Yokosho, K.; Liu, S.; Cao, H.R.; Yamaji, N.; Zhu, X.G.; Liao, H.; Ma, J.F.; Chen, Z.C. Diel magnesium fluctuations in chloroplasts contribute to photosynthesis in rice. Nat. Plants 2020, 6, 848–859. [Google Scholar] [CrossRef]
- Wang, Z.H.; Li, S.X.; Malhi, S. Effects of fertilization and other agronomic measures on nutritional quality of crops. J. Sci. Food Agric. 2008, 88, 7–23. [Google Scholar] [CrossRef]
- Plett, D.C.; Ranathunge, K.; Melino, V.J.; Kuya, N.; Uga, Y.; Kronzucker, H.J. The intersection of nitrogen nutrition and water use in plants: New paths toward improved crop productivity. J. Exp. Bot. 2020, 71, 4452–4468. [Google Scholar] [CrossRef]
- Guo, W.; Nazim, H.; Liang, Z.; Yang, D. Magnesium deficiency in plants: An urgent problem. Crop J. 2016, 4, 83–91. [Google Scholar] [CrossRef]
- Thalooth, A.T.; Tawfik, M.M.; Mohamed, H.M. A comparative study on the effect of foliar application of zinc, potassium and magnesium on growth, yield and some chemical constituents of mungbean plants grown under water stress conditions. World J. Agric. Sci. 2006, 2, 37–46. [Google Scholar]
- Potarzycki, J. Influence of nitrogen and magnesium fertilization at the flag leaf stage of winter wheat development on the yield and grain quality. Nawozy I Nawożenie 2008, 32, 100–110. [Google Scholar]
- Qian, Y.D.; Zuo, Y.H.; Zheng, G.P.; Li, X.L.; Ma, Y.; Zhao, F.L. Effects of nitrogen and magnesium coupling on commercial qualities of the early japonica longjing20 in cold region. J. Nucl. Agric. Sci. 2013, 27, 118–125. [Google Scholar]
- Tan, R.; Yang, L.; Chen, S.; Zhang, W. Decision-making method based on game theory and grey theory in a single-value neutrosophic environment and its application to typhoon disaster assessment. Grey Syst. Theory Appl. 2021, 12, 595–623. [Google Scholar] [CrossRef]





| Bulk Density (g/m3) | pH | Porosity (%) | Saturated Moisture (%) | Available Nitrogen (mg/kg) | Available Phosphorus (mg/kg) | Available Potassium (mg/kg) | Available Calcium (g/kg) | Available Magnesium (g/kg) | Organic Matter (g/kg) |
| 1.2 | 7.2 | 45.8 | 35.8 | 26.0 | 34.7 | 229.9 | 4.6 | 0.7 | 8.9 |
| Factor | Intervals | Designed Variable Levels and Codes Ear Codes | ||
| 1 | 2 | 3 | ||
| Irrigation (m3/ha) | 217.9 | 653.7 | 871.6 | 1089.5 |
| Nitrogen (kg/ha) | 228.4 | 685.1 | 913.5 | 1141.9 |
| Magnesium (kg/ha) | 84.4 | 253.3 | 337.7 | 422.1 |
| Treatments | Water and Fertilizer Application Amounts | ||
| Irrigation (m3/ha) | Nitrogen (kg/ha) | Magnesium (kg/ha) | |
| T1 (1,1,1) | 653.7 | 685.1 | 253.3 |
| T2 (1,2,2) | 653.7 | 913.5 | 337.7 |
| T3 (1,3,3) | 653.7 | 1141.9 | 422.1 |
| T4 (2,1,2) | 871.6 | 685.1 | 337.7 |
| T5 (2,2,3) | 871.6 | 913.5 | 422.1 |
| T6 (2,3,1) | 871.6 | 1141.9 | 253.3 |
| T7 (3,1,3) | 1089.5 | 685.1 | 422.1 |
| T8 (3,2,1) | 1089.5 | 913.5 | 253.3 |
| T9 (3,3,2) | 1089.5 | 1141.9 | 337.7 |
| Factors | SFW (g) | Y (kg/ha) | WPP (kg/m3) | NPP (kg/kg) | MPP (kg/kg) |
| I | ns | *** | *** | ** | * |
| I1 | 179.56 a | 65,439.92 b | 100.11 a | 61.12 c | 165.33 c |
| I2 | 182.74 a | 72,085.50 b | 82.70 b | 69.78 b | 184.90 b |
| I3 | 183.30 a | 83,033.29 a | 76.21 b | 79.43 a | 213.39 a |
| N | ns | * | * | *** | ns |
| N1 | 181.05 a | 70,240.49 b | 81.81 b | 87.23 a | 178.49 a |
| N2 | 178.91 a | 70,391.33 b | 82.39 b | 66.11 b | 187.26 a |
| N3 | 185.64 a | 79,926.89 a | 94.83 a | 57.00 b | 197.88 a |
| Mg | ns | ns | ns | ns | *** |
| Mg1 | 184.56 a | 70,376.89 a | 82.25 a | 62.64 a | 219.83 a |
| Mg2 | 179.91 a | 72,606.61 a | 84.17 a | 70.28 a | 184.39 b |
| Mg3 | 181.13 a | 77,575.21 a | 92.60 a | 77.42 a | 159.40 c |
| I * N | ns | *** | ns | ns | *** |
| I * Mg | ns | *** | ns | *** | ns |
| N * Mg | ns | * | *** | * | * |
| Factors | RS (mg/g) | FAA (μg/g) | NIT (μg/g) | VC (mg/100g) | SP (mg/g) | TSS (%) |
| I | *** | *** | *** | *** | ** | ns |
| I1 | 7.83 a | 2297.83 a | 1062.91 a | 11.51 a | 0.27 a | 3.74 a |
| I2 | 7.46 b | 2190.41 a | 959.78 b | 11.12 a | 0.24 b | 3.75 a |
| I3 | 6.59 c | 1905.96 b | 892.33 c | 9.57 b | 0.23 b | 3.74 a |
| N | ns | ns | *** | ns | * | *** |
| N1 | 7.22 a | 2093.04 a | 887.44 c | 10.99 a | 0.22 b | 3.62 b |
| N2 | 7.34 a | 2197.05 a | 964.02 b | 10.68 a | 0.25 a | 3.75 ab |
| N3 | 7.31 a | 2104.11 a | 1063.56 a | 10.53 a | 0.26 a | 3.86 a |
| Mg | *** | * | ns | ns | ns | ns |
| Mg1 | 6.63 c | 1993.71 b | 953.67 a | 10.53 a | 0.24 a | 3.76 a |
| Mg2 | 7.36 b | 2190.61 a | 967.47 a | 10.84 a | 0.25 a | 3.70 a |
| Mg3 | 7.89 a | 2209.89 a | 993.89 a | 10.82 a | 0.25 a | 3.78 a |
| I * N | ** | ** | ns | *** | ns | * |
| I * Mg | ns | ns | * | * | ns | ns |
| N * Mg | ** | * | *** | ns | ** | ** |
| T1 | 7.11 c | 2138.70 bcd | 981.00 b | 11.78 a | 0.24 abc | 3.65 bc |
| T2 | 8.00 ab | 2415.75 a | 1041.06 b | 11.40 ab | 0.26 ab | 3.69 abc |
| T3 | 8.35 a | 2339.04 ab | 1166.66 a | 11.34 ab | 0.28 a | 3.88 a |
| T4 | 7.36 bc | 2201.26 abc | 861.00 c | 11.43 ab | 0.21 bc | 3.57 c |
| T5 | 8.13 a | 2351.46 ab | 994.66 b | 11.36 ab | 0.26 ab | 3.81 ab |
| T6 | 6.89 c | 2018.48 cde | 1023.66 b | 10.54 bc | 0.24 abc | 3.87 a |
| T7 | 7.19 c | 1939.14 de | 820.33 c | 9.73 cd | 0.20 c | 3.64 bc |
| T8 | 5.88 d | 1823.93 e | 856.33 c | 9.26 d | 0.21 bc | 3.73 abc |
| T9 | 6.69 c | 1954.81 de | 1000.33 b | 9.68 cd | 0.25 abc | 3.83 ab |
| Judgment Matrix | Local Weight | Ultimate Weight | Consistency Test Parameter | ||||
| General goal A-Rule hierarchy B | Index | C1 | C2 | C3 | WA | XA | CR = 0 |
| C1 | 1.000 | 0.800 | 6.000 | 0.6000 | 0.6000 | λmax = 3.000 | |
| C2 | 0.500 | 1.000 | 3.000 | 0.3000 | 0.3000 | ||
| C3 | 0.167 | 1.000 | 1.000 | 0.1000 | 0.1000 | ||
| Rule hierarchy B1-index hierarchy C | Index | C11 | WB1 | XB2 | CR = 0 | ||
| C11 | 1.000 | 1.0000 | 0.4000 | λmax = 1.000 | |||
| Rule hierarchy B2-index hierarchy C | Index | C21 | C22 | WB2 | XB2 | CR=0 | |
| C21 | 1.000 | 1.000 | 0.5000 | 0.5000 | λmax = 2.000 | ||
| C22 | 1.000 | 1.000 | 0.5000 | 0.1500 | |||
| Rule hierarchy B3-index hierarchy C | Index | C31 | C32 | C33 | WB3 | XB3 | CR = 0 |
| C31 | 1.000 | 1.200 | 1.000 | 0.3750 | 0.0375 | λmax = 3.000 | |
| C32 | 0.833 | 1.000 | 1.000 | 0.3130 | 0.0313 | ||
| C33 | 1.000 | 1.000 | 1.000 | 0.3130 | 0.0313 | ||
| Index | Y | RS | NIT | WPP | NPP | MPP |
| subjective weights | 0.6000 | 0.1500 | 0.1500 | 0.0375 | 0.0313 | 0.0313 |
| objective weights | 0.1133 | 0.0744 | 0.0805 | 0.1497 | 0.3602 | 0.2217 |
| combination weights | 0.4023 | 0.1192 | 0.1218 | 0.0830 | 0.1649 | 0.1086 |
| Treatment | P+ | P− | Proximity | Ranking |
| 1 | 0.6463 | 0.8014 | 0.4464 | 8 |
| 2 | 0.6402 | 0.8581 | 0.4272 | 9 |
| 3 | 0.7614 | 0.7109 | 0.5171 | 1 |
| 4 | 0.6534 | 0.7627 | 0.4614 | 7 |
| 5 | 0.6633 | 0.7730 | 0.4618 | 6 |
| 6 | 0.6932 | 0.7460 | 0.4816 | 4 |
| 7 | 0.7260 | 0.7443 | 0.4937 | 3 |
| 8 | 0.6973 | 0.7600 | 0.4784 | 5 |
| 9 | 0.7513 | 0.7103 | 0.5140 | 2 |
Disclaimer/Publisher’s Note: The statements, opinions and data contained in all publications are solely those of the individual author(s) and contributor(s) and not of MDPI and/or the editor(s). MDPI and/or the editor(s) disclaim responsibility for any injury to people or property resulting from any ideas, methods, instructions or products referred to in the content. |
© 2023 by the authors. Licensee MDPI, Basel, Switzerland. This article is an open access article distributed under the terms and conditions of the Creative Commons Attribution (CC BY) license (https://creativecommons.org/licenses/by/4.0/).
Share and Cite
Li, J.; Yang, X.; Zhang, M.; Li, D.; Jiang, Y.; Yao, W.; Zhang, Z. Yield, Quality, and Water and Fertilizer Partial Productivity of Cucumber as Influenced by the Interaction of Water, Nitrogen, and Magnesium. Agronomy 2023, 13, 772. https://doi.org/10.3390/agronomy13030772
Li J, Yang X, Zhang M, Li D, Jiang Y, Yao W, Zhang Z. Yield, Quality, and Water and Fertilizer Partial Productivity of Cucumber as Influenced by the Interaction of Water, Nitrogen, and Magnesium. Agronomy. 2023; 13(3):772. https://doi.org/10.3390/agronomy13030772
Chicago/Turabian StyleLi, Jinglai, Xiaoqing Yang, Mengchi Zhang, Dayong Li, Yu Jiang, Wenhui Yao, and Zhi Zhang. 2023. "Yield, Quality, and Water and Fertilizer Partial Productivity of Cucumber as Influenced by the Interaction of Water, Nitrogen, and Magnesium" Agronomy 13, no. 3: 772. https://doi.org/10.3390/agronomy13030772
APA StyleLi, J., Yang, X., Zhang, M., Li, D., Jiang, Y., Yao, W., & Zhang, Z. (2023). Yield, Quality, and Water and Fertilizer Partial Productivity of Cucumber as Influenced by the Interaction of Water, Nitrogen, and Magnesium. Agronomy, 13(3), 772. https://doi.org/10.3390/agronomy13030772

