Abstract
This study aimed to assess the influence of taro mucilage (TM) and black seed oil (BSO) as an edible coating to extend guava fruits’ shelf-life and quality attributes. Four different edible coatings were applied, namely, T1 (1% TM + 0.75% glycerol + 0.5% BSO), T2 (5% TM + 0.75% glycerol + 0.5% BSO), T3 (0.75% glycerol + 0.5% BSO), and T4 (1% chitosan + 0.75% glycerol + 0.5% BSO). Different quality parameters, including weight loss, surface color, firmness, chlorophyll, vitamin C, phenolic content, antioxidant, malondialdehyde, and microbial load, were measured at a regular interval. Significant differences were observed between the coated and uncoated (control) fruits. Compared to the control fruit, weight loss was decreased in all the treated fruits, and T2 treatment retained the highest weight compared to other treatments. Fruits treated with T2 and T4 treatments retained high levels of vitamin C throughout the storage period. After 9 days, T4 treatment showed the lowest increase of microbial growth compared to other treatments. At the end of the storage period, results showed that the sample treated with 5% mucilage retained a higher level of polyphenol, antioxidant, and vitamin C content. Furthermore, the addition of BSO improved the antibacterial and antioxidant properties of coated guava. The results of this study indicate that a polysaccharide-based edible coating mixed with BSO improved the quality parameters and extended the shelf-life.
1. Introduction
Guava (Psidium guajava) is one of the most widely consumed fruits in the world. It is a member of the Myrtaceae family, which includes more than 130 genera and 3000 species of trees and shrubs found across the tropical and subtropical regions of the world’s climate zone. It grows in many places around the world, including Algeria, China, Columbia, Egypt, Hawaii, Malaysia, Mexico, South Africa, India, etc. It is a prevalent fruit in Bangladesh, especially the southern part in Barisal [1]. Guavas contain approximately 17 percent dry matter and 80 percent moisture, a high concentration of vitamin C (228.3 mg/100 g), a considerable quantity of minerals and vitamins such as phosphorus, calcium, iron, niacin, thiamin, riboflavin, and vitamin A, and high antioxidant and antimicrobial properties. Guava fruit is mainly consumed fresh, but it is also used to manufacture a range of goods including ice cream, sorbet, juice, jam, jelly, nectar, sweets, etc. Due to their climacteric character, guava fruits have a relatively limited shelf-life (3–4 days) at ambient temperature. After harvesting, a higher rate of respiration, ripening, and other biological processes, mechanical damage, pest, and microbial attacks reduce guava postharvest life and degrade the freshness, making them perish more quickly and finally rendering them unmarketable. The loss in guava fruit quality is also often attributed to the fruits’ quick softening and color changes from green to yellow. Therefore, a proper preservation process is needed to regulate ripening and prolong the shelf-life of guava [2,3].
Various packaging methods have been developed around the world to ensure the safety of perishable foods. These methods offer many advantages over their predecessors, including reduced production costs and reduced environmental impact. Scientists synthesize innovative materials from various beneficial compounds such as carbohydrates, proteinous substances, and essential oils. Therefore, the food sector may greatly benefit from the use of agricultural and food-based wastes as a source of packaging material since this would help reduce costs and enhance the quality of packaged foodstuff. Furthermore, many chemical and biological substances, such as essential oils and nanoparticles, cannot be directly incorporated into food formulation. Consequently, the use of these substances in food packaging may be a viable approach. The use of edible films and coatings has attracted significant attention [4].
Coatings could be a suitable replacement for chemical preservatives, which are frequently synthesized at lower costs. However, biobased edible coatings are drawing attention because they are environmentally friendly, can enhance appearance, and can prolong the shelf-life of fresh fruits. Edible coatings are thin layers of non-toxic, edible materials formed by coating on food. In recent years, people have become more and more interested in the preparation of edible coatings with biodegradable substances, such as cellulose nanofibers, protein nanofibers, cassava starch, alginate, chitosan, shellac, aloe vera gel, lipids, beeswax, and gums, derived from natural sources, which can be applied directly on the surface of food products to improve the postharvest quality [5,6,7].
For instance, mucilage is a polysaccharide that is a thick, gluey material produced by nearly all plants and certain bacteria, which are metabolic by-products produced in the cell and do not easily dissolve in water. Despite its hydrophilic nature, mucilage has the potential to act as a barrier to water transfer, slowing water loss and prolonging the firmness of the fruit flesh. The mucilage can be obtained from different sources, such as okra, aloe vera, fenugreek, taro, cactus, etc. [8]. Taro (Colocasia esculenta) may contain large amounts of mucilage, with concentrations ranging from 6.84 g per 100 g to nearly 10 g per 100 g, depending on the extraction technique used. Taro mucilage (TM) contains a high concentration of carbohydrates, and it is also a rich source of antioxidants, including polyphenols. This may act as an excellent binder, thickener, stabilizer, and emulsifier for the medicinal, cosmetic, and food industries. Due to the abundance of hydroxyl groups in it, it has a high water-binding ability. Therefore, TM may be applied as a coating material for preserving fruits and extending the shelf-life of fruit flesh [9].
The addition of various essential oils to coating applications, such as cumin oil, sunflower oil, black seed oil, cinnamon oil, citrus lemon essential oil, etc., is primarily due to their high antioxidant and antibacterial activity. The oil extracted from black seed (Nigella sativa) is beneficial to human health and nutrition on a protective and therapeutic level. It has about 24.9% carbohydrates, 26.7% protein, and 28.5% fat. The oil is believed to possess a number of antioxidant, antidiabetic, antibacterial, and anti-inflammatory properties. Thymoquinone (30% to 48%) is a powerful antioxidant that can be isolated from black seed and is a key component of black seed oil (BSO). This can scavenge free radicals and protects cells from oxidative stress. Several Gram-positive and Gram-negative pathogens were shown to be inhibited by the antibacterial properties of black seeds, including Bacillus cereus, Bacillus subtilis, Escherichia coli, Staphylococcus aureus, Klebsiella pneumoniae, and Salmonella enteritidis. Thymoquinone also showed significant antifungal efficacy against Aspergillus niger, Fusarium solani, and Scopnlariopsis brevicaulis. Thus, BSO shows higher antioxidant and antimicrobial activity and plays a significant role in coating application [10].
Chitosan is another of the most used coatings on a range of foods because of its film-forming abilities, antibacterial properties, lack of toxicity, biodegradability, and biochemical properties, among other attributes. Chitosan coating may aid in extending the shelf-life by minimizing the respiration rate, water loss, and protective properties against bacterial contamination of fresh produce. Several studies reported that chitosan with essential oils may enhance the efficacy of coating formulation by inhibiting postharvest alterations in fruit because of their antioxidant and antibacterial qualities [11]. For instance, the addition of mentha essential oil to the chitosan coating was found to suppress biochemical changes and extend the shelf-life of papaya fruit [12]. Another study reported that the basil seed mucilage and cumin oil coating increased the storability of tomato and improved the postharvest quality [13]. The application of other edible coatings such as gum Arabic with cinnamon oil, cassava starch, and cinnamon essential oil maintained the quality of fresh guava during storage.
To the best of our knowledge, there have been no reports on the fabrication of edible coatings based on mucilage from taro corm and combining it with BSO for the application of fresh fruits. Considering the excellent preservative properties of TM and the antioxidant activity of BSO, the present study was conducted to assess the effects of TM-BSO-based edible coatings on the physicochemical, bioactive compounds, and antimicrobial properties of fresh guava fruits during nine days of storage. Different formulations of TM-BSO coatings in a few combinations of chitosan with glycerol as a plasticizer were developed to assess the potential enhancement of fresh guava fruits’ quality, especially on weight loss, color changes, firmness, pH, total soluble solid, titratable acidity, DPPH radical scavenging activity, total phenolic content, vitamin C, chlorophyll content, MDA, and microbial activity. Hence, TM-BSO-based edible coatings might be more efficient to enhance the quality of fresh fruits with an extended shelf-life and have a good development prospect in the food industry.
2. Materials and Methods
2.1. Sample Collection
Fresh taro (Colocasia essculenta) corms and guava (Psidium guajava L.) BARI-2 variety were collected during August 2022 from Bangladesh Agricultural Development Corporation (BADC) Agro Service Center, Kumargaon, Sylhet, Bangladesh. The fruits were visually inspected and maintained uniformity in size, shape, and color, as well as being free from any physical damage. BSO was purchased from a local renowned super shop. All the chemical compounds utilized were of analytical reagent grade and collected from Sigma-Aldrich (Burlington, MA, USA) and Merck (Darmstadt, Germany).
2.2. Extraction of Taro Mucilage
A modified version of Andrade et al.’s [11] optimal technique was used to extract mucilage from taro (Colocasia esculenta). First, in order to eliminate any remaining contaminants, the taro corm was manually washed with distilled water and then sliced into small pieces. It took 2 h in a beaker to soak the necessary quantity (100 g) of sliced taro in 550 mL of distilled water. After two hours, the beaker was placed in the microwave (Model: Farberware Countertop Microwave Oven, Farberware, Fairfield, CA, USA) at 450 °C for 7 min. Then, after cooling, centrifugation (Model: 416G, Gyrozen-Benchtop centrifuge, Gimpo, Korea) was performed at 4000 rpm for 10 min to separate the debris particles. Then, the aqueous solution of TM was precipitated with three volumes of acetone at room temperature, and the mucilage was obtained by filtering the precipitate solution with filter paper No. 1. Then, the mucilage substance was placed in a petri dish and dried in a humid chamber (Model: VS-8111H-150, Vision Scientific Co. Ltd., Yuseong-Gu, Daejeon-Si, South Korea) at 60 °C for 18 h. Finally, after the drying process, dried TM was stored in a desiccator until further analysis was performed. Table 1 summarizes the chemical composition of the extracted TM.
Table 1.
Chemical composition of the extracted taro mucilage.
2.3. Preparation of Edible Coating Solution
The edible coating incorporated with essential oil was prepared by methods described by Morsy et al. [14]. The TM concentrations and the minimum effective glycerol concentration were decided as 1% and 5% mucilage and 0.75% glycerol for forming the coating solution. The edible coating solution was prepared by dissolving 1 g and 5 g of TM, and 0.75 g of glycerol in 100 mL of distilled water, stirring the solution with a magnetic stirrer (Model: MS7-H550-Pro, D-Lab, City of Industry, CA, USA) at 450 °C, 750 rpm, for 20 min. Glycerol was used as a plasticizer. The solution was homogenized using a homogenizer (Model: HG-15D, DAIHAN Scientific Co LTD, Wonju, Korea) at 1200 rpm for 5 min. BSO was then added to the solution at a concentration of 0.5%, and again the final solution was homogenized. Chitosan solution was prepared by dissolving 1% chitosan (w/v) in 1% acetic acid solution and adding 0.75% glycerol to the mixture. Then, the mixture was homogenized for 5 min at 1200 rpm. The 0.5% BSO and 0.75% glycerol solutions were prepared via the homogenization process.
The following four coating formulations were prepared: (T1) 1% TM + 0.75% glycerol + 0.5% BSO, (T2) 5% TM + 0.75% glycerol + 0.5% BSO, (T3) 0.75% glycerol + 0.5% BSO, and (T4) 1% chitosan + 0.75% glycerol + 0.5% BSO, as well as (control) distilled water (Table 2).
Table 2.
Different coating formulations.
2.4. Treatments of Samples
Before coating, all the guava fruits were cleaned with distilled water, wiped with a clean cotton cloth, and left to air-dry for 30 min. Guava fruits were divided into 5 batches, dipped in each solution for 2 min until the solution was completely and uniformly coated on each fruit, and then placed in a plastic tray for drying. After a brief (30 min) period of drying at room temperature, guava samples were placed in one-row plastic boxes. The control group was dipped in distilled water and stored in a plastic box. The fruit samples were stored at room temperature (25 °C) for 9 days. After 3-day intervals, different physicochemical parameters were analyzed.
2.5. Physicochemical Properties
2.5.1. Weight Loss
The weight loss of the guava sample was measured using the method described by Ahmed et al. [15]. A laboratory-level electronic weighing balance (Model: ATY 224, Shimadzu, Kyoto, Japan) with an accuracy of 0.0001 g was utilized to determine the net weight. The weight of the guava sample was measured at 0 days and then after 3, 6, and 9 days. Then, the weight loss of each sample was determined by calculating the difference between the initial weight and the final weight at different intervals.
2.5.2. Color Change
The color of guava fruits was determined using a colorimeter (Model: PCE-CSM4, PCE Instruments, Hamble Southampton Hampshire, UK), according to a method described by Rana et al. [16], with modifications. The instrument’s screen showed the findings in terms of L*, a*, and b* values, where L* (white–black), a* (green–red), and b* (yellow–blue). The color was measured at three different points for each sample, and the final readings for each color component (L*, a*, and b*) were the average of three measurements. The color change for all the samples at different intervals of storage period was determined.
2.5.3. Firmness
Firmness of guava fruits was determined according to the procedure of Formiga et al. [17]. The firmness of the whole sample, skin, and flesh of the samples was assessed using a texture analyzer (Agrosta®100, Agrosta SARL, Serqueux, France) with a maximum load cell limit of 10 kg and a maximum speed penetration of 27 mm/s. A 10 mm-diameter probe was used for the measurement of guava firmness. Measurements were performed on the whole fruit, which was put on the texture analyzer, where the probe penetrated at a speed of 27 mm/s, with a penetration of 1 mm, and then returned to the home position. The firmness of the skin and flesh of the fruits were measured by cutting the fruit at a depth of 1 cm in three different locations of the sample. The analysis was performed at 0, 3, 6, and 9 days of storage.
2.5.4. pH
The samples’ pH value was determined using a digital pH meter (Model: HI-2211, Henna Instrument, Woonsocket, RI, USA). For the analysis, 5 mL of fruit juice was homogenized with 45 mL of distilled water. The electrode was then immersed in the homogenized solution, and the reading was recorded.
2.5.5. Total Soluble Solid (TSS)
The TSS of guava fruits was determined by the suggested technique of El-Gioushy et al. [18] at room temperature using a hand-held refractometer. The clear juice of guava fruits was placed in the chamber of the refractometer and the reading was expressed as degree Brix.
2.5.6. Titratable Acidity
The titratable acidity of guava fruits was assayed by using a method described by Ahmed et al. [15], with some modifications. Briefly, 4 mL of fruit juice was diluted with 25 mL of distilled water. The solution was homogenized, titrated with 0.1 N NaOH using 2 drops of phenolphthalein, and expressed as a percentage of citric acid.
2.5.7. DPPH Radical Scavenging Activity
The method of Peasura et al. [19] was followed with modifications to determine the DPPH radical scavenging activity of every sample. Here, 3.5 mL of fruit juice was mixed with 35 mL of 80% methanol to extract the samples. The mixture was then vigorously shaken using a shaking incubator (Model: SI-100, HUMAN Lab, Seoul, Korea) at 250 rpm for 90 min. After the incubation period, the extract was centrifuged (Model: 416G, Gyrozen-Benchtop centrifuge, Gimpo, Korea) at 3000 rpm for 15 min. Then, 2.9 mL of a 0.1 mM DPPH solution, which was dissolved in methanol, was added to the supernatant (0.1 mL). The solution was vigorously mixed for 15 s and then stored in the dark at room temperature for 30 min. The absorbance at 517 nm was measured against a blank (containing all reagents without the sample) using a UV-Vis spectrophotometer (Model: UV-1800, Shimadzu Instrument, Kyoto, Japan).
2.5.8. Total Phenolic Content
Total phenolic content was measured by the method described by Anjum et al. [20] with some modifications. Firstly, the samples were extracted with 80% methanol. To determine the phenolic content, 0.5 mL of sample extract, 5 mL of distilled water, and 0.5 mL of Folin–Ciocalteu phenol reagent were mixed and kept at room temperature. After 10 min, 1 mL of 20% (w/v) aqueous sodium carbonate solution was added. The mixture was vigorously mixed and left to stand at room temperature for 30 min. The absorbance was measured against a blank (containing all reagents and filled with water instead of the sample) at a 760 nm wavelength using a UV-Vis spectrophotometer (Model: UV-1800, Shimadzu Instrument, Kyoto, Japan). The TPC values were calculated based on a gallic acid standard curve (R2 = 0.9995) and the results were expressed as mg of gallic acid equivalents per L of sample.
2.5.9. Vitamin C
The vitamin C content in fresh and stored guava was determined by a modified method of Guntarti et al. [21]. Here, 1 mL of sample was mixed with 10 mL of 0.056 M sodium oxalate and the solution was homogenized for 2 min. Then, after 5 min, the homogenate was filtered, and 0.5 mL of sample extract was diluted to 5 mL with the 0.056 M sodium oxalate solution. The absorbance was measured with a UV-Vis spectrophotometer (Model: UV-1800, Shimadzu Instrument, Kyoto, Japan) at a 266 nm wavelength. Vitamin C was expressed as mg/mL of sample based on the ascorbic acid standard curve (R2 = 0.9955).
2.5.10. Chlorophyll Content
The method of Etemadipoor et al. [22], with modifications, was used to determine the chlorophyll content. For measuring, first, 2 mL of fruit juice was homogenized with 10 mL of 80% acetone and then centrifuged (Model: 416G, Gyrozen-Benchtop centrifuge, Gimpo, Korea) at 3000 rpm for 20 min. The supernatant was separated, and then 5 mL of extract solution was diluted to 10 mL by 80% acetone. The absorbance was measured at 645 nm and 663 nm using a UV-Vis spectrophotometer (Model: UV-1800, Shimadzu Instrument, Kyoto, Japan).
2.5.11. Malondialdehyde (MDA)
MDA content was measured using the method described by Madhav et al. [23] with modifications. In brief, 4 mL of sample extract was homogenized with 5 mL of TCA (trichloro acetic acid) and centrifuged at 10,000× g for 20 min. Then, 2 mL of the supernatant was combined with 2 mL of thiobarbituric acid and then heated to 100 °C for 15 min. After cooling, it was centrifuged (Model: 416G, Gyrozen-Benchtop centrifuge, Gimpo, Korea) for 20 min at 2700× g. The absorbance of the supernatant was determined at wavelengths of 532 nm, and the findings were reported as μmol kg−1 fresh weight. The MDA value was determined using the equation obtained from a standard MDA curve (y = 1.416x + 0.0785).
2.5.12. Microbial Analysis
The microbiological analyses were conducted as described by Hossain et al. [24] with modifications. For preparing the sample with serial dilution, 1 mL of guava juice was added with 9 mL of 0.1% peptone water and mixed thoroughly, corresponding to a 1 × 10−1 dilution. Then, gradually, 1 × 10−2 and 1 × 10−3 serial dilutions were performed. The total aerobic mesophilic bacteria count was determined by using plate-count agar, incubated (Model: BP60 incubator, Froilabo SAS, Meyzieu, France) for 48 h at 35 °C. Next, 1 mL of diluted samples were combined with 15 mL of liquid plate-count agar that had been cooled and put onto sterile petri dishes. After the agar had hardened, plates were incubated at 35 °C for 48 h. The results are expressed as colony-forming units per gram (CFU/mL) and were counted using a Rocker colony counter machine (Model: Galaxy-230, Shah Brothers, Maharashtra, India).
2.5.13. Statistical Analysis
Statistical analyses were performed with an analysis of variance (ANOVA), and experiments were carried out with three replicates. Significant differences between experimental groups were examined using Tukey’s honest significance test (p < 0.05).
3. Results and Discussion
3.1. Weight Loss and Firmness
Weight loss was represented as a percentage reduction of the original total weight, and all samples demonstrated a gradual loss of weight during storage. Weight loss is mostly related to the evaporation of moisture from the fruit. For both the control and coated samples of guava, the weight loss percentage steadily increased during their storage periods (Figure 1A). After three days of storage, there was a significant difference between all the coated and uncoated samples. After six days, the most weight loss was found in the control sample. A huge significant difference was shown in the control sample with T1, T3, and T4 samples. After nine days, the control sample’s weight loss percentage was found to be much higher. There was a similarity between T3 (10.72%) and T4 (10.74%) samples, and the least weight loss was measured for T1 (7.22%) and T2 (6.95%). Therefore, 1% and 5% taro mucilage (TM) + black seed oil (BSO)-coated fruits showed the lowest weight loss percentage.
Figure 1.
Weight loss (A) and firmness of (B) whole guava fruits, (C) guava flesh, and (D) guava skin at different maturity stages of guava fruits. Different lowercase letters (a–e) within the same group represent significant differences based on Tukey’s honest significance test (p < 0.05). For sample codes, refer to Table 2.
The loss of water from the fruit’s surface is mostly due to respiration and transpiration. A higher amount of water is retained as a function of the hydrophilic nature of the mucilage coating, which is the result of a reduction in the transpiration and respiration rate [25]. The use of essential oil can modify the physical properties of coated fruits and increase the water-binding capacity. Chitosan coatings have a relatively high-water vapor permeability quality, but the addition of essential oil can increase their moisture barrier characteristics. T2 (6.95%) treatment was the most effective in reducing weight loss compared to T4 (10.74%) treatment because of the high water-binding capability of mucilage compared to chitosan.
Weight changes in fruits are likely to occur due to many reasons, including loss of extracellular and intracellular water, sugar intake dictated by cellular respiration and cell wall collapse, and the subsequent loss of water caused by cell breakdown. Similar results were reported in raspberry [26] and Opuntia ficus-indica mucilage [27] applied on strawberry, where the mucilage-based coating showed lower weight loss.
Guava is a perishable fruit that loses firmness after ripening, contributing to its limited postharvest life. When fruit begins to ripen, the hemicellulose becomes accessible, causing increased cell wall breakdown and a decrease in fruit firmness. The firmness of guava fruits was observed for whole fruit, flesh, and skin, where firmness was gradually decreased for all treatments as the storage period progressed (Figure 1B). After 3 days of storage, the values of uncoated and coated treatments for the whole guava were significantly decreased. The flesh (Figure 1C) and skin (Figure 1D) of guava showed significant differences between the control treatment and the T1, T2, and T3 coating treatments. After 6 days of storage, a general firmness reduction was observed for both coated and uncoated samples. For whole fruit, there was a significant difference in the control treatment (51.159 N) compared to the T1 (51.408 N) and T3 (61.028 N) treatments, where the control sample maintained lower firmness than the coated samples (Figure 1B). No significant difference was observed between T1 and T2 treatments during the end storage time for the whole guava. For the skin and flesh, there was no significant difference among all the treatments. In both skin and flesh, T1, T2, and T3 treatments showed higher firmness than the control.
The loss of texture in fruits is caused by changes in the cell wall structure since pectin’s are crucial for fruit cohesiveness and are the major components of the middle lamella as well as structural elements in the primary cell wall. Guava contains a high concentration of pectin, which, along with the fiber component, are responsible for cell wall stability [28]. This study observed that the coatings protected the fruits against the reduction of firmness, and 1% TM showed greater results than 5% TM-coated samples.
Chitosan, a commercial coating material that also acts as a physical sheltering of fruits from the surrounding environment, may provide more opportunity to retain internal biochemical changes and delay the formation of ethylene and CO2, which promotes ethylene production and stops the rapid firmness decline in fruits. However, in this study, mucilage incorporated with essential oil showed better results compared to chitosan coatings [29].
This may be because polysaccharides, when coated on fruit, may function as a barrier to water transfer, delaying dehydration and, as a result, extending the firmness of the fruit coated with them. Several factors, including a decrease in cell turgidity pressure, a reduction in extracellular and vascular air, and the degradation of the cell wall, which results in the loss of water as a result of the cell breakdown, all contribute to the softening of the texture of the fruits when they are stored. Oluwaseun et al. [30] also found a similar result for the flesh of papaya fruit, where Opuntia Cactus mucilage was used for coating applications. The firmness of papaya halves was decreased, but the mucilage-coated sample showed lower degradation than the other samples. Another similar result was found by Del-Valle et al. [31], where the cactus mucilage-based coating was applied on strawberry, and after nine days of storage, the mucilage-coated samples showed higher results than other samples.
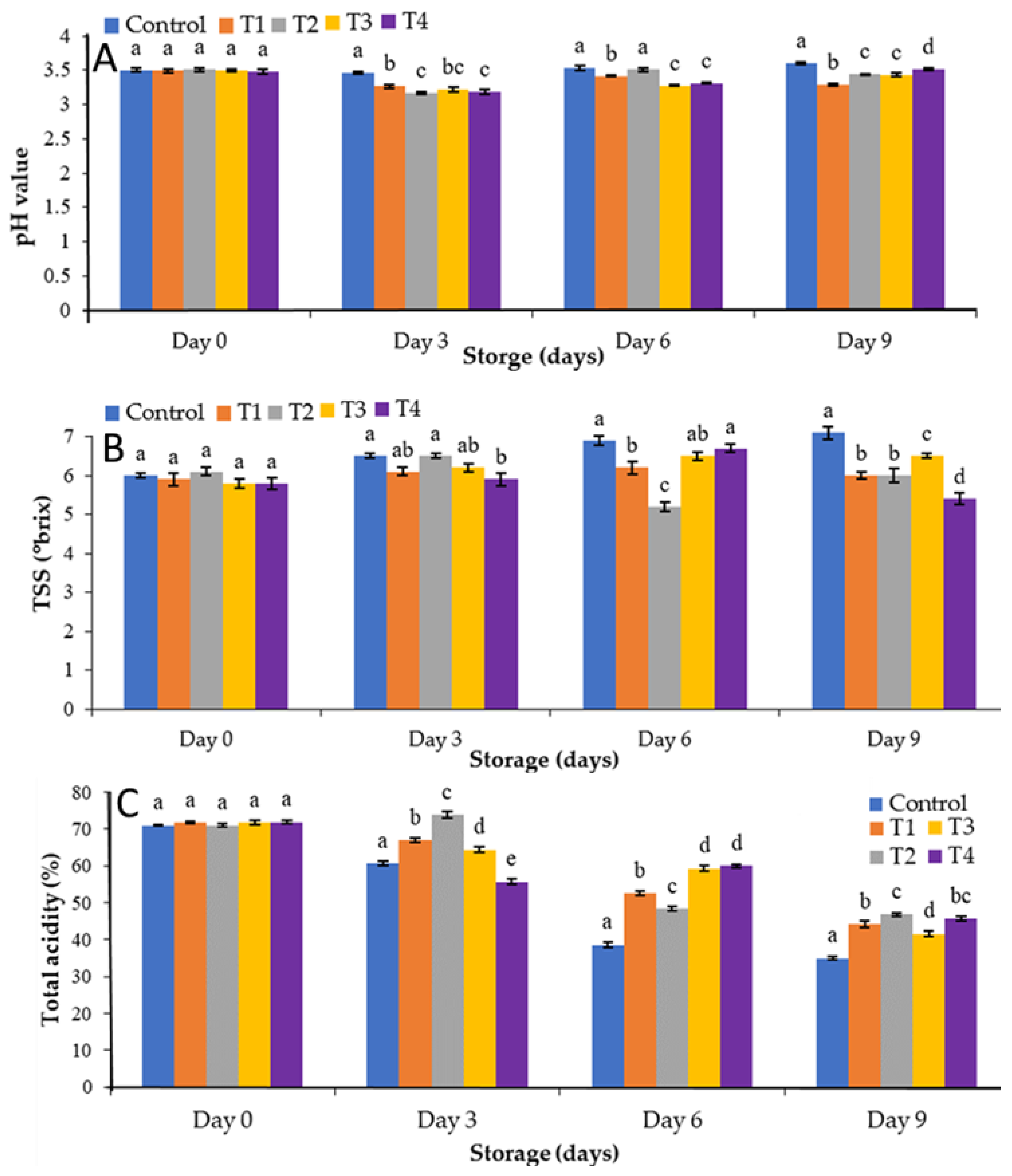
3.2. pH Value, Total Soluble Solids (TSS), and Titratable Acidity
In this study, during the first three days of the storage period, the pH level decreased and then increased until the end of the storage period (Figure 2A). After six days of storage, the pH value gradually increased. After nine days of storage, the pH changed significantly between coated and uncoated guava, and the pH of the uncoated samples was the highest (pH 3.60), followed by the pH of the coated samples. For T1 (pH 3.29) and T2 (pH 3.44) treatments, pH was decreased compared to day 6 values. The most probable cause of pH rises in guava fruits is the decrease in the concentration of the most significant organic acids available in the fruit. The difference in pH may be attributed to various factors, including the treatment’s influence on the biochemical state of the fruit, as well as a lower rate of respiration and enzymatic activities [32]. The pH values in chitosan- and mucilage-coated guava were lower than in the uncoated control samples. However, compared to chitosan, mucilage showed a lower pH value, meaning that the mucilage coating slowed down the changes in pH and the respiration process.
Figure 2.
(A) pH values, (B) TSS values, and (C) total acidity of guava fruits at different maturity stages. Different lowercase letters (a–e) within the same group represent significant differences based on Tukey’s honest significance test (p < 0.05). For sample codes, refer to Table 2.
A similar result was also reported by Shahbazi et al. [32], who found that the pH value of strawberry coated with okra mucilage and quince seed mucilage was lower than the pH value of the uncoated treatment after 12 days of storage time.
Generally, the sweetness of fruits depends on the percentage of TSS content. In this study, the TSS value gradually increased for the control treatment, and for the other treatments, the TSS value increased for some periods, and then decreased (Figure 2B). After 3 days of storage, the TSS value was increased, and there was a significant difference between the T4 (5.9 °Brix) treatment and the control (6.5 °Brix) and T2 (6.5 °Brix) treatments. After 6 days, there was a significant difference in the control (6.9 °brix) treatment compared to the T1 (6.2 °Brix) and T2 (5.2 °Brix) treatments. After 9 days of storage, the highest TSS value was found in the control treatment (7.1 °Brix), and there was a significant difference found between coated and uncoated guava. Additionally, a similarity was observed between T1 (6 °Brix) and T2 (6 °Brix) treatments. The lowest TSS value was found in the T4 (5.4 °Brix) treatment.
The presence of a high concentration of TSS in the control fruit may be an indication of increasing maturity. Mucilage-coated fruits showed a reduction in the TSS value, indicating that mucilage might decrease the ripening rate and influence metabolic activities with an increased storage time of coated guava. The lowest TSS rate was observed in fruits coated with 1% chitosan, which may be due to the decrease in the fruit respiration rate, which also reduces the generation and consumption of metabolites and leads to a delayed conversion of fruit at the end of storage. Treviño-Garza et al. [33] also found similar results where linseed mucilage and chitosan were used for edible coating applications applied on fresh-cut cantaloupe, where the TSS value first increased and finally decreased in coated fruits after 18 days of storage.
Total acidity decreased in all treated and control fruit during the overall storage period, but this decrease rate was much slower in coated fruits than in control fruit (Figure 2C). After 3 days of storage, the highest titratable acidity (TA) was found in fruit treated with 5% TM. There was a significant difference among all the treatments. At the end of storage, the highest retention of TA was found in fruit treated with 5% TM and BSO (T2 treatment 46.708%), and the control showed the lowest value. Therefore, the increased concentration of mucilage also increased the acid retention capability compared to other coated treatments. The TA of a solution often decreases with time due to the use of organic acids during the process of respiration. As organic acids are used as respiratory substrates and converted into sugars during storage, acidity decreases, and the pH rises, which may be attributed to the ripening process. Fruit metabolism might be delayed by the enrichment of TM with BSO, which could result in greater levels of TA being maintained due to the creation of a changing internal environment and delaying fruit respiration, as well as the potential effects of BSO on fruit metabolic reactivity [34]. The chitosan-based coating also retained almost the same acidity as mucilage (T4 treatment 45.7%).
A similar result was found for the Opuntia ficus-indica mucilage edible coating on cactus pear fruits, where the control sample retained the lowest level of TA [27]. A chitosan and essential oil-based edible coating applied on fresh cherry fruits also showed similar results, where the control sample had 0.36% TA [35].
3.3. Color Changes
Color is an important factor in the perception of food quality during its shelf-life. The result showed that the color indices L* (lightness/darkness), a* (redness/greenness), and b* (yellowness/blueness) shifted considerably during storage. Lightness gradually reduced during the storage period in both coated and uncoated fruits (Figure 3). After three days of storage, the decreased value of lightness for all fruits was almost the same. After six days, a significant difference was seen between T1 (34.863) and T4 (1.338) treatments, and similarities were found between T2 (32.646) and T3 (30.906). After nine days of storage, T1 (33.846), T2 (28.036), and T3 (36.99) retained more L* value compared to the control (Figure 3A).
Figure 3.
L* value (A), a* value (B), and (C) b* value of guava fruits at different stages. Different lowercase letters within the same group represent significant differences based on Tukey’s honest significance test (p < 0.05). For sample codes, refer to Table 2.
The value of the a* index increased during the storage period, showing a decrease in skin greenness, turning to red. At the end of the storage period after nine days, the value significantly changed. The lowest a* index was obtained in T1 (2.71) and T2 (3.396), where fruit were treated with 1% TM and 5% TM enriched with 0.5% BSO, respectively (Figure 3B). The value of the b* index increased during storage, so the highest value was obtained at the end of the storage period. The highest value of this index was obtained in fruit treated with 0.5% BSO (36.647), and its lowest value was obtained in the control sample (15.183) (Figure 3C). The decrease of L* and the increase of a* (redness) indicate the browning of the sample. During the storage period, L* values for coated and uncoated guavas declined, most likely due to moisture loss at the surface. Reducing the value of the L* index indicates skin darkening. The reduction of the b* index is due to the degradation of chlorophyll and the formation of carotenoid pigments.
Skin color is an important parameter that determines the quality of the fruit in terms of maturity and harvest time, and it is also one of the most important characteristics of many fruits, such as guava. A similar result was found by Treviño-Garza et al. [36], where a linseed mucilage and chitosan coating was applied on fresh-cut pineapple.
3.4. Antioxidant Activity and Total Phenolic Content (TPC)
Total antioxidant activity in guava fruit dropped until the end of storage for both coated and uncoated samples (Figure 4). The degradation of antioxidants for coated samples was much lower, but it was much higher in the control sample. The mucilage and BSO coating inhibited the loss of guava fruits’ antioxidant activity compared to the control sample during the storage period. There was no significant difference, but similarity was observed in coated and uncoated guava samples after three days of storage. The value of antioxidant activity significantly decreased in the control (uncoated) sample from 85.11% to 34.25% after the end of the storage period. In the other coated samples, antioxidant activity decreased at a slower rate and reached a value between 50% and 65% after the end of the storage, and similarity was seen in the T1 (64.88%), T2 (65.35%), and T3 (61.62%) treatments. The highest value was observed for T2 (65.35%). Therefore, the antioxidant activity of mucilage- and essential oil-coated fruits was higher than other treatments after nine days of storage, and as the mucilage concentration increased, the antioxidant activity also increased. Incorporation of essential oil in chitosan solution improved the efficacy of chitosan coatings by enhancing the antioxidant properties, but compared to mucilage, it showed less antioxidant activity.
Figure 4.
(A) Antioxidant scavenging activity and (B) total phenolic content of guava fruits at different maturity stages. Different lowercase letters (a–e) within the same group represent significant differences based on Tukey’s honest significance test (p < 0.05). For sample codes, refer to Table 2.
The ability of mucilage to preserve antioxidant activity in guava fruits may be due to its ability to maintain fruit quality characteristics, reduce the decay rate, and suppress enzymatic activity, which breaks down antioxidant components. As the main bioactive compound is thymoquinone, black seed oil also retains antioxidants in coated fruits. A similar result was observed by Kozlu and Elmacı [37] using quince seed mucilage as an edible coating for mandarin fruit, where antioxidants were retained in the control sample (31.86%) and the coated sample (40.48%). Wang and Gao [38] reported higher levels of antioxidant activity in coated strawberries during storage compared to a control. Another result was found by Liguori et al. [27] using Opuntia ficus-indica mucilage as an edible coating applied on cactus pear fruits.
Phenols contain antioxidant properties and play an important role in the body’s defense system. It is well-recognized that by altering the fruit’s odor, taste, color, and flavor, phenols improve the nutritional value and quality of the fruit. Phenols enhance the host cell structure, disintegrate the structural stability of pathogen membranes, and inhibit pathogen infection. In this study, the total phenolic content for all treatments was significantly different, and as the storage time progressed, first, the phenolic content increased, and then finally decreased (Figure 4). After three days of storage, the phenolic content of all treatments significantly increased, except the control. A significant difference was observed among T1 (109.07 mg/L), T2 (243.52 mg/L), T3 (132.82 mg/L), and T4 (149.33 mg/L) treatments after six days of storage. Compared to the coated samples, the total phenol content of control samples significantly decreased after nine days of storage. At the end of the storage period, a significant difference was observed among all the treatments, and guava coated with TM and chitosan preserved TPC in T1 (120.88 mg/L), T2 (204.63 mg/L), and T4 (114.19 mg/L). The highest retention of the TPC value was seen with the T2 treatment, which was coated with 5% TM.
This may be due to the use of TM as edible coatings, which protected the guava’s total phenol content for the entire storage period. The concentration of phenolics reduces due to oxidation. The greater TPC of the coated samples showed a higher reduction of phenol oxidation than the control sample, which may be attributed to the edible coating limiting food and oxygen from coming into contact, as well as the breakdown of phenolic chemicals [39]. It has been reported that garden cress seed mucilage as an edible coating retained the TPC in fresh-cut and fried potato strips [40].
3.5. Chlorophyll Content, Vitamin C Content, and Malondialdehyde (MDA)
The chlorophyll content of guava fruit was significantly influenced by TM enriched with BSO and chitosan coatings. As the chlorophyll level in the fruit diminished, the color of the guava began to shift from green to yellow. In this study, the overall chlorophyll content for all treatments steadily decreased as the storage time progressed (Figure 5A). As chlorophyll content gradually decreased, there was a significant difference in T1 (1.73 mg/g) and T4 (1.775 mg/g) until three days of storage. After six days, there was a significant difference seen between coated and uncoated samples, and there was a similarity among T2 (1.447 mg/g), T3 (1.465 mg/g), and T4 (1.496 mg/g) treatments. After nine days of storage, guava treated with 1% TM mixed with BSO, T1 (1.173 mg/g), showed the maximum amount of chlorophyll content compared to the control treatment. The chitosan and essential oil-based coating also showed less reduction of chlorophyll content than the control treatment. When chlorophyll content decreases, mean fruit begins to ripen, and enzyme activity begins. Thus, mucilage and chitosan delay fruit maturation by reducing the respiratory intensity and delaying the climacteric peak, resulting in a significant decrease in respiration. However, 1% TM showed better results than commercial chitosan.
Figure 5.
Changes in (A) chlorophyll content, (B) vitamin C, and (C) malondialdehyde of guava fruits at different maturity stages. Different lowercase letters (a–c) within the same group represent significant differences based on Tukey’s honest significance test (p < 0.05). For sample codes, refer to Table 2.
The color of guavas is closely related to the amount of chlorophyll in the fruit’s skin. Changes in color from green to yellow indicate the guava’s ripeness. A similar result was obtained by Wijerathne et al. [41], where Terminalia arjuna (Kumbuk) plant mucilage was applied on green chilies and leafy vegetables, and coated samples retained higher chlorophyll content compared to the uncoated sample. Gum Arabic enriched with cinnamon essential oil applied on guava also showed a similar result [22].
The coating affected the vitamin C content of the guava fruits. The overall vitamin C content gradually decreased day-to-day over the storage period. This parameter showed small variations during storage (Figure 5B). After day three, a significant difference was seen between T2 (0.062 mg/mL) and T4 (0.057 mg/mL) treatments. On the sixth day, coated samples were recorded significantly different in vitamin C content compared to control samples, and the retention of vitamin C content in T1-coated samples was significantly different from T2- and T3-coated samples.
At the end of the storage period, there was a similarity among T2 (0.036 mg/mL), T3 (0.033 mg/mL), and T4 (0.036 mg/mL), and the highest retention of vitamin C content was found in T2 (0.036 mg/mL) and T4 (0.036 mg/mL) treatments. Therefore, a higher concentration of mucilage coating and chitosan enriched with essential oil showed a higher retention of vitamin C content. Increased fruit ripeness, senescence, and oxidative degradation resulted in decreased vitamin C concentrations. During postharvest storage, oxidation, on the other hand, is one of the most important sources of vitamin C loss. The presence of oxygen during storage is typically required for the oxidation and reduction of vitamin C. Coatings such as TM and chitosan restrict O2 availability and reduce oxidation. The findings of this analysis are similar to the study of Noshad et al. [42], who found that apple coated with Plantago major, Plantago psyllium mucilage showed a gradual decrease in ascorbic acid content, and Plantago mucilage-coated apple retained a higher value than the uncoated sample. Using a chitosan coating enriched with cinnamon oil applied on sweet pepper could also effectively retain the levels of vitamin C and showed similar results [43].
Lipid peroxidation happens during the storage of food. Malondialdehyde (MDA) is a significant oxidation product recognized as the principal lipid peroxidation marker. In this study, MDA content progressively increased in both treated and untreated guava fruit throughout the period of storage and subsequent shelf-life (Figure 5C). After three days of storage, the T2 (0.184 µM) coating showed a significant difference with T4 (0.125 µM) and the control treatment (0.109 µM) with T1 (0.168 µM) and T2 (0.184 µM). After six days, there was no significant difference between coated and uncoated treatments. After nine days, MDA was significantly increased, and the MDA retention of guava treated with chitosan and mucilage coatings enriched with oil was T1 (1.418 µM), T2 (1.388 µM), and T4 (1.458 µM), whereas control samples maintained 1.896 µM. At the end of the storage period, the MDA content of control treatments was significantly higher than coated treatments. The lowest retention of MDA content was seen for the T2 treatment, coated with 5% TM.
The mucilage coating in guava fruit developed a protective layer that suppressed the increase in MDA content and reduced oxidation; thus, the coated guava retained the lowest MDA content. Khaliq et al. [44] found a similar trend in their experiment with gum Arabic-coated mango fruit, where the control sample had a higher MDA content and the gum Arabic-coated sample had a lower MDA content. A similar result was also found by Huang et al. [45] and Kumar et al. [46], where a lower MDA retention for coated samples compared to control samples was observed in mushrooms coated with a chitosan and guar gum-based composite edible coating and in plum coated with a chitosan coating.
3.6. Microbial Analysis
In this study, the microbial population of all designated treatments significantly increased with the storage time. At the end of storage, total aerobic microorganism counts were higher for the control than for the coated fruits. Total aerobic mesophilic bacteria of coated and uncoated treatments did not statistically differ during the first day of storage (Figure 6). On the third day of storage, there was a significant difference between control treatment and the other treatments, and the total aerobic mesophilic bacteria counts were higher for uncoated fruits (3.15 log CFU/mL). On the sixth day of storage, the total aerobic mesophilic bacteria count in the T2 (1.45 log CFU/mL)-coated fruits were significantly lower than other coated and uncoated fruits. There was a similarity between T2 (1.45 log CFU/mL) and T3 (1.477 log CFU/mL) treatments. On the ninth day of storage, total aerobic mesophilic bacteria counts were significantly changed between coated and uncoated fruits. The lowest value of total aerobic mesophilic bacteria counts was shown in T4 (1.866 log CFU/mL), where 1% chitosan and BSO were used as a coating solution, which was beneficial for retarding the growth of spoilage microorganisms. The chitosan and mucilage-based coatings functioned as a semi-permeable barrier to oxygen, which, in turn, inhibited the development of spoilage bacteria in the treated samples as compared to the uncoated samples. BSO showed antimicrobial activity against different mesophilic bacteria. The incorporation of BSO in chitosan may enhance the antimicrobial activities of chitosan coatings.
Figure 6.
Microbial count of guava fruits at different maturity stages. Different lowercase letters (a–e) within the same group represent significant differences based on Tukey’s honest significance test (p < 0.05). For sample codes, refer to Table 2.
Previous studies also reported that the coating solution of Opuntia ficus-indica mucilage applied on strawberry [27], chitosan–cassava starch coatings applied on guava [47], and linseed mucilage applied on fresh-cut yacon [48] significantly reduced the microbial growth of stored guava in comparison to the uncoated samples.
3.7. Visual Observation of Shelf-Life
Day-to-day observation of guava fruits showed the distinct visual characteristics of shelf-life. Observation photographs were taken at 0, 3, 6, and 9 days. Figure 7 shows the changes of appearance of five differently coated categories of guava: control, T1 (1% TM + 0.75% glycerol + 0.5% BSO), T2 (5% TM + 0.75% glycerol + 0.5% BSO), T3 (0.75% glycerol + 0.5% BSO), and T4 (1% chitosan + 0.75% glycerol + 0.5% BSO). Visual observation showed that the most ripening happened in the control, and least was seen in the T1-coated guava fruit.
Figure 7.
Visual appearance of guava fruits with or without an edible coating after 0, 3, 6, and 9 days of storage at room temperature. For sample codes, refer to Table 2.
4. Conclusions
The present study was conducted on whether mucilage obtained from a taro- and chitosan-based edible coating incorporated with black seed oil could extend the shelf-life and preserve different physicochemical and functional factors of guava fruit when stored at room temperature. In this study, 1% and 5% taro mucilage, 1% chitosan, and 0.75% black seed oil were used as an edible coating. The T4 treatment showed the lowest increase of microbial growth compared to the other treatments. The T1 treatment helped to preserve the quality of guava fruit by preventing weight loss, delaying the alteration of color, retaining the highest level of chlorophyll, and maintaining firmness by reducing the degradation of pectin content. The 5% TM with BSO, which enhanced the antioxidant activity (T2 treatment), showed the lowest reduction in antioxidant content and total acidity, maintained a high phenolic content, and demonstrated the lowest increase in MDA content. It also reduced the weight loss of guava compared to other treatments. The highest retention of vitamin C content was found in the T2 and T4 treatments at the end of the storage period. These results suggest that among all the treatments, 5% TM in combination with BSO (T2 treatment) was observed to yield overall better results than the other treatments. These results led to the conclusion that a TM edible coating has the potential to be employed in the food sector to preserve the overall quality and shelf-life of fruits.
Author Contributions
Conceptualization, S.S.S., M.R.R. and B.S.I.; methodology, S.S.S. and T.A.; software, M.F.J., M.M.H., K.S. and M.S.; validation, M.F.J., M.M.H., K.S., M.S., B.S.I. and M.R.R.; formal analysis, T.A. and S.S.S.; investigation, T.A. and S.S.S.; resources, M.R.R. and B.S.I.; data curation, T.A. and S.S.S.; writing—original draft preparation, T.A. and S.S.S.; writing—review and editing, M.F.J., M.M.H., K.S., M.S., B.S.I. and M.R.R.; visualization, M.F.J., M.M.H., K.S., M.S., B.S.I. and M.R.R.; supervision, M.R.R. and B.S.I.; project administration, M.R.R. and B.S.I.; funding acquisition, M.R.R. All authors have read and agreed to the published version of the manuscript.
Funding
This study received financial support from the promotional research grant (Project ID: AS/2021/1/28) by the Shahjalal University of Science and Technology (SUST) research center.
Institutional Review Board Statement
Not applicable.
Informed Consent Statement
Not applicable.
Data Availability Statement
Data are available within the article.
Acknowledgments
The authors thank Shahjalal University of Science and Technology (SUST), for providing high-class research facilities.
Conflicts of Interest
The authors declare no conflict of interest.
References
- Kumar, M.; Kapoor, S.; Dhumal, S.; Tkaczewska, J.; Changan, S.; Saurabh, V.; Mekhemar, M.; Rais, N.; Satankar, V.; Pandiselvam, R.; et al. Guava (Psidium guajava L.) Seed: A Low-Volume, High-Value Byproduct for Human Health and the Food Industry. Food Chem. 2022, 386, 132694. [Google Scholar] [CrossRef] [PubMed]
- Yadav, A.; Kumar, N.; Upadhyay, A.; Fawole, O.A.; Mahawar, M.K.; Jalgaonkar, K.; Chandran, D.; Rajalingam, S.; Zengin, G.; Kumar, M.; et al. Recent Advances in Novel Packaging Technologies for Shelf-Life Extension of Guava Fruits for Retaining Health Benefits for Longer Duration. Plants 2022, 11, 547. [Google Scholar] [CrossRef] [PubMed]
- Gaund, M.; Ram, D.; Rawat, A.S.; Kumar, A. Response of Foliar Application of Micronutrients and Plant Growth Regulator on Yield and Economic Feasibility of Guava (Psidium guajava L.) CV. Shweta and Lalit. Pharma Innov. J. 2022, 11, 1752–1756. [Google Scholar]
- Jiang, B.; Zhong, S.; Yu, H.; Chen, P.; Li, B.; Li, D.; Liu, C.; Feng, Z. Covalent and Noncovalent Complexation of Phosvitin and Gallic Acid: Effects on Protein Functionality and In Vitro Digestion Properties. J. Agric. Food Chem. 2022, 70, 11715–11726. [Google Scholar] [CrossRef] [PubMed]
- Otálora González, C.M.; Schelegueda, L.I.; Pizones Ruiz-Henestrosa, V.M.; Campos, C.A.; Basanta, M.F.; Gerschenson, L.N. Cassava Starch Films with Anthocyanins and Betalains from Agroindustrial By-Products: Their Use for Intelligent Label Development. Foods 2022, 11, 3361. [Google Scholar] [CrossRef] [PubMed]
- González, A.; Gastelú, G.; Barrera, G.N.; Ribotta, P.D.; Igarzabal, C.I.Á. Preparation and Characterization of Soy Protein Films Reinforced with Cellulose Nanofibers Obtained from Soybean By-Products. Food Hydrocoll. 2019, 89, 758–764. [Google Scholar] [CrossRef]
- Wang, Q.; Liu, W.; Tian, B.; Li, D.; Liu, C.; Jiang, B.; Feng, Z. Preparation and Characterization of Coating Based on Protein Nanofibers and Polyphenol and Application for Salted Duck Egg Yolks. Foods 2020, 9, 449. [Google Scholar] [CrossRef] [PubMed]
- Tosif, M.M.; Najda, A.; Klepacka, J.; Bains, A.; Chawla, P.; Kumar, A.; Sharma, M.; Sridhar, K.; Gautam, S.P.; Kaushik, R. A Concise Review on Taro Mucilage: Extraction Techniques, Chemical Composition, Characterization, Applications, and Health Attributes. Polymers 2022, 14, 1163. [Google Scholar] [CrossRef]
- Biswas, A.; Ahmed, T.; Rana, M.R.; Hoque, M.M.; Ahmed, M.F.; Sharma, M.; Sridhar, K.; Ara, R.; Inbaraj, B.S. Fabrication and Characterization of ZnO Nanoparticles-Based Biocomposite Films Prepared Using Carboxymethyl Cellulose, Taro Mucilage, and Black Cumin Seed Oil for Evaluation of Antioxidant and Antimicrobial Activities. Agronomy 2023, 13, 147. [Google Scholar] [CrossRef]
- Rahim, M.A.; Shoukat, A.; Khalid, W.; Ejaz, A.; Itrat, N.; Majeed, I.; Koraqi, H.; Imran, M.; Nisa, M.U.; Nazir, A.; et al. A Narrative Review on Various Oil Extraction Methods, Encapsulation Processes, Fatty Acid Profiles, Oxidative Stability, and Medicinal Properties of Black Seed (Nigella sativa). Foods 2022, 11, 2826. [Google Scholar]
- Duan, J.; Zhang, S. Application of Chitosan Based Coating in Fruit and Vegetable Preservation: A Review. J. Food Process. Technol. 2013, 4, 227. [Google Scholar] [CrossRef]
- Králová, K.; Jampilek, J. Metal-and Metalloid-Based Nanofertilizers and Nanopesticides for Advanced Agriculture. In Inorganic Nanopesticides and Nanofertilizers: A View from the Mechanisms of Action to Field Applications; Springer International Publishing: Berlin/Heidelberg, Germany, 2022; p. 295. [Google Scholar]
- López-Diaz, A.S.; Méndez-Lagunas, L.L. Mucilage-Based Films for Food Applications. Food Rev. Int. 2022, 1–30. [Google Scholar] [CrossRef]
- Morsy, M.K.; Abdelmonem, M.A.; Trinetta, V. Effect of Antimicrobial Washes, Essential Oil Vapor Phase, and Antimicrobial Pullulan Coating in Reducing Escherichia coli O157: H7 and Salmonella Typhimurium on Strawberries. Food Prot. Trends 2021, 41, 464–475. [Google Scholar] [CrossRef]
- Ahmed, A.; Ali, S.W.; Imran, A.; Afzaal, M.; Arshad, M.S.; Nadeem, M.; Mubeen, Z.; Ikram, A. Formulation of Date Pit Oil-Based Edible Wax Coating for Extending the Storage Stability of Guava Fruit. J. Food Process. Preserv. 2020, 44, e14336. [Google Scholar] [CrossRef]
- Rana, R.; Islam, A.; Sabuz, A.A.; Hasan, M.; Ara, R. Effect of Blanching Pretreatments on the Physicochemical and Drying Characteristics of Chui Jhal (Piper chaba H.) Stem. Int. J. Food Sci. Agric. 2020, 4, 482–491. [Google Scholar] [CrossRef]
- Formiga, A.S.; Junior, J.S.P.; Pereira, E.M.; Cordeiro, I.N.F.; Mattiuz, B.-H. Use of Edible Coatings Based on Hydroxypropyl Methylcellulose and Beeswax in the Conservation of Red Guava ‘Pedro Sato’. Food Chem. 2019, 290, 144–151. [Google Scholar] [CrossRef]
- El-Gioushy, S.F.; Abdelkader, M.F.M.; Mahmoud, M.H.; Abou El Ghit, H.M.; Fikry, M.; Bahloul, A.M.E.; Morsy, A.R.; Abdelaziz, A.M.R.A.; Alhaithloul, H.A.S.; Hikal, D.M.; et al. The Effects of a Gum Arabic-Based Edible Coating on Guava Fruit Characteristics during Storage. Coatings 2022, 12, 90. [Google Scholar] [CrossRef]
- Peasura, N.; Sinchaipanit, P. The Impact of Sweetener Type on Physicochemical Properties, Antioxidant Activity and Rheology of Guava Nectar during Storage Time. Beverages 2022, 8, 24. [Google Scholar] [CrossRef]
- Anjum, M.A.; Akram, H.; Zaidi, M.; Ali, S. Effect of Gum Arabic and Aloe Vera Gel Based Edible Coatings in Combination with Plant Extracts on Postharvest Quality and Storability of ‘Gola’ Guava Fruits. Sci. Hortic. 2020, 271, 109506. [Google Scholar] [CrossRef]
- Guntarti, A.; Ahda, M.; Nabilla, H.; Susanti, H. The Storage Effect against Vitamin C Content in Crystal Guava (Psidium guajava L.) Juice. J. Sci. Islam. Repub. Iran 2021, 32, 39–42. [Google Scholar]
- Etemadipoor, R.; Ramezanian, A.; Dastjerdi, A.M.; Shamili, M. The Potential of Gum Arabic Enriched with Cinnamon Essential Oil for Improving the Qualitative Characteristics and Storability of Guava (Psidium guajava L.) Fruit. Sci. Hortic. 2019, 251, 101–107. [Google Scholar] [CrossRef]
- Madhav, J.V.; Sethi, S.; Sharma, R.R.; Nagaraja, A.; Varghese, E. Influence of Lipid and Polysaccharide Based Edible Coatings on Quality of Guava Fruits during Storage. Indian J. Hortic. 2020, 77, 173–178. [Google Scholar] [CrossRef]
- Hossain, M.A.; Das, R.; Yasin, M.; Kabir, H.; Ahmed, T. Potentials of two lactobacilli in probiotic fruit juice development and evaluation of their biochemical and organoleptic stability during refrigerated storage. Sci. Study Res. Chem. Chem. Eng. Biotechnol. Food Ind. 2022, 23, 131–140. [Google Scholar]
- Kaur, G.; Kapoor, S.; Gandhi, N. Foods with Edible Coatings: Science, Shelf Life, and Quality. In Shelf Life and Food Safety; CRC Press: Boca Raton, FL, USA, 2020; pp. 321–350. [Google Scholar]
- Pachacama, A.; Nicole, L. Aplicación de Recubrimientos Comestibles Activos a Base de Alginato Como Un Método Alternativo de Conservación Para La Industria Alimentaria. Bachelor’s Thesis, UCE, Quito, Ecuador, 2021. [Google Scholar]
- Liguori, G.; Gaglio, R.; Greco, G.; Gentile, C.; Settanni, L.; Inglese, P. Effect of Opuntia Ficus-Indica Mucilage Edible Coating on Quality, Nutraceutical, and Sensorial Parameters of Minimally Processed Cactus Pear Fruits. Agronomy 2021, 11, 1963. [Google Scholar] [CrossRef]
- Arroyo, B.J.; Bezerra, A.C.; Oliveira, L.L.; Arroyo, S.J.; de Melo, E.A.; Santos, A.M.P. Antimicrobial Active Edible Coating of Alginate and Chitosan Add ZnO Nanoparticles Applied in Guavas (Psidium guajava L.). Food Chem. 2020, 309, 125566. [Google Scholar] [CrossRef]
- Priyadarshi, R.; Rhim, J.-W. Chitosan-Based Biodegradable Functional Films for Food Packaging Applications. Innov. Food Sci. Emerg. Technol. 2020, 62, 102346. [Google Scholar] [CrossRef]
- Oluwaseun, A.C.; Charles Oluwaseun, A.; Funsho Samuel, O.; Emmanuel Sunday, A. Effects of Opuntia Cactus Mucilage Extract and Storage under Evaporative Coolant System on the Shelf Life of Carica Papaya Fruits. J. Agrobiotechnol. 2014, 5, 49–66. [Google Scholar]
- Del-Valle, V.; Hernández-Muñoz, P.; Guarda, A.; Galotto, M.J. Development of a Cactus-Mucilage Edible Coating (Opuntia ficus indica) and Its Application to Extend Strawberry (Fragaria ananassa) Shelf-Life. Food Chem. 2005, 91, 751–756. [Google Scholar] [CrossRef]
- Khatri, D.; Panigrahi, J.; Prajapati, A.; Bariya, H. Attributes of Aloe Vera Gel and Chitosan Treatments on the Quality and Biochemical Traits of Post-Harvest Tomatoes. Sci. Hortic. 2020, 259, 108837. [Google Scholar] [CrossRef]
- Treviño-Garza, M.Z.; Correa-Cerón, R.C.; Ortiz-Lechuga, E.G.; Solis-Arévalo, K.K.; Castillo-Hernández, S.L.; Gallardo-Rivera, C.T.; Arévalo Niño, K. Effect of Linseed (Linum usitatissimum) Mucilage and Chitosan Edible Coatings on Quality and Shelf-Life of Fresh-Cut Cantaloupe (Cucumis melo). Coatings 2019, 9, 368. [Google Scholar] [CrossRef]
- Nagata, C.L.P.; Andrade, L.A.; Pereira, J. Optimization of Taro Mucilage and Fat Levels in Sliced Breads. J. Food Sci. Technol. 2015, 52, 5890–5897. [Google Scholar] [CrossRef]
- Arabpoor, B.; Yousefi, S.; Weisany, W.; Ghasemlou, M. Multifunctional Coating Composed of Eryngium campestre L. Essential Oil Encapsulated in Nano-Chitosan to Prolong the Shelf-Life of Fresh Cherry Fruits. Food Hydrocoll. 2021, 111, 106394. [Google Scholar] [CrossRef]
- Treviño-Garza, M.Z.; García, S.; Heredia, N.; Alanís-Guzmán, M.G.; Arévalo-Niño, K. Layer-by-Layer Edible Coatings Based on Mucilages, Pullulan and Chitosan and Its Effect on Quality and Preservation of Fresh-Cut Pineapple (Ananas comosus). Postharvest Biol. Technol. 2017, 128, 63–75. [Google Scholar] [CrossRef]
- Kozlu, A.; Elmaci, Y. Quince Seed Mucilage as Edible Coating for Mandarin Fruit; Determination of the Quality Characteristics during Storage. J. Food Process. Preserv. 2020, 44, e14854. [Google Scholar] [CrossRef]
- Wang, S.Y.; Gao, H. Effect of Chitosan-Based Edible Coating on Antioxidants, Antioxidant Enzyme System, and Postharvest Fruit Quality of Strawberries (Fragaria x aranassa Duch.). LWT-Food Sci. Technol. 2013, 52, 71–79. [Google Scholar] [CrossRef]
- Coelho, D.G.; ANDRADE, M.T.D.E.; MÉLO, D.F.D.E.; Ferreira-Silva, S.L.; Simões, A.; Nascimento, D.O. Application of antioxidants and edible starch coating to reduce browning of minimally-processed cassava1. Rev. Caatinga 2017, 30, 503–512. [Google Scholar] [CrossRef]
- Ali, M.R.; Parmar, A.; Niedbała, G.; Wojciechowski, T.; Abou El-Yazied, A.; El-Gawad, H.G.A.; Nahhas, N.E.; Ibrahim, M.F.M.; El-Mogy, M.M. Improved Shelf-Life and Consumer Acceptance of Fresh-Cut and Fried Potato Strips by an Edible Coating of Garden Cress Seed Mucilage. Foods 2021, 10, 1536. [Google Scholar] [CrossRef] [PubMed]
- Wijerathne, P.; Chandrajith, V.G.G.; Navaratne, S.B.; Kodagoda, K. Analysis of Chlorophyll Degradation of Leafy Vegetables and Green Chilies by Coating with Terminalia Arjuna (Kumbuk) Plant Mucilages. J. Pharmacogn. Phytochem. 2018, 7, 2278–4136. [Google Scholar]
- Noshad, M.; Rahmati-Joneidabad, M.; Badvi, Z. Effects of Natural Mucilage as an Edible Coating on Quality Improvement of Freshly-Cut Apples. Nutr. Food Sci. Res. 2019, 6, 21–27. [Google Scholar] [CrossRef]
- Xing, Y.; Li, X.; Xu, Q.; Yun, J.; Lu, Y.; Tang, Y. Effects of Chitosan Coating Enriched with Cinnamon Oil on Qualitative Properties of Sweet Pepper (Capsicum annuum L.). Food Chem. 2011, 124, 1443–1450. [Google Scholar] [CrossRef]
- Khaliq, G.; Mohamed, M.T.M.; Ghazali, H.M.; Ding, P.; Ali, A. Influence of Gum Arabic Coating Enriched with Calcium Chloride on Physiological, Biochemical and Quality Responses of Mango (Mangifera indica L.) Fruit Stored under Low Temperature Stress. Postharvest Biol. Technol. 2016, 111, 362–369. [Google Scholar] [CrossRef]
- Huang, Q.; Qian, X.; Jiang, T.; Zheng, X. Effect of Chitosan and Guar Gum Based Composite Edible Coating on Quality of Mushroom (Lentinus edodes) during Postharvest Storage. Sci. Hortic. 2019, 253, 382–389. [Google Scholar] [CrossRef]
- Kumar, P.; Sethi, S.; Sharma, R.R.; Srivastav, M.; Varghese, E. Effect of Chitosan Coating on Postharvest Life and Quality of Plum during Storage at Low Temperature. Sci. Hortic. 2017, 226, 104–109. [Google Scholar] [CrossRef]
- de Aquino, A.B.; Blank, A.F.; de Aquino Santana, L.C.L. Impact of Edible Chitosan--Cassava Starch Coatings Enriched with Lippia Gracilis Schauer Genotype Mixtures on the Shelf Life of Guavas (Psidium guajava L.) during Storage at Room Temperature. Food Chem. 2015, 171, 108–116. [Google Scholar] [CrossRef]
- Rodrigues, F.J.; Cedran, M.F.; Garcia, S. Influence of Linseed Mucilage Incorporated into an Alginate-Base Edible Coating Containing Probiotic Bacteria on Shelf-Life of Fresh-Cut Yacon (Smallanthus sonchifolius). Food Bioprocess Technol. 2018, 11, 1605–1614. [Google Scholar] [CrossRef]
Disclaimer/Publisher’s Note: The statements, opinions and data contained in all publications are solely those of the individual author(s) and contributor(s) and not of MDPI and/or the editor(s). MDPI and/or the editor(s) disclaim responsibility for any injury to people or property resulting from any ideas, methods, instructions or products referred to in the content. |
© 2023 by the authors. Licensee MDPI, Basel, Switzerland. This article is an open access article distributed under the terms and conditions of the Creative Commons Attribution (CC BY) license (https://creativecommons.org/licenses/by/4.0/).






