Exogenous Growth Regulators and Water Stress Enhance Long-Term Storage Quality Characteristics of Onion
Abstract
1. Introduction
2. Materials and Methods
2.1. Treatments, Sampling, and Storage of the Onion Bulbs
2.2. Measurement of Dry Matter Content and Rehydration Ratio
2.3. Estimation of Physiochemical and Functional Characteristics
2.3.1. Total Soluble Sugar (TSS)
2.3.2. Protein Content
2.3.3. Antioxidant Enzymes Estimation
Superoxide Dismutase (SOD)
Peroxidase Activity (POD)
2.3.4. Total Phenolics (TP)
2.3.5. Pyruvic Acid Content
2.4. Statistical Analysis
3. Results and Discussion
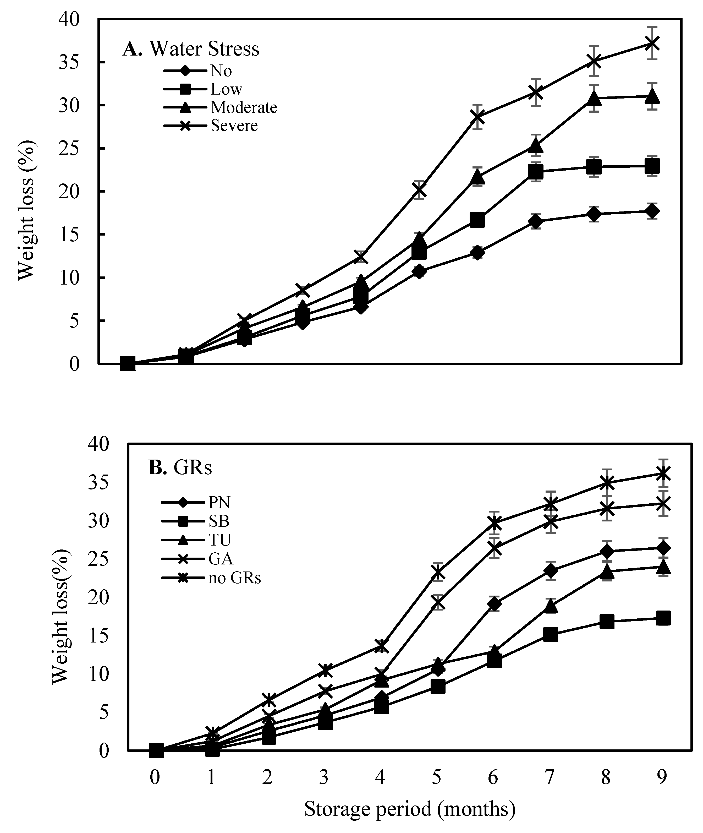
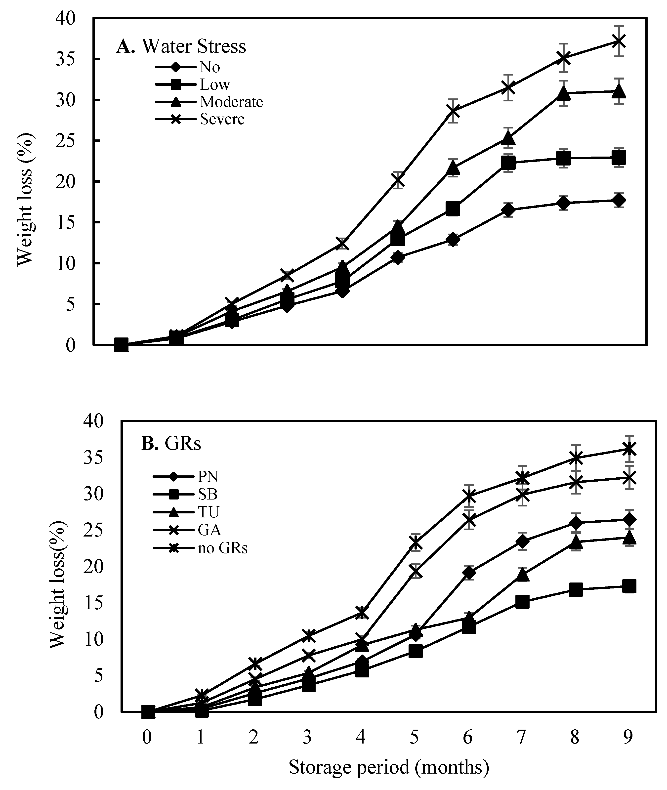
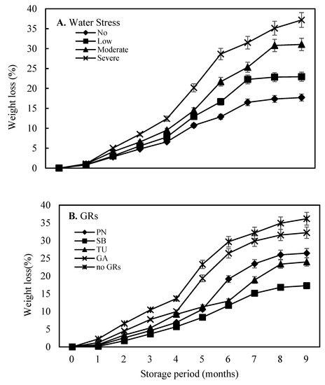
3.1. Changes in Dry Matter and Weight Loss of Stored Onion
3.2. Rehydration Quality Characteristics
3.3. Total Sugar Contents (TSS) as Affected by Water Stress and GRs
3.4. Periodic Changes in Protein Contents during Storage
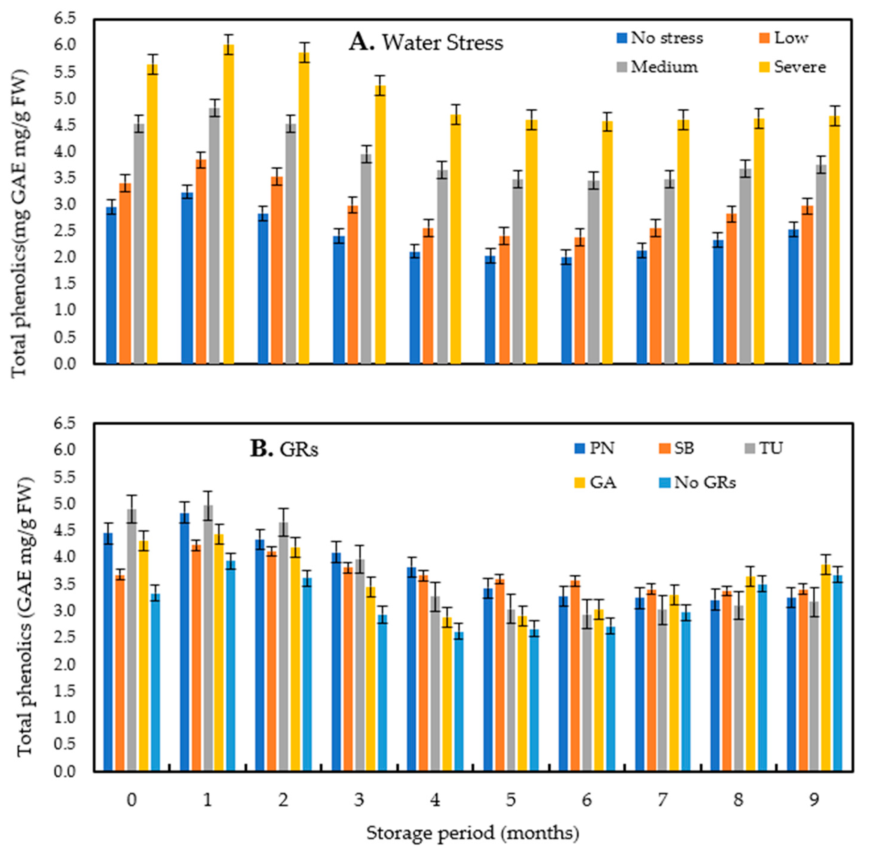
3.5. Influence of GRs and Water Stress on Total Phenolics (TP) during Storage
3.6. Antioxidant Enzymes Activity (AOA)
3.7. Changes in Pungency (Pyruvic Acid Content) of Stored Onion
4. Conclusions
Author Contributions
Funding
Data Availability Statement
Acknowledgments
Conflicts of Interest
References
- Wakchaure, G.C.; Minhas, P.S.; Meena, K.K.; Singh, N.P.; Hegade, P.M.; Sorty, A.M. Growth, bulb yield, water productivity and quality of onion (Allium cepa L.) as affected by deficit irrigation regimes and exogenous application of plant bio–regulators. Agric. Water Manag. 2018, 199, 1–10. [Google Scholar] [CrossRef]
- Csiszár, J.; Lantos, E.; Tari, I.; Madosa, E.; Wodala, B.; Vashegyi, Á.; Horváth, F.; Pécsváradi, A.; Szabó, M.; Bartha, B.; et al. Antioxidant enzyme activities in Allium species and their cultivars under water stress. Plant Soil Environ. 2007, 53, 517–523. [Google Scholar] [CrossRef]
- Pelter, G.Q.; Mittelstadt, R.; Leib, B.G.; Redulla, C.A. Effects of water stress at specific growth stages on onion bulb yield and quality. Agric. Water Manag. 2004, 68, 107–115. [Google Scholar] [CrossRef]
- Banuu Priya, E.P.; Sinja, V.R.; Alice, R.P.J.S.; Shanmugasundaram, S.; Alagusundaram, K. Storage of onions—A review. Agric. Rev. 2014, 35, 239–249. [Google Scholar] [CrossRef]
- Petropoulos, S.A.; Ntatsi, G.; Fernandes, Â.; Barros, L.; Barreira, J.C.; Ferreira, I.C.; Antoniadis, V. Long-term storage effect on chemical composition, nutritional value and quality of Greek onion landrace ‘Vatikiotiko’. Food Chem. 2016, 201, 168–176. [Google Scholar] [CrossRef] [PubMed]
- Sharma, K.; Lee, Y.R. Effect of different storage temperature on chemical composition of onion (Allium cepa L.) and its enzymes. J. Food Sci. Technol. 2016, 53, 1620–1632. [Google Scholar] [CrossRef]
- Majid, I.; Dhatt, A.S.; Sharma, S.; Nayik, G.A.; Nanda, V. Effect of sprouting on physicochemical, antioxidant and flavonoid profile of onion varieties. Int. J. Food Sci. Technol. 2016, 51, 317–324. [Google Scholar] [CrossRef]
- Sharma, K.; Ko, E.Y.; Assefa, A.D.; Ha, S.; Nile, S.H.; Lee, E.T.; Park, S.W. Temperature-dependent studies on the total phenolics, flavonoids, antioxidant activities, and sugar content in six onion varieties. J. Food Drug Anal. 2015, 23, 243–252. [Google Scholar] [CrossRef]
- Yoo, K.S.; Lee, E.J.; Patil, B.S. Changes in flavor precursors, pungency, and sugar content in short-day onion bulbs during 5-month storage at various temperatures or in controlled atmosphere. J. Food Sci. 2012, 77, 216–221. [Google Scholar] [CrossRef]
- Sharma, K.; Lee, Y.R.; Park, S.W.; Nile, S.H. Importance of growth hormones and temperature for physiological regulation of dormancy and sprouting in onions. Food Rev. Int. 2016, 32, 233–255. [Google Scholar] [CrossRef]
- Ilic, Z.; Trajkovic, R.F.; Lazic, S.; Bursic, V.; Sunjka, D. Maleic hydrazide residues in the onion bulbs induce dormancy and hamper sprouting for long periods. J. Food Agric. Environ. 2011, 9, 113–118. [Google Scholar]
- Ranganna, S. Hand Book of Analysis of Fruit and Vegetable Products; Tata Mc Graw Hill Co., Ltd.: New Delhi, India, 1992. [Google Scholar]
- Yemm, E.W.; Willis, A.J. The estimation of carbohydrates in plant extracts by anthrone. Biochem. J. 1954, 57, 508–514. [Google Scholar] [CrossRef]
- Castillo, F.J.; Penel, C.; Greppin, H. Peroxidase release induced by ozone in Sedum album leaves. Plant Physiol. 1984, 74, 846–851. [Google Scholar] [CrossRef]
- Teare Ketter, C.A.; Randle, W.M. Pungency assessment in onions. In Tested Studies for Laboratory Teaching. As-Sociation for Biology Laboratory Education; Karcher, S.J., Ed.; Association for Biology Laboratory Education: Williamsport, PA, USA, 1998; pp. 177–196. [Google Scholar]
- Biswas, S.; Khair, A.; Sarker, P.; Alom, M. Yield and storability of onion (Allium cepa L.) as affected by varying levels of irrigation. Bangladesh J. Agric. Res. 2010, 35, 247–255. [Google Scholar] [CrossRef]
- Srivastava, A.K.; Pasala, R.; Minhas, P.S.; Suprasanna, P. Plant bioregulators for sustainable agriculture: Integrating redox signalling as a possible unifying mechanism. Adv. Agron. 2016, 137, 237–278. [Google Scholar]
- Fatideh, M.M.; Asil, M.H. Onion yield, quality and storability as affected with different soil moisture and nitrogen regimes. South West. J. Hortic. Biol. Environ. 2012, 3, 145–165. [Google Scholar]
- Srividya, S.; Reddy, S.S.P.; Sudhavani, V.; Reddy, R. Effect of post-harvest chemicals on fruit physiology and shelf life of tomato under ambient conditions. Int. J. Agric. Food Sci. Technol. 2014, 5, 99–104. [Google Scholar]
- Gupta, M.K.; Sehgal, V.K.; Singh, A.K.; Singh, R.K. Effect of process parameters and storage length on quality of dried cauliflower during storage. Indian J. Tradit. Know. 2012, 11, 177–184. [Google Scholar]
- Huang, H.; Jiang, Y. Effect of plant growth regulators on banana fruit and broccoli during storage. Sci. Hortic. 2012, 145, 62–67. [Google Scholar] [CrossRef]
- Mohamed, E.; Awadi, E.; Mohamed, S.A.; Wahed, A.E. Improvement the growth and quality of green onion (Allium cepa L.) plants by some bioregulators in the new reclaimed area at Nobaria Region, Egypt. New York Sci. J. 2012, 5, 114–120. [Google Scholar]
- Chope, G.A.; Terry, L.A.; White, P.J. The effect of 1-methylcyclopropene (1-MCP) on the physical and biochemical characteristics of onion cv. SS1 bulbs during storage. Postharvest Biol. Technol. 2007, 44, 131–140. [Google Scholar] [CrossRef]
- Benkeblia, N.; Varoquaux, P.; Shiomi, N.; Sakai, H. Storage technology of onion bulbs c.v. Rouge Amposta: Effects of irradiation, maleic hydrazide and carbamate isopropyl, N-phenyl (CIP) on respiration rate and carbohydrates. Int. J. Food Sci. Technol. 2002, 37, 169–175. [Google Scholar] [CrossRef]
- Chope, G.A.; Terry, L.A.; White, P.J. The effect of the transition between controlled atmosphere and regular atmosphere storage on bulbs of onion cultivars SS1, Carlos and Renate. Postharvest Biol. Technol. 2007, 44, 228–239. [Google Scholar] [CrossRef]
- Rutherford, P.P.; Whittle, R. The carbohydrate composition of onions during long term cold storage. J. Hortic. Sci. 1982, 57, 349–356. [Google Scholar] [CrossRef]
- Patil, S.; Chillawar, R.G.; Viradia, R.R. Effect of post-harvest treatments on biochemical changes of Mango cv. Kesar fruit during storage. Biolife 2014, 2, 1262–1267. [Google Scholar]
- Kedar, J.G.; Pagarkar, A.U.; Shingare, P.E.; Bhosale, B.P.; Shinde, K.M.; Kulkarni, G.N. Effect of sodium benzoate on the shelf life of vacuum packed Catla fish steaks stored at chilled temperature. Biosci. Biotechnol. Res. Commun. 2016, 9, 421–427. [Google Scholar]
- Marschner, P. Marschner’s Mineral Nutrition of Higher Plants, 3rd ed.; Elsevier: Amsterdam, The Netherlands, 2012. [Google Scholar]
- Mani, F.; Bettaieb, T.; Zheni, K.; Doudech, N.; Hannachi, C. Effect of thiourea on yield and quality of potato (Solanum tuberosum L.). J. Stress Physiol. Biochem. 2013, 9, 87–95. [Google Scholar]
- Benkeblia, N.; Shiomi, N. Chilling effect on soluble sugars, respiration rate, total phenolics, peroxidase activity and dormancy of onion bulbs. Sci. Agric. 2004, 61, 281–285. [Google Scholar] [CrossRef]
- Kevers, C.; Falkowski, M.; Tabart, J.; Defraigne, J.-O.; Dommes, J.; Pincemail, J. Evolution of antioxidant capacity during storage of selected fruits and vegetables. J. Agric. Food Chem. 2007, 55, 8596–8603. [Google Scholar] [CrossRef]
- Santas, J.; Carbo, R.; Gordon, M.; Almajano, M. Comparison of the antioxidant activity of two Spanish onion varieties. Food Chem. 2008, 107, 1210–1216. [Google Scholar] [CrossRef]
- Hassanein, R.A.; Amin, A.A.E.; Rashad, E.M.; Ali, A. Effect of thiourea and salicylic acid on antioxidant defense of wheat plants under drought stress. Int. J. Chem. Techol. Res. 2015, 7, 346–354. [Google Scholar]
- Gallina, P.M.; Cabassi, G.; Maggioni, A.; Natalini, A.; Ferrante, A. Changes in the pyruvic acid content correlates with phenotype traits in onion clones. Aust. J. Crop Sci. 2012, 6, 36–40. [Google Scholar]






| Storage Period (T) | Growth Regulators (GRs) | Water Stress (WS) | ||||||||
|---|---|---|---|---|---|---|---|---|---|---|
| PN # | SB | TU | GA | no GRs | No Stress | Low | Medium | Severe | ||
| 0 | 11.04 | 10.54 | 10.87 | 10.67 | 10.45 | 10.15 | 10.47 | 10.88 | 11.34 | |
| 1 | 11.40 | 10.73 | 11.19 | 10.86 | 10.40 | 10.28 | 10.65 | 11.17 | 11.57 | |
| 2 | 11.51 | 10.91 | 11.28 | 10.70 | 10.07 | 10.47 | 10.68 | 11.00 | 11.39 | |
| 3 | 10.9 | 10.55 | 10.67 | 9.88 | 9.32 | 9.73 | 10.07 | 10.46 | 10.77 | |
| 4 | 9.91 | 9.85 | 9.57 | 9.02 | 8.45 | 8.84 | 9.04 | 9.57 | 9.98 | |
| 5 | 9.19 | 9.54 | 8.98 | 8.04 | 7.57 | 8.29 | 8.49 | 8.87 | 9.00 | |
| 6 | 8.19 | 9.13 | 8.79 | 7.15 | 6.69 | 7.94 | 7.99 | 8.00 | 8.02 | |
| 7 | 7.78 | 8.75 | 8.14 | 7.20 | 6.84 | 7.70 | 7.61 | 7.79 | 7.86 | |
| 8 | 7.64 | 8.76 | 7.79 | 7.40 | 6.95 | 7.97 | 7.79 | 7.51 | 7.55 | |
| 9 | 7.67 | 8.74 | 8.02 | 7.42 | 6.86 | 8.18 | 7.84 | 7.57 | 7.35 | |
| LSD (p = 0.05) | GRs | 0.28 * | T | 0.37 * | GRs × T | 0.83 * | GRs × WS × T | 1.66 ns | ||
| WS | 0.08 * | GRs × WS | 0.19 ns | WS × T | 0.74 ns | |||||
| Storage Period (T) | 0 | 1 | 2 | 3 | 4 | 5 | 6 | 7 | 8 | 9 |
|---|---|---|---|---|---|---|---|---|---|---|
| Growth regulators (GRs) | ||||||||||
| PN # | 6.30 a | 6.20 a | 6.08 a | 5.86 a | 5.43 a | 5.12 b | 4.77 b | 4.70 b | 4.87 bc | 4.89 b |
| SB | 5.76 d | 5.65 d | 5.55 d | 5.46 b | 5.33 ab | 5.32 a | 5.12 a | 5.12 a | 5.18 a | 5.20 a |
| TU | 6.15 b | 6.03 b | 5.90 b | 5.73 a | 5.23 bc | 5.02 b | 4.62 c | 4.90 b | 5.02 ab | 4.98 b |
| GA | 5.95 c | 5.76 c | 5.63 c | 5.54 b | 5.13 c | 4.82 c | 4.42 d | 4.54 bc | 4.68 cd | 4.72 c |
| No GRs | 5.50 e | 5.43 e | 5.31 e | 5.06 c | 4.67 d | 4.52 d | 4.10 e | 4.34 c | 4.49 d | 4.51 d |
| Water stress (WS) | ||||||||||
| No stress | 5.20 d | 5.06 d | 4.96 d | 4.81 d | 4.54 c | 4.40 d | 4.10 d | 4.29 c | 4.42 d | 4.43 d |
| Low | 5.50 c | 5.44 c | 5.25 c | 5.04 c | 4.66 c | 4.55 c | 4.27 c | 4.47 c | 4.62 c | 4.62 c |
| Medium | 6.10 b | 5.95 b | 5.81 b | 5.67 b | 5.19 b | 4.95 b | 4.61 b | 4.80 b | 4.95 b | 4.96 b |
| Severe | 6.90 a | 6.77 a | 6.74 a | 6.59 a | 6.26 a | 5.95 a | 5.44 a | 5.34 a | 5.42 a | 5.42 a |
| LSD (p = 0.05) | GRs | 0.19 * | GRs × WS | 0.11 * | GRs × WS × T | 0.42 ns | ||||
| WS | 0.05 * | GRs × T | 0.21 * | |||||||
| T | 0.09 * | WS × T | 0.19 * | |||||||
| Storage Period (T) | 0 | 1 | 2 | 3 | 4 | 5 | 6 | 7 | 8 | 9 |
|---|---|---|---|---|---|---|---|---|---|---|
| Growth regulators (GRs) | ||||||||||
| PN # | 33.90 a | 35.31 a | 37.22 a | 38.42 a | 37.76 a | 36.82 a | 33.27 ab | 31.65 ab | 30.63 ab | 30.20 b |
| SB | 32.64 cd | 33.38 cd | 34.88 bc | 35.83 d | 35.95 c | 35.41 b | 34.11 a | 32.74 a | 31.55 a | 31.34 a |
| TU | 33.60 ab | 34.80 ab | 36.67 a | 37.52 b | 36.79 b | 34.68 b | 32.08 b | 30.21 b | 29.68 b | 29.21 c |
| GA | 33.16 bc | 34.12 bc | 35.49 b | 36.59 c | 34.83 d | 33.56 c | 30.44 c | 28.14 c | 26.80 d | 26.10 e |
| No GRs | 32.39 d | 32.87 d | 34.17 c | 35.36 d | 34.26 d | 32.66 d | 29.60 d | 28.59 c | 28.20 c | 27.60 d |
| Water stress (WS) | ||||||||||
| No stress | 31.74 d | 32.32 d | 33.55 d | 33.91 d | 32.77 d | 32.16 d | 28.95 d | 27.29 d | 25.60 d | 25.11 d |
| Low | 32.38 c | 33.19 c | 34.59 c | 35.10 c | 34.12 c | 33.38 c | 29.89 c | 28.61 c | 27.50 c | 26.79 c |
| Medium | 33.65 b | 34.69 b | 36.41 b | 37.83 b | 37.11 b | 35.54 b | 32.93 b | 30.98 b | 30.48 b | 30.19 b |
| Severe | 34.80 a | 36.21 a | 38.22 a | 40.13 a | 39.69 a | 37.43 a | 35.81 a | 34.21 a | 33.89 a | 33.46 a |
| LSD (p = 0.05) | GRs | 0.46 * | GRs × WS | 0.52 * | GRs × WS × T | 3.36 ns | ||||
| WS | 0.23 * | GRs × T | 1.68 * | |||||||
| T | 0.75 * | WS × T | 1.50 * | |||||||
| Storage Period (T) | 0 | 1 | 2 | 3 | 4 | 5 | 6 | 7 | 8 | 9 |
|---|---|---|---|---|---|---|---|---|---|---|
| Growth regulators (GRs) | ||||||||||
| PN # | 11.01 a | 11.53 a | 11.68 a | 11.16 a | 10.45 a | 9.64 a | 9.20 b | 9.12 a | 9.02 b | 9.17 c |
| SB | 10.10 d | 10.55 b | 10.75 cd | 10.25 b | 9.92 b | 9.80 a | 9.60 a | 9.42 a | 9.58 a | 9.79 b |
| TU | 10.75 b | 11.28 a | 11.42 ab | 10.79 ab | 10.30 a | 9.25 b | 8.84 c | 8.22 b | 8.56 c | 8.56 d |
| GA | 10.42 c | 10.71 b | 11.01 bc | 10.41 b | 9.21 c | 8.51 c | 8.10 d | 8.35 b | 9.72 a | 10.36 a |
| No GRs | 10.08 d | 10.35 b | 10.32 d | 9.72 c | 8.67 d | 8.21 c | 7.37 e | 7.72 c | 8.35 c | 9.03 c |
| Water stress (WS) | ||||||||||
| No stress | 9.21 d | 9.67 a | 9.76 c | 9.16 c | 8.25 d | 7.51 d | 6.71 d | 6.62 d | 7.31 d | 7.66 d |
| Low | 9.72 c | 10.13 c | 10.12 c | 9.55 c | 8.87 c | 8.02 c | 7.57 c | 7.21 c | 7.89 c | 7.99 c |
| Medium | 10.70 b | 11.05 b | 11.22 b | 10.71 b | 9.93 b | 9.29 b | 9.06 b | 9.09 b | 9.28 b | 9.85 b |
| Severe | 12.24 a | 12.67 a | 13.05 a | 12.46 a | 11.78 a | 11.49 a | 11.13 a | 11.37 a | 11.71 a | 12.02 a |
| LSD (p = 0.05) | GRs | 0.18 * | GRs × WS | 0.24 * | GRs × WS × T | 1.27 ns | ||||
| WS | 0.11 * | GRs × T | 0.63 * | |||||||
| T | 0.28 * | WS × T | 0.57 * | |||||||
| Storage Period (T) | 0 | 1 | 2 | 3 | 4 | 5 | 6 | 7 | 8 | 9 |
|---|---|---|---|---|---|---|---|---|---|---|
| Growth regulators (GRs) | ||||||||||
| PN # | 158.20 a | 180.65 a | 198.11 a | 231.25 a | 232.81 a | 217.53 a | 203.75 a | 190.12 bc | 195.35 b | 199.09 bc |
| SB | 148.62 bc | 161.54 cd | 183.90 b | 206.63 c | 213.50 cd | 207.12 b | 199.31 a | 197.80 a | 195.48 b | 197.23 bc |
| TU | 155.42 a | 173.45 b | 192.61 a | 219.75 b | 226.55 b | 213.23 ab | 196.30 ab | 191.12 abc | 190.36 b | 195.48 c |
| GA | 152.74 ab | 165.53 c | 185.24 b | 211.16 c | 218.27 c | 198.30 c | 189.25 bc | 194.51 ab | 204.83 a | 206.70 a |
| No GRs | 144.26 c | 157.23 d | 177.71 c | 200.25 d | 209.56 d | 191.45 d | 185.38 c | 185.47 c | 202.30 a | 203.64 ab |
| Water stress (WS) | ||||||||||
| No stress | 139.83 d | 152.52 d | 160.32 d | 179.24 d | 190.85 d | 171.20 d | 172.53 d | 170.30 d | 179.74 d | 177.13 d |
| Low | 147.41 c | 159.56 c | 174.81 c | 197.70 c | 203.56 b | 190.27 c | 182.20 c | 181.56 c | 187.58 c | 191.27 c |
| Medium | 152.52 b | 171.40 b | 196.45 b | 226.80 b | 231.45 b | 219.12 b | 202.70 b | 198.20 b | 202.12 b | 206.41 b |
| Severe | 167.63 a | 187.25 a | 218.47 a | 251.50 a | 254.70 a | 241.50 a | 221.75 a | 217.12 a | 221.20 a | 226.90 a |
| LSD (p = 0.05) | GRs | 3.16 * | GRs × WS | 2.92 * | GRs × WS × T | 16.24 ns | ||||
| WS | 1.30 * | GRs × T | 8.12 * | |||||||
| T | 3.63 * | WS × T | 7.26 * | |||||||
| Storage Period (T) | 0 | 1 | 2 | 3 | 4 | 5 | 6 | 7 | 8 | 9 |
|---|---|---|---|---|---|---|---|---|---|---|
| Growth regulators (GRs) | ||||||||||
| PN # | 79.38 a | 97.45 a | 111.03 a | 104.41 a | 94.04 a | 88.44 a | 84.72 a | 82.57 a | 84.18 b | 85.07 bc |
| SB | 73.25 cd | 87.61 cd | 95.15 d | 93.11 c | 85.32 c | 83.79 ab | 80.68 b | 81.28 a | 82.42 bc | 83.24 bc |
| TU | 76.56 b | 93.53 b | 106.14 b | 100.37 b | 90.24 b | 86.69 a | 79.49 b | 80.14 ab | 80.41 c | 82.74 c |
| GA | 74.62 bc | 89.54 c | 99.48 c | 95.54 c | 86.23 c | 82.43 b | 76.59 c | 81.43 a | 86.81 a | 89.58 a |
| No GRs | 71.25 d | 84.96 d | 93.53 d | 91.22 d | 81.56 d | 77.12 c | 74.87 c | 77.57 b | 84.54 ab | 87.12 ab |
| Water stress (WS) | ||||||||||
| No stress | 69.63 d | 82.92 d | 91.84 d | 86.45 d | 78.50 d | 75.48 d | 70.56 d | 71.15 d | 73.12 d | 72.54 c |
| Low | 72.89 c | 87.40 c | 96.16 c | 92.42 c | 83.39 c | 80.12 c | 74.63 c | 76.53 c | 78.54 c | 81.33 b |
| Medium | 76.63 b | 93.64 b | 104.47 b | 101.36 b | 91.16 b | 86.45 b | 82.12 b | 83.48 b | 89.39 b | 92.83 a |
| Severe | 80.90 a | 98.51 a | 111.80 a | 107.49 a | 96.88 a | 92.71 a | 89.75 a | 91.23 a | 93.61 a | 95.48 a |
| LSD (p = 0.05) | GRs | 1.63 * | GRs × WS | 2.21 ns | GRs × WS × T | 10.20 ns | ||||
| WS | 0.99 * | GRs × T | 5.10 * | |||||||
| T | 2.28 * | WS × T | 4.56 ns | |||||||
Disclaimer/Publisher’s Note: The statements, opinions and data contained in all publications are solely those of the individual author(s) and contributor(s) and not of MDPI and/or the editor(s). MDPI and/or the editor(s) disclaim responsibility for any injury to people or property resulting from any ideas, methods, instructions or products referred to in the content. |
© 2023 by the authors. Licensee MDPI, Basel, Switzerland. This article is an open access article distributed under the terms and conditions of the Creative Commons Attribution (CC BY) license (https://creativecommons.org/licenses/by/4.0/).
Share and Cite
Wakchaure, G.C.; Khapte, P.S.; Kumar, S.; Kumar, P.S.; Sabatino, L.; Kumar, P. Exogenous Growth Regulators and Water Stress Enhance Long-Term Storage Quality Characteristics of Onion. Agronomy 2023, 13, 297. https://doi.org/10.3390/agronomy13020297
Wakchaure GC, Khapte PS, Kumar S, Kumar PS, Sabatino L, Kumar P. Exogenous Growth Regulators and Water Stress Enhance Long-Term Storage Quality Characteristics of Onion. Agronomy. 2023; 13(2):297. https://doi.org/10.3390/agronomy13020297
Chicago/Turabian StyleWakchaure, Goraksha C., Pratapsingh S. Khapte, Satish Kumar, Paramsivam Suresh Kumar, Leo Sabatino, and Pradeep Kumar. 2023. "Exogenous Growth Regulators and Water Stress Enhance Long-Term Storage Quality Characteristics of Onion" Agronomy 13, no. 2: 297. https://doi.org/10.3390/agronomy13020297
APA StyleWakchaure, G. C., Khapte, P. S., Kumar, S., Kumar, P. S., Sabatino, L., & Kumar, P. (2023). Exogenous Growth Regulators and Water Stress Enhance Long-Term Storage Quality Characteristics of Onion. Agronomy, 13(2), 297. https://doi.org/10.3390/agronomy13020297

