Next Article in Journal
Evaluation and Screening of Wild Elymus sibiricus L. Germplasm Resources under Salt Stress
Next Article in Special Issue
Environmental Impact Assessment of Rice–Wheat Rotation Considering Annual Nitrogen Application Rate
Previous Article in Journal / Special Issue
Efforts to Stimulate Morpho-Physio-Biochemical Traits of Maize for Efficient Production under Drought Stress in Tropics Field
 
 
Font Type:
Arial Georgia Verdana
Font Size:
Aa Aa Aa
Line Spacing:
Column Width:
Background:
Article

Synergy between Zeolites and Leguminous Cover Crops Improved Olive Tree Performance and Soil Properties in a Rainfed Olive Orchard

by
Sandra Martins
1,
Cátia Brito
1,2,
Ermelinda Silva
3,
Alexandre Gonçalves
3,
Margarida Arrobas
4,
Ermelinda Pereira
4,
Manuel Ângelo Rodrigues
4,
Fernando M. Nunes
5 and
Carlos M. Correia
1,2,*
1
CITAB—Centre for the Research and Technology of Agro-Environmental and Biological Sciences, University of Trás-os-Montes and Alto Douro, 5000-801 Vila Real, Portugal
2
Inov4Agro—Institute for Innovation, Capacity Building and Sustainability of Agri-Food Production, University of Trás-os-Montes and Alto Douro, 5000-801 Vila Real, Portugal
3
MORE—Collaborative Laboratory Mountains of Research, Brigantia Ecopark, 5300-358 Bragança, Portugal
4
CIMO—Centro de Investigação de Montanha, Instituto Politécnico de Bragança, 5300-253 Bragança, Portugal
5
CQ-VR—Food and Wine Chemistry Laboratory, Chemistry Research Centre—Vila Real, University of Trás-os-Montes e Alto Douro, 5000-801 Vila Real, Portugal
*
Author to whom correspondence should be addressed.
Agronomy 2023, 13(11), 2674; https://doi.org/10.3390/agronomy13112674
Submission received: 26 September 2023 / Revised: 18 October 2023 / Accepted: 23 October 2023 / Published: 25 October 2023

Abstract

:
Soil degradation and climate change are threatening the sustainability of Mediterranean olive orchards, typically grown under rainfed conditions and conventional soil tillage. Thus, implementing sustainable soil management practices is crucial to preserve soil health and mitigate the negative effects on plant performance. In this study, we assessed the effects of conventional tillage (T), an early maturing and self-reseeding annual legume cover crop (LC) and its combination with natural zeolites (ZL) on plant physiological performance, tree nutritional status, crop yield, and soil physicochemical and microbiological properties. Although both LC and ZL enhanced the photosynthetic activity, tree nutritional status, soil moisture and olive yield relative to T, ZL was clearly more efficient at improving some soil health indicators, namely at the 0–10 cm soil layer, once soil acidity decreased and Kjeldahl N, extractable P and B, cation exchange capacity and microbiological activity increased, as evidenced by the higher concentrations of easily extractable and total glomalin-related soil protein, microbial biomass carbon, microbial biomass quotient, and actinomycetes. Therefore, using natural zeolite with leguminous cover crops appears to be a promising strategy of sustainable soil management in rainfed olive orchards, as it is able to provide numerous ecosystem services.

1. Introduction

Olive tree (Olea europaea L.) is a perennial crop of enormous social and economic importance throughout the Mediterranean basin, which continues to be grown mainly in rainfed conditions [1]. Considering the expected climate change scenarios [2], the Mediterranean region appears to be one of the most climate-vulnerable regions, as it will face a substantial change in precipitation patterns and an increase in average temperatures as well as an increase in the occurrence of extreme events [3], with deleterious consequences for plant growth and photosynthetic processes [4,5]. Moreover, with the increase in temperatures during the night period, an increase in night transpiration and respiration rates and, consequently, a reduction in water use efficiency are expected [6,7]. Thus, all these changes will negatively impact agricultural production. In turn, the agriculture sector produces a substantial amount of greenhouse gas emissions, while the widespread adoption of traditional soil management practices, such as tillage, has resulted in cases of severe soil degradation [8,9]. Soil tillage is an ancestral method of mechanical weed control that leaves the soil bare and unprotected during rainfall, wind and heat events [10]. This practice, that dominates Portuguese olive rainfed orchards [1], significantly affects soil physical, chemical and biological properties [11], which inevitably contribute to the acceleration of processes such as soil erosion, depletion of nutrients and organic matter, and increases in the emission of CO2 into the atmosphere [1,12]. In this context, conservation agriculture has emerged to mitigate the negative effects of conventional soil management practices [12]. According to the Food and Agriculture Organization of the United Nations (FAO), conservation agriculture is a farming system that promotes minimal soil disturbance (i.e., no tillage) and maintenance of a permanent soil cover [13]. Thus, soil quality is considered a fundamental component of sustainable quality agriculture [14]. No-tillage systems, including cover cropping with legume species and soil amendment with natural materials, such as zeolites, are just some of the different strategies that have been studied in the recent years [15,16].
Cover cropping has been reported as an efficient way of increasing water-holding capacity, soil porosity, aggregate stability, nutrient cycling and microbial population [1,17,18]. For use in rainfed orchards, the most suitable cover crops seem to be self-reseeding and early-maturing annual legumes, since they show reduced competition for water, maintaining soil protection in autumn and at a reduced cost [1]. Legume cover crops generally provide high amounts of labile organic carbon, contributing to the abundance or diversity of bacteria and arbuscular mycorrhizal fungi (AMFs) in soil [19], which, in turn, may establish symbiotic relationships with roots, increasing nutrient and water uptake [20,21,22]. Moreover, AMFs are responsible for the production of a glycoprotein, defined as glomalin-related soil protein (GRSP) [23,24], with great importance in soil particle aggregation, enhancing carbon sequestration and reducing organic matter degradation [25]. The introduction of legume cover crops in olive orchards was already carried out by some studies that reported positive effects at the plant level, on photosynthetic performance, growth and yield [26,27], and at the soil level, on soil microbial biomass, water content, N availability, GRSP and enzyme activity [28,29]. In turn, the application of natural soil amendments plays a significant role in enhancing the long-term physicochemical properties of soil [30]. Zeolites are naturally occurring alkaline-hydrated aluminosilicates, characterized by an infinite three-dimensional structure identified by interconnected cavities [30,31,32,33]. This particular structure provides important properties such as high cation exchange capacities (CECs), water- and nutrient-holding capacities, infiltration rates, adsorption capacities and hydraulic conductivities [30,32,34,35]. Thus, for all these reasons, natural zeolites found a wide range of applications in a host of industries [31]. In agriculture, they are being considered as good soil conditioners, slow-release fertilizers and heavy metal removers [30,31,36,37]. Unlike other soil amendments, zeolite does not break down over time but remains in the soil to improve nutrient availability [35]. Their application has been reported in some studies that showed significant effects on plant morphological traits, relative water content (RWC), leaf nutrient composition, and soil water and nutrient availability in irrigated olive orchards [34,38,39].
The aim of this study is to compare the effects of conventional tillage (T) with two strategies of conservation agriculture: a legume cover crop used alone (LC) or combined with natural zeolites (ZL) in a rainfed olive orchard. The main studied variables were related to plant physiological performance, olive yield, leaf mineral composition and soil properties. As far as we know, the present study is the first reporting on the effects of the combined use of legume cover crops with natural zeolites on leaf gas exchange; tree nutritional status; crop yield; and physical, chemical and biological soil properties.

2. Materials and Methods

2.1. Site Description and Experimental Layout

The field experiment was carried out in Suçães (41°29′ N, 7°15′ W), Mirandela, in northeastern Portugal, from September 2016 to December 2019. The meteorological data recorded during the three years of harvest are shown in Figure 1. The orchard characterization, agronomic practices and experimental design have been previously described, and details can be found in Martins et al. (2023) [40]. In brief, the experimental field was divided into three adjacent experimental subplots, each including four rows 60 m in length, with one to receive conventional tillage (T), consisting of two tillage passes per year in spring using a cultivator, and two subplots with a cover crop consisting of a mixture of self-reseeding annual legume species and cultivars. Among the two subplots of cover crop, one received the application of natural zeolites (1500 kg ha−1 year−1) over the mulch (ZL), whereas the other had only the plant debris left on the soil surface (LC). The composition of the legume cover crop, as well the properties of the applied zeolites, provided by the manufacturer (ZeoCat, Barcelona, Spain), can be found in Martins et al. (2023) [40].

2.2. Field and Laboratory Determinations

All the physiological and biochemical measurements at the leaf level were performed in healthy, fully expanded and mature leaves. The leaf gas exchange measurements were taken periodically during the summer from two leaves per tree on 11 July 2017 (D1), 24 August 2017 (D2), 12 September 2017 (D3), 18 July 2018 (D4), 23 August 2018 (D5), 27 September 2018 (D6), 11 July 2019 (D7), 11 August 2019 (D8) and 21 September 2019 (D9). Leaf samples for biochemical analysis were collected once a year during the summer, on the D2, D5 and D8 dates. Fully expanded leaf samples were collected around the tree canopy and immediately frozen in liquid N2. Posteriorly, the leaf samples were stored at −80 °C until proceeding with the biochemical analyses. The leaf samples for mineral status analysis were collected during the winter resting period (January) and in summer (July) at endocarp sclerification.
Crop yield was evaluated on 6 November 2017, 27 October 2018 and 7 November 2019.
On the last year of the trial, on the same dates when the leaf gas exchange analyses were performed, soil samples for the moisture analysis of each replicate were collected at depths of 0–20 cm. Moreover, at the last crop harvest, composite soil samples of each replicate (0–10 and 10–20 cm depths), prepared from the soil of five holes, were taken in order to assess the cumulative effect of the ground cover treatments on soil properties, microbial activity and GRSP.

2.2.1. Leaf Gas Exchange

Leaf gas exchange measurements were performed using a portable IRGA (LCpro+, ADC, Hoddesdon, UK), operating in open mode. Measurements were taken on sun-exposed leaves, on cloudless days under natural irradiance, around the midday period (13.30–14.30 local time). Net photosynthetic rate (A, μmol CO2 m−2 s−1) and stomatal conductance (gs, mmol m−2 s−1) were determined following previously developed equations (von Caemmerer & Farquhar, 1981) [41], while intrinsic water use efficiency and intercellular to atmospheric CO2 concentration were calculated through the A/gs and Ci/Ca ratios, respectively.

2.2.2. Leaf Non-Structural Carbohydrates and Soluble Proteins

Total soluble sugars (TSS) were extracted according to Irigoyen (1992), by heating the leaf samples in 80% ethanol and measured at 625 nm, after the reaction with anthrone [42]. Thereafter, starch (St) was extracted by adding 30% perchloric acid to the same leaf material used for SS determination. The St concentration was determined using the anthrone method, as described for total SS. Total soluble proteins (TSPs) were determined at an absorbance of 595 nm, using the method of Bradford (1976), using bovine serum albumin (Sigma-Aldrich, St. Louis, MI, USA) as a standard [43].

2.2.3. Tree Nutritional Status and Olive Yield

Samples of the young mature leaves were collected in the four quadrants around the tree canopy, at the middle of the non-bearing current season shoots, and oven dried at 70 °C to a constant weight, to proceed to elemental composition analyses. Tissue analyses were conducted using different methods, including Kjeldahl for nitrogen (N); colorimetry for boron (B) and phosphorus (P); flame emission spectrometry for potassium (K); and atomic absorption spectrophotometry for calcium (Ca), magnesium (Mg), copper (Cu), iron (Fe), zinc (Zn) and manganese (Mn) [44].
Olive trees were harvested using a trunk shaker with an inverted umbrella. The yield from each individual tree was weighed.

2.2.4. Soil Properties

After soil collection, a large part of each sample was air dried and thereafter sieved to pass through a grid of 2 mm. The remaining part of the soil samples was frozen until use in the soil microbiology and microbial activity assays. The following were analyzed from the dried and sieved soil samples: (1) pH (H2O) using the potentiometry method; (2) total organic C (TOC) using the dry combustion method; (3) Kjeldahl N; (4) exchangeable cations using ammonium acetate (pH 7.0); (5) extractable Fe, Mn, Zn and Cu, using ammonium acetate and EDTA and determined with atomic absorption spectrometry; (6) extractable B using a hot water and azomethine-H procedure; and (7) extractable P and K via the Egner–Riehm method using ammonium lactate solution (pH 3.7). Methods 1–6 were fully described by Van Reeuwijk (2002) [45], and Method 7 was described by Balbino (1968) [46]. The soil moisture content was measured using the gravimetric method, based on soil oven-drying (105 °C) [45].
For the analysis of easily extractable GRSP (EE-GRSP) and total GRSP (T-GRSP), air-dried and sieved soil samples were analyzed according to Wright and Updahyaya, with some modifications [47]. EE-GRSP and T-GRSP were determined at 595 nm, using 20 mM citrate (pH 7.0) and 50 mM citrate (pH 8.0), respectively.

2.2.5. Soil Microbial Biomass and Diversity

Soil microbial biomass C (Mic-C) was determined on fresh soil samples, after 24 h of conditioning at 25 °C and 60% water holding capacity using the chloroform fumigation–extraction method [48]. Organic C was assessed with near infrared detection (NIRD) after combustion in an elemental analyzer (Formac, Skalar) at 850 °C. The Mic-C was calculated using a KEC factor of 0.33 [48]. The results are expressed on an oven-dried (105 °C) weight basis. The microbial biomass quotient (MBQ) was calculated as a Mic-C/TOC ratio.
The determination of the total counts of aerobic heterotrophic bacteria, total fungi, and actinomycete populations in the soil samples was carried out using the plate count method. Ten grams of the soil sample was homogenized in 90 mL of sterile water. After performing serial decimal dilutions, 0.1 mL aliquots were inoculated onto a plate count agar (PCA, Liofilchem, Roseto degli Abruzzi, Italy) supplemented with cycloheximide for quantification of the heterotrophic bacteria after incubation at 30 °C for 2 days and onto a Rose Bengal Agar (RBA, Liofilchem, Italy) for fungal enumeration after incubation at 25 °C for 5 days. For the isolation of actinomycetes from the soils, a DifcoTM actinomycete isolation agar medium was used, supplemented with cycloheximide (100 μg mL−1) and nalidixic acid (10 μg mL−1) to minimize the growth of fungi and bacteria, respectively. After incubation at 30 °C for 4 to 10 day, the colonies were counted as colony forming units (cfu). The results were expressed as a mean of log cfu g−1 of dry soil of three replicates.

2.3. Statistical Analysis

Statistically significant differences between means were determined through one-way analysis of variance (ANOVA) followed by Tukey’s honest significant difference (HSD) post hoc test at a 5% significance level). These analyses were conducted using the statistical software program SPSS for Windows (v. 23).

3. Results

3.1. Leaf Gas Exchange

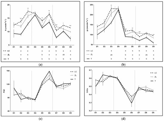
Figure 2 shows the influence of soil treatments on leaf gas exchange variables over the experimental sampling period. In general, both LC and ZL treatments enhanced A and gs in comparison to T plants. However, an exception was verified at D5, once ZL plants registered a lower A and gs, compared to LC. This drop was followed by a quick recovery in September, with a rise in A and gs. Subsequently, at D7, ZL plants presented higher A and gs. The A/gs and Ci/Ca ratios were not statistically affected by the treatments.

3.2. Non-Structural Carbohydrates and Soluble Proteins

Table 1 shows the results of non-structural carbohydrates and total soluble proteins in the leaves of the implemented soil treatments. In general, both LC and ZL led to lower SS and higher SP concentrations than on the T treatment, respectively. On the other hand, the St concentration was only significantly affected in 2018, being highest under tillage.

3.3. Tree Nutritional Status and Olive Yield

The concentrations of minerals in the leaves during the experiment are presented in Figure 3. Overall, the values fluctuated greatly between sampling dates but without a coherent trend between treatments, where the K, Ca, Mg and B concentrations appeared especially close to or below the lower limit of the sufficiency range. Regarding the influence of treatments, significant differences for all eight analyzed minerals were checked at least in one of the six dates of samplings, but the lower concentrations of Ca and Mn during two dates and, in general, the inferior Mg concentration in the leaves of trees under tillage, namely when compared with ZL treatment, deserve to be highlighted. Nevertheless, T trees presented lower leaf P and Mn concentrations than those on the other treatments in January 2019 and in all three resting periods and higher Fe levels in July 2017. On the other hand, the application of zeolites combined with cover crops contributed to enhanced leaf Ca concentration in July 2017, Mg in July 2018 and January 2019, and B in July 2018 relative to annual legumes alone, whereas Fe decreased in July 2017, and the Mn levels presented an opposite trend, with the lowest value in July 2017 and the highest in July 2018.
Relative to the crop yield (Figure 4), the accumulated olive yield was significantly higher in ZL and LC than on the T treatment, averaging 36.6% and 34.4%, respectively, mainly due to the contributions of the olive yields of 2017 and 2018.

3.4. Soil Properties

Three years of different ground management systems produced significant differences in soil properties (Table 2 and Table 3, Figure 5), particularly under the combination of annual legumes with zeolites. In general, the application of zeolites increased pH, Kjeldahl N, extractable P and B, and the concentrations of total and easily extractable glomalin-related soil proteins at both depths of 0–10 cm and 10–20 cm relative to other treatments (Table 3). Conversely, close to the soil surface (0–10 cm), the concentration of extractable Mn was lowest in the ZL treatment, while extractable Cu concentration was inferior in ZL than on LC soil. Furthermore, extractable Zn and Mn reached the highest levels in LC soil at the 0–10 cm and 10–20 cm layers, respectively. Concerning the cation exchange properties (Table 4), statistically significative differences were observed at the 0–10 cm soil layer. ZL treatment presented superior CEC, due to the contributions of the Ca2+ and Mg2+ ions and lower exchangeable acidity and, thus, exchangeable acidity. On the other hand, both cover crops showed higher soil moisture levels than T treatment (Figure 5).

3.5. Soil Microbial Biomass and Diversity

The soil microbial biomass carbon, microbial quotient and microbial diversity changed based on the influence of the soil treatments on the 0–10 cm soil layer (Table 4). Mic-C, MPQ and the abundance of the actinomycete population were significantly higher in ZL-treated soils, while no significant effects of the soil management system were visible in the soil bacteria and fungi populations.

4. Discussion

In this study, carried out under rainfed conditions, we demonstrated positive effects of self-reseeding cover crops on olive yield relative to conventional tillage. This was verified by the enhancement in the physiological and biochemical status of the trees, mainly associated with the alleviation of water stress during the critical summer period, and, to a lesser extent, the tendency to have a better mineral nutrient status for the trees. Although the application of zeolites over the cover crops did not improve the physiology and the productive capacity of olive trees when compared to using only cover crops, there was an interesting improvement in the soil physical, chemical and biological properties, responses that can be very positive in the medium and long terms. Several studies have found that conservation agriculture practices, such as no-tillage systems, have a good long-term impact on the soil quality of olive orchards. Particularly, the implementation of these practices has been associated with improvements in soil physical, chemical and biological properties, such as water infiltration, macroporosity, organic carbon, nitrogen and microbial biomass [50,51,52].

4.1. Self-Reseeding Cover Crops Ameliorated Olive Tree Physiology and Crop Yield

Olive yield increased from the conventional tillage system to the use of an early maturing and self-reseeding cover crop, alone or combined with the application of zeolites at the soil surface. Similar positive effects of cover crops on crop yield were reported previously [29,53], although neutral and negative effects were also verified in orchard and vineyard studies [54,55,56]. Differences in climate conditions, soil characteristics, age of main crop, cover crop type, and the respective degree of cover and management system, namely the mowing date and the width of the strip occupied by the cover crop, can explain that the impacts varied from significant, positively or negatively, to insignificant. In this study, the positive effects on yield may be explained by the following reasons. Firstly, the cover crop species presented an asynchronous biological cycle relative to olive trees, since the legumes have almost concluded their cycle when the biological activity of olive trees come back. This very short growing period of annual legumes minimize the competition for water and nutrients, highlighting the appropriate selection of cover crops for maximum benefits [1]. At the same time, the early senescence of legume species and the deposition of their residues, combined with the precipitation events in spring, allowed for the beginning of the decomposition process and, thus, nutrient absorption by the olive trees. On the other hand, the sown legumes had good establishment and adequate growth, as demonstrated by a mean ground cover and a biomass production of 91% in all orchard areas and 3.9 t ha−1, respectively, aspects that are of high relevance. In fact, cover crops with significant biomass have positive effects on the control of water erosion, protecting from the impact of rainfall and reducing water speed and runoff; as well on the soil physical and hydraulic properties of the soil explored by roots such as bulk density, total porosity and microporosity, water infiltration, water-holding capacity, hydraulic conductivity, etc. [57,58,59]; and on soil water evaporation due to the mulch plant residues that also reduce soil temperature, contributing to increased water availability, usually the more limiting factor for yield in Mediterranean agroecosystems. Conversely, among other consequences, tillage increases the disruption of soil aggregates and decreases soil macroporosity, which are critical for root penetration, water movement and gas diffusion, as well reduces the infiltration rate due to soil crusting [54], thereby creating more water and nutritional constraints for trees. Thus, all these aspects may explain the higher soil water content verified in cover crops treatments during the critical drought summer months.
The positive effects of cover crops on soil water content during the summer months have an important role in adequate tree physiological activity and, thus, in growth and crop yield. Self-reseeding annual legumes induced higher CO2 assimilation rates of olive trees, with these responses being associated with lower stomatal and mesophyllic limitations, as evidenced by the association with the other leaf gas exchange (gs, A/gs, Ci/Ca) data. An improvement in the net photosynthesis of olive trees due to cover crops was reported earlier [26,27]. It is important to highlight that prolonged increases in net photosynthetic rates can promote vegetative growth and olive yield. On the other hand, the cover-crop-induced crop yield enhancement was also associated with a greater assimilation area, judged based on a superior tree canopy volume, meaning a larger solar radiation interception capacity. In fact, mean canopy volume in the last year of the experiment increased from 21.8 m3 tree−1 under tillage to 26.4 m3 tree−1 and 25.9 m3 tree−1 in the ZL and LC treatments, respectively. Interestingly, despite the bigger canopy volume of olive trees grown under the influence of cover crops, these trees showed lower stomatal resistance than T plants, which may indicate a more favorable plant water status, especially under mild to moderate drought stress conditions [60], in line with the soil moisture levels.
Although we believe that water availability was the most decisive factor for physiological and yield crop results, we may consider that some changes in the nutritional status of trees under tillage were also responsible for those responses, including the lower levels of leaf P; Mn; and, especially, Ca and Mg in some sampling dates. Since inferior nutrient uptake and lower mineral concentrations commonly occur in response to low water availability [61,62] and considering the acidic nature of the soil of this study (pHH2O of 5.1), problems would be expected for trees’ nutrition, despite the good adaptation of this olive cultivar to those stresses [63]. The levels of Ca (4.75–9.51 g kg−1) and Mg (0.680–2.19 g kg−1) obtained in the present study were generally lower when compared with their respective sufficiency ranges [64]. As these nutrients have a vital role in plant growth, an increase in their concentrations, even if small, may assume some relevance. Considering the higher crop yield and tree growth in cover crops plots, the higher leaf Ca and Mg concentrations suggest that no dilution effect was verified, which may indicate a selective uptake and/or translocation of these minerals, probably related with the regulation of mineral nutrient transporters. Beyond this aspect, other reasons can be pointed out, such as the higher soil moisture and transpiration rates of LC and ZL plants, which accelerate the bulk flow of these nutrients through the soil to the roots and probably the positive impact of cover crops on mycorrhizal fungi. In fact, several studies have demonstrated that cover crops, including leguminous species, enhanced root colonization from different types of mycorrhizal fungi [64,65,66,67,68], and the role of mycorrhizas and root exudates in plant uptake of the metals Ca and Mg as well, demonstrated in the review by Sardans and colleagues [69]. In addition, the fact that Ca and Mg are constituents of zeolite structure [70] can also explain the differences found relative to tillage treatment. On the other hand, the particular properties of zeolites, such as high ion exchange capacity and its negative charge, as a consequence of the isomorphic substitutions of Si4+ by Al3+ [71,72], may also have exerted a favorable influence on Ca and Mg supply. Then, we highlight the role of Ca and Mg in plant function. Calcium has an important mission for cell wall and membrane stability but also serves as a messenger in several developmental processes, including the response of plants against stress conditions [73]. According to Wang et al. (2019) [74], Ca plays a crucial role in several photosynthetic processes. Calcium regulates photosynthesis-correlated proteins and participates in the control of stomatal and chloroplast movements, photochemical reactions and activities of enzymes engaged in carbon assimilation, assuming also a mission in photoprotection. Additionally, Ridolfi and colleagues [75] pointed out the influence of Ca in stomatal aperture during the nighttime and in the transition from dark to daytime, aspects that affect water use efficiency due to the disruption of the plant’s water and C balance. On the other hand, as described by Farhat et al. (2016) [76], Mg is an essential macronutrient that assumes a critical function in chlorophyll synthesis, electron transport rate, the structure and photochemical activities of photosystems, and the regulation of ribulose-1,5-bisphosphate carboxylase/oxygenase activity. It also acts as an important enzymatic cofactor and is involved in carbohydrate transport from source-to-sink organs [77].
As photosynthesis decreased under tillage system, as reported before, an excess of reducing power is frequently generated and, thus, over-reduction of the photosynthetic electron chain may result in the generation of reactive oxygen species (ROS) that can cause oxidative damage [78]. In fact, the leaves from T trees revealed higher signs of oxidative stress, as confirmed by the reduction in total soluble proteins concentrations [79], meaning that the antioxidative system and cellular redox balance are more susceptible to disruption under tillage. On the other hand, tillage-treated plants presented superior concentrations of TSS in the leaves during summer stress, in spite of a lower A. This suggests a need for investments into defense mechanisms, as TSS contributes to osmotic adjustment, maintaining turgor and meristems viability. Moreover, they are also involved in the detoxification of ROS and the stabilization of cellular macromolecules structures, being also the primary source of carbohydrates for regrowth after stress [80,81]. Furthermore, the higher St concentration of leaves under tillage in association with the lowest net photosynthesis, as already verified in olive tree [63], suggests that carbon was not translocated out of the leaves because these plants were sink-limited, acting as a short-term reserve or buffer against changes in environmental conditions.

4.2. Major Changes in Soil Physical, Chemical and Biological Properties Were Induced by Zeolites over Legume Cover Crops

The application of zeolites over self-reseeding annual legumes did not produce significant effects on olive trees when compared to single cover crop soil management. In fact, the values of the variables related to leaf gas exchange, tree canopy volume, crop yield, and the concentration of non-structural carbohydrates and soluble proteins are of the same order of magnitude in both treatments. The absence of significant effects on the plants due to the application of zeolites was also observed in other studies [82,83,84], although positive effects were often recorded (see some reviews [30,85,86]). We believe that the absence of differences between these treatments was governed, in large part, by the lack of effects on water relations, as demonstrated by similar values of soil water content and stomatal conductance, which highlights water availability as the major relevant factor for plant growth under rainfed conditions.
The indicators of studied plant biology that showed significant differences between the two cover crop treatments were only the concentration of minerals in the leaves in some sampling periods. Occasionally, as presented before, at most, at two of the six sampling dates, there were higher leaf concentrations of Ca, Mg and B and lower levels of Fe and Mn levels in the ZL-treated plants. However, these nutritional changes were not sufficient to modify photosynthetic activity, the source–sink relationships, the oxidative stress indicators, plant growth and crop yield relative to LC trees. Thus, no concentration/dilution effect was observed for those leaf mineral concentrations, as in a previous study [82]. A nutrient concentration/dilution effect is a common phenomenon that occurs when a factor other than the availability of a nutrient in the soil causes some change in plant biomass. Otherwise, those changes in leaf minerals appear to be the result of effects caused by the soil characteristics.
Most soil properties were significantly influenced by combining cover crops with zeolites. As in earlier numerous studies [87,88,89], the addition of zeolites resulted in an increase in soil pH, up to 0.60–0.77 units in the top 20 cm, because zeolites are marginally alkaline. In addition, we can speculate that zeolites decreased mineralization and nitrification, in a balanced acidifying process [90] and, at the same time, lowered the N, P and B losses, aspects that agree with the higher Kjeldahl N and extractable P and B values. Zeolites present high specific selectivity to ammonium (NH4+) that helps in holding this ion during volatilization and their small internal channels protect NH4+ from rapid nitrification by microbes [91]. On the other hand, being alkaline in nature and negatively charged, zeolite ameliorated the soil P availability by lowering the soil acidity and soil exchangeable Al, which help in P be less fixated by metal oxyhydroxides [30]. Moreover, as pointed out by Doni and colleagues [92], the increase in soil P could be related to the adsorption of the negatively charged phosphate ions on the natural zeolite through electrostatic attraction forces with the co-adsorbed cations (Na+, Ca2+, K+ and Mg2+). Furthermore, the B concentration in the soil increased after increasing the amount and decreasing the particle size of clinoptilolite zeolite due to the lower boron leaching from the soil [93].
Another interesting result of this study was the significant increase in soil CEC in the most superficial layer (0–10 cm) in the ZL relatively to the LC treatment. Similar responses to the application of zeolites were described previously [84,94]. Although no short-term benefits for plants were recorded, CEC is an important soil property, as it helps to regulate the retention of important cations such as NH4+, Ca2+, Mg2+ and K+ in the soil [90]. In addition, soils with higher CEC are better able to buffer or avoid rapid changes in soil solution levels of these nutrients by replacing them as the solution become depleted. Generally, the inherent fertility and long-term productivity of a soil are greatly influenced by its CEC [95]. Meanwhile, due to the influence on pH and CEC, zeolites reduced the concentration of extractable heavy metals, such as Zn and Cu in the 0–10 cm soil layer and Mn in both 0–10 cm and 10–20 cm layers, thus contributing to lowering their potential toxicity. A high affinity of natural zeolites to heavy metals was reported in other studies [96,97,98]. As, in some olive-growing regions, the use of copper has become a common practice, resulting in high soil Cu levels, the use of zeolites can mitigate this pollution by adsorbing Cu+ ions and storing them in its structure.
The effects of zeolites on soil biological properties, mainly in the upper soil layer (0–10 cm), are remarkable, as demonstrated by the increases in Mic-C, microbial quotient, actinomycete population and concentrations of GRSP. The addition of zeolites increased the microbial biomass, as in a previous study [99]. Mic-C is one of the most promising indicators of soil quality because it responds promptly to environmental changes, often much earlier than physical and chemical parameters, including TOC, playing a major role in soil sustainability and crop productivity through nutrient cycling, including N2 fixation and mycorrhizal phosphate foraging or microbial phosphate solubilization and waste assimilation [100]. Higher Mic-C and microbial quotients indicate higher microbial C immobilization and the presence of more active carbon pools [101] due to the application of zeolites. On the other hand, the larger actinomycete population is particularly interesting as actinomycetes play major roles, as listed by Bhatti et al. (2017) [102], in the cycling of organic matter, the inhibition of the growth of several plant pathogens in the rhizosphere, the production of many extracellular enzymes which are conductive to crop production, the degradation of high molecular weight compounds like hydrocarbons in polluted soils, the improvement in the availability of minerals, the enhancement of the production of metabolites and the promotion of plant growth regulators. Therefore, actinomycetes present potential use as microbiological inoculants and biodefensives for more productive and conscious agriculture [103]. Furthermore, the higher values of GRSP, which are a product of mycorrhizal fungi [104], have also seen major interest as GRSP improves soil physical properties, including the stability of aggregates and soil porosity, carbon sequestration, nutrient contents, microbial activities and pollutant stabilization [105,106]. Despite these promising results, long-term field experiments are still required to monitor the impact of combination of cover crops with natural zeolites on olive orchards performance, soil properties and microbial processes.

5. Conclusions

This study provides a comprehensive analysis of the impacts of different soil management systems on olive tree performance and soil quality from three consecutive years. Both the LC and ZL treatments enhanced photosynthetic activity, tree nutritional status, soil moisture during the summer and crop yield relative to conventional tillage. However, the innovative strategy of combining natural zeolites with leguminous cover crops was clearly more efficient as it improved some soil health indicators relative to the cover crops alone, namely at the 0–10 cm soil layer, once soil acidity decreased and Kjeldahl N, extractable P and B, the cation exchange capacity and the microbiological activity increased, as evidenced by the higher concentrations of easily extractable and total glomalin-related soil protein, microbial biomass carbon, microbial biomass quotient, and actinomycetes.
Inappropriate land uses, such as the use of a conventional tillage system, causes permanent soil degradation and productivity losses. Thus, the improvement in soil physical, chemical and biological properties through sustainable soil management is crucial to cope with the emerging climate change threats. As far as we know, this is the first study reporting the effects of the combined use of legume cover crops with natural zeolites on leaf gas exchange; tree nutritional status; crop yield; and physical, chemical and biological soil properties. Considering the obtained results, this practice appears to be a promising strategy of sustainable soil management to implement in rainfed olive orchards, as it is able to provide numerous ecosystem services and simultaneously might help these agrosystems become more resilient to climate change. Despite the promising results, it is imperative to assess the long-term impact on crop performance and soil quality.

Author Contributions

Conceptualization, S.M., M.Â.R. and C.M.C.; methodology, S.M., C.B., E.S., A.G., M.A., E.P., M.Â.R., F.M.N. and C.M.C.; software, C.M.C.; formal analysis, S.M.; investigation, S.M., M.Â.R., F.M.N. and C.M.C.; data curation, S.M.; writing—original draft preparation, S.M.; writing—review and editing, M.Â.R. and F.M.N.; supervision, C.M.C., F.M.N. and A.G.; project administration, C.M.C., F.M.N. and M.Â.R.; funding acquisition, S.M., F.M.N., M.Â.R. and C.M.C. All authors have read and agreed to the published version of the manuscript.

Funding

This research was funded by a doctoral fellowship under the Doctoral Program “Agricultural Production Chains—from fork to farm” (PD/00122/2012) provided by the FCT-Portuguese Foundation for Science and Technology to S. Martins (PD/BD/135327/2017) and by the Operational Group “Novas práticas em olivais de sequeiro: estratégias de mitigação e adaptação às alterações climáticas”, funded by PT2020 and European Agricultural Fund for Rural Development (EAFRD). The authors are grateful to the Foundation for Science and Technology (FCT, Portugal) and FEDER under Program PT2020 for their financial support to CQ-VR (UIDB/00616/2020), CIMO (UIDB/00690/2020) and CITAB (UIDB/04033/2020) and also to the AgriFood XXI Project, No. NORTE-01-0145-FEDER-000041, co-financed by the European Regional Development Fund (ERDF) through the North Regional Operational (NORTE) Program 2014–2020.

Data Availability Statement

The data presented in this study are available from the corresponding author upon request.

Conflicts of Interest

The authors declare no conflict of interest.

References

  1. Rodrigues, M.Â.; Raimundo, S.; Arrobas, M. Cover Cropping in Rainfed Fruticulture. World J. Agric. Soil Sci. 2019, 1, 1–3. [Google Scholar] [CrossRef]
  2. Hoegh-Guldberg, O.; Jacob, D.; Taylor, M.; Bindi, M.; Brown, S.; Camilloni, I.; Diedhiou, A.; Djalante, R.; Ebi, K.L.; Engelbrecht, F.; et al. Impacts of 1.5 °C Global Warming on Natural and Human Systems. In Global Warming of 1.5 °C; Masson-Delmotte, V., Zhai, P., Pörtner, H.-O., Roberts, D., Skea, J., Shukla, P.R., Pirani, A., Moufouma-Okia, W., Péan, C., Pidcock, R., et al., Eds.; IPCC: Geneva, Switzerland, 2018. [Google Scholar]
  3. IPCC. Climate Change 2021. The Physical Science Basis. Summary for Policymakers; Contribution to the Sixth Assessment Report of the Intergovernmental Panel on Climate Change; Masson-Delmotte, V., Zhai, P., Pirani, A., Connors, S.L., Péan, C., Berger, S., Caud, N., Chen, Y., Goldfarb, L., Gomis, M.I., et al., Eds.; IPCC: Geneva, Switzerland, 2021; p. 40. [Google Scholar]
  4. Ozdemir, Y. Effects of Climate change on olive cultivation and table olive and olive oil quality. Sci. Pap. Ser. B Hortic. 2016, LX, 65–69. [Google Scholar]
  5. Nearing, M.; Pruski, F.; O’Neal, M.R. Expected climate change impacts on soil erosion rates: A review. JSWC 2004, 59, 43–50. [Google Scholar]
  6. Coupel-Ledru, A.; Lebon, E.; Christophe, A.; Gallo, A.; Gago, P.; Pantin, F.; Doligez, A.; Simonneau, T. Reduced nighttime transpiration is a relevant breeding target for high water-use efficiency in grapevine. Proc. Natl. Acad. Sci. USA 2016, 113, 8963–8968. [Google Scholar] [CrossRef]
  7. Mi, N.; Zhang, Y.S.; Ji, R.P.; Cai, F.; Zhang, S.J.; Zhao, X.L. Effects of climate change on water use efficiency in rain-fed plants. Int. J. Plant Prod. 2012, 6, 513–534. [Google Scholar]
  8. Lal, R. Restoring Soil Quality to Mitigate Soil Degradation. Sustainability 2015, 7, 5875–5895. [Google Scholar] [CrossRef]
  9. Olesen, J.; Bindi, M. Consequences of climate change for European agricultural productivity, land use and policy. Eur. J. Agron. 2002, 16, 239–262. [Google Scholar] [CrossRef]
  10. Krauss, M.; Berner, A.; Perrochet, F.; Frei, R.; Niggli, U.; Mäder, P. Enhanced soil quality with reduced tillage and solid manures in organic farming—A synthesis of 15 years. Sci. Rep. 2020, 10, 4403. [Google Scholar] [CrossRef]
  11. Busari, M.A.; Kukal, S.S.; Kaur, A.; Bhatt, R.; Dulazi, A.A. Conservation tillage impacts on soil, crop and the environment. Int. Soil Water Conserv. Res. 2015, 3, 119–129. [Google Scholar] [CrossRef]
  12. Li, Y.; Chang, S.X.; Tian, L.; Zhang, Q. Conservation agriculture practices increase soil microbial biomass carbon and nitrogen in agricultural soils: A global meta-analysis. Soil Biol. Biochem. 2018, 121, 50–58. [Google Scholar] [CrossRef]
  13. Conservation Agriculture. Available online: http://www.fao.org/conservation-agriculture/en/ (accessed on 25 September 2023).
  14. Carter, M.R. Soil Quality for Sustainable Land Management. J. Agron. 2002, 94, 38–47. [Google Scholar]
  15. Carrera, L.M.; Buyer, J.S.; Vinyard, B.; Abdul-Baki, A.A.; Sikora, L.J.; Teasdale, J.R. Effects of cover crops, compost, and manure amendments on soil microbial community structure in tomato production systems. App. Soil Ecol. 2007, 37, 247–255. [Google Scholar] [CrossRef]
  16. Henriksen, C.B.; Hussey, K.; Holm, P.E. Exploiting soil-management strategies for climate mitigation in the European Union: Maximizing “win–win” solutions across policy regimes. Ecol. Soc. 2011, 16, 17. [Google Scholar] [CrossRef]
  17. Drinkwater, L.; Snapp, S. Nutrients in Agroecosystems: Rethinking the Management Paradigm. Adv. Agron. 2007, 92, 163–186. [Google Scholar]
  18. Haruna, S.I.; Nkongolo, N.V. Cover Crop Management Effects on Soil Physical and Biological Properties. Procedia Environ. Sci. 2015, 29, 13–14. [Google Scholar] [CrossRef]
  19. Wortman, S.E.; Drijber, R.A.; Francis, C.A.; Lindquist, J.L. Arable weeds, cover crops, and tillage drive soil microbial community composition in organic cropping systems. Appl. Soil Ecol. 2013, 72, 232–241. [Google Scholar] [CrossRef]
  20. Campiglia, E.; Mancinelli, R.; Di Felice, V.; Radicetti, E. Long-term residual effects of the management of cover crop biomass on soil nitrogen and yield of endive (Cichorium endivia L.) and savoy cabbage (Brassica oleracea var. sabauda). Soil Tillage Res. 2014, 139, 1–7. [Google Scholar] [CrossRef]
  21. Sarrantonio, M.; Gallandt, E. The Role of Cover Crops in North American Cropping Systems. J. Crop Prod. 2003, 8, 53–74. [Google Scholar] [CrossRef]
  22. Halde, C.; Entz, M.H. Plant species and mulch application rate affected decomposition of cover crop mulches used in organic rotational no-till systems. Can. J. Plant Sci. 2016, 96, 59–71. [Google Scholar] [CrossRef]
  23. Yang, Y.; He, C.; Huang, L.; Ban, Y.; Tang, M. The effects of arbuscular mycorrhizal fungi on glomalin-related soil protein distribution, aggregate stability and their relationships with soil properties at different soil depths in lead-zinc contaminated area. PLoS ONE 2017, 12, e0182264. [Google Scholar] [CrossRef]
  24. Singh, P.K.; Singh, M.; Tripathi, B.N. Glomalin: An arbuscular mycorrhizal fungal soil protein. Protoplasma 2013, 250, 663–669. [Google Scholar] [CrossRef] [PubMed]
  25. Schindler, F.V.; Mercer, E.J.; Rice, J.A. Chemical characteristics of glomalin-related soil protein (GRSP) extracted from soils of varying organic matter content. Soil Biol. Biochem. 2007, 39, 320–329. [Google Scholar] [CrossRef]
  26. Correia, C.; Brito, C.; Fernandes-Silva, A.; Bacelar, E.; Gonçalves, B.; Ferreira, H.; Moutinho Pereira, J.; Rodrigues, M. Sustainable management of olive rainfed orchards by the introduction of leguminous cover crops. Ecology 2013, 7, 146–156. [Google Scholar]
  27. Chehab, H.; Tekaya, M.; Gouiaa, M.; Mahjoub, Z.; Laamari, S.; Sfina, H.; Chihaoui, B.; Boujnah, D.; Mechri, B. The use of legume and grass cover crops induced changes in ion accumulation, growth and physiological performance of young olive trees irrigated with high-salinity water. Sci. Hortic. 2018, 232, 170–174. [Google Scholar] [CrossRef]
  28. Balota, E.L.; Calegari, A.; Nakatani, A.S.; Coyne, M.S. Benefits of winter cover crops and no-tillage for microbial parameters in a Brazilian Oxisol: A long-term study. Agric. Ecosyst. Environ. 2014, 197, 31–40. [Google Scholar] [CrossRef]
  29. Rodrigues, M.Â.; Dimande, P.; Pereira, E.L.; Ferreira, I.Q.; Freitas, S.; Correia, C.M.; Moutinho-Pereira, J.; Arrobas, M. Early-maturing annual legumes: An option for cover cropping in rainfed olive orchards. Nutr. Cycl. Agroecosyst. 2015, 103, 153–166. [Google Scholar] [CrossRef]
  30. Mondal, M.; Biswas, B.; Garai, S.; Sarkar, S.; Banerjee, H.; Brahmachari, K.; Bandyopadhyay, P.K.; Maitra, S.; Brestic, M.; Skalicky, M.; et al. Zeolites Enhance Soil Health, Crop Productivity and Environmental Safety. Agronomy 2021, 11, 448. [Google Scholar] [CrossRef]
  31. Nakhli, S.A.A.; Delkash, M.; Bakhshayesh, B.E.; Kazemian, H. Application of Zeolites for Sustainable Agriculture: A Review on Water and Nutrient Retention. Water Air Soil Pollut. 2017, 228, 464. [Google Scholar] [CrossRef]
  32. Jha, B.; Singh, D. Basics of Zeolites In Fly Ash Zeolites; Springer: Berlin/Heidelberg, Germany, 2016; pp. 5–31. [Google Scholar]
  33. Belviso, C. Zeolite for Potential Toxic Metal Uptake from Contaminated Soil: A Brief Review. Processes 2020, 8, 820. [Google Scholar] [CrossRef]
  34. Perez-Caballero, R.; Benitez, J.G.C.; Gonzalez, J. The Effect of Adding Zeolite to Soils in Order to Improve the N-K Nutrition of Olive Trees. Preliminary Results. Am. J. Agric. Biol. Sci. 2008, 2, 321–324. [Google Scholar]
  35. Dubey, A.; Mailapalli, D.R. Zeolite coated urea fertilizer using different binders: Fabrication, material properties and nitrogen release studies. Environ. Technol. Innov. 2019, 16, 1–15. [Google Scholar] [CrossRef]
  36. Jakkula, V.; Wani, S. Zeolites: Potential soil amendments for improving nutrient and water use efficiency and agriculture productivity. Sci. Rev. Chem. Commun. 2018, 8, 119. [Google Scholar]
  37. Ge, M.; Zhou, H.; Vaidheeswaran, A.; Rogers, W.; Fan, D.; Li, C. Multi-scale experimental investigation on the fluidization of Geldart B 13X zeolite particles: A comprehensive dataset for CFD validation. J. Chem. Eng. 2023, 471, 144724. [Google Scholar] [CrossRef]
  38. Al-tabbal, J.; Al-Mefleh, N.; Alzboon, K.; Tadros, M. Effects of Volcanic Zeolite Tuff on Olive (Olea Europaea L.) Growth and Soil Chemistry under a Constant Water Level: Five Years’ Monitoring Experience. Environ. Nat. Resour. J. 2020, 18, 44–54. [Google Scholar] [CrossRef]
  39. Domenico, P. Zeolites and Effective microorganisms for the qualitative improvement of olive trees. Atti Soc. Toscana Sci. Nat. 2017. Available online: https://www.researchgate.net/publication/312554383_Zeolites_and_Effective_microorganisms_for_the_qualitative_improvement_of_olive_trees (accessed on 25 September 2023).
  40. Martins, S.; Silva, E.; Brito, C.; Pinto, L.; Martins-Gomes, C.; Gonçalves, A.; Arrobas, M.; Rodrigues, M.Â.; Correia, C.M.; Nunes, F.M. Combining Zeolites with Early-Maturing Annual Legume Cover Crops in Rainfed Orchards: Effects on Yield, Fatty Acid Composition and Polyphenolic Profile of Olives and Olive Oil. Molecules 2023, 28, 2545. [Google Scholar] [CrossRef]
  41. von Caemmerer, S.; Farquhar, G.D. Some relationships between the biochemistry of photosynthesis and the gas exchange of leaves. Planta 1981, 153, 376–387. [Google Scholar] [CrossRef]
  42. Irigoyen, J.J.; Einerich, D.W.; Sánchez-Díaz, M. Water stress induced changes in concentrations of proline and total soluble sugars in nodulated alfalfa (Medicago sativd) plants. Physiol. Plant. 1992, 84, 55–60. [Google Scholar] [CrossRef]
  43. Bradford, M.M. A rapid and sensitive method for the quantitation of microgram quantities of protein utilizing the principle of protein-dye binding. Anal. Biochem. 1976, 72, 248–254. [Google Scholar] [CrossRef]
  44. Walinga, I.; Van Vark, W.; Houba, V.; Van der Lee, J. Soil and Plant Analysis. Part. 7 Plant Analysis Procedures; Wageningen Agricultural University: Wageningen, The Netherlands, 1997. [Google Scholar]
  45. van Reeuwijk, L. Procedures for Soil Analysis, 6th ed.; ISRIC: Wageningen, The Netherlands; FAO: Rome, Italy, 2002. [Google Scholar]
  46. Balbino, L.R. La Méthode Egner-Riehm et la Détermination du Phosfore et du Potassium «assimilável» des sols du Portugal. Medit. Cont. Fert. Plantas Cultiv. 1968, II, 10. [Google Scholar]
  47. Wright, S.F.; Upadhyaya, A. A survey of soils for aggregate stability and glomalin, a glycoprotein produced by hyphae of arbuscular mycorrhizal fungi. Plant Soil 1998, 198, 97–107. [Google Scholar] [CrossRef]
  48. Vance, E.D.; Brookes, P.C.; Jenkinson, D.S. An extraction method for measuring soil microbial biomass C. Soil Biol. Biochem. 1987, 19, 703–707. [Google Scholar] [CrossRef]
  49. Fernández-Escobar, R.; Barranco, D.; Rallo, L. El Cultivo del Olivo, 7th ed.; Ediciones Mundi-Prensa: Madrid, Spain, 2017. [Google Scholar]
  50. Turrini, A.; Caruso, G.; Avio, L.; Gennai, C.; Palla, M.; Agnolucci, M.; Tomei, P.E.; Giovannetti, M.; Gucci, R. Protective green cover enhances soil respiration and native mycorrhizal potential compared with soil tillage in a high-density olive orchard in a long term study. Appl. Soil Ecol. 2017, 116, 70–78. [Google Scholar] [CrossRef]
  51. Moreno, B.; Garcia-Rodriguez, S.; Cañizares, R.; Castro, J.; Benítez, E. Rainfed olive farming in south-eastern Spain: Long-term effect of soil management on biological indicators of soil quality. Agric. Ecosyst. Environ. 2009, 131, 333–339. [Google Scholar] [CrossRef]
  52. Herencia, J.F. Soil quality indicators in response to long-term cover crop management in a Mediterranean organic olive system. Biol. Agric. Hortic. 2018, 34, 211–231. [Google Scholar] [CrossRef]
  53. Raffa, D.W.; Antichi, D.; Carlesi, S.; Puig-Sirera, À.; Rallo, G.; Bàrberi, P. Ground vegetation covers increase grape yield and must quality in Mediterranean organic vineyards despite variable effects on vine water deficit and nitrogen status. Eur. J. Agron. 2022, 136, 126483. [Google Scholar] [CrossRef]
  54. Gucci, R.; Caruso, G.; Bertolla, C.; Urbani, S.; Taticchi, A.; Esposto, S.; Servili, M.; Sifola, M.I.; Pellegrini, S.; Pagliai, M.; et al. Changes of soil properties and tree performance induced by soil management in a high-density olive orchard. Eur. J. Agron. 2012, 41, 18–27. [Google Scholar] [CrossRef]
  55. Muscas, E.; Cocco, A.; Mercenaro, L.; Cabras, M.; Lentini, A.; Porqueddu, C.; Nieddu, G. Effects of vineyard floor cover crops on grapevine vigor, yield, and fruit quality, and the development of the vine mealybug under a Mediterranean climate. Agric. Ecosyst. Environ. 2017, 237, 203–212. [Google Scholar] [CrossRef]
  56. Rubio-Asensio, J.S.; Abbatantuono, F.; Ramírez-Cuesta, J.M.; Hortelano, D.; Ruíz, J.L.; Parra, M.; Martínez-Meroño, R.M.; Intrigliolo, D.S.; Buesa, I. Effects of Cover Crops and Drip Fertigation Regime in a Young Almond Agroecosystem. Agronomy 2022, 12, 2606. [Google Scholar] [CrossRef]
  57. Gabriel, J.L.; Quemada, M.; Martín-Lammerding, D.; Vanclooster, M. Assessing the cover crop effect on soil hydraulic properties by inverse modelling in a 10-year field trial. Agric. Water Manag. 2019, 222, 62–71. [Google Scholar] [CrossRef]
  58. Haruna, S.I.; Anderson, S.H.; Udawatta, R.P.; Gantzer, C.J.; Phillips, N.C.; Cui, S.; Gao, Y. Improving soil physical properties through the use of cover crops: A review. Agrosyst. Geosci. Environ. 2020, 3, e20105. [Google Scholar] [CrossRef]
  59. Scavo, A.; Fontanazza, S.; Restuccia, A.; Pesce, G.R.; Abbate, C.; Mauromicale, G. The role of cover crops in improving soil fertility and plant nutritional status in temperate climates. A review. Agron. Sustain. Dev. 2022, 42, 93. [Google Scholar] [CrossRef]
  60. Flexas, J.; Medrano, H. Drought-inhibition of Photosynthesis in C3 Plants: Stomatal and Non-stomatal Limitations Revisited. Ann. Bot. 2002, 89, 183–189. [Google Scholar] [CrossRef] [PubMed]
  61. Farooq, M.; Wahid, A.; Kobayashi, N.; Fujita, D.; Basra, S.M.A. Plant drought stress: Effects, mechanisms and management. Agron. Sustain. Dev. 2009, 29, 185–212. [Google Scholar] [CrossRef]
  62. Brito, C.; Dinis, L.-T.; Ferreira, H.; Coutinho, J.; Moutinho-Pereira, J.; Correia, C.M. Salicylic acid increases drought adaptability of young olive trees by changes on redox status and ionome. Plant Physiol. Biochem. 2019, 141, 315–324. [Google Scholar] [CrossRef] [PubMed]
  63. Bacelar, E.A.; Santos, D.L.; Moutinho-Pereira, J.M.; Gonçalves, B.C.; Ferreira, H.F.; Correia, C.M. Immediate responses and adaptative strategies of three olive cultivars under contrasting water availability regimes: Changes on structure and chemical composition of foliage and oxidative damage. Plant Sci. 2006, 170, 596–605. [Google Scholar] [CrossRef]
  64. Bryson, G.M.; Mills, H.A.; Sasseville, D.N.; Jones, J.B.; Barker, A.V. Plant Analysis Handbook III: A Guide to Sampling, Preparation, Analysis, Interpretation and Use of Results of Agronomic and Horticultural Crop Plant Tissue; Micro-Macro Publishing, Inc.: Athens, GA, USA, 2014. [Google Scholar]
  65. Bowles, T.M.; Jackson, L.E.; Loeher, M.; Cavagnaro, T.R. Ecological intensification and arbuscular mycorrhizas: A meta-analysis of tillage and cover crop effects. J. Appl. Ecol. 2017, 54, 1785–1793. [Google Scholar] [CrossRef]
  66. Tosi, M.; Ogilvie, C.M.; Spagnoletti, F.N.; Fournier, S.; Martin, R.C.; Dunfield, K.E. Cover Crops Modulate the Response of Arbuscular Mycorrhizal Fungi to Water Supply: A Field Study in Corn. Plants 2023, 12, 1015. [Google Scholar] [CrossRef]
  67. Soti, P.; Rugg, S.; Racelis, A. Potential of Cover Crops in Promoting Mycorrhizal Diversity and Soil Quality in Organic Farms. J. Agric. Sci. 2016, 8, 42–47. [Google Scholar] [CrossRef]
  68. Njeru, E.M.; Avio, L.; Sbrana, C.; Turrini, A.; Bocci, G.; Bàrberi, P.; Giovannetti, M. First evidence for a major cover crop effect on arbuscular mycorrhizal fungi and organic maize growth. Agron. Sustain. Dev. 2013, 34, 841–848. [Google Scholar] [CrossRef]
  69. Sardans, J.; Lambers, H.; Preece, C.; Alrefaei, A.F.; Penuelas, J. Role of mycorrhizas and root exudates in plant uptake of soil nutrients (calcium, iron, magnesium, and potassium): Has the puzzle been completely solved? Plant J. 2023, 114, 1227–1242. [Google Scholar] [CrossRef]
  70. Amirahmadi, E.; Ghorbani, M.; Moudrý, J. Effects of Zeolite on Aggregation, Nutrient Availability, and Growth Characteristics of Corn (Zea mays L.) in Cadmium-Contaminated Soils. Water Air Soil Pollut. 2022, 233, 436. [Google Scholar] [CrossRef]
  71. Litaor, M.I.; Katz, L.; Shenker, M. The influence of compost and zeolite co-addition on the nutrients status and plant growth in intensively cultivated Mediterranean soils. Soil Use Manag. 2017, 33, 72–80. [Google Scholar] [CrossRef]
  72. Palanivell, P.; Ahmed, O.H.; Ab Majid, N.M. Minimizing ammonia volatilization from urea, improving lowland rice (cv. MR219) seed germination, plant growth variables, nutrient uptake, and nutrient recovery using clinoptilolite zeolite. Arch. Agron. Soil Sci. 2016, 62, 708–724. [Google Scholar] [CrossRef]
  73. Thor, K. Calcium—Nutrient and Messenger. Front. Plant Sci. 2019, 10, 440. [Google Scholar] [CrossRef]
  74. Wang, Q.; Yang, S.; Wan, S.; Li, X. The Significance of Calcium in Photosynthesis. Int. J. Mol. Sci. 2019, 20, 1353. [Google Scholar] [CrossRef]
  75. Ridolfi, M.; Roupsard, O.; Garrec, J.; Dreyer, E. Effects of a calcium deficiency on stomatal conductance and photosynthetic activity of Quercus robur seedlings grown on nutrient solution. Ann. For. Sci. 1996, 53, 325–335. [Google Scholar] [CrossRef]
  76. Farhat, N.; Elkhouni, A.; Zorrig, W.; Smaoui, A.; Abdelly, C.; Rabhi, M. Effects of magnesium deficiency on photosynthesis and carbohydrate partitioning. Acta Physiol. Plant 2016, 38, 145. [Google Scholar] [CrossRef]
  77. Waraich, E.; Ahmad, R.; Ullah, S.; Ashraf, M. Ehsanullah, Role of mineral nutrition in alleviation of drought stress in plants. Aust. J. Crop Sci. 2011, 5, 764–777. [Google Scholar]
  78. Sachdev, S.; Ansari, S.A.; Ansari, M.I.; Fujita, M.; Hasanuzzaman, M. Abiotic Stress and Reactive Oxygen Species: Generation, Signaling, and Defense Mechanisms. Antioxidants 2021, 10, 277. [Google Scholar] [CrossRef]
  79. You, J.; Chan, Z. ROS Regulation During Abiotic Stress Responses in Crop Plants. Front. Plant Sci. 2015, 6, 1092. [Google Scholar] [CrossRef]
  80. Seyed, Y.S.L.; Rouhollah, M.; Mosharraf, M.H.; Ismail, M.M.R. Water Stress in Plants: Causes, Effects and Responses. In Water Stress; Mofizur, R.I.M., Hiroshis, H., Eds.; IntechOpen: Rijeka, Croatia, 2012. [Google Scholar]
  81. Chen, D.; Wang, S.; Cao, B.; Cao, D.; Leng, G.; Li, H.; Yin, L.; Shan, L.; Deng, X. Genotypic Variation in Growth and Physiological Response to Drought Stress and Re-Watering Reveals the Critical Role of Recovery in Drought Adaptation in Maize Seedlings. Front. Plant Sci. 2015, 6, 1241. [Google Scholar] [CrossRef] [PubMed]
  82. Lopes, J.I.; Arrobas, M.; Brito, C.; Gonçalves, A.; Silva, E.; Martins, S.; Raimundo, S.; Rodrigues, M.Â.; Correia, C.M. Mycorrhizal Fungi were More Effective than Zeolites in Increasing the Growth of Non-Irrigated Young Olive Trees. Sustainability 2020, 12, 10630. [Google Scholar] [CrossRef]
  83. Arrobas, M.; Decker, J.V.; Feix, B.L.; Godoy, W.I.; Casali, C.A.; Correia, C.M.; Ângelo Rodrigues, M. Biochar and zeolites did not improve phosphorus uptake or crop productivity in a field trial performed in an irrigated intensive farming system. Soil Use Manag. 2022, 38, 564–575. [Google Scholar] [CrossRef]
  84. Lopes, J.I.; Arrobas, M.; Raimundo, S.; Gonçalves, A.; Brito, C.; Martins, S.; Pinto, L.; Moutinho-Pereira, J.; Correia, C.M.; Rodrigues, M.Â. Photosynthesis, Yield, Nutrient Availability and Soil Properties after Biochar, Zeolites or Mycorrhizal Inoculum Application to a Mature Rainfed Olive Orchard. Agriculture 2022, 12, 171. [Google Scholar] [CrossRef]
  85. Cataldo, E.; Salvi, L.; Paoli, F.; Fucile, M.; Masciandaro, G.; Manzi, D.; Masini, C.M.; Mattii, G.B. Application of Zeolites in Agriculture and Other Potential Uses: A Review. Agronomy 2021, 11, 1547. [Google Scholar] [CrossRef]
  86. Jarosz, R.; Szerement, J.; Gondek, K.; Mierzwa-Hersztek, M. The use of zeolites as an addition to fertilisers—A review. CATENA 2022, 213, 106125. [Google Scholar] [CrossRef]
  87. Ahmed, O.; Sumalatha, G.; Muhamad, A. Use of zeolite in maize (Zea mays) cultivation on nitrogen, potassium and phosphorus uptake and use efficiency. Int. J. Phys. Sci. 2010, 5, 2393–2401. [Google Scholar]
  88. Filcheva, E.G.; Tsadilas, C.D. Influence of clinoptilolite and compost on soil properties. Commun. Soil Sci. Plant Anal. 2002, 33, 595–607. [Google Scholar] [CrossRef]
  89. Noori, M.; Zendehdel, M.; Ahmadi, A. Using natural zeolite for improvement of soil salinity and crop yield. Toxicol. Environ. Chem. 2006, 88, 77–84. [Google Scholar] [CrossRef]
  90. Weil, R.; Brady, N. The Nature and Properties of Soils, 15th ed.; Pearson: London, UK, 2017. [Google Scholar]
  91. Latifah, O.; Ahmed, O.H.; Majid, N.M.A. Short Term Enhancement of Nutrients Availability in Zea mays L. Cultivation on an Acid Soil Using Compost and Clinoptilolite Zeolite. Compos. Sci. Util. 2017, 25, 22–35. [Google Scholar] [CrossRef]
  92. Doni, S.; Gispert, M.; Peruzzi, E.; Macci, C.; Mattii, G.B.; Manzi, D.; Masini, C.M.; Grazia, M. Impact of natural zeolite on chemical and biochemical properties of vineyard soils. Soil Use Manag. 2021, 37, 832–842. [Google Scholar] [CrossRef]
  93. Ozturk, H.S.; Ok, S.S.; Arcak, S. Leaching of boron through sewage sludge amended soil: The role of clinoptilolite. Bioresour. Technol. 2004, 95, 11–15. [Google Scholar] [CrossRef] [PubMed]
  94. Ozbahce, A.; Tari, A.; Gönülal, E.; Simsekli, N. Zeolite for Enhancing Yield and Quality of Potatoes Cultivated Under Water-Deficit Conditions. Potato Res. 2018, 61, 247–259. [Google Scholar] [CrossRef]
  95. Moral García, F.J.; Rebollo, F. Characterization of soil fertility using the Rasch model. J. Soil Sci. Plant Nutr. 2017, 17, 486–498. [Google Scholar]
  96. Kumar, P.; Jadhav, P.D.; Rayalu, S.; Devotta, S. Surface-modified zeolite-A for sequestration of arsenic and chromium anions. Curr. Sci. 2007, 92, 512–517. [Google Scholar]
  97. Tashauoei, H.R.; Attar, H.M.; Amin, M.M.; Kamali, M.; Nikaeen, M.; Dastjerdi, M.V. Removal of cadmium and humic acid from aqueous solutions using surface modified nanozeolite A. Int. J. Environ. Sci. Technol. 2010, 7, 497–508. [Google Scholar] [CrossRef]
  98. Ponizovsky, A.A.; Tsadilas, C.D. Lead(II) retention by Alfisol and clinoptilolite: Cation balance and pH effect. Geoderma 2003, 115, 303–312. [Google Scholar] [CrossRef]
  99. Chander, K.; Joergensen, R.G. Decomposition of 14C labelled glucose in a Pb-contaminated soil remediated with synthetic zeolite and other amendments. Soil Biol. Biochem. 2002, 34, 643–649. [Google Scholar] [CrossRef]
  100. Kaschuk, G.; Alberton, O.; Hungria, M. Three decades of soil microbial biomass studies in Brazilian ecosystems: Lessons learned about soil quality and indications for improving sustainability. Soil Biol. Biochem. 2010, 42, 1–13. [Google Scholar] [CrossRef]
  101. Lepcha, N.T.; Devi, N.B. Effect of land use, season, and soil depth on soil microbial biomass carbon of Eastern Himalayas. Ecol. Process. 2020, 9, 65. [Google Scholar] [CrossRef]
  102. Bhatti, A.A.; Haq, S.; Bhat, R.A. Actinomycetes benefaction role in soil and plant health. Microb. Pathog. 2017, 111, 458–467. [Google Scholar] [CrossRef] [PubMed]
  103. Silva, G.d.C.; Kitano, I.T.; Ribeiro, I.A.d.F.; Lacava, P.T. The Potential Use of Actinomycetes as Microbial Inoculants and Biopesticides in Agriculture. Front. Soil Sci. 2022, 2, 833181. [Google Scholar] [CrossRef]
  104. Nautiyal, P.; Rajput, R.; Pandey, D.; Arunachalam, K.; Arunachalam, A. Role of glomalin in soil carbon storage and its variation across land uses in temperate Himalayan regime. Biocatal. Agric. Biotechnol. 2019, 21, 101311. [Google Scholar] [CrossRef]
  105. González-Chávez, M.C.; Carrillo-González, R.; Wright, S.F.; Nichols, K.A. The role of glomalin, a protein produced by arbuscular mycorrhizal fungi, in sequestering potentially toxic elements. Environ. Pollut. 2004, 130, 317–323. [Google Scholar] [CrossRef] [PubMed]
  106. Singh, A.K.; Zhu, X.; Chen, C.; Wu, J.; Yang, B.; Zakari, S.; Jiang, X.J.; Singh, N.; Liu, W. The role of glomalin in mitigation of multiple soil degradation problems. Crit. Rev. Environ. Sci. Technol. 2022, 52, 1604–1638. [Google Scholar] [CrossRef]
Figure 1. Average monthly temperature and precipitation conditions recorded at Paradela weather station next to experimental plot during the three years of harvest.
Figure 1. Average monthly temperature and precipitation conditions recorded at Paradela weather station next to experimental plot during the three years of harvest.
Agronomy 13 02674 g001
Figure 2. Evolution of leaf gas exchange variables in tillage (T), leguminous cover crops (LC) and zeolite (ZL) treatments during the summer of 2017 (D1, D2 and D3), 2018 (D4, D5 and D6) and 2019 (D7, D8 and D9). Net photosynthetic rate (a), stomatal conductance (b), intrinsic water use efficiency (A/gs) (c) and intercellular to atmospheric CO2 concentration (Ci/Ca) (d). Each point with vertical bars represents the average and S.E., respectively. Different letters indicate significant differences among treatments within each date. Significance: * p < 0.05; ** p < 0.01; *** p < 0.001.
Figure 2. Evolution of leaf gas exchange variables in tillage (T), leguminous cover crops (LC) and zeolite (ZL) treatments during the summer of 2017 (D1, D2 and D3), 2018 (D4, D5 and D6) and 2019 (D7, D8 and D9). Net photosynthetic rate (a), stomatal conductance (b), intrinsic water use efficiency (A/gs) (c) and intercellular to atmospheric CO2 concentration (Ci/Ca) (d). Each point with vertical bars represents the average and S.E., respectively. Different letters indicate significant differences among treatments within each date. Significance: * p < 0.05; ** p < 0.01; *** p < 0.001.
Agronomy 13 02674 g002
Figure 3. Leaf N, P, K, Ca, Mg, B, Fe and Mn concentrations from July 2017 to January 2020 of tillage (T), leguminous cover crop (LC) and zeolite (ZL) treatments. Each point with vertical bars represents the average and SE, respectively. Different letters indicate significant differences among treatments within each date. Dashed and solid lines are, respectively, the lower limit of the adequate range and the deficiency threshold for summer sampling, from Fernández-Escobar [49]. Significance: * p < 0.05; ** p < 0.01; *** p < 0.001.
Figure 3. Leaf N, P, K, Ca, Mg, B, Fe and Mn concentrations from July 2017 to January 2020 of tillage (T), leguminous cover crop (LC) and zeolite (ZL) treatments. Each point with vertical bars represents the average and SE, respectively. Different letters indicate significant differences among treatments within each date. Dashed and solid lines are, respectively, the lower limit of the adequate range and the deficiency threshold for summer sampling, from Fernández-Escobar [49]. Significance: * p < 0.05; ** p < 0.01; *** p < 0.001.
Agronomy 13 02674 g003
Figure 4. Variation in crop yield (kg tree−1) from 2017 to 2019 on tillage (T), leguminous cover crop (LC) and zeolite (ZL) treatments. Capital and lowercase letters are the result of ANOVA and Tukey’s HSD test for the accumulated yield and for the yield from each year, respectively. Vertical bars are the standard errors.
Figure 4. Variation in crop yield (kg tree−1) from 2017 to 2019 on tillage (T), leguminous cover crop (LC) and zeolite (ZL) treatments. Capital and lowercase letters are the result of ANOVA and Tukey’s HSD test for the accumulated yield and for the yield from each year, respectively. Vertical bars are the standard errors.
Agronomy 13 02674 g004
Figure 5. Soil moisture of tillage (T), leguminous cover crop (LC) and zeolite (ZL) treatments during the year of 2019. Different letters indicate significant differences among treatments within each date. Significance: ** p < 0.01; *** p < 0.001.
Figure 5. Soil moisture of tillage (T), leguminous cover crop (LC) and zeolite (ZL) treatments during the year of 2019. Different letters indicate significant differences among treatments within each date. Significance: ** p < 0.01; *** p < 0.001.
Agronomy 13 02674 g005
Table 1. Concentrations of soluble sugars (SS), starch (St) and soluble proteins (SP) (mg g−1 DW) in leaves of tillage (T), leguminous cover crop (LC) and zeolite (ZL) treatments, collected in summer of 2017, 2018 and 2019.
Table 1. Concentrations of soluble sugars (SS), starch (St) and soluble proteins (SP) (mg g−1 DW) in leaves of tillage (T), leguminous cover crop (LC) and zeolite (ZL) treatments, collected in summer of 2017, 2018 and 2019.
TLCZLp-Value
SS2017173.2 ± 12.9140.9 ± 6.14141.2 ± 12.6n.s.
2018192.1 ± 10.5 a163.6 ± 6.97 b162.9 ± 9.07 b0.034
2019245.0 ± 22.4 a140.9 ± 13.3 b157.6 ± 9.37 b<0.001
St201788.6 ± 3.4478.8 ± 2.5882.0 ± 2.88n.s.
2018105.9 ± 3.69 a95.9 ± 2.18 b89.5 ± 1.59 b0.001
2019201.1 ± 6.43202.0 ± 8.04228.6 ± 12.2n.s.
SP20177.44 ± 0.524 b13.8 ± 1.98 a11.6 ± 1.62 ab0.022
201811.9 ± 0.874 b13.3 ± 1.79 ab17.9 ± 2.13 a0.045
201910.4 ± 0.364 b14.1 ± 0.924 a15.6 ± 1.14 a0.027
Values are expressed as means ± SE. Significance by Tukey’s HSD Test: p < 0.05. Different letters represent significant differences between treatments. n.s. represent non-significant differences between treatments.
Table 2. Soil properties of tillage (T), leguminous cover crop (LC) and zeolite (ZL) treatments, from samples taken at depths of 0–10 cm and 10–20 cm. pH (H2O); total organic carbon (TOC, g kg−1), Kjeldahl N (g kg−1), extractable P (mg P2O5 kg−1), K (mg K2O kg−1), B (mg kg−1), Fe (mg kg−1), Mn (mg kg−1), Zn (mg kg−1) and Cu (mg kg−1); total glomalin-related soil protein (T-GRSP, mg g−1 DW); and easily extractable glomalin-related soil protein (EE-GRSP, mg g−1 DW).
Table 2. Soil properties of tillage (T), leguminous cover crop (LC) and zeolite (ZL) treatments, from samples taken at depths of 0–10 cm and 10–20 cm. pH (H2O); total organic carbon (TOC, g kg−1), Kjeldahl N (g kg−1), extractable P (mg P2O5 kg−1), K (mg K2O kg−1), B (mg kg−1), Fe (mg kg−1), Mn (mg kg−1), Zn (mg kg−1) and Cu (mg kg−1); total glomalin-related soil protein (T-GRSP, mg g−1 DW); and easily extractable glomalin-related soil protein (EE-GRSP, mg g−1 DW).
TLCZLp-Value
pH (H2O)
0–10 cm5.22 ± 0.029 b5.46 ± 0.122 b6.23 ± 0.203 a0.005
10–20 cm5.22 ± 0.068 b5.20 ± 0.046 b5.80 ± 0.124 a0.004
TOC
0–10 cm20.3 ± 2.1219.9 ± 0.78823.2 ± 1.62n.s.
10–20 cm18.4 ± 0.72724.8 ± 3.2831.8 ± 4.72n.s.
Kjeldahl N
0–10 cm0.875 ± 0.063 b0.640 ± 0.062 b1.63 ± 0.047 a<0.001
10–20 cm1.16 ± 0.081 b0.878 ± 0.067 b1.67 ± 0.074 a0.001
Extract. P
0–10 cm9.31 ± 0.927 b18.2 ± 4.07 b45.9 ± 9.57 a0.012
10–20 cm10.81 ± 1.32 b23.8 ± 2.39 ab31.5 ± 5.05 a0.013
Extract. K
0–10 cm217.3 ± 23.4189.3 ± 9.33294.7 ± 34.7n.s.
10–20 cm213.3 ± 10.9200.0 ± 10.1232.0 ± 34.9n.s.
Extract. B
0–10 cm1.38 ± 0.159 b1.46 ± 0.205 b3.61 ± 0.391 a0.002
10–20 cm1.89 ± 0.129 ab1.35 ± 0.174 b1.96 ± 0.096 a0.039
Extract. Fe
0–10 cm28.6 ± 0.94939.1 ± 5.1333.9 ± 2.48n.s.
10–20 cm50.7 ± 0.58631.3 ± 2.2839.6 ± 10.4n.s.
Extract. Mn
0–10 cm30.1 ± 7.52 a30.8 ± 4.24 a4.78 ± 0.299 b0.016
10–20 cm10.1 ± 3.11 c38.7 ± 2.05 a21.9 ± 0.866 b<0.001
Extract. Zn
0–10 cm0.407 ± 0.031 b0.898 ± 0.164 a0.452 ± 0.024 b0.018
10–20 cm0.520 ± 0.0560.622 ± 0.0950.460 ± 0.051n.s.
Extract. Cu
0–10 cm3.23 ± 0.991 b13.6 ± 1.58 a1.78 ± 0.059 b<0.001
10–20 cm2.69 ± 0.5164.34 ± 0.3492.97 ± 0.567n.s.
T-GRSP
0–10 cm2.79 ± 0.109 b3.30 ± 0.098 b4.46 ± 0.209 a0.001
10–20 cm2.14 ± 0.363 b2.09 ± 0.128 b3.79 ± 0.157 a0.004
EE-GRSP
0–10 cm1.63 ± 0.105 b1.87 ± 0.131 ab2.13 ± 0.105 a0.044
10–20 cm1.36 ± 0.169 b1.48 ± 0.056 b1.68 ± 0.186 a0.016
Values are expressed as means ± SE. Significance by Tukey’s HSD Test: p < 0.05. Different letters represent significant differences between treatments. n.s. represent non-significant differences between treatments.
Table 3. Soil cation exchange properties of tillage (T), leguminous cover crop (LC) and zeolite (ZL) treatments from samples taken at depths of 0–10 cm and 10–20 cm. Exchangeable (cmolc kg−1) Ca, Mg, K, Na and Al; exchangeable acidity (cmolc kg−1); and cation exchange capacity (CEC) (cmolc kg−1).
Table 3. Soil cation exchange properties of tillage (T), leguminous cover crop (LC) and zeolite (ZL) treatments from samples taken at depths of 0–10 cm and 10–20 cm. Exchangeable (cmolc kg−1) Ca, Mg, K, Na and Al; exchangeable acidity (cmolc kg−1); and cation exchange capacity (CEC) (cmolc kg−1).
TLCZLp-Value
Ca
0–10 cm1.19 ± 0.135 b0.601 ± 0.143 b3.02 ± 0.624 a0.010
10–20 cm2.15 ± 0.3161.13 ± 0.1751.22 ± 0.548n.s.
Mg
0–10 cm0.729 ± 0.105 b0.677 ± 0.104 b2.15 ± 0.225 a0.001
10–20 cm1.07 ± 0.0831.09 ± 0.1671.03 ± 0.192n.s.
K
0–10 cm0.282 ± 0.0190.248 ± 0.0401.07 ± 0.367n.s.
10–20 cm0.288 ± 0.0500.291 ± 0.0110.318 ± 0.106n.s.
Na
0–10 cm0.858 ± 0.0650.596 ± 0.0950.769 ± 0.014n.s.
10–20 cm0.786 ± 0.0900.649 ± 0.0400.655 ± 0.042n.s.
Al
0–10 cm0.733 ± 0.066 a0.800 ± 0.0001 a0.250 ± 0.029 b<0.001
10–20 cm0.733 ± 0.0330.866 ± 0.0660.766 ± 0.033n.s.
Exchang. Acidity
0–10 cm1.53 ± 0.167 a1.53 ± 0.166 a0.766 ± 0.233 b0.046
10–20 cm1.37 ± 0.1661.87 ± 0.1661.53 ± 0.167n.s.
CEC
0–10 cm4.59 ± 0.109 b3.66 ± 0.195 b7.78 ± 0.626 a0.011
10–20 cm5.66 ± 0.6205.03 ± 0.2104.76 ± 0.911n.s.
Values are expressed as means ± SE. Significance by Tukey’s HSD Test: p < 0.05. Different letters represent significant differences between treatments. n.s. represent non-significant differences between treatments.
Table 4. Microbiological properties of soils submitted to tillage (T), leguminous cover crop (LC) and zeolite (ZL) from samples taken at depths of 0–10 cm and 10–20 cm at the end of the field trial. Microbial biomass carbon (Mic-C) (mgC microb kg−1 soil); microbial biomass quotient (MBQ, %); and bacteria (log CFU g−1), fungi (log CFU g−1) and actinomycete population (log CFU g−1).
Table 4. Microbiological properties of soils submitted to tillage (T), leguminous cover crop (LC) and zeolite (ZL) from samples taken at depths of 0–10 cm and 10–20 cm at the end of the field trial. Microbial biomass carbon (Mic-C) (mgC microb kg−1 soil); microbial biomass quotient (MBQ, %); and bacteria (log CFU g−1), fungi (log CFU g−1) and actinomycete population (log CFU g−1).
TLCZLp-Value
Mic-C
0–10 cm131.1 ± 15.4 b174.6 ± 4.92 b277.2 ± 35.1 a0.030
10–20 cm125.2 ± 16.6132.2 ± 6.89159.5 ± 36.6n.s.
MBQ
0–10 cm0.652 ± 0.077 b0.881 ± 0.057 ab1.180 ± 0.155 a0.034
10–20 cm0.675 ± 0.0700.545 ± 0.0790.503 ± 0.089n.s.
Bacteria
0–10 cm3.29 ± 0.1403.13 ± 0.0693.70 ± 0.257n.s.
10–20 cm2.62 ± 0.0422.67 ± 0.3483.16 ± 0.536n.s.
Fungi
0–10 cm5.14 ± 0.3114.81 ± 0.1294.94 ± 0.022n.s.
10–20 cm3.70 ± 0.8444.79 ± 0.0714.73 ± 0.195n.s.
Actinomycetes
0–10 cm2.88 ± 0.219 b2.75 ± 0.153 b3.76 ± 0.157 a0.027
10–20 cm2.56 ± 0.1012.96 ± 0.1813.18 ± 0.547n.s.
Values are expressed as means ± SE. Significance by Tukey’s HSD Test: p < 0.05. Different letters represent significant differences between treatments. n.s. represent non-significant differences between treatments.
Disclaimer/Publisher’s Note: The statements, opinions and data contained in all publications are solely those of the individual author(s) and contributor(s) and not of MDPI and/or the editor(s). MDPI and/or the editor(s) disclaim responsibility for any injury to people or property resulting from any ideas, methods, instructions or products referred to in the content.

Share and Cite

MDPI and ACS Style

Martins, S.; Brito, C.; Silva, E.; Gonçalves, A.; Arrobas, M.; Pereira, E.; Rodrigues, M.Â.; Nunes, F.M.; Correia, C.M. Synergy between Zeolites and Leguminous Cover Crops Improved Olive Tree Performance and Soil Properties in a Rainfed Olive Orchard. Agronomy 2023, 13, 2674. https://doi.org/10.3390/agronomy13112674

AMA Style

Martins S, Brito C, Silva E, Gonçalves A, Arrobas M, Pereira E, Rodrigues MÂ, Nunes FM, Correia CM. Synergy between Zeolites and Leguminous Cover Crops Improved Olive Tree Performance and Soil Properties in a Rainfed Olive Orchard. Agronomy. 2023; 13(11):2674. https://doi.org/10.3390/agronomy13112674

Chicago/Turabian Style

Martins, Sandra, Cátia Brito, Ermelinda Silva, Alexandre Gonçalves, Margarida Arrobas, Ermelinda Pereira, Manuel Ângelo Rodrigues, Fernando M. Nunes, and Carlos M. Correia. 2023. "Synergy between Zeolites and Leguminous Cover Crops Improved Olive Tree Performance and Soil Properties in a Rainfed Olive Orchard" Agronomy 13, no. 11: 2674. https://doi.org/10.3390/agronomy13112674

APA Style

Martins, S., Brito, C., Silva, E., Gonçalves, A., Arrobas, M., Pereira, E., Rodrigues, M. Â., Nunes, F. M., & Correia, C. M. (2023). Synergy between Zeolites and Leguminous Cover Crops Improved Olive Tree Performance and Soil Properties in a Rainfed Olive Orchard. Agronomy, 13(11), 2674. https://doi.org/10.3390/agronomy13112674

Note that from the first issue of 2016, this journal uses article numbers instead of page numbers. See further details here.

Article Metrics

Back to TopTop