Next Article in Journal
Developmental, Phytochemical and Enzymatic Changes in Pot Marigold (Calendula officinalis L.) cvs. Hybrid and French with Salicylic Acid (SA) and Polyamine Spermidine (SP) Foliar Spray
Next Article in Special Issue
Improvement of Climate Resource Utilization Efficiency to Enhance Maize Yield through Adjusting Planting Density
Previous Article in Journal
Effects of Soil Electrical Conductivity and Physical Properties on Seeding Depth Maintenance and Winter Wheat Germination, Development and Productivity
 
 
Font Type:
Arial Georgia Verdana
Font Size:
Aa Aa Aa
Line Spacing:
Column Width:
Background:
Article

Foliar Applications of ZnO and Its Nanoparticles Increase Safflower (Carthamus tinctorius L.) Growth and Yield under Water Stress

1
Department of Plant Production and Genetics, Faculty of Agriculture, Urmia University, Urmia 5756151818, Iran
2
Department of Plant Protection, Faculty of Agriculture, Urmia University, Urmia 5756151818, Iran
3
Department of Field Crops, Faculty of Agriculture, Van Yüzüncü Yıl University, 65090 Van, Türkiye
4
Instituto de Biología Molecular y Celular de Plantas, Universitat Politècnica de València-Consejo Superior de Investigaciones Científicas, 46022 Valencia, Spain
*
Authors to whom correspondence should be addressed.
Agronomy 2023, 13(1), 192; https://doi.org/10.3390/agronomy13010192
Submission received: 13 December 2022 / Revised: 4 January 2023 / Accepted: 5 January 2023 / Published: 6 January 2023

Abstract

Foliar application or minerals is a methodology to promote growth and/or yield and to protect plants against different kinds of stresses. Currently there is a great interest in evaluating the effect of nanoparticles for enhancing the effect of these treatments. This study was performed to evaluate and compare the effect of foliar application of zinc oxide (ZnO) and zinc oxide nanoparticles (ZnO-NPs) on the growth and yield of safflower under different irrigation regimes. Foliar applications of ZnO in all concentrations (4, 6, 8, 10, 12, and 14 g L−1) led to an increase in biomass yield, number of capitula per plant, number of seeds per capitulum, and grain yield of plants compared with control plants. The maximum increase in the studied traits was obtained with a ZnO concentration of 6, 8, and 10 g L−1. In a second round of experiments, we observed the effect of nanoparticles and found that spraying with ZnO and ZnO-NPs at a concentration of 10 g L−1 may ameliorate the deleterious effects of water deficit. The results of the present study support the idea that foliar application of ZnO improves safflower yield, especially under drought stress, and showed that using of nanoparticles increases the efficiency of the application.

1. Introduction

Safflower (Carthamus tinctorius L.), an annual species of Asteraceae, is cultivated as an oilseed crop in most areas of the world, as well as a traditional dye for yellow color. Owing to its anatomy (a xerophytic plant with deep taproot and spines), safflower is considered drought tolerant and is mainly grown in dry hot climates. Safflower seeds contain about 25% to 45% high quality oil, due to its content in unsaturated fatty acids, especially oleic and linoleic acid. It can also be used as an animal feed supplement [1]. In addition to food uses, safflower oil has also been considered for industrial and medicinal purposes. Petals and extracted oil are used as herbal medicine in the treatment of blood pressure, rheumatic and vascular diseases [2]. Moreover, the dye extracted from its leaves is used in the textile industry and as food colorant [3].
In general, safflower can tolerate different environmental stresses and can be a suitable crop for cultivation in arid and semi-arid areas [4]. Although safflower is considered drought-resistant, in large part owing to its strong taproot, identification of management practices for mitigating drought stress would increase production on dryland or in areas where irrigation water is limited. Abiotic stresses are a limiting factor for agricultural yield. Drought is the most common of these stresses and, on average, causes a 50% reduction in crop yield. Drought stress in plants causes disturbances in processes such as the transfer of water and nutrients, closure of stomata, reduction in photosynthesis, reduction in leaf area, removal of flowering, oxidative stress and finally reduction in quantitative and qualitative yield of crops [5]. Foliar microelement feeding is a technique that improves the quality and quantity of crop production, especially under different abiotic stresses [6]. Zinc (Zn) is an essential micronutrient that can have a major impact on plant life, including protein, DNA, and RNA synthesis. Zinc is essential as a cofactor of many antioxidant enzymes and as the central component of the Zn fingers which regulate protein transcription [7]. Its deficiency symptoms in plants are many and disparate, including membrane protein damage, reduction in photosynthesis, reduction in indole acetic acid synthesis, and disruption of the activity of several enzymes, such as phosphatase, alcohol dehydrogenase, thymidine kinase, and carboxypeptidase, thus restricting plant growth [8]. Zinc deficiency is a common issue in most parts of the world. Its availability can be reduced in calcareous soils with high pH and high consumption of phosphate fertilizers [9].
Foliar application of micronutrients is one of the efficient ways of nutrient supply to plants, which can correct potential nutritional deficiencies. Micronutrients can be utilized with high efficiency in a fast manner [10]. Foliar application of Zn and manganese significantly increased safflower yield quality and vigor of harvested seeds under drought stress conditions [11]. It can also be effective on fatty acids quality and oil yield [12]. Several studies indicated that foliar application of Zn and other micronutrients led to an increase in the quality and quantity of yield in many crops such as black cumin (Nigella sativa L.) [13], rice (Oryza sativa L.) [14], faba bean (Vicia faba L.) [15], corn (Zea mays L.) [16], canola (Brassica napus L.) [17], chamomile (Chamomilla recutita L.) [18], and soybean (Glycine max L.) [19].
Nanotechnology can be used in different agricultural aspects [20,21]. Nanoparticle (NP) fertilizers are produced through this technology. Nanoparticles size is 1 to 10 nm. Small fertilizer particles at the nanoscale provide faster absorption of nutrients than conventional formulations [20,22]. It was reported that foliar application of iron NPs significantly increased tomato yield [23]. Moreover, an increase in yield and morphological characteristics of soybean by using nano-fertilizers (in the form of nano-iron oxide) was indicated [24]. Nano-fertilizers (i.e., magnetite nano-fertilizer) significantly improved the quality and quantity of basil [25]. The beneficial impact of nano-fertilizers (in the form of nano-bentonite and nano-active carbon-coated nitrogen fertilizer) was also proved in cabbage [26]. It should be also noted that negative effects have been reported in the literature concerning ZnO NPs [27]. For example, the application of ZnO-NPs at elevated concentrations (10–2000 mg L−1) in buckwheat (Fagopyrum esculentum L.) caused a biomass drop, damaged root surface cells, and induced an altered response against reactive oxygen species [28]. Moreover, ZnO-NPs in high concentrations decreased the Mitotic Index (MI) and increased chromosomal abnormalities in onion (Allium cepa L.) [29]. However, there is no report on the use of foliar application of Zn NPs in safflower, and the comparison without using of NP.
This study is aimed to assess the effect of foliar applications of zinc oxide and zinc oxide NPs on morphological characteristics and yield of safflower under different irrigation regimes.

2. Materials and Methods

2.1. Experimental Design

The study was carried out at the Agronomy Research Farm of the University of Agriculture, located in Urmia (37°10′45″ N, 45°21′56″ E, 1275 m altitude) during the years 2020 and 2021. The studied safflower cultivar was Goldasht. This cultivar was prepared from the Research Institute of Seedling and Seed Breeding of the Ministry of Agriculture of Iran. The seed category under study was certified seed. This is a spring cultivar, spineless with red flowers. In the first year, the best concentrations of ZnO as foliar fertilizer of safflower were determined among a range of seven concentrations in a randomized complete block design (RCBD) with three independent replications. The ZnO was applied at 4, 6, 8, 10, 12, and 14 g L−1 plus a non-treated control. After harvest and initial assessments of the best concentrations of ZnO foliar applications, a second experiment was established in 2021 to evaluate the effect of foliar application of ZnO and ZnO-nanoparticles (Zn-NPs) on safflower growth and yield under different irrigation regimes. The second experiment was established in a factorial experiment based on RCBD with three replications. The first factor included foliar applications of ZnO in five levels, (control, 5 g L−1 ZnO, 5 g L−1 ZnO-NPs, 10 g L−1 ZnO, and 10 g L−1 ZnO-NPs) and the second factor was irrigation regimes with three levels, i.e., irrigation after 100, 140, and 180 mm evaporation from class A pan. Characteristics of the ZnO-NPs used in the experiment and soil characteristics of the experimental field are shown in Table 1 and Table 2, respectively. The size of the nanoparticles was also determined using the dynamic scattering method.
The field was prepared with conventional soil tillage (moldboard plow, disk harrowing, and cultivator) in the fall of the previous year. A pass with a cultivator was performed one week before sowing. Seeds of safflower variety IL-111 were used in the study. Sowing was performed on April 19 in both years. Before sowing, seeds were disinfected by using the fungicide VITAVAX-T in a ratio of 1:1 (g/v). The seeds were planted in rows spaced 50 cm apart with a plant-to-plant distance on the row 10 cm in dry soil. Immediately after planting, plots were uniformly irrigated. The experimental field was fertilized with triple phosphate, potassium sulfate, and urea at 100, 75, and 55 kg ha−1 rates, respectively. Nitrogen (urea) fertilizer was applied in three splits, as follows: 30% of the total urea quantity was applied during soil preparation and incorporated into the soil, 40% of the total urea quantity was top-dressed at the safflower bolting stage, and the remaining quantity was top-dressed at the safflower flowering stage. Investigated irrigation regimes were used after full seedling emergence. The Parshall flume device was used to control input water to each plot during irrigation. Plot size was 3 m by 3 m and consisted of six crop rows. Foliar applications of ZnO were conducted 4 times, starting at the beginning of the vegetative stage (when plants were approximately at 10 cm height) and every 15 days (i.e., three times during the vegetative phase and once in the reproductive phase simultaneously with the formation of seeds in the heads). Applications were conducted in the early morning, using a backpack sprayer with an appropriate spray volume to achieve full coverage of the plant canopy, until foliage wash-off. Basic weather data during growing seasons are shown in Table 3.
Safflower plants were harvested within the first ten days of September of each year from four central rows of each plot just before full maturity to minimize shattering and seed dispersal. The date of harvest was determined based on the maturity of the seeds.

2.2. Irrigation of the Field

Immediately after planting in both years, field irrigation was conducted. In the first round, irrigation was performed until reaching the field capacity in all plots. The water potential of the field up to a depth of 30 cm 24 h after the completion of irrigation was −1.5 MPa on average. To determine soil water potential, three tensiometers were used in each treatment and the average result was reported as field soil water potential. In the first year, the repeated irrigation test was performed after the evaporation of 100 mm of water from the standard Class A evaporation pan. Irrigation was carried out by leakage method and the amount of water entering each plot was calculated using a water meter with an accuracy of 0.0001 m3. Moreover, in order to increase the accuracy of the amount of water entering the irrigation channel of the farm, The Parshall flume device was also used. In the irrigation process, the amount of effective rainfall was considered in both years. In the second year, the irrigation was carried out based on the evaporation rate from the standard class A pan in treatments (100, 140, and 180 mm evaporation). The total volume of water used in the above treatments was 5181.4, 4163.3, and 3080.1 m3 ha−1, respectively. Investigated irrigation regimes were used after full seedling emergence. Water use efficiency (WUE) was calculated by following formula:
W U E = D W p +   W i
where:
WUE is the water use efficiency (kg m−3);
D is the seed or biological yield (kg ha−1);
Wp is the rainfall (m3 ha−1);
Wi is the irrigation water (m3 ha−1).

2.3. Determination of Growth and Yield Parameters

In the first experiment, biomass yield, the number of capitula per plant, the number of seeds per capitulum, seed yield, and 1000 seeds weight were determined. Measured variables in the second year included plant height, biomass yield, number of capitula per plant, number of seeds per capitulum, seed yield, 1000 seeds weight, harvest index, oil content, and oil yield.
The middle 4 rows of the plants were used to measure the morphological traits. The height of the plant was measured with an accuracy of 1 mm. A caliper was also used to measure the diameter of the stem. The stem diameter was calculated in the lower, middle, and upper parts of the stem (below the capitula) and the average obtained was reported as the stem diameter. The number of branches per plant, number of pods per plant, and number of seeds per plant in the rows mentioned in each plant were counted and the total average obtained was used to report them [30]. To measure the weight of 1000 seeds, after harvesting and separating the seeds from the capitols, the seeds were first dried under shade conditions at 25 °C until reaching a humidity of about 12%. Next, three replicates from each plot were randomly selected and weighed with an accurate scale with an accuracy of 0.001 g. Finally, based on the obtained data, the weight of a thousand seeds was calculated and the average obtained was reported as the weight of 1000 seeds [31]. To measure the biological and seed yield, the plants of the middle 4 rows of each plot were harvested. Harvesting was performed in the physiological ripening stage. At this stage, the color of the capitols becomes dark (at least brown). After transporting the harvested plants to the laboratory, their weight was measured with a scale with an accuracy of 0.1 g. Then the seeds were separated from the capitols and after drying and cleaning, the seed yield was recorded at 12% humidity. The final report was biological yield and grain yield based on kg ha−1. To measure the percentage of oil, a 50 g sample of seeds was randomly selected from each plot and ground. A total of 2 g of the dried sample of each plot was selected and its oil was extracted by Soxhlet method for 16 h in the presence of petroleum ether solvent. The percentage of oil per gram of dry matter was calculated and reported [32]. Harvest index was determined by the following formula:
Harvest index = [seed yield/biomass yield] × 100

2.4. Statistical Analyses

All data were statistically analyzed by analyzing variance (ANOVA) separately for each year using MSTATC and SAS-9.1. Treatment means were compared with Fisher’s protected LSD test at p < 0.05.

3. Results

3.1. Effect of Zn Application on Plant Growth (First-Year Data)

First, we studied the effect of ZnO application in plant yield. In the first year, the foliar application of ZnO significantly affected (p < 0.01) in all studied traits, except 1000 grains weight (Table 4). The maximum values of biomass yield, capitula per plant, seeds per capitula, and seed yield were recorded with foliar applications of ZnO at 6, 8, and 10 g L−1 (Table 5). The effect of ZnO sprayings at these concentrations (6, 8, and 10 g L−1) was more pronounced in the number of capitula per plant (14.7% to 15.6% increase compared with control) and the number of seeds per capitula (11.2% to 18.4% increase compared with control). By contrast, the effect of ZnO foliar applications at concentrations of 6, 8, and 10 g L−1 was less pronounced on biomass yield (3.4% to 3.8% increase compared with control) and seed yield (2.8% to 3.4% increase compared with control). Overall, ZnO at concentrations of 6, 8 and 10 g L−1 had the greatest impact on the measured traits.

3.2. Effect of Nano Zn Particles Application on Plant Growth under Different Irrigation Regimes (Second Year)

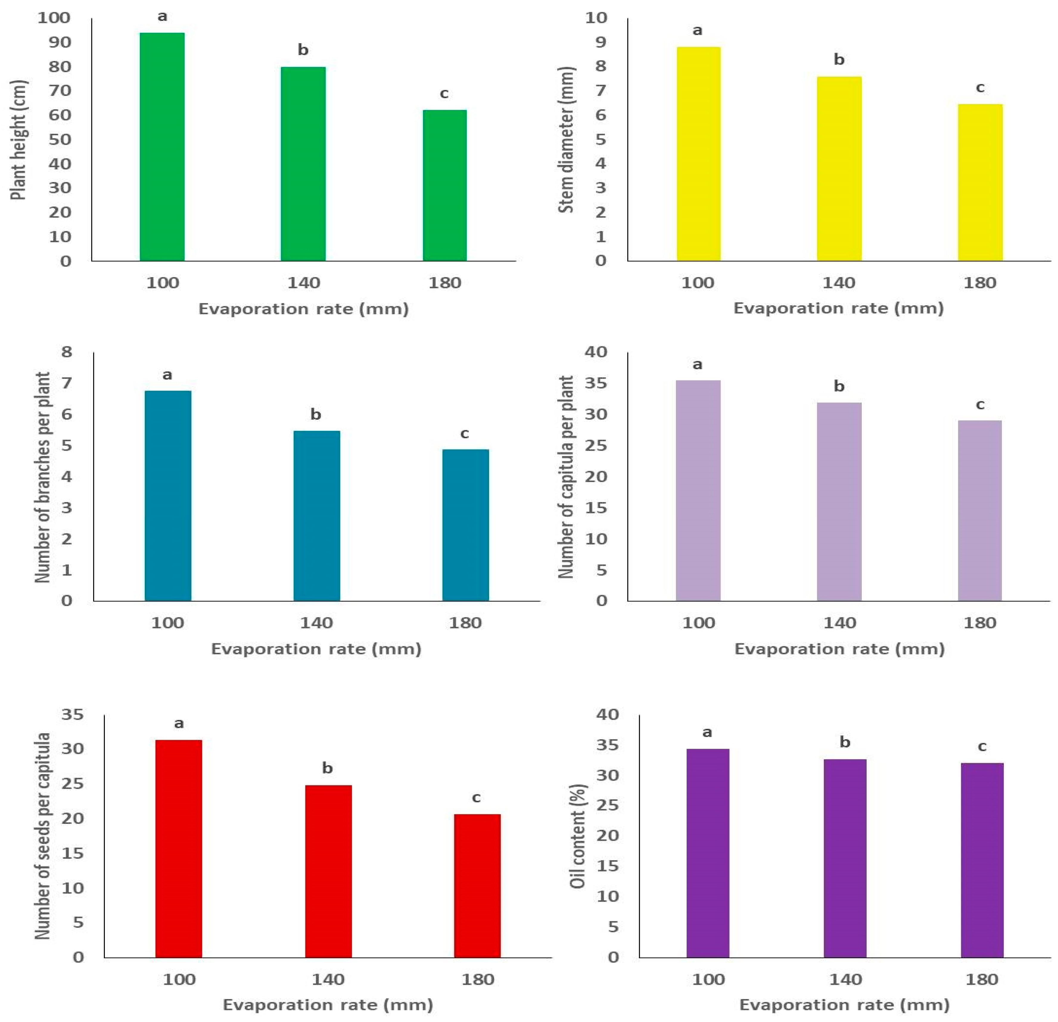
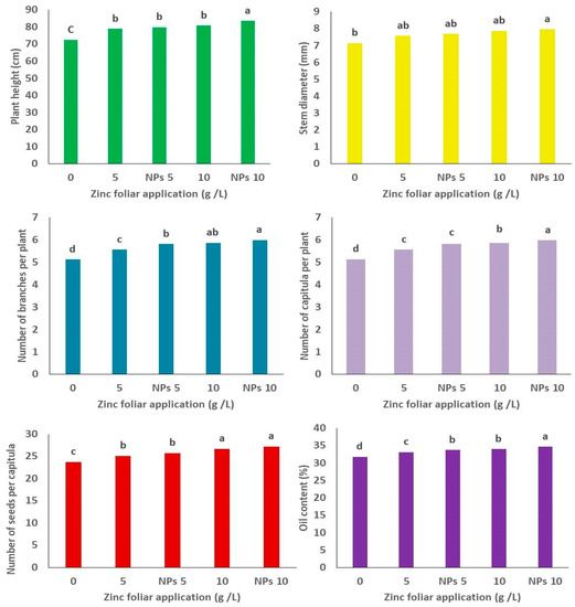
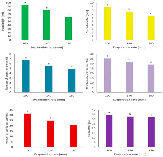
After assessing the effect of ZnO foliar application, we studied the separated effect of irrigation regime and ZnO-NP foliar application. It had a significant impact on all studied traits, without significant interaction for height, stem diameter, number of branches per plant, and number of seeds per capitulum (Table 6). Therefore, the main effects of each factor are presented for these traits (Figure 1 and Figure 2). The recorded values of the measured characteristics were reduced with increasing irrigated intervals (Figure 1). The greatest effect was observed on plant height, the number of branches per plant, and the number of seeds per capitulum. The average plant height of safflower plants under irrigation after 140 mm and 180 mm evaporation was decreased by 15.0% and 33.7%, respectively, compared with irrigation after 100 mm evaporation. Similarly, the average number of branches per safflower plant under irrigation after 140 mm and 180 mm evaporation was decreased by 19.2% and 27.9%, respectively, while the average number of seeds per capitulum under irrigation after 140 mm and 180 mm evaporation was decreased by 20.5% and 33.8%, respectively. The other variables suffered lower reduction under irrigation after 140 mm and 180 mm evaporation (Figure 1). Foliar application of ZnO, irrespective of form and rate, showed a beneficial effect on all studied traits, except stem diameter (Figure 2). Averaged over Zn forms and rates, the maximum beneficial effect of ZnO foliar applications was 13.2% for branches per plant, 11.5% for plant height, 10.4% for the number of capitula per plant, and 10.4% for the number of seeds per capitulum compared with control. The ZnO-NPs at 10 g L−1 showed the maximum values of the aforementioned traits (Figure 2).

3.3. Effect of ZnO and ZnO-NP in Alleviating Water Stress

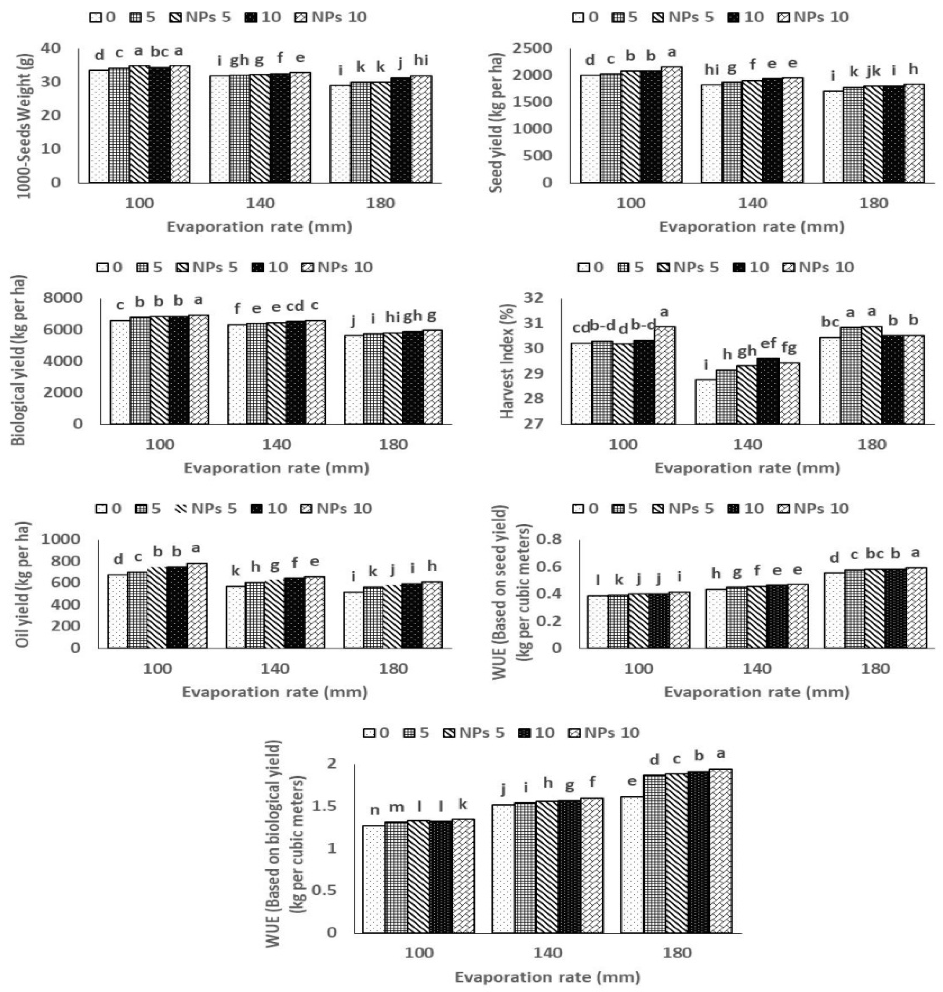
Having determined the individual effect of water stress and foliar application of zinc we wanted to determine the joint effect of these two factors. A significant interaction between irrigation and ZnO foliar application was observed for biomass yield, seed yield, oil yield, harvest index, and 1000 seeds weight (Table 6). The interaction effects between irrigation regime and Zn foliar application for these traits are presented in Figure 3. Foliar applications of Zn, irrespective of form and rate, increased biomass yield, seed yield, and oil yield in each irrigation regime compared with control. The greatest effect was observed for oil yield, where an average increase of 10.4%, 11.3%, and 13.7% under irrigation after evaporation of 100 mm, 140 mm, and 180 mm, respectively, was observed with ZnO foliar applications. Among ZnO treatments, the NP form of Zn (ZnO-NPs) at the rate of 10 g L−1 provided the highest values under any irrigation regime. The effect of ZnO foliar applications on harvest index was marginal, whereas a significant increase in 1000 seeds weight was observed with ZnO foliar applications, particularly under irrigation after evaporation of 180 mm. In the latter case, the NP form of Zn (ZnO-NPs) at the rate of 10 g L−1 provided the highest values of 1000 seeds weight under any irrigation regime. The foliar spraying of zinc at all irrigation levels led to a significant increase in water use efficiency based on grain and biological yield (Figure 3).

4. Discussion

This study assessed the effect of foliar applications of ZnO on safflower growth and yield under different irrigation regimes. Our results indicated that foliar sprayings with ZnO increased safflower yield. Specifically, the optimal spraying concentration was determined in the 5 to 10 g L−1 range. It is known that foliar Zn application may increase the yield of wheat under alkaline soils [33]. Here, we showed that ZnO application also increased the yield of a different crop under a different stress condition. In our study, the biomass yield was increased by improving photosynthesis and dry matter accumulation in the plant. Moreover, the number of capitula per plant and seeds per capitula significantly increased by ZnO foliar applications. Drought stress is a major cue for agriculture. It is known that drought decreases yield and affects plant mineral nutrition [34]. Previous studies reported that drought stress reduced oil yield, chlorophyll fluorescence, and membrane stability in safflower [35,36]. Previous research also reported that reducing water supply in safflower plants decreased stomatal conductance and led to an increase in leaf temperature during the seed-filling stage [37]. The quality and quantity of safflower oil yield were affected by irrigation regimes. Increasing irrigation intervals reduced the amount of palmitic, stearic, oleic, and linoleic acid in safflower [38,39]. We observed in our study the reduction in growth due to water stress, thus validating our experimental design.
As expected, water restriction led to a significant reduction in growth parameters and seed yield of safflower, but foliar sprayings either with ZnO or ZnO-NPs significantly improved growth parameters and yield. The positive impact of foliar Zn application was evident under water limitation. This finding indicated that applying this element can help the plant to maintain its biological efficiency and high production under suboptimal growth conditions. Zn availability is a limiting factor in most arid and semi-arid regions [40]. Zn plays a major role in alleviating plant drought stress by increasing the amount of photosynthetic pigments and the amount of reactive oxygen species (ROS) scavengers as well as reducing lipid peroxidation, as recently reported in wheat and maize [41,42]. Production of ROS and sensitivity of plants to photo oxidative damage in chloroplasts caused by drought stress are aggravated under low Zn conditions [43]. Keeping in view the above facts, the results described in this report can be of great help for farmers, given the essentiality of Zn for plant development, and the requirement for safflower cultivation [44,45].
The use of nano-fertilizers leads to increasing the efficiency of the consumption of nutrients, reducing the negative environmental effects of using chemical fertilizers, and reducing the frequency of fertilization. As a result of drought stress and a decrease in soil moisture, the absorption of nutrients, especially micronutrients, including iron and zinc, shows a significant decrease [46]. This decrease in the absorption of elements is one of the critical factors in reducing the quantitative and qualitative yield in crops such as safflower that are cultivated in arid and semi-arid areas. Many enzymes require nutrients such as zinc for activation [47]. According to the results of this research, the morphological and physiological condition of the plant has been improved, especially under drought conditions. This improvement in yield may be explained by counteracting the known symptoms of Zn deficiency at the developmental level [48] including the observed increase in oil content in the seed [49]. Results of this study showed that the use of nanomaterials and the application via foliar spraying leads to increased growth and yield. This can be attributed to the nature of nanomaterials. Nanoparticles are easily and efficiently absorbed after being sprayed on the surface of the plant. There are not many studies in the literature describing the effects of nanoparticles on plant growth or stress response and the behavior of various NPs in plants is not entirely clear [27]. In this study, we described that using of 10 g L−1 ZnO-NPs had the most favorable impact on the improvement of safflower growth parameters, especially when increasing irrigation intervals, suggesting that ZnO-NPs are absorbed by safflower better than its normal form. Due to their small dimensions (1 to 100 nm), the availability of ZnO-NPs to plants can be greater compared to the standard ZnO. The main advantage of nano-fertilizers, in addition to promoting the growth and performance of products, is their compatibility with the environment compared with conventional chemical fertilizers. So, the use of NP can be a great molecular tool for enhancing plant nutrition and stress resistance. It is also important to remark that using of NP allows a decrease in the amount of ZnO, due to a more efficient absorption or transport, thus NP is a good strategy to enhance efficiency, and save minerals, which may be expensive or limited. The results in the present study provide a description for a novel and useful tool for farmers especially in arid and semi-arid areas.

5. Conclusions

Foliar sprayings with ZnO in the range of 5 to 10 g L−1 led to an increase in safflower yield. Based on our results, foliar micronutrients such as zinc improve safflower quantitative and qualitative traits of growth and yield, under conditions of limited water availability. Spraying with ZnO and ZnO-NPs at a concentration of 10 g L−1 can be beneficial to safflower growth by counteracting the effect of limited water availability. Specifically, plant height, stem diameter, number of branches per plant, number of pods per plant, number of seeds per pod, the weight of 1000 seeds, seed yield, biological yield, harvest index, and oil yield were improved upon foliar application of Zn-NP. The use of NP allows using ZnO in a most efficient manner; therefore, provide a useful tool for farmers.

Author Contributions

Conceptualization, M.G., Y.R.D. and R.P.; methodology, R.A., S.N. and R.P.; software, M.G. and R.P.; validation, Y.R.D.; formal analysis, M.G. and Y.R.D.; investigation, R.A. and S.N.; resources, M.G. and Y.R.D.; data curation, J.M.M.; writing—original draft preparation, M.G.; Y.R.D. and J.M.M.; writing—review and editing, Y.R.D., J.M.M. and R.P.; supervision, M.G. and Y.R.D.; project administration, M.G.; funding acquisition, Y.R.D. and J.M.M.; All authors have read and agreed to the published version of the manuscript.

Funding

This research received no external funding.

Conflicts of Interest

The authors declare no conflict of interest.

References

  1. Yeilaghi, H.; Arzani, A.; Ghaderian, M.; Fotovat, R.; Feizi, M.; Pourdad, S.S. Effect of salinity on seed oil content and fatty acid composition of safflower (Carthamus tinctorius L.) genotypes. Food Chem. 2012, 130, 618–625. [Google Scholar] [CrossRef]
  2. Delshad, E.; Yousefi, M.; Sasannezhad, P.; Rakhshandeh, H.; Ayati, Z. Medical uses of Carthamus tinctorius L. (Safflower): A comprehensive review from Traditional Medicine to Modern Medicine. Electron. Physician 2018, 10, 6672–6681. [Google Scholar] [CrossRef]
  3. Turgumbayeva, A.; Ustenova, G.; Rakhimov, K.; Ross, S. Phytochemistry And Pharmacological Activities Of Safflower Carthamus tinctorius L. Planta Medica 2016, 82, PC80. [Google Scholar] [CrossRef]
  4. Turgut, B. Comparison of wheat and safflower cultivation areas in terms of total carbon and some soil properties under semi-arid climate conditions. Solid Earth 2015, 6, 719–725. [Google Scholar] [CrossRef]
  5. Chavoushi, M.; Najafi, F.; Salimi, A.; Angaji, S.A. Effect of salicylic acid and sodium nitroprusside on growth parameters, photosynthetic pigments and secondary metabolites of safflower under drought stress. Sci. Hortic. 2019, 259, 108823. [Google Scholar] [CrossRef]
  6. Tunçtürk, M.; Tunçtürk, R.; Yildirim, B.; Çiftçi, V. Changes of micronutrients, dry weight and plant development in canola (Brassica napus L.) cultivars under salt stress. African J. Biotechnol 2013, 10, 3726–3730. [Google Scholar]
  7. Sein-Echaluce, V.C.; Mulet, J.M.; Barja, M.V.; Peleato, M.L.; Fillat, M.F. Exploring the Ability of Cyanobacterial Ferric Uptake Regulator (FUR) Proteins to Increase Yeast Tolerance to Abiotic Stresses. In Cyanobacterial Lifestyle and Its Applications in Biotechnology; Academic Press: London, UK, 2021; pp. 179–196. [Google Scholar] [CrossRef]
  8. Sisakht, S.N.E.; KordLaghari, K.P.; Keshavarz, K. Influence of Zn and ferrous sulfate on yield and yield component of Phaseolus vulgaris. Int. J. Biosci. 2015, 6, 123–129. [Google Scholar]
  9. Saha, B.; Saha, S.; Saha, R.; Hazra, G.C.; Mandal, B. Influence of Zn, B and S on the yield and quality of groundnut (Arachis hypogea L.). Legum. Res. Int. J. 2015, 38, 832–836. [Google Scholar] [CrossRef]
  10. Rengasamy, K.R.; Kulkarni, M.G.; Pendota, S.C.; Van Staden, J. Enhancing growth, phytochemical constituents and aphid resistance capacity in cabbage with foliar application of eckol—A biologically active phenolic molecule from brown seaweed. New Biotechnol. 2016, 33, 273–279. [Google Scholar] [CrossRef]
  11. Movahhedy-Dehnavy, M.; Modarres-Sanavy, S.A.M.; Mokhtassi-Bidgoli, A. Foliar application of zinc and manganese im-proves seed yield and quality of safflower (Carthamus tinctorius L.) grown under water deficit stress. Ind. Crops Prod. 2009, 30, 82–92. [Google Scholar] [CrossRef]
  12. Dehnavi, M.M.; Mohammad, S.A.; Sanavy, M. Effects of Withholding Irrigation and Foliar Application of Zinc and Manganese on Fatty Acid Composition and Seed Oil Content in Winter Safflower. In Proceedings of the 7th International Safflower Conference, Wagga Wagga, Australia, 3–6 November 2008. [Google Scholar]
  13. Mousa, G.T.; El-Sallami, I.H.; Ali, E.F. Response of Nigella sativa, L. to foliar application of gibberellic acid, benzyladenine, iron and zinc. Assiut J. Agric. Sci. 2003, 32, 141–156. [Google Scholar]
  14. Fang, Y.; Wang, L.; Xin, Z.; Zhao, L.; An, X.; Hu, Q. Effect of Foliar Application of Zinc, Selenium, and Iron Fertilizers on Nutrients Concentration and Yield of Rice Grain in China. J. Agric. Food Chem. 2008, 56, 2079–2084. [Google Scholar] [CrossRef] [PubMed]
  15. El-Gizawy, N.K.B.; Mehasen, S.A.S. Response of faba bean to bio, mineral phosphorus fertilizers and foliar application with zinc. World App. Sci. J. 2009, 6, 1359–1365. [Google Scholar]
  16. Potarzycki, J.; Grzebisz, W. Effect of zinc foliar application on grain yield of maize and its yielding compone. Plant Soil Environ. 2009, 55, 519–527. [Google Scholar] [CrossRef]
  17. Bybordi, A.; Mamedov, G. Evaluation of Application Methods Efficiency of Zinc and Iron for Canola(Brassica napus L.). Not. Sci. Biol. 1970, 2, 94–103. [Google Scholar] [CrossRef]
  18. Nasiri, Y.; Zehtab-Salmasi, S.; Nasrullahzadeh, S.; Najafi, N.; Ghassemi-Golezani, K. Effects of foliar application of micronu-trients (Fe and Zn) on flower yield and essential oil of chamomile (Matricaria chamomilla L.). J. Med. Plant Res. 2010, 4, 1733–1737. [Google Scholar]
  19. Heidarian, A.R.; Kord, H.; Mostafavi, K.; Mashhadi, F.A. Investigating Fe and Zn foliar application on yield and its com-ponents of soybean (Glycine max (L.) Merr.) at different growth stages. J. Agric. Biotechnol. Sustain. Dev. 2011, 3, 189–197. [Google Scholar]
  20. Duhan, J.S.; Kumar, R.; Kumar, N.; Kaur, P.; Nehra, K.; Duhan, S. Nanotechnology: The new perspective in precision agri-culture. Biotechnol. Rep. 2017, 15, 11–23. [Google Scholar] [CrossRef]
  21. Rikabad, M.M.; Pourakbar, L.; Moghaddam, S.S.; Popović-Djordjević, J. Agrobiological, chemical and antioxidant properties of saffron (Crocus sativus L.) exposed to TiO2 nanoparticles and ultraviolet-B stress. Ind. Crop. Prod. 2019, 137, 137–143. [Google Scholar] [CrossRef]
  22. Panwar, J. Positive Effect of Zinc Oxide Nanoparticles on Tomato Plants: A Step towards Developing Nano-Fertilizers. In Proceedings of the International Conference on Environmental Research and Technology (ICERT), Penang, Malaysia, 30 May–1 June 2012. [Google Scholar]
  23. Bozorgi, H.R. Study effects of nitrogen fertilizer management under nano iron chelate foliar spraying on yield and yield components of eggplant (Solanum melongena L.). J. Agric. Biol. Sci. 2012, 7, 233–237. [Google Scholar]
  24. Sheykhbaglou, R.; Sedghi, M.; Shishevan, M.T.; Sharifi, R.S. Effects of Nano-Iron Oxide Particles on Agronomic Traits of Soybean. Not. Sci. Biol. 2010, 2, 112–113. [Google Scholar] [CrossRef]
  25. Elfeky, S.A.; Mohammed, M.A.; Khater, M.S.; Osman, Y.A.; Elsherbini, E. Effect of magnetite nano-fertilizer on growth and yield of Ocimum basilicum L. Int. J. Indig. Med. Plants 2013, 46, 1286–11293. [Google Scholar]
  26. Wang, S.J.; Liu, Q.; Song, H.X. Effects of nano-preparation on growth and nitrogen fertilizer use efficiency on cabbage. J. Chin. Agric. Sci. Bul. 2011, 27, 264–267. [Google Scholar]
  27. Rajput, V.D.; Minkina, T.M.; Behal, A.; Sushkova, S.N.; Mandzhieva, S.; Singh, R.; Movsesyan, H.S. Effects of zinc-oxide na-noparticles on soil, plants, animals and soil organisms: A review. Environ. Nanotechnol. Monitor. Manag. 2018, 9, 76–84. [Google Scholar] [CrossRef]
  28. Lee, S.; Chung, H.; Kim, S.; Lee, I. The Genotoxic Effect of ZnO and CuO Nanoparticles on Early Growth of Buckwheat, Fagopyrum Esculentum. Water Air Soil Pollut. 2013, 224, 1668. [Google Scholar] [CrossRef]
  29. Raskar, S.V.; Laware, S.L. Effect of zinc oxide nanoparticles on cytology and seed germination in onion. Int. J. Curr. Microbiol. App. Sci. 2014, 3, 467–473. [Google Scholar]
  30. Karimi, E.; Tadayyon, A. Effect of humic acid spraying on yield and some morphological characteristic of safflower (Car-thamus tinctorius L.) under drought stress conditions. Field Crops Res. 2018, 31, 19–38. [Google Scholar]
  31. Naserzadeh, Y.; Kartoolinejad, D.; Mahmoudi, N.; Zargar, M.; Pakina, E.; Heydari, M.; Astarkhanova, T.; Kavhiza, N.J. Nine strains of Pseudomonas fluorescens and P. putida: Effects on growth indices, seed and yield production of Carthamus tinc-torius L. Res. Crops 2018, 19, 622–632. [Google Scholar]
  32. Roche, J.; Mouloungui, Z.; Cerny, M.; Merah, O. Effect of Sowing Dates on Fatty Acids and Phytosterols Patterns of Carthamus tinctorius L. Appl. Sci. 2019, 9, 2839. [Google Scholar] [CrossRef]
  33. Khattak, S.G.; Dominy, P.J.; Ahmad, W. Effect of Zn as soil addition and foliar application on yield and protein content of wheat in alkaline soil. J. Natl. Sci. Found. Sri Lanka 2015, 43, 303. [Google Scholar] [CrossRef]
  34. Chevilly, S.; Dolz-Edo, L.; López-Nicolás, J.M.; Morcillo, L.; Vilagrosa, A.; Yenush, L.; Mulet, J.M. Physiological and molecular characterization of the differential response of broccoli (Brassica oleracea var. Italica) cultivars reveals limiting factors for broccoli tolerance to drought stress. J. Agric. Food Chem. 2021, 69, 10394–10404. [Google Scholar] [CrossRef] [PubMed]
  35. Yadollahi, P.; Asgharipour, M.R.; Kheiri, N.; Ghaderi, A. Effects of drought stress and different types of organic fertilizers on the yield and yield components of safflower (Carthamus tinctorius L.). J. Oil Plant Prod. 2015, 1, 27–40. [Google Scholar]
  36. Mosupiemang, M.; Emongor, V.E.; Malambane, G. A Review of Drought Tolerance in Safflower. Int. J. Plant Soil Sci. 2022, 140–149. [Google Scholar] [CrossRef]
  37. Hussain, M.I.; Lyra, D.-A.; Farooq, M.; Nikoloudakis, N.; Khalid, N. Salt and drought stresses in safflower: A review. Agron. Sustain. Dev. 2015, 36, 4. [Google Scholar] [CrossRef]
  38. Ashrafi, E.; Razmjoo, K. Effect of Irrigation Regimes on Oil Content and Composition of Safflower ( Carthamus tinctorius L.) Cultivars. J. Am. Oil Chem. Soc. 2010, 87, 499–506. [Google Scholar] [CrossRef]
  39. Heidari, M.; Tohidimoghadam, H.R.; Ghooshchi, F.; Modares Sanavi, S.A.M.; Kasraie, P. Effect of seed priming and foliar application of growth regulators on morphophysiological changes and safflower grain and oil yield under drought stress. Environ. Stresses Crop Sci. 2022, 15, 1073–1089. [Google Scholar]
  40. Ekiz, H.; Bagci, S.A.; Kiral, A.S.; Eker, S.; Gültekin, I.; Alkan, A.; Cakmak, I. Effects of zinc fertilization and irrigation on grain yield and zinc concentration of various cereals grown in zinc-deficient calcareous soils. J. Plant Nutr. 1998, 21, 2245–2256. [Google Scholar] [CrossRef]
  41. Ma, D.; Sun, D.; Wang, C.; Ding, H.; Qin, H.; Hou, J.; Huang, X.; Xie, Y.; Guo, T. Physiological Responses and Yield of Wheat Plants in Zinc-Mediated Alleviation of Drought Stress. Front. Plant Sci. 2017, 8, 860. [Google Scholar] [CrossRef]
  42. Moghadam, H.R.T.; Zahedi, H.; Ashkiani, A. Effect of zinc foliar application on auxin and gibberellin hormones and catalase and superoxide dismutase enzyme activity of corn (Zea mays L) under water stress. Maydica 2013, 58, 218–223. [Google Scholar]
  43. Cakmak, I. Possible roles of zinc in protecting plant cells from damage by reactive oxygen species. New Phytol. 2000, 146, 185–205. [Google Scholar] [CrossRef]
  44. Hafeez, B.M.K.Y.; Khanif, Y.M.; Saleem, M. Role of zinc in plant nutrition-a review. Am. J. Experiment Agric. 2013, 3, 374. [Google Scholar] [CrossRef]
  45. Sugano, S.; Kaminaka, H.; Rybka, Z.; Catala, R.; Salinas, J.; Matsui, K.; Ohme-Takagi, M.; Takatsuji, H. Stress-responsive zinc finger gene ZPT2-3 plays a role in drought tolerance in petunia. Plant J. 2003, 36, 830–841. [Google Scholar] [CrossRef]
  46. Al-Juthery, H.W.; Habeeb, K.H.; Altaee, F.J.K.; AL-Taey, D.K.; Al-Tawaha, A.R.M. Effect of foliar application of different sources of nano-fertilizers on growth and yield of wheat. Biosci. Res. 2018, 4, 3976–3985. [Google Scholar]
  47. Drostkar, E.; Talebi, R.; Kanouni, H. Foliar application of Fe, Zn and NPK nano-fertilizers on seed yield and morphological traits in chickpea under rainfed condition. J. Res. Ecol. 2016, 4, 221–228. [Google Scholar]
  48. Mahil, E.I.T.; Kumar, B.A. Foliar application of nanofertilizers in agricultural crops–A review. J. Farm. Sci. 2019, 32, 239–249. [Google Scholar]
  49. Rossi, L.; Fedenia, L.N.; Sharifan, H.; Ma, X.; Lombardini, L. Effects of foliar application of zinc sulfate and zinc nanoparticles in coffee (Coffea arabica L.) plants. Plant Physiol. Biochem. 2018, 135, 160–166. [Google Scholar] [CrossRef]
Figure 1. Main effects of irrigation levels on safflower traits. Different letters within each variable indicate significant differences at p < 0.05 based on Fisher’s protected LSD test.
Figure 1. Main effects of irrigation levels on safflower traits. Different letters within each variable indicate significant differences at p < 0.05 based on Fisher’s protected LSD test.
Agronomy 13 00192 g001
Figure 2. Main effects of zinc application on safflower traits. Different letters within each variable indicate significant differences at p < 0.05 based on Fisher’s protected LSD test.
Figure 2. Main effects of zinc application on safflower traits. Different letters within each variable indicate significant differences at p < 0.05 based on Fisher’s protected LSD test.
Agronomy 13 00192 g002
Figure 3. Interaction effects of irrigation regime and zinc spraying level on safflower traits. Different letters within each variable indicate significant differences at p < 0.05 based on Fisher’s protected LSD test.
Figure 3. Interaction effects of irrigation regime and zinc spraying level on safflower traits. Different letters within each variable indicate significant differences at p < 0.05 based on Fisher’s protected LSD test.
Agronomy 13 00192 g003
Table 1. Zinc oxide nanoparticle characteristics.
Table 1. Zinc oxide nanoparticle characteristics.
VariableValue
Density (kg m−3)105
Interpretive levels (m2 g−1)40
Purity (%)99.8
Diameter (nm)6
Particle shapeSpherical
ColorYellowish white
Table 2. Soil characteristics.
Table 2. Soil characteristics.
VariableValue
Nitrogen (%)6
Phosphorus (ppm)10.4
Potassium (ppm)250
Organic carbon (%)0.6
Zn (mg/kg)0.19
Fe (mg/kg)4.12
Sand (%)39
Silt (%)35
Clay (%)26
Lime T.N.V.13
Saturation % (SP)43
Electrical conductivity (dSm−1)1.1
pH7.8
TextureLoamy clay
Depth (cm)0–30
Table 3. Basic weather data during growing seasons.
Table 3. Basic weather data during growing seasons.
MonthMean Temperature (°C)Total Rainfall (mm)
2020202120202021
April12.612.421.89.6
May17.317.050.442.2
June21.822.82.23.1
July24.925.90.00.0
August25.023.90.310.0
September20.120.13.22.4
Average20.320.413.011.2
Table 4. ANOVA (mean squares) for measured traits influenced by foliar application of ZnO (first year).
Table 4. ANOVA (mean squares) for measured traits influenced by foliar application of ZnO (first year).
Source of VarianceBYCPSCSY1000 SW
Replication4809.0 ns0.12 ns0.16 ns190.3 ns53.0 **
ZnO application57,159.8 **1.1 **0.65 **3190.9 **50.2 ns
Error3559.70.10.05865.351.2
CV (%)8.89.78.265.313.19
** Significant at p < 0.01, ns: non-significant; BY: biomass yield (kg ha−1); CP: capitula per plant; SC: seeds per capitula; SY: seed yield (kg ha−1); 1000 SW: 1000 seeds weight (g).
Table 5. Effect of foliar application of ZnO on biomass yield, number of capitula per plant, number of seeds per capitula, and seed yield of safflower (first year).
Table 5. Effect of foliar application of ZnO on biomass yield, number of capitula per plant, number of seeds per capitula, and seed yield of safflower (first year).
ZnO Rate (g L−1)BYCPSCSY
06583 c30.81 c27.30 c1974 d
46721 b34.00 b28.89 b2007 c
66806 a35.33 a30.37 a2030 ab
86827 a35.47 a31.51 a2038 ab
106833 a35.61 a32.33 a2042 a
126823 b32.23 b28.48 b2027 b
146813 b32.01 b28.39 b2024 b
Different letters indicate statistically significant differences at p < 0.05 based on Fisher’s protected LSD test. BY: biomass yield (kg ha−1); CP: capitula per plant; SC: seeds per capitula; SY: seed yield (kg ha−1).
Table 6. ANOVA (mean squares) for measured traits influenced by foliar application of ZnO (second year).
Table 6. ANOVA (mean squares) for measured traits influenced by foliar application of ZnO (second year).
Source of VarianceBYCPSCSY1000 SWPHSDBPHIOYOCWUE
(SY)
WUE
(BY)
R2189 ns2.0 ns1.1 ns325.4 ns0.1 ns7.9 ns0.8 ns0.1 ns0.1 ns186.7 ns0.22 ns0.02 ns0.00002 ns
I3,986,641 **158.6 **429.5 **3088 **56.6 **3798.5 **20.6 **13.4 **7.7 **98,064.7 **47.7 **0.12 **1.16 **
Z143,066 **21.0 **17.0 **23,521 **3.8 ns133.4 **0.9 **1.1 **0.33 **12,930.8 **10.6 **0.001 **0.009 **
I × Z3233 **0.21 ns0.1 ns650.8 **0.8 **0.18 ns0.005 ns0.01 ns0.32 **166.8 **0.144 ns0.0035 **0.0005 **
Error760.580.5610.569141.60.0244.20.60.0230.0235.20.180.0090.003
CV (%)9.33.32.96.28.45.93.36.66.49.25.211.611.37
** Significant at p < 0.01, ns: non-significant; R: replication; I: Irrigation; Z: ZnO application; BY: biomass yield (kg ha−1); CP: capitula per plant; SC: seeds per capitula; SY: seed yield (kg ha−1); 1000 SW: 1000 seeds weight (g); PH: plant height (cm); SD: stem diameter (mm); BP: branches per plant; HI: harvest index (%); OY: oil yield (kg ha−1); OC: oil content (%); WUE (SY): water use efficiency based on seed yield (kg m3); and WUE (BY): water use efficiency based on biological yield (kg m−3).
Disclaimer/Publisher’s Note: The statements, opinions and data contained in all publications are solely those of the individual author(s) and contributor(s) and not of MDPI and/or the editor(s). MDPI and/or the editor(s) disclaim responsibility for any injury to people or property resulting from any ideas, methods, instructions or products referred to in the content.

Share and Cite

MDPI and ACS Style

Ghiyasi, M.; Rezaee Danesh, Y.; Amirnia, R.; Najafi, S.; Mulet, J.M.; Porcel, R. Foliar Applications of ZnO and Its Nanoparticles Increase Safflower (Carthamus tinctorius L.) Growth and Yield under Water Stress. Agronomy 2023, 13, 192. https://doi.org/10.3390/agronomy13010192

AMA Style

Ghiyasi M, Rezaee Danesh Y, Amirnia R, Najafi S, Mulet JM, Porcel R. Foliar Applications of ZnO and Its Nanoparticles Increase Safflower (Carthamus tinctorius L.) Growth and Yield under Water Stress. Agronomy. 2023; 13(1):192. https://doi.org/10.3390/agronomy13010192

Chicago/Turabian Style

Ghiyasi, Mahdi, Younes Rezaee Danesh, Reza Amirnia, Solmaz Najafi, José M. Mulet, and Rosa Porcel. 2023. "Foliar Applications of ZnO and Its Nanoparticles Increase Safflower (Carthamus tinctorius L.) Growth and Yield under Water Stress" Agronomy 13, no. 1: 192. https://doi.org/10.3390/agronomy13010192

APA Style

Ghiyasi, M., Rezaee Danesh, Y., Amirnia, R., Najafi, S., Mulet, J. M., & Porcel, R. (2023). Foliar Applications of ZnO and Its Nanoparticles Increase Safflower (Carthamus tinctorius L.) Growth and Yield under Water Stress. Agronomy, 13(1), 192. https://doi.org/10.3390/agronomy13010192

Note that from the first issue of 2016, this journal uses article numbers instead of page numbers. See further details here.

Article Metrics

Back to TopTop