Investigating Stability Parameters for Agronomic and Quality Traits of Durum Wheat Grown under Mediterranean Conditions
Abstract
:1. Introduction
2. Materials and Methods
2.1. Plant Material
2.2. Field Experimental Conditions and Design
2.3. Data Collection for Agronomic and Quality Traits
2.4. Statistical Analysis
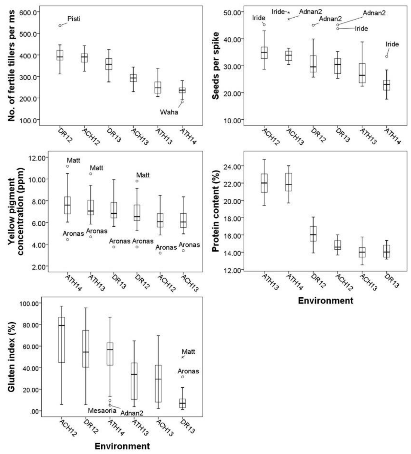
3. Results
4. Discussion
5. Conclusions
Supplementary Materials
Author Contributions
Funding
Data Availability Statement
Acknowledgments
Conflicts of Interest
References
- Habash, D.Z.; Kehel, Z.; Nachit, M. Genomic approaches for designing durum wheat ready for climate change with a focus on drought. J. Exp. Bot. 2009, 60, 2805–2815. [Google Scholar] [CrossRef] [PubMed]
- Royo, C.; Ammar, K.; Alfaro, C.; Dreisigacker, S.; del Moral, L.F.G.; Villegas, D. Effect of Ppd-1 photoperiod sensitivity genes on dry matter production and allocation in durum wheat. Field Crops Res. 2018, 221, 358–367. [Google Scholar] [CrossRef]
- Royo, C.; Maccaferri, M.; Álvaro, F.; Moragues, M.; Sanguineti, M.C.; Tuberosa, R.; Maalouf, F.; Moral, L.F.G.d.; Demontis, A.; Rhouma, S.; et al. Understanding the relationships between genetic and phenotypic structures of a collection of elite durum wheat accessions. Field Crops Res. 2010, 119, 91–105. [Google Scholar] [CrossRef]
- Guzmán, C.; Autrique, J.E.; Mondal, S.; Singh, R.P.; Govindan, V.; Morales-Dorantes, A.; Posadas-Romano, G.; Crossa, J.; Ammar, K.; Peña, R.J. Response to drought and heat stress on wheat quality, with special emphasis on bread-making quality, in durum wheat. Field Crops Res. 2016, 186, 157–165. [Google Scholar] [CrossRef]
- Hadjichristodoulou, A. The stability of the number of tillers of barley varieties and its relation with consistency of performace. Euphytica 1985, 34, 641–649. [Google Scholar] [CrossRef]
- De Vita, P.; Nicosia, O.L.D.; Nigro, F.; Platani, C.; Riefolo, C.; Di Fonzo, N.; Cattivelli, L. Breeding progress in morpho-physiological, agronomical and qualitative traits of durum wheat cultivars released in Italy during the 20th century. Eur. J. Agron. 2007, 26, 9–53. [Google Scholar] [CrossRef]
- van Eeuwijk, F.A.; Bustos-Korts, D.V.; Malosetti, M. What Should Students in Plant Breeding Know About the Statistical Aspects of Genotype × Environment Interactions? Crop Sci. 2016, 56, 2119–2140. [Google Scholar] [CrossRef]
- Rharrabti, Y.; del Moral, L.G.; Villegas, D.; Royo, C. Durum wheat quality in Mediteranean environments III stability and comparative methods in analysing GE interactions. Field Crops Res. 2003, 80, 141–146. [Google Scholar] [CrossRef]
- De Santis, M.A.; Soccio, M.; Laus, M.N.; Flagella, Z. Influence of Drought and Salt Stress on Durum Wheat Grain Quality and Composition: A Review. Plants 2021, 10, 2599. [Google Scholar] [CrossRef] [PubMed]
- Rharrabti, Y.; Villegas, D.; Royo, C.; Martos-Núñez, V.; del Moral, L.G. Durum wheat quality in Mediterranean environments II Influence of climatic variables and relationships between quality parameters. Field Crops Res. 2003, 80, 133–140. [Google Scholar] [CrossRef]
- Rharrabti, Y.; Villegas, D.; Del Moral, L.F.G.; Aparicio, N.; Elhani, S.; Royo, C. Environmental and genetic determination of protein content and grain yield in durum. Plant Breed. 2001, 120, 381–388. [Google Scholar] [CrossRef]
- Papadaskalopoulou, C.; Moriondo, M.; Lemesios, I.; Karali, A.; Konsta, A.; Dibari, C.; Brilli, L.; Varotsos, K.V.; Stylianou, A.; Loizidou, M.; et al. Assessment of Total Climate Change Impacts on the Agricultural Sector of Cyprus. Atmosphere 2020, 11, 608. [Google Scholar] [CrossRef]
- Elias, A.A.; Robbins, K.R.; Doerge, R.W.; Tuinstra, M.R. Half a Century of Studying Genotype × Environment Interactions in Plant Breeding Experiments. Crop Sci. 2016, 56, 2090–2105. [Google Scholar] [CrossRef]
- Vaezi, B.; Pour-Aboughadareh, A.; Mohammadi, R.; Mehraban, A.; Hossein-Pour, T.; Koohkan, E.; Ghasemi, S.; Moradkhani, H.; Siddique, K.H.M. Integrating different stability models to investigate genotype × environment interactions and identify stable and high-yielding barley genotypes. Euphytica 2019, 215, 63. [Google Scholar] [CrossRef]
- Becker, H.C.; Leon, J. Stability Analysis in Plant Breeding. Plant Breed. 1988, 101, 1–23. [Google Scholar] [CrossRef]
- Malosetti, M.; Ribaut, J.-M.; van Eeuwijk, F.A. The statistical analysis of multi-environment data: Modeling genotype by environment interaction and its genetic basis. Front. Physiol. 2013, 4, 44. [Google Scholar] [CrossRef] [Green Version]
- Pour-Aboughadareh, A.; Khalili, M.; Poczai, P.; Olivoto, T. Stability Indices to Deciphering the Genotype-by-Environment Interaction (GEI) Effect: An Applicable Review for Use in Plant Breeding Programs. Plants 2022, 11, 414. [Google Scholar] [CrossRef] [PubMed]
- Finlay, K.W.; Wilkinson, G.N. The analysis of adaptation in a wheat breeding program. Aust. J. Agric. Resour. 1963, 14, 742–754. [Google Scholar] [CrossRef] [Green Version]
- Eberhart, S.T.; Russell, W.A. Stability parameters of comparing varieties. Crop Sci. 1966, 6, 36–40. [Google Scholar] [CrossRef] [Green Version]
- Perkins, J.M.; Jinks, J.L. Environmental and genotype environmental componets of variability. Heredity 1967, 23, 339–356. [Google Scholar] [CrossRef] [Green Version]
- Crossa, J. Statistical Analyses of Multilocation Trials. Adv. Agron. 1990, 44, 55–85. [Google Scholar]
- Zobel, R.W.; Wright, M.J.; Gauch, H.G., Jr. Statistical Analysis of a Yield Trial. Agron. J. 1988, 80, 388–393. [Google Scholar] [CrossRef]
- Sabaghnia, N.; Sabaghpour, S.; Dehghani, H. The use of an AMMI model and its parameters to analyse yield stability in multi-environment trials. J. Agric. Sci. 2008, 146, 571–581. [Google Scholar] [CrossRef]
- Purchase, J.L.; Hatting, H.; Van Deventer, C.S. Genotype × environment interaction of winter wheat (Triticum aestivum L.) in South Africa: II. Stability analysis of yield performance. S. Afr. J. Plant Soil 2000, 17, 101–107. [Google Scholar] [CrossRef]
- Zaïm, M.; El Hassouni, K.; Gamba, F.; Filali-Maltouf, A.; Belkadi, B.; Sourour, A.; Amri, A.; Nachit, M.; Taghouti, M.; Bassi, F.M. Wide crosses of durum wheat (Triticum durum Desf.) reveal good disease resistance, yield stability, and industrial quality across Mediterranean sites. Field Crops Res. 2017, 214, 219–227. [Google Scholar] [CrossRef]
- Wricke, G. Übereine Methode zur Erfassung der ökologischen Streubreite in Feldversuchen. Z. Pflanzenzücht. 1962, 47, 92–96. [Google Scholar]
- Shukla, G.K. Some statistical aspects of partitioning genotype-environmental components of variability. Heredity 1972, 28, 237–245. [Google Scholar] [CrossRef]
- Francis, T.R.; Kannenberg, L.W. Yield stability studies in short season maize. I. A descriptive method for grouping genotypes. Can. J. Plant Sci. 1978, 58, 1029–1034. [Google Scholar] [CrossRef]
- Lin, C.S.; Binns, M.R. A superiority measure of cultivar performace for cultivar × location data. Can. J. Plant Sci. 1987, 68, 193–198. [Google Scholar] [CrossRef]
- Huehn, V.M. Beitrage zur erfassung der phanotypischen stabilitat. Med. Biol. 1979, 10, 112–117. [Google Scholar]
- Nassar, R.; Huehn, M. Studies on estimation of phenotypic stability test of significance for nonparametric measures of phenotypic stability. Biometrics 1987, 43, 45–53. [Google Scholar] [CrossRef]
- Lin, C.S.; Binns, M.R.; Lefkovitch, L.P. Stability Analysis: Where Do We Stand. Crop Sci. 1986, 26, 894–900. [Google Scholar] [CrossRef] [Green Version]
- Peterson, C.J.; Graybosch, R.A.; Baenziger, P.S.; Grombacher, A.W. Genotype and Environment Effects on Quality Characteristics of Hard Red Winter Wheat. Crop Sci. 1992, 32, 98–103. [Google Scholar] [CrossRef]
- Sadras, V.O.; Reynolds, M.P.; de la Vega, A.J.; Petrie, P.R.; Robinson, R. Phenotypic plasticity of yield and phenology in wheat, sunflower and grapevine. Field Crops Res. 2009, 110, 242–250. [Google Scholar] [CrossRef]
- Mohammadi, R. Phenotypic plasticity of yield and related traits in rainfed durum wheat. J. Agric. Sci. 2014, 152, 873–884. [Google Scholar] [CrossRef]
- Sadras, V.O.; Rebetzke, G.J. Plasticity of wheat grain yield is associated with plasticity of ear number. Crop Pasture Sci. 2013, 64, 234–243. [Google Scholar] [CrossRef]
- Grogan, S.M.; Anderson, J.; Baenziger, P.S.; Frels, K.; Guttieri, M.J.; Haley, S.D.; Kim, K.S.; Liu, S.; McMaster, G.S.; Newell, M.; et al. Phenotypic Plasticity of Winter Wheat Heading Date and Grain Yield across the US Great Plains. Crop Sci. 2016, 56, 2223–2236. [Google Scholar] [CrossRef]
- Knapp, S.; Brabant, C.; Oberforster, M.; Grausgruber, H.; Hiltbrunner, J. Quality traits in winter wheat: Comparison of stability parameters and correlations between traits regarding their stability. J. Cereal Sci. 2017, 77, 186–193. [Google Scholar] [CrossRef]
- Annicchiarico, P. Joint regression vs. AMMI analysis of genotype-environment interactions for cereals in Italy. Euphytica 1997, 94, 53–62. [Google Scholar] [CrossRef]
- Lozada, D.; Carter, A. Insights into the Genetic Architecture of Phenotypic Stability Traits in Winter Wheat. Agronomy 2020, 10, 368. [Google Scholar] [CrossRef] [Green Version]
- Araus, J.L.; Slafer, G.A.; Royo, C.; Serret, M.D. Breeding for yield potential and stress adaptation in cereals. Crit. Rev. Plant Sci. 2008, 27, 377–412. [Google Scholar] [CrossRef]
- Jalaluddin, M.D.; Harrison, S.A. Repeatability of Stability Estimators for grain yield in wheat. Crop Sci. 1993, 33, 720–725. [Google Scholar] [CrossRef]
- Sneller, C.H.; Kilgore-Norquest, L.; Dombek, D. Repeatability of yield stabillity statistics in soybean. Crop Sci. 1997, 37, 383–390. [Google Scholar] [CrossRef]
- Kabbaj, H.; Sall, A.T.; Al-Abdallat, A.; Geleta, M.; Amri, A.; Filali-Maltouf, A.; Belkadi, B.; Ortiz, R.; Bassi, F.M. Genetic diversity within a global panel of durum wheat landraces and modern germplasm reveals the history of alleles exchange. Front. Plant Sci. 2017, 8, 1277. [Google Scholar] [CrossRef] [Green Version]
- Kyratzis, A.C.; Nikoloudakis, N.; Katsiotis, A. Genetic variability in landraces populations and the risk to lose genetic variation. The example of landrace ‘Kyperounda’ and its implications for ex situ conservation. PLoS ONE 2019, 14, e0224255. [Google Scholar] [CrossRef]
- Josephides, C.M. Ourania, kholina and josephina, three new durum wheat cultivars adapted to cyprus conditions. Tech. Bull. 2007, 229, 1–8. [Google Scholar]
- De Santis, M.A.; Giuliani, M.M.; Giuzio, L.; De Vita, P.; Lovegrove, A.; Shewry, P.R.; Flagella, Z. Differences in gluten protein composition between old and modern durum wheat genotypes in relation to 20th century breeding in Italy. Eur. J. Agron. 2017, 87, 19–29. [Google Scholar] [CrossRef] [PubMed]
- AACC (American Asssociation of Cereal Chemists). Approved Methods of the AACC, Method 14–50. In American Association of Cereal Chemists Methods; AACC: Saint Paul, MN, USA, 1995. [Google Scholar]
- McDonald, C.E. Collaborative study on wet gluten and gluten index determinations for wheat flour or meal (AACC Method 38–12). Cereal Foods World 1994, 39, 403–405. [Google Scholar]
- Alvarado, G.; Marco, L.; Mateo, V.; Ángela, P.; Juan, R.F.B.; José, C. META-R (Multi Environment Trail Analysis with R for Windows) Version 6.04; CIMMYT: Veracruz, Mexico, 2015; Volume 23. [Google Scholar]
- Pacheco, Á.; Mateo, V.; Gregorio, A.; Francisco, R.; José, C.; Juan, B. GEA-R (Genotype × Environment Analysis with R for Windows) Version 4.1; CIMMYT: Veracruz, Mexico, 2015; Volume 16. [Google Scholar]
- Gollob, H.F. A statistical model which combines features of factor analytic and analysis of variance techniques. Psychometrika 1968, 33, 73–115. [Google Scholar] [CrossRef] [PubMed]
- Morpheus Online Software. Available online: https://software.broadinstitute.org/morpheus (accessed on 9 March 2022).
- Subira, J.; Álvaro, F.; del Moral, L.F.G.; Royo, C. Breeding effects on the cultivar × environment interaction of durum wheat yield. Eur. J. Agron. 2015, 68, 78–88. [Google Scholar] [CrossRef] [Green Version]
- Solomon, K.F.; Smit, H.A.; Malan, E.; Du Toit, W.J. Parametric model based assessment of genotype × environment interavctions of grain yield in durum wheat under irrigation. Int. J. Plant Prod. 2008, 2, 23–35. [Google Scholar]
- Mohammadi, R.; Sadeghzadeh, B.; Poursiahbidi, M.M.; Ahmadi, M.M. Integrating univariate and multivariate statistical models to investigate genotype × environment interaction in durum wheat. Ann. Appl. Biol. 2020, 178, 450–465. [Google Scholar] [CrossRef]
- Mohammadi, R.; Amri, A. Comparison of parametric and non-parametric methods for selecting stable and adapted durum wheat genotypes in variable environments. Euphytica 2007, 159, 419–432. [Google Scholar] [CrossRef]
- Flores, F.; Moreno, M.T.; Cubero, J.I. A comparison of univariate and multivariate methods to analyze G × E interaction. Field Crops Res. 1998, 56, 271–286. [Google Scholar] [CrossRef]
- Quintero, A.; Molero, G.; Reynolds, M.P.; Calderini, D.F. Trade-off between grain weight and grain number in wheat depends on G × E interaction: A case study of an elite CIMMYT panel (CIMCOG). Eur. J. Agron. 2018, 92, 17–29. [Google Scholar] [CrossRef]
- Ortiz, R.; Wagoire, W.W.; Hill, J.; Chandra, S.; Madsen, S.; Stølen, O. Heritability of the correlations among genotype by environment stability statistics for grain yeild in bread wheat. Theor. Appl. Genet. 2001, 103, 469–474. [Google Scholar] [CrossRef] [Green Version]
- Royo, C.; Martos, V.; Ramdani, A.; Villegas, D.; Rharrabti, Y.; García del Moral, L.F. Changes in yield and carbon isotope discrimination of italian and spanish durum wheat during the 20th century. Agron. J. 2008, 100, 352–360. [Google Scholar] [CrossRef]







| Experiment One | |||||||
| A/A | Name | Country of Registration/Origin | Year of Release | A/A | Name | Country of Registration/Origin | Year of Release |
| 1 | Aronas | Cyprus | 1977 | 11 | Pisti * | Greece | 2008 |
| 2 | Mesaoria | Cyprus | 1982 | 12 | Simeto * | Italy | 1988 |
| 3 | Karpasia | Cyprus | 1985 | 13 | Duilio | Italy | 1984 |
| 4 | Makedonia = KIA * 2/VIC CYD85-345-18D-OP-3P-OP * | Cyprus | 1994 | 14 | Iride | Italy | 1996 |
| 5 | Ourania = CULT.DW/T.DIC. CYD88-0A-0A-88A-2A-0A-1P-0P * | Cyprus | 2006 | 15 | Claudio * | Italy | 1998 |
| 6 | Hekabe = DRA”S”//LLOYD/KIA CYD89-862-0D-18P-0P-3P-0P * | Cyprus | 2003 | 16 | Svevo | Italy | 1996 |
| 7 | Anna | Greece | 2000 | 17 | Adnan2 | ICARDA | - |
| 8 | Atlas | Greece | 1995 | 18 | Omrabi5 | ICARDA | - |
| 9 | Matt * | Greece | 2003 | 19 | Korifla | ICARDA | - |
| 10 | Mexikali81 | Greece | 1985 | 20 | Waha * | ICARDA | - |
| Experiment Two | |||||||
| A/A | Name | Country of Registration/Origin | Year of Release | A/A | Name | Country of Registration/Origin | Year of Release |
| 1 | Hekabe = DRA”S”//LLOYD/KIA CYD89-862-0D-18P-0P-3P-0P * | Cyprus | 2003 | 9 | Pisti * | Greece | 2008 |
| 2 | Ourania = CULT.DW/T.DIC. CYD88-0A-0A-88A-2A-0A-1P-0P * | Cyprus | 2006 | 10 | Simeto * | Italy | 1988 |
| 3 | Icajihan 1 | ICARDA | - | 11 | Claudio * | Italy | 1998 |
| 4 | Icarasha 1 | ICARDA | - | 12 | Makedonia = KIA * 2/VIC CYD85-345-18D-OP-3P-OP * | Cyprus | 1994 |
| 5 | Ammar 3 | ICARDA | - | 13 | BrLine988 = RASCON-37/2*TARRO-2//HEKABE CYD 03-1866-69P-2P-0P-1P-0P | Cyprus | Under registration process |
| 6 | Cham 3 | ICARDA | - | 14 | BrLine996 = ZEGZAG/ALTAR 84//DIPPER-2/3/LLOYD/KIA * 3 CYD 03-1884-44P-3P-0P-1P-0P | Cyprus | Under registration process |
| 7 | Cham 1 (Waha) * | ICARDA | - | 15 | BrLine1129 = GEROMTEL1/ICASYR1 ICD04-1101-TA-0AP-3AP-0AP-0D | Cyprus | Under registration process |
| 8 | Matt* | Greece | 2003 | 16 | BrLine1131= AGHRASS1/3/MRF1//MRB16/RU ICD00-0834-C-32AP-0AP-6AP-TR-0D | Cyprus | Under registration process |
| Genotype | GDD | PH | GRYLD | NTLSM | SPS | NSSM | TKW | VW | CAR | PRO | GI |
|---|---|---|---|---|---|---|---|---|---|---|---|
| Adnan | 1262 | 82.24 | 4204 | 302 | 41.3 | 12,781 | 32.7 | 75.4 | 6.73 | 16.0 | 4.13 |
| Anna | 1187 | 85.09 | 4175 | 361 | 26.5 | 9574 | 40.3 | 74.6 | 6.41 | 16.1 | 43.4 |
| Aronas | 1231 | 87.13 | 3920 | 320 | 28.0 | 9170 | 37.3 | 74.4 | 3.87 | 17.3 | 57.5 |
| Atlas | 1278 | 84.77 | 3802 | 307 | 25.7 | 8161 | 41.8 | 77.9 | 6.51 | 18.4 | 19.7 |
| Claudio | 1334 | 83.05 | 3929 | 302 | 28.5 | 8855 | 40.5 | 78.4 | 6.31 | 17.9 | 39.4 |
| Duillio | 1238 | 83.15 | 4135 | 299 | 30.0 | 9114 | 42.3 | 77.4 | 5.56 | 16.4 | 43.0 |
| Hekabe | 1238 | 86.63 | 4199 | 317 | 30.8 | 9898 | 39.1 | 74.7 | 8.95 | 17.4 | 46.7 |
| Iride | 1253 | 78.00 | 4169 | 267 | 41.3 | 11,237 | 34.8 | 76.2 | 6.48 | 16.9 | 52.9 |
| Karpasia | 1275 | 83.29 | 4097 | 316 | 34.1 | 10,967 | 33.0 | 74.5 | 7.39 | 18.2 | 6.22 |
| Korifla | 1293 | 82.63 | 3681 | 321 | 31.2 | 10,235 | 35.0 | 73.8 | 6.62 | 17.2 | 42.3 |
| Macedonia | 1222 | 84.29 | 4607 | 371 | 32.0 | 12,022 | 34.9 | 75.2 | 8.77 | 16.9 | 50.8 |
| Matt | 1191 | 82.31 | 4184 | 320 | 31.8 | 10,345 | 36.8 | 75.1 | 9.71 | 17.0 | 75.4 |
| Mesaoria | 1189 | 73.47 | 4066 | 325 | 27.9 | 9287 | 37.0 | 72.8 | 5.68 | 18.0 | 7.70 |
| Mexicali | 1195 | 81.44 | 4059 | 339 | 27.7 | 9555 | 39.8 | 74.3 | 6.86 | 16.0 | 46.5 |
| Omrabi5 | 1253 | 97.34 | 4042 | 333 | 28.5 | 9559 | 36.6 | 77.0 | 7.06 | 17.0 | 24.4 |
| Ourania | 1262 | 84.66 | 4352 | 340 | 31.9 | 11,084 | 36.1 | 76.8 | 7.83 | 17.3 | 49.2 |
| Pisti | 1181 | 82.11 | 4475 | 375 | 27.9 | 10,549 | 41.0 | 75.6 | 6.28 | 16.2 | 60.4 |
| Simeto | 1311 | 76.25 | 4110 | 288 | 28.0 | 8336 | 45.7 | 75.8 | 6.71 | 17.0 | 56.0 |
| Svevo | 1231 | 86.29 | 3910 | 329 | 27.2 | 9058 | 39.2 | 76.4 | 8.05 | 18.6 | 39.5 |
| Waha | 1217 | 82.49 | 4237 | 288 | 31.1 | 9160 | 42.3 | 74.7 | 6.25 | 16.9 | 27.3 |
| Mean | 1242 | 83.33 | 4118 | 321 | 30.6 | 9947 | 38.3 | 75.5 | 6.90 | 17.1 | 39.6 |
| LSD 0.05 | 7.23 | 1.71 | 212 | 18 | 1.38 | 713 | 0.99 | 0.54 | 0.18 | 0.52 | 2.87 |
| CV (%) | 1.22 | 4.32 | 10.8 | 11.5 | 9.51 | 15.1 | 5.42 | 1.49 | 3.88 | 4.44 | 10.7 |
| H2 | 97.3 | 93.0 | 59.1 | 87.7 | 96.3 | 91.4 | 92.7 | 87.3 | 98.9 | 83.0 | 93.4 |
| Environment | 76.6 *** | 33.0 *** | 91.9 *** | 60.3 *** | 38.0 *** | 64.0 *** | 85.1 *** | 86.5 *** | 16.1 *** | 86.6 *** | 41.9 *** |
| Cultivar | 17.3 *** | 31.5 *** | 0.95 *** | 10.7 *** | 37.7 *** | 11.2 *** | 8.27 *** | 5.47 *** | 77.6 *** | 4.11 *** | 42.8 *** |
| Env * Cult | 2.37 *** | 11.0 *** | 1.94 *** | 6.54 *** | 7.03 *** | 4.81 *** | 3.01 *** | 3.47 *** | 4.36 *** | 3.50 *** | 14.1 *** |
| PC1 | 42.04 *** | 51.81 *** | 44.93 *** | 43.61 ** | 33.43 ** | 43.20 * | 42.46 *** | 59.28 *** | 48.90 *** | 37.70 | 57.16 *** |
| PC2 | 30.87 *** | 20.89 * | 29.88 ** | 25.56 | 30.97 ** | 26.32 | 34.61 *** | 23.20 *** | 22.93** | 29.39 | 21.67 *** |
| G × E (linear) | 36.24 ** | 42.47 ** | 11.23 | 26.28 | 15.55 | 13.22 | 33.32 * | 54.07 *** | 45.75 *** | 33.91 ** | 55.99 *** |
| Pooled dev | 63.76 | 57.53 | 88.77 | 73.72 | 84.45 | 86.78 | 66.68 | 45.93 | 54.25 | 66.09 | 44.01 |
| Cultivar | GDD | PH | GRYLD | NSSM | TKW | VW |
|---|---|---|---|---|---|---|
| Ammar3 | 1245 | 77.3 | 2718 | 6221 | 42.2 | 79.6 |
| BrLine1129 | 1199 | 76.3 | 2808 | 6000 | 45.4 | 79.2 |
| BrLine1131 | 1207 | 78.8 | 2937 | 6266 | 45.8 | 79.5 |
| BrLine988 | 1191 | 77.6 | 3004 | 6407 | 45.6 | 78.9 |
| BrLine996 | 1242 | 77.4 | 2891 | 6469 | 43.6 | 79.7 |
| Cham1 | 1219 | 75.6 | 2700 | 6615 | 39.4 | 78.1 |
| Cham3 | 1258 | 78.5 | 2752 | 6313 | 42.3 | 77.9 |
| Claudio | 1321 | 78.7 | 2530 | 5577 | 43.5 | 80.4 |
| Hekabe | 1210 | 79.8 | 2894 | 5995 | 46.8 | 78.2 |
| Icajihan1 | 1216 | 78.2 | 2492 | 5150 | 46.6 | 80.0 |
| Icarasha1 | 1165 | 81.4 | 2640 | 5809 | 44.3 | 80.0 |
| Makedonia | 1207 | 75.7 | 2934 | 7127 | 39.9 | 77.9 |
| Matt | 1191 | 74.5 | 2689 | 6190 | 41.6 | 78.1 |
| Ourania | 1232 | 77.2 | 2776 | 6348 | 42.2 | 79.6 |
| Pisti | 1174 | 73.7 | 2828 | 5964 | 45.7 | 78.3 |
| Simeto | 1285 | 72.9 | 2543 | 4939 | 49.6 | 78.2 |
| Mean | 1223 | 77.1 | 2759 | 6087 | 44.0 | 79.0 |
| LSD 0.05 | 6.91 | 1.44 | 112 | 219 | 0.78 | 0.27 |
| CV (%) | 1.78 | 5.89 | 12.8 | 11.4 | 5.62 | 1.06 |
| H2 | 97.3 | 84.3 | 80.8 | 92.9 | 94.2 | 90.8 |
| Environment | 85.1 *** | 87.5 *** | 90.1 *** | 87.3 *** | 70.4 *** | 31.5 *** |
| Cultivar | 9.50 *** | 1.89 *** | 0.88 *** | 2.97 *** | 11.8 *** | 23.2 *** |
| Env*Cult | 2.06 *** | 2.38 *** | 1.34 *** | 1.69 *** | 5.48 *** | 17.1 *** |
| PC1 | 61.11 *** | 40.24 *** | 33.66 * | 36.42 ** | 42.46 *** | 50.84 *** |
| PC2 | 13.44 *** | 19.51 ** | 19.60 | 21.70 * | 34.61 *** | 16.23 *** |
| G × E (linear) | 29.44 ** | 23.24 ** | 21.17 * | 31.09 ** | 10.15 | 16.50 |
| Pooled dev | 70.56 | 76.76 | 78.83 | 68.91 | 89.95 | 83.50 |
| Trait | Mean | CV(%) | bi | S2di | σ2 | Pi | Si(1) | Si(2) | AWAI | ASV |
|---|---|---|---|---|---|---|---|---|---|---|
| GDD | 0.929 ** | −0.095 | −0.238 | 0.738 * | 0.714 * | 0.929 ** | 0.479 | 0.096 | 0.643 | 0.595 |
| PH | 0.929 ** | −0.048 | 0.095 | 0.667 | 0.762 * | 0.881 ** | 0.675 | 0.905 ** | 0.762 * | 0.643 |
| GRYLD | 0.857 ** | 0.762 * | 0.857 ** | 0.595 | 0.690 | 0.929 ** | 0.024 | −0.119 | 0.048 | 0.024 |
| NSSM | 0.690 | 0.619 | 0.524 | 0.119 | −0.524 | 0.738 * | 0.405 | 0.476 | −0.024 | −0.190 |
| TKW | 0.405 | 0.548 | 0.619 | 0.286 | 0.048 | 0.405 | 0.762 * | 0.500 | 0.000 | −0.190 |
| VW | 0.643 | 0.000 | 0.619 | 0.476 | 0.571 | 0.714 * | −0.240 | 0.310 | 0.524 | 0.595 |
Publisher’s Note: MDPI stays neutral with regard to jurisdictional claims in published maps and institutional affiliations. |
© 2022 by the authors. Licensee MDPI, Basel, Switzerland. This article is an open access article distributed under the terms and conditions of the Creative Commons Attribution (CC BY) license (https://creativecommons.org/licenses/by/4.0/).
Share and Cite
Kyratzis, A.C.; Pallides, A.; Katsiotis, A. Investigating Stability Parameters for Agronomic and Quality Traits of Durum Wheat Grown under Mediterranean Conditions. Agronomy 2022, 12, 1774. https://doi.org/10.3390/agronomy12081774
Kyratzis AC, Pallides A, Katsiotis A. Investigating Stability Parameters for Agronomic and Quality Traits of Durum Wheat Grown under Mediterranean Conditions. Agronomy. 2022; 12(8):1774. https://doi.org/10.3390/agronomy12081774
Chicago/Turabian StyleKyratzis, Angelos C., Andreas Pallides, and Andreas Katsiotis. 2022. "Investigating Stability Parameters for Agronomic and Quality Traits of Durum Wheat Grown under Mediterranean Conditions" Agronomy 12, no. 8: 1774. https://doi.org/10.3390/agronomy12081774
APA StyleKyratzis, A. C., Pallides, A., & Katsiotis, A. (2022). Investigating Stability Parameters for Agronomic and Quality Traits of Durum Wheat Grown under Mediterranean Conditions. Agronomy, 12(8), 1774. https://doi.org/10.3390/agronomy12081774

