Response of Summer Maize Growth and Water Use to Different Irrigation Regimes
Abstract
:1. Introduction
2. Materials and Methods
2.1. Site Description
2.2. Experimental Design
2.3. Field Measurements
2.3.1. Water Consumption and Water Use Efficiency
2.3.2. Maize Yield Response Factor
2.3.3. Plant Height, Leaf Area Index (LAI), and Stem Diameter
2.3.4. Leaf Photosynthesis
2.3.5. Grain Yield
2.4. Statistical Analysis
3. Results
3.1. Effects of Different Irrigation Treatments on Maize Growth
3.2. Effects of Different Irrigation Treatments on Photosynthetic Characteristics
3.3. Effects of Different Irrigation Treatments on Ear Parameters
3.4. Effects of Different Irrigation Treatments on Grains Yield
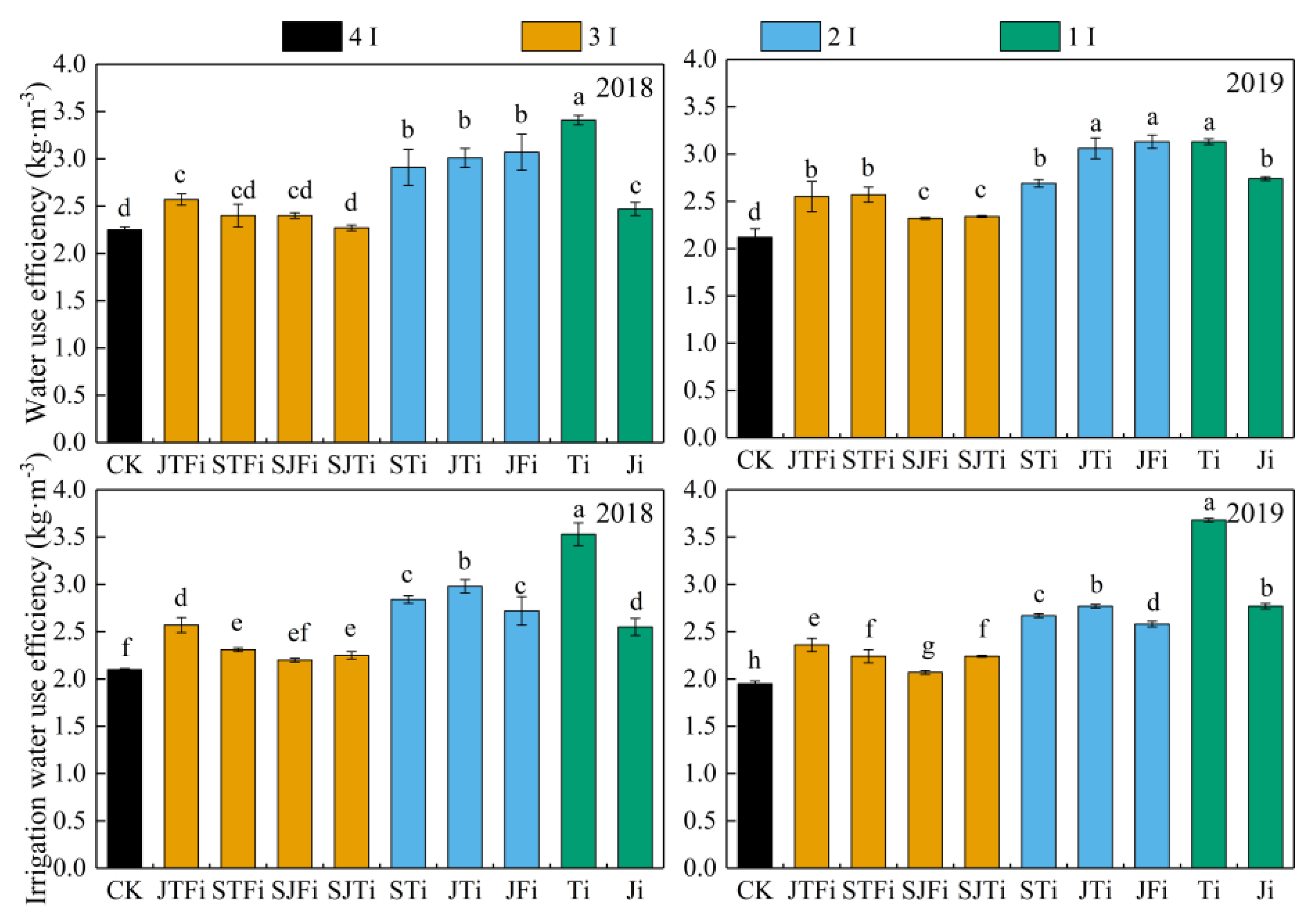
3.5. Effects of Different Irrigation Treatments on Water Consumption and Water Use Efficiency
3.6. Relationship between Grain Yield and ET
3.7. Principal Component Analysis
4. Discussion
5. Conclusions
Author Contributions
Funding
Institutional Review Board Statement
Informed Consent Statement
Data Availability Statement
Conflicts of Interest
References
- Zhao, J.; Yang, X.G.; Liu, Z.J.; Pullens, J.W.M.; Chen, J.; Marek, G.W.; Chen, Y.; Lv, S.; Sun, S. Greater maize yield improvements in low/unstable yield zones through recommended nutrient and water inputs in the main cropping regions, China. Agric. Water Manag. 2020, 232, 106018. [Google Scholar] [CrossRef]
- Zhao, J.; Yang, X.G.; Sun, S. Constraints on maize yield and yield stability in the main cropping regions in China. Eur. J. Agron. 2018, 99, 106–115. [Google Scholar] [CrossRef]
- Zhang, X.Y.; Uwimpayea, F.; Yan, Z.Z.; Shao, L.W.; Chen, S.Y.; Sun, H.Y.; Liu, X. Water productivity improvement in summer maize-A case study in the North China Plain from 1980 to 2019. Agric. Water Manag. 2021, 247, 106728. [Google Scholar] [CrossRef]
- Wang, S.Q.; Hu, Y.K.; Yuan, R.Q.; Feng, W.Z.; Pan, Y.; Yang, Y.H. Ensuring water security, food security, and clean water in the North China Plain-conflicting strategies. Curr. Opin. Environ. Sustain. 2019, 40, 63–71. [Google Scholar] [CrossRef]
- Zheng, W.B.; Wang, S.Q.; Sprengerc, M.; Liu, B.X.; Cao, J.S. Response of soil water movement and groundwater recharge to extreme precipitation in a headwater catchment in the North China Plain. J. Hydrol. 2019, 576, 466–477. [Google Scholar] [CrossRef]
- Gao, Z.; Feng, H.Y.; Liang, X.G.; Lin, S.; Zhao, X.; Shen, S.; Du, X.; Cui, Y.H.; Zhou, S.L. Adjusting the sowing date of spring maize did not mitigate against heat stress in the North China Plain. Agric. For. Meteorol. 2021, 298–299, 108274. [Google Scholar] [CrossRef]
- Yin, B.Z.; Hu, Z.H.; Wang, Y.D.; Zhao, J.; Pan, Z.H.; Zhen, W.C. Effects of optimized subsoiling tillage on field water conservation and summer maize (Zea mays L.) yield in the North China Plain. Agric. Water Manag. 2021, 247, 106732. [Google Scholar] [CrossRef]
- Avramova, V.; AbdElgawad, H.; Zhang, Z.; Fotschki, B.; Casadevall, R.; Vergauwen, L.; Knapen, D.; Taleisnik, E.; Guisez, Y.; Asard, H.; et al. Drought induces distinct growth response, protection, and recovery mechanisms in the maize leaf growth zone. Plant Physiol. 2015, 169, 1382–1396. [Google Scholar] [CrossRef]
- Myers, S.S.; Smith, M.R.; Guth, S.; Golden, C.D.; Vaitla, B.; Mueller, N.D.; Dangour, A.D.; Huybers, P. Climate change and global food systems: Potential impacts on food security and undernutrition. Annu. Rev. Public Health 2017, 38, 259–277. [Google Scholar] [CrossRef]
- Chaves, M.M.; Flexas, J.; Pinheiro, C. Photosynthesis under drought and salt stress: Regulation mechanisms from whole plant to cell. Ann. Bot-Lond. 2009, 103, 551–560. [Google Scholar] [CrossRef] [Green Version]
- Efeoglu, B.; Ekmekci, Y.; Cicek, N. Physiological responses of three maize cultivars to drought stress and recovery. S. Afr. J. Bot. 2009, 75, 34–42. [Google Scholar] [CrossRef] [Green Version]
- Cai, F.; Mi, N.; Ji, R.P.; Zhao, X.L.; Shi, K.Q.; Yang, Y.; Zhang, H.; Zhang, Y.S. Effects of drought stress and subsequent rewatering on major physiological parameters of spring maize during the key growth periods. Chin. J. Appl. Ecol. 2017, 28, 3643–3652. [Google Scholar] [CrossRef]
- Zhou, H.L.; Zhou, G.S.; He, Q.J.; Zhou, L.; Ji, Y.H.; Zhou, M.G. Environmental explanation of maize specific leaf area under varying water stress regimes. Environ. Exp. Bot. 2020, 171, 103932. [Google Scholar] [CrossRef]
- Feng, R.; Zhang, Y.S.; Yu, W.Y.; Hu, W.; Wu, J.W.; Ji, R.P.; Wang, H.B. Analysis of the relationship between the spectral characteristics of maize canopy and leaf area index under drought stress. Acta. Ecol. Sin. 2013, 33, 301–307. [Google Scholar] [CrossRef]
- Xiao, J.F.; Liu, Z.D.; Liu, Z.G.; Nan, J.Q. Effects of Drought at Different Growth Stages and Different Water Availabilities on Growth and Water Consumption Characteristics of Summer Maize. J. Maize Sci. 2011, 19, 54–58, 64. [Google Scholar] [CrossRef]
- Zhang, Y.J. Effect of Earlier-Stage Drought on Yield and Quality of Maize; Northwest A&F University: Yangling, China, 2017. [Google Scholar]
- Ji, R.P.; Che, Y.S.; Zhu, Y.N.; Liang, T.; Feng, R.; Yu, W.Y.; Zhang, Y.S. Impacts of drought stress on the growth and development and grain yield of spring maize in Northeast China. Chin. J. Appl. Ecol. 2012, 23, 3021–3026. [Google Scholar] [CrossRef]
- Jiang, P.; Li, M.H.; Xue, X.P.; Li, H.Y. Effects of Drought on the Growth and Yield of Maize at Different Stage. Chin. Agric. Sci. Bull. 2013, 29, 232–235. (In Chinese) [Google Scholar]
- Wang, H.Y.; Li, Q.Z.; Zhao, H.W.; Wei, Y.X.; Pan, J.B. Effect of drought treatment at different growth stages on activity of protective enzyme and yield in spring maize. J. Northeast Agric. Univ. 2007, 38, 13–17. [Google Scholar] [CrossRef]
- Yuan, C.F.; Feng, S.Y.; Huo, Z.L.; Ji, Q.Y. Effects of deficit irrigation with saline water on soil water-salt distribution and water use efficiency of maize for seed production in arid Northwest China. Agric. Water Manag. 2019, 212, 424–432. [Google Scholar] [CrossRef]
- Zou, Y.F.; Saddiquea, Q.; Ali, A.; Xu, J.T.; Khane, M.I.; Qing, M.; Azmatf, M.; Cai, H.J.; Siddique, K.H.M. Deficit irrigation improves maize yield and water use efficiency in a semi-arid environment. Agric. Water Manag. 2021, 243, 106483. [Google Scholar] [CrossRef]
- Jin, N.; He, J.Q.; Fang, Q.X.; Chen, C.; Ren, Q.F.; He, L.; Yao, N.; Song, L.B.; Yu, Q. The Responses of Maize Yield and Water Use to Growth Stage-Based Irrigation on the Loess Plateau in China. Int. J. Plant Prod. 2020, 14, 621–633. [Google Scholar] [CrossRef]
- National Standards of China (NSC). China Soil Classification and Code (GB/T 17296-2009); NSC: Beijing, China, 2009. [Google Scholar]
- Ren, B.Z.; Zhu, Y.L.; Zhang, J.W.; Dong, S.T.; Liu, P.; Zhao, B. Effects of spraying exogenous hormone 6-benzyladenine (6-BA) after waterlogging on grain yield and growth of summer maize. Field Crop Res. 2016, 188, 96–104. [Google Scholar] [CrossRef]
- Çakir, R. Effect of water stress at different development stages on vegetative and reproductive growth of corn. Field Crop Res. 2004, 89, 1–16. [Google Scholar] [CrossRef]
- Ye, Y.X.; Wen, Z.R.; Yang, H.; Lu, W.P.; Lu, D.L. Effects of post-silking water deficit on the leaf photosynthesis and senescence of waxy maize. J. Integr. Agric. 2020, 19, 2216–2228. [Google Scholar] [CrossRef]
- Uwizeyimana, D.; Mureithi, S.M.; Karuku, G.; Kironchi, G. Effect of water conservation measures on soil moisture and maize yield under drought prone agro-ecological zones in Rwanda. Int. Soil Water Conse. 2018, 6, 214–221. [Google Scholar] [CrossRef]
- Cai, F.; Zhang, Y.S.; Mi, N.; Ming, H.Q.; Zhang, S.J.; Zhang, H.; Zhao, X.L. Maize (Zea mays L.) physiological responses to drought and rewatering, and the associations with water stress degree. Agric. Water Manag. 2020, 241, 10637. [Google Scholar] [CrossRef]
- Song, H.; Li, Y.B.; Zhou, L.; Xua, Z.Z.; Zhou, G.S. Maize leaf functional responses to drought episode and rewatering. Agric. Forest Meteorol. 2018, 249, 57–70. [Google Scholar] [CrossRef]
- Yan, S.C.; Wu, Y.; Fan, J.L.; Zhang, F.C.; Paw, U.K.T.; Zheng, J.; Qiang, S.C.; Guo, J.J.; Zou, H.Y.; Xiang, Y.Z.; et al. A sustainable strategy of managing irrigation based on water productivity and residual soil nitrate in a no-tillage maize system. J. Clean Prod. 2020, 262, 121279. [Google Scholar] [CrossRef]
- Li, W.Z.; Hao, Z.F.; Pang, J.L.; Zhang, M.; Wang, N.; Li, X.H.; Li, W.H.; Wang, L.; Xu, M.Y. Effect of water-deficit on tassel development in maize. Gene 2019, 681, 86–92. [Google Scholar] [CrossRef]
- Xu, T.J.; Lv, T.F.; Zhao, J.R.; Wang, R.H.; Chen, C.Y.; Liu, Y.E.; Zhang, L.P.; Le, C.Y.; Liu, X.Z. Response of Maize Varieties with Different Genotypes to Drought Stress at Three Critical Stages and Drought-resistant Identification. J. Agric. 2017, 7, 12–17. (In Chinese) [Google Scholar]
- Hirich, A.; Ragab, R.; Choukr-Allah, R.; Rami, A. The effect of defcit irrigation with treated wastewater on sweet corn: Experimental and modelling study using SALTMED model. Irrig. Sci. 2014, 32, 205–219. [Google Scholar] [CrossRef]
- Attia, A.; El-Hendawy, S.; Al-Suhaibani, N.; Alotaibi, M.; Tahir, M.U.; Kamal, K.Y. Evaluating deficit irrigation scheduling strategies to improve yield and water productivity of maize in arid environment using simulation. Agric. Water Manag. 2021, 249, 106812. [Google Scholar] [CrossRef]









| Treatment | Irrigation Quota/mm | Irrigation Amount at Different Growing Stages/mm | ||||
|---|---|---|---|---|---|---|
| Sowing | Seedling (S) | Jointing (J) | Tasseling (T) | Filling (F) | ||
| SJTFi (CK) | 450 | 90 | 90 | 90 | 90 | 90 |
| JTFi | 360 | 90 | 0 | 90 | 90 | 90 |
| STFi | 360 | 90 | 90 | 0 | 90 | 90 |
| SJFi | 360 | 90 | 90 | 90 | 0 | 90 |
| SJTi | 360 | 90 | 90 | 90 | 90 | 0 |
| STi | 270 | 90 | 90 | 0 | 90 | 0 |
| JTi | 270 | 90 | 0 | 90 | 90 | 0 |
| JFi | 270 | 90 | 0 | 90 | 0 | 90 |
| Ti | 180 | 90 | 0 | 0 | 90 | 0 |
| Ji | 180 | 90 | 0 | 90 | 0 | 0 |
| Year | Seedling | Jointing | Tasseling | Filling |
|---|---|---|---|---|
| 2018 | 2 July | 23 July | 9 August | 19 August |
| 2019 | 27 July | 20 July | 7 August | 28 August |
| Treatment | 2018 | 2019 | ||||||
|---|---|---|---|---|---|---|---|---|
| Ear Length /cm | Bald Tip Length /cm | Ear Diameter /cm | Rows Number per Ear | Ear Length /cm | Bald Tip Length /cm | Ear Diameter /cm | Rows Number per Ear | |
| SJTFi(CK) | 20.1 ± 0.4 a | 0.77 ± 0.1 e | 4.72 ± 0.05 a | 16.0 ± 0.4 a | 19.9 ± 0.5 a | 1.08 ± 0.05 d | 4.80 ± 0.18 a | 15.6 ± 0.4 a |
| JTFi | 19.1 ± 0.2 b | 0.77 ± 0.2 e | 4.68 ± 0.09 ab | 15.8 ± 0.2 a | 19.5 ± 0.5 ab | 1.28 ± 0.19 d | 4.60 ± 0.03 bc | 14.7 ± 0.2 ab |
| STFi | 18.1 ± 0.1 c | 0.88 ± 0.2 de | 4.64 ± 0.08 ab | 15.6 ± 0.5 ab | 18.7 ± 2.0 abcd | 1.21 ± 0.17 d | 4.54 ± 0.05 cd | 14.9 ± 0.8 ab |
| SJFi | 17.5 ± 0.3 cd | 1.35 ± 0.2 c | 4.46 ± 0.07 cd | 15.7 ± 0.5 ab | 19.2 ± 0.7 abc | 1.50 ± 0.04 cd | 4.53 ± 0.03 cd | 14.3 ± 0.5 bc |
| SJTi | 19.8 ± 0.8 a | 1.06 ± 0.1 de | 4.60 ± 0.08 ab | 15.6 ± 0.6 ab | 19.9 ± 0.4 a | 1.49 ± 0.42 cd | 4.72 ± 0.05 ab | 15.1 ± 0.9 ab |
| STi | 17.8 ± 0.4 c | 1.03 ± 0.1 de | 4.56 ± 0.04 bc | 15.9 ± 0.2 a | 18.8 ± 0.4 abcd | 1.35 ± 0.17 d | 4.44 ± 0.15 cd | 14.8 ± 0.7 ab |
| JTi | 17.7 ± 0.2 c | 0.98 ± 0.2 de | 4.63 ± 0.05 ab | 15.8 ± 0.4 a | 18.3 ± 0.2 bcd | 1.25 ± 0.13 d | 4.50 ± 0.05 cd | 14.1 ± 0.2 bc |
| JFi | 17.0 ± 0.2 de | 1.17 ± 0.2 cd | 4.40 ± 0.04 de | 15.9 ± 0.5 a | 17.9 ± 0.5 cde | 1.89 ± 0.27 bc | 4.39 ± 0.05 de | 13.6 ± 0.4 c |
| Ti | 16.7 ± 0.4 e | 1.62 ± 0.1 b | 4.42 ± 0.06 de | 15.4 ± 0.2 ab | 17.4 ± 0.8 de | 2.11 ± 0.25 ab | 4.26 ± 0.02 ef | 13.7 ± 0.4 c |
| Ji | 15.9 ± 0.3 f | 2.45 ± 0.1 a | 4.33 ± 0.09 e | 14.9 ± 0.6 b | 16.8 ± 0.4 e | 2.35 ± 0.33 a | 4.17 ± 0.15 f | 13.6 ± 0.4 c |
| Treatment | 2018 | 2019 | ||||||
|---|---|---|---|---|---|---|---|---|
| 100-Grain Weight/g | Grains per Ear | Grains Yield /t·ha−1 | Shelling Percentage/% | 100-Grain Weight/g | Grains per Ear | Grains Yield /t·ha−1 | Shelling Percentage/% | |
| SJTFi(CK) | 31.85 ± 0.2 a | 494 ± 3.2 a | 9.44 ± 0.06 a | 86.36 ± 0.6 a | 29.54 ± 0.5 a | 513 ± 9.4 a | 8.79 ± 0.13 a | 86.90 ± 0.3 a |
| JTFi | 31.82 ± 0.4 a | 485 ± 14.5 ab | 9.26 ± 0.28 a | 86.32 ± 0.5 a | 29.33 ± 0.3 a | 509 ± 16.4 a | 8.49 ± 0.24 b | 86.28 ± 0.4 a |
| STFi | 31.37 ± 0.6 a | 442 ± 3.2 de | 8.31 ± 0.06 b | 85.10 ± 0.9 b | 28.03 ± 0.3 b | 465 ± 15.5 bc | 8.07 ± 0.24 c | 85.96 ± 0.3 a |
| SJFi | 29.65 ± 0.3 b | 446 ± 3.1 de | 7.93 ± 0.06 cd | 84.45 ± 0.6 bc | 27.44 ± 0.2 c | 435 ± 6.2 cd | 7.46 ± 0.05 d | 86.80 ± 0.2 a |
| SJTi | 28.90 ± 0.3 c | 468 ± 7.8 bc | 8.11 ± 0.13 bc | 84.42 ± 0.2 bc | 26.83 ± 0.1 d | 491 ± 19.3 ab | 8.08 ± 0.03 c | 86.69 ± 0.3 a |
| STi | 28.59 ± 0.8 cd | 444 ± 11.3 de | 7.67 ± 0.11 d | 84.50 ± 0.7 bc | 26.22 ± 0.2 e | 459 ± 2.3 bc | 7.22 ± 0.04 e | 86.77 ± 0.9 a |
| JTi | 28.07 ± 0.3 d | 455 ± 6.6 cd | 8.04 ± 0.19 bc | 85.29 ± 1.2 ab | 26.41 ± 0.2 de | 464 ± 17.2 bc | 7.48 ± 0.05 d | 86.47 ± 0.5 a |
| JFi | 28.38 ± 0.4 cd | 431 ± 22.8 e | 7.34 ± 0.4 e | 84.42 ± 0.3 bc | 26.09 ± 0.2 e | 442 ± 15.1 cd | 6.96 ± 0.08 f | 84.08 ± 0.2 b |
| Ti | 27.91 ± 0.5 d | 380 ± 12.7 f | 6.36 ± 0.2 f | 83.66 ± 0.4 cd | 24.80 ± 0.5 f | 418 ± 27.5 d | 6.62 ± 0.02 g | 84.31 ± 0.5 b |
| Ji | 26.96 ± 0.6 e | 284 ± 9.6 g | 4.59 ± 0.2 g | 83.00 ± 0.2 d | 24.99 ± 0.3 f | 355 ± 40.8 e | 4.99 ± 0.05 h | 83.55 ± 0.9 b |
| Principal Component Number | Eigenvalue | Total Variation /% | Cumulative /% |
|---|---|---|---|
| PC1 | 9.38 | 67.0 | 67.0 |
| PC2 | 1.85 | 13.2 | 80.2 |
| PC3 | 1.41 | 10.1 | 90.3 |
Publisher’s Note: MDPI stays neutral with regard to jurisdictional claims in published maps and institutional affiliations. |
© 2022 by the authors. Licensee MDPI, Basel, Switzerland. This article is an open access article distributed under the terms and conditions of the Creative Commons Attribution (CC BY) license (https://creativecommons.org/licenses/by/4.0/).
Share and Cite
Huang, C.; Ma, S.; Gao, Y.; Liu, Z.; Qin, A.; Zhao, B.; Ning, D.; Duan, A.; Liu, X.; Chen, H.; et al. Response of Summer Maize Growth and Water Use to Different Irrigation Regimes. Agronomy 2022, 12, 768. https://doi.org/10.3390/agronomy12040768
Huang C, Ma S, Gao Y, Liu Z, Qin A, Zhao B, Ning D, Duan A, Liu X, Chen H, et al. Response of Summer Maize Growth and Water Use to Different Irrigation Regimes. Agronomy. 2022; 12(4):768. https://doi.org/10.3390/agronomy12040768
Chicago/Turabian StyleHuang, Chao, Shoutian Ma, Yang Gao, Zugui Liu, Anzhen Qin, Ben Zhao, Dongfeng Ning, Aiwang Duan, Xuchen Liu, Haiqing Chen, and et al. 2022. "Response of Summer Maize Growth and Water Use to Different Irrigation Regimes" Agronomy 12, no. 4: 768. https://doi.org/10.3390/agronomy12040768
APA StyleHuang, C., Ma, S., Gao, Y., Liu, Z., Qin, A., Zhao, B., Ning, D., Duan, A., Liu, X., Chen, H., & Liu, Z. (2022). Response of Summer Maize Growth and Water Use to Different Irrigation Regimes. Agronomy, 12(4), 768. https://doi.org/10.3390/agronomy12040768

