Abstract
Optimizing the productivity and efficiency of cereal–legume intercropping through exploiting differences in nitrogen (N) acquisition of the two crops is crucial in Mediterranean areas. A two-year field study was conducted in Central Italy to determine how N fertilization rate affected forage and grain production as well as intercropping efficiency in a barley (Hordeum vulgare L.) and field bean (Vicia faba L. var minor) intercrop. Crops were grown as monocrops or intercropped in alternate rows in an additive design and fertilized with five N rates from 0 to 200 kg ha−1. Forage production was determined both at heading and early dough, while grain yield was assessed at full ripening. Besides, land equivalent ratio, competitive ratio, and aggressivity index were calculated. Consistently between years, results highlighted that intercropping of barley with field bean can be a sustainable cropping system because both forage production and efficiency indices improved. Anyway, with 150 and 200 kg N ha−1, the grain yield was lower in intercropping than in sole crops, due to higher interspecific competition. We concluded that the optimal N fertilization depends on the farmer’s objective in terms of forage or grain production and the targeted proportion between the cereal and the legume at harvest.
1. Introduction
The goal of sustainable agriculture is to concurrently deliver several services such as providing food security, maintaining natural resources (i.e., soil, energy, and water), retaining and improving farmers’ profitability, and sustaining biodiversity [1,2].
Sustainable alternatives are directly or indirectly designed to increase the diversity of cultivated crops [3]. One of the most frequent strategies for diversification of cropping systems is to substitute agrochemicals and fossil fuels with the ecosystem services provided by legumes, as they have the unique ability to establish a symbiosis with rhizobia to fix atmospheric N2 [4,5].
Intercropping (IC) allows diversification [6] by the cultivation of two or more crops together in the same space at the same time, thus evolving mutualistic relationships among crops as well as differences for niche occupation in time and space [7].
As a result, intercrops, and markedly with legumes, may warrant the diversification of agricultural systems by concurrently increasing the number of cultivated species and comprising a larger proportion of legumes in rotations [8,9,10]. This often determines increased productivity and land use efficiency, together with several ecosystem services, such as improving adaptability of production to climate change and potentially allowing a greater resilience to biotic and abiotic stresses [11,12,13,14,15].
A cereal intercropped with a grain legume is the leading intercropping system in Europe, and barley (Hordeum vulgare L.) intercropped with pea (Pisum sativum L.) is the prevalent combination [16,17,18].
In Mediterranean environments, field bean (Vicia faba L. var. minor) may suitably replace pea in the intercropping with barley [13,19,20,21]. The authors of [22] stated that the crop was downright a better choice than pea in barley intercropping, owing to an improved spatial and temporal complementarity. Furthermore, field bean has also been demonstrated to be more resistant than pea to waterlogging, to which several Mediterranean environments are prone [23].
In these environments, both barley and field bean are usually cultivated in autumn–winter, are sown and harvested at the same time, and are grown with comparatively low inputs [24,25]. They represent common forage species, used either for green forage or silage [26], as they concurrently reach the optimal growth stage for ensilage [27,28]. Additionally, the two crops can also be grown for dry grain to increase the nutritive value in feed [21,29].
Barley–faba bean mixtures exceeded barley sole crop in total yield, land equivalent ratio (LER), and system productivity index (SPI) [30,31,32]. Moreover, they were found to be more advantageous than monocrops for biomass production and N yield and delivered economic and energy benefits [33,34].
As Mediterranean soils are typically poor in organic matter and total nitrogen content, an appropriate rate of N fertilizer is necessary even in legume–cereal intercropping systems to achieve sufficient yield and good forage and grain quality [24].
The efficiency (i.e., LER) of cereal–legume intercrops has been found to be either unaffected, increased, or reduced under increasing N application rates, and inconsistencies are due to differences in environmental conditions, cropping management, and genotypes [24,35,36,37,38,39]. Both low and high N rates may be detrimental to cereal–legume intercrops. In fact, if nitrogen was distributed at low doses, as required by pure legume crops, the cereal would suffer from a lack of nitrogen [40]. On the other hand, if all the N that would be necessary for the cereal was distributed to a mixture, it could reduce nodulation and nitrogen fixation of the legume [41,42,43].
Additionally, the cereal and legume companion crops may differ in N requirement in time and space and, thus, in N responsiveness along the cropping cycle [44], so changes in N availability over time may shift interspecific interactions in IC towards competition, complementarity, or cooperation [45], with a consequent impact on IC performances [15].
Therefore, the management of two crops in the same field and in the same season is more complex than that of a single crop, and the optimal agronomic N rate should be crop- and site-specifically determined. At present, there is still a lack of information on how to fine-tune the production and efficiency of cereal–legume intercropping systems through N fertilizer management. Moreover, most of the rational N strategies have been developed for temperate cropping systems and are not tailored to the peculiarities of Mediterranean agroecosystems [10,16,21].
To fill this gap, the present research studied the effects of five N fertilization rates on the forage and grain production of a barley–field bean intercrop and the corresponding sole crops, along two growing seasons. We adopted an additive design, given that plant population and spacing must be the same to appropriately detach intra- and interspecific competition and correctly evaluate the outcomes [46,47]. Intercrop performance and species interactions were analyzed in terms of land equivalent ratio, aggressivity index, and competitive ratio. To highlight temporal differences in the relative behaviors of crops and to determine the most appropriate N rate for forage and grain production, plants were harvested at three growth stages: at barley heading and early dough for forage production and at maturity for grain yield.
Our hypotheses were as follows: (i) barley and field bean intercropping could increase forage and grain production compared to the sole crops by improved resource use efficiency; (ii) the interactions between the companion species could vary throughout the crop cycle due to differences in crop nutrient demand and N availability; and (iii) an adequate N fertilization rate could reduce interspecific competition, supporting the intercrop in better exploiting nutrient resources and improving total production.
2. Materials and Methods
2.1. Site Characteristics and Experimental Design
The research was carried out for two cropping seasons, 2014–2015 (2015 hereafter) and 2015–2016 (2016), at the Research Centre of the Department of Agriculture, Food, and Environment of the University of Pisa, Italy, located in Central Italy and approximately 4 km from the sea (43°40′ N, 10°19′ E) and 1 m above sea level.
The two (one per year) experimental fields were nearby and had been previously cultivated with rapeseed (Brassica napus L.) in both years. The main properties of the loam soils did not differ between the two years and were as follows: 45.2% sand (0.05 mm < Ø < 2 mm); 40.6% silt (0.002 mm < Ø < 0.05 mm); 14.2% clay (Ø < 0.002 mm). Other chemical characteristics were as follows: 8.5 pH; 2.1% organic matter (Walkley and Black method); 1.1 g kg−1 total N (Kjeldahl method); 20.1 mg kg−1 P2O5 available (Olsen method); 141.1 mg kg−1 K2O exchangeable (Dirks–Sheffer method); 15.6 total limestone g kg−1 total; 21.2 meq 100 g−1 cation exchange capacity (BaCl2-TEA method).
The climate of the area is Mediterranean (Csa), according to Köppen classification, with low temperatures in winter that increase rapidly during spring, a hot summer, and an irregular pattern of yearly rainfall distribution, generally concentrated in autumn and spring. The long-term mean annual maximum and minimum daily air temperatures of the site are 20.2 °C and 9.5 °C, and the mean annual rainfall is 971 mm.
Three cropping systems and five N rates were arranged in a randomized complete block design with three replicates. Therefore, each year, 15 treatments were tested on 45 plots of about 21 m2, each comprising 20 (barley), 10 (field bean), or 30 (barley–field bean) rows, 3.5 m long.
The three cropping systems were as follows: (i) barley (B) sole crop (hereafter B-SC), (ii) field bean (F) sole crop (F-SC), and (iii) barley and field bean intercrop (IC) (Supplementary Figure S1).
Hereafter, we define sole crop when a single crop is grown, component crop for one of the two crops grown together, and intercrop for the two crops grown in alternate rows.
We chose N rates varying between 0 and 200 kg ha−1 because about 150 kg ha−1 is recommended for optimal cereal production in Central Italy [40]; besides, N rates up to 160 kg ha−1 did not modify the grain yield of field bean but conversely decreased its straw [43]. Thus, we hypothesized that these rates could exert distinct effects on forage and grain production of the legume.
Accordingly, the five N fertilization rates were 0, 50, 100, 150, and 200 kg ha−1 (hereafter N0, N50, N100, N150, and N200, respectively).
2.2. Crop Management
Apart from the experimental treatments, plots were managed with the most common practices adopted by local farmers. In both years, soil was plowed at a depth of 30 cm in September, and final seedbed preparation was carried out prior to sowing by harrowing twice, with a disc harrow and a rotating harrow. Phosphorus and potassium fertilizers were applied to all crops pre-sowing as triple superphosphate and potassium sulfate, at the rates of 150 kg ha−1 of P2O5 and K2O, respectively.
Nitrogen was applied at different rates (i.e., 0, 50, 100, 150, and 200 kg ha−1) according to the experimental design. The unfertilized plots (N0) did not receive any N supply, while for all the other treatments the total amount of N fertilizer was applied as urea and split into two portions: 25 kg N ha−1 at sowing and the remaining (i.e., 25, 75, 125, and 175 kg ha−1) at the stem elongation stage of barley (BBCH 30) [48], on 14 February 2015 and 22 February 2016, as well as for sole and intercropped crops. Thus, field bean sole crops received the topdressing N fertilization concurrently with barley.
In both years, all the crops were sown at 3–5 cm depth in the second decade of November (18 and 12 November, respectively) by means of a plot drill. The commercial barley cultivar Ketos (Gotic × Orblonde) × (12,813 × 91H595) was selected, as one of the most cultivated for forage production in Italy. It is a winter, hulled, six-row cultivar, well performing under low-input conditions in Italy [49], whose silage displayed good fermentative behavior and nutritive value [50]. For field bean cultivation, we chose the commercial cultivar Chiaro di Torrelama because it is widespread in Central Italy where it showed high productivity and good resistance to cold and other abiotic stress [23,43]. Moreover, both the cultivars Ketos and Chiaro di Torrelama have a dual aptitude, i.e., forage and grain production [21].
The seeding rates were those recommended in common agricultural practice for the sole crops: 400 seeds m−2 with a 16 cm row spacing for barley and 70 seeds m−2 with a 32 cm row spacing for field bean. Intercropping followed a 1:1 additive design, and each component crop was grown at the same plant density in the intercrop as in the pure stand (Supplementary Figure S2).
Weeds and pests were sporadic and their presence never reached the economic threshold; thus, herbicide and pesticide applications were not needed in any season.
2.3. Sampling Procedures and Measurements
An automatic meteorological station located at the experimental site recorded daily rainfall and minimum and maximum air temperatures.
Barley growth was monitored, and throughout the experiment, phenological phases were documented using the BBCH scale for crops [48] to precisely identify growth stages to determine the timing of inorganic N application and harvests.
In both years, measurements of forage production were carried out:
- -
- When barley reached the green forage stage (beginning of heading—BBCH 51), while correspondingly field bean was at first pods visible (BBCH 70): on 21 and 20 April, respectively in 2015 and 2016;
- -
- When barley reached the silage stage (early dough—83), with field bean at final pods development (BCCH 79): on 10 May 2015 and 4 May 2016.
At both forage harvests, the plants of six (B-SC), three (F-SC), and six + three (IC) contiguous rows, 100 cm long, were manually cut at the ground level. In the IC samples, plants were sorted by hand into the components barley and field bean. Afterward, both in IC and SC samples, plants were separated into leaves, stems, and inflorescences (spikes or pods) to determine the fresh weight of each organ.
At full ripening of barley grains (BBCH 92) when concurrently field bean was at 40% ripening (BBCH 84), on 18 June 2015 and 14 June 2016, grain production was determined. Similarly, plants were manually cut at the ground level and divided into leaves, stems, and inflorescences (spikes or pods). Moreover, the number of inflorescences was determined, and mean grain weight was measured by counting and weighing them. Harvest index (HI) was calculated as the ratio of grain yield to total aboveground biomass at maturity.
At each harvest, dry weights (DWs) of all plant parts were determined by oven-drying at 65 °C to a constant weight.
2.4. Indices of Intercropping Performance
Different indices have been suggested for evaluating productivity and efficiency per unit area of intercropping systems. In the present research, we evaluated the performances of the IC as described below.
Total forage production (TFP) is the forage produced by barley and field bean together in the equivalent unit area. To make a correct comparison, data were reported for the same surface area; therefore, for the SC (Equation (1)), values of the two crops were averaged, whereas for the IC, values were pooled (Equation (2)) since in intercropping the area was halved for each species.
TFP of sole crop = (DM yield of barley sole crop + DM yield of field bean sole crop)/2
TFP of intercrop = DM yield of barley component + DM yield of field bean component
The dry matter (DM) concentration was calculated as:
DM (%) = Weight of oven − dry sample/Weight of fresh sample × 100
Additionally, we determined the distribution (%) of the produced biomass among organs, i.e., the proportion of leaves, stems, and inflorescences in total dry matter as:
DM of leaves or stems or inflorescences/total DM × 100
Finally, the contribution (%) of barley to the total forage or grain production was calculated as:
Contribution of barley = DM of forage (or grain) Barley/DM of total forage (or grain) × 100
Total grain production (TGP) is the grain yield produced by barley and field bean together in the equivalent unit area. Similar to TFP, for the SC, values of the two crops were averaged (Equation (6)), whereas values of the IC were pooled (Equation (7)).
TGP of sole crop = (DM yield of barley sole crop + DM yield of field bean sole crop)/2
TGP of intercrop = DM yield of barley component + DM yield of field bean
component
component
The agronomic benefit of intercropping was assessed with the land equivalent ratio (LER), i.e., the total land required under sole crop to give the yields obtained in intercrop.
LER was calculated following [31], as:
where:
LER = LERB + LERF
LERB = YBF/YB
LERF = YFB/YF
- LERB and LERF are the partial LERs of barley (B) and field bean (F);
- YBF is the dry matter production of intercropped barley;
- YFB is the dry matter production of intercropped field bean;
- YB and YF are the dry matter production of barley and field bean sole crops, respectively.
Competition between species has been estimated by means of the competitive ratio (CR) to indicate the number of times by which one component crop is more competitive than the other.
CR was calculated following [51], as:
where:
CRB = (LERB/LERF) × (ZFB/ZBF)
CRF = (LERF/LERB) × (ZBF/ZFB)
- CRB and CRF are the competitive ratios of barley (B) and field bean (F), respectively;
- ZBF and ZFB are the proportions of barley and field bean in the intercropping system, respectively.
Aggressivity index (A) was used to evaluate which of the two crops dominated in yield, by determining relative yield increase of the intercropped barley (B) over field bean (F).
A was determined following [52], as:
where:
AB = (YBF/(YB × ZBF)) − (YFB/(YF × ZFB))
AF = (YFB/(YF × ZFB)) − (YBF/(YB × ZBF))
- YBF, YFB, YB, and YF are the dry matter productions as defined above for LER;
- ZBF and ZFB are the proportions of barley and field bean in the intercropping system, respectively;
- AB and AF are barley and field bean aggressivity, respectively.
2.5. Statistical Analysis
The normality of data was checked using Shapiro–Wilk tests, and homogeneity of variances was tested through Levene’s tests, prior to analyses.
The effects of year (Y), cropping system (CS), N rate (N), and their interactions on forage and grain productivity, together with the indices of intercropping efficiency, were assessed by an analysis of variance (ANOVA) with data arranged in a split-split-split-plot experimental design, with years allocated as main plots, cropping systems as subplots, and N rates as sub-subplots. Data of forage were combined over the two harvest stages as Bartlett’s test had previously revealed the homogeneity of variances.
To determine whether the N rate could exert different effects on forage productivity and efficiency in the different cropping systems, depending on the harvest stage (HS), data referring to the two harvesting stages were analyzed with a split-split-split-plot experimental design, with N rates allocated as main plots, cropping systems as subplots, and harvesting stages as sub-subplots. The combined ANOVA over years was performed as Bartlett’s test had previously revealed the homogeneity of variance over the two years.
When a main effect or interaction was significant, differences among treatment means were separated at the 0.05 probability level by Tukey’s HSD Test.
3. Results
3.1. Weather Conditions
Throughout the growth cycle of the crops (i.e., November–June), temperatures were similar in the two years and close to the long-term average, ranging from 0.5 to 29.9 °C in 2014–2015 and from 1.1 to 27.1 °C in 2015–2016 (Figure 1). In each growing season, the maximum temperatures were registered in June and the minimum in January.
Figure 1.
Air minimum (white dots) and maximum (black dots) temperatures and rainfall (bars) in the two cropping seasons: (a) 2014–2015; (b) 2015–2016.
Total rainfall during the experiments was 710 and 662 mm in 2015 and 2016, respectively, both slightly (less than 10%) higher than the long-term average (646 mm). A significant portion of rainfall occurred in November–December in the first season and in January–February in the second one (56% and 59% of total, respectively). Conversely, in the second year, spring rainfalls were noteworthy, as more than 100 mm fell in March–April.
3.2. Year Effect on Forage and Grain Production
Year main effect and its interactions were not significant for almost all the measured parameters (Supplementary Table S1). Anyway, forage and grain production of the studied cropping systems varied between years, and ANOVA revealed a significant year (Y) × cropping system (CS) interaction (Figure 2).

Figure 2.
Year × cropping system interaction effect on (a) forage production and (b) grain production. Values are means of two harvesting stages, five N rates, and three replicates. Vertical lines represent HSD and values with the same letter are not statistically different for p ≤ 0.05. B-SC: barley sole crop; F-SC: field bean sole crop; IC: intercrop.
Barley grown as sole crop produced less forage in 2016, while the values of field bean sole crop and those of the intercrop did not differ between years (Figure 2a). In any case, intercropping provided a remarkable increase in the supplied forage biomass compared to the sole crops (by 34% and 39%, respectively, in the two experimental years).
Differences in grain yield between years were detected only for the sole crop of barley which, likewise to the forage production, showed a significantly reduced yield in 2016 (Figure 2b). Differences in barley grain yield were due to an increase in the mean kernel weight (+5% in 2015), as spikes per unit area were unchanged (data not shown).
Averaged over N rates, the IC showed about 30% lower values of grain yield compared to those of the sole crops.
3.3. Response of Component Crops to Intercropping: Forage Production
3.3.1. Barley
Averaged over years and harvesting stages, without N fertilization, intercropped and sole barley obtained the same forage yield (Figure 3a), and the DM of each aerial part did not vary between the two cropping systems, with the only exception of leaves which were 31% higher in IC (Figure 3b–d).

Figure 3.
Cropping system × nitrogen rate interaction effect on the forage production (DM g m−2) of barley: (a) aerial plant part; (b) leaves (c) stems; (d) inflorescences. Values are means of two years, two harvesting stages, and three replicates. Vertical lines represent HSD and values with the same letter are not statistically different for p ≤ 0.05. SC = sole crop; IC = intercrop.
Conversely, when the N fertilization was applied, the intercropped cereal yielded less than the sole crop (Figure 3a). Moreover, as the N rate increased, the difference between the cropping systems was gradually boosted, passing from 3% with N50 to more than 50% with N200. Correspondingly, N fertilization prompted a biomass increase in each aerial organ differently between the two cropping systems (Figure 3b–d). Thus, from 0 to 200 kg ha−1 N, the aerial part of barley SC increased 2.6-fold and correspondingly the biomass of leaves, stems, and inflorescences increased 2.6-, 2.3-, and 3.4-fold, while the increases in barley IC were significantly lower (respectively 84%, 75%, 78%, and 124%).
3.3.2. Field Bean
The forage production of field bean was unaffected by N fertilization and only differed between the cropping systems (Supplementary Table S1).
Irrespective of the N rate, the legume yielded about 40% more total forage when grown as SC than as IC (Figure 4). The same was true for the biomass produced by each aerial organ (+53%, +40%, and +31% in leaves, stems, and inflorescences, respectively).
Figure 4.
Cropping system main effect on the forage production (DM g m−2) of field bean: (a) aerial biomass; (b) leaves; (c) stems; (d) inflorescences. Values are means of two years, two harvesting stages, five N rates, and three replicates. Vertical lines represent HSD and values with the same letter are not statistically different for p ≤ 0.05. SC = sole crop; IC = intercrop.
The allocation of forage biomass (i.e., percentage of the total biomass represented by each organ) in the two crops was affected by the main effects of both cropping system and N rate (Table 1).
Table 1.
Cropping system and nitrogen rate main effects on the allocation (%) of forage biomass among leaves, stems, and inflorescences of barley and field bean.
The percentage of leaves in barley was increased (+30%) in the IC, while the opposite occurred for stems (−5%) and inflorescences (−13%). Conversely, field bean had more biomass allocated in leaves (+6%) and less in stems (−2%) when grown as sole crop; finally, the proportion of inflorescences did not change in the legume between the two cropping systems.
Nitrogen fertilization modified the proportion of the different organs over the entire aerial part in barley. The relative amount of leaves decreased only with N50 and N100 compared to the unfertilized control (−15%), while that of stems was progressively reduced by increasing N availabilities. Contrariwise, biomass allocation to inflorescences increased with N fertilization, with the highest proportion recorded with N100.
In field bean, the proportion of the stems progressively increased with increasing N rates (+6% in N200 compared to N0), while that of inflorescences decreased (−32%) and that of leaves remained unchanged.
3.4. Intercropping Performance: Forage Production
The first index useful to compare the biomass produced by sole and intercrops per equivalent area units is the total forage production (TFP) (per Equations (1) and (2)). Here, it was affected by cropping system × N rate interaction (Figure 5a).
Figure 5.
Indices of intercropping performances: (a) total forage production (DM g m−2) in the equivalent surface area, per Equations (1) and (2); (b) percentage of barley in the forage mixture. Values are means of (a) two years, five N rates, two cropping systems, two harvesting stages, and three replicates (cropping system × nitrogen rate interaction) and (b) two years, two harvesting stages, and three replicates (Nitrogen rate main effect). Vertical lines represent HSD and values with the same letter are not statistically different for p ≤ 0.05. SC = sole crop; IC = intercrop.
Averaged over the two forage harvests, the forage yielded by the IC was higher than SC, even if differently among the N rates. Without N fertilization, the IC augmented the forage yield by 74% compared to SC, but with increasing N rates, the forage yield of the SC increased more markedly than that of the IC (+95% instead of +26% from N0 to N200); at the highest N rate, the forage yield of the SC almost equalled that of the IC (scarcely +11%).
Barley differently contributed to the total forage production, depending on nitrogen rate (Figure 5b). Averaged over years, cropping systems, and harvesting stages, the barley contribution to total forage DM increased from 34% without N fertilization (N0) to 56% with the highest rate (N200). The theoretical contribution (50%) of the cereal was prompted by the medium N rate (N100).
In addition, ANOVA revealed that N rate significantly changed LER, A, and CR indices (Table 2).
Table 2.
Nitrogen rate main effect on partial land equivalent ratio (LER), competitive ratio (CR), and aggressivity index (A) of barley and field bean and on total LER for forage production.
Values of total LER (Equation (8)) outperformed 1, whichever the N rate applied (Table 2). Anyway, the highest LER (1.83) was achieved when the crops were grown without N fertilization as increasing N availabilities significantly decreased LER (−18% with N50 and −31% with higher N rates).
This was due to the cereal component crop, as the partial LER (Equation (9)) of barley was halved with the highest N rate compared to the unfertilized control; conversely, that of field bean (Equation (10)) did not significantly vary among N rates (Table 2).
Furthermore, A and CR values for the two crops were very close to 0 and 1, respectively, thus indicating a reduced competitiveness among the associated species. However, barley showed a slightly greater competitiveness than field bean in the absence of fertilization and with lower N rates (A > 0), while the opposite occurred with the highest N rates.
Furthermore, up to 100 kg ha−1 N, the most competitive species was barley (CR ≥ 1), and thereafter (i.e., N150 and N200) it became field bean.
3.5. Response of Component Crops to Intercropping: Grain Production
3.5.1. Barley
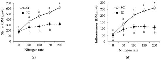
Grain yield, aboveground biomass, harvest index, and grains per spike of barley were affected by cropping system × N rate interaction (Figure 6).
Figure 6.
Cropping system × nitrogen rate interaction effect on (a) grain yield, (b) aboveground biomass, (c) harvest index, and (d) grains per spike of barley. Values are means of two years, five N rates, and three replicates. Vertical lines represent HSD and values with the same letter are not statistically different for p ≤ 0.05. SC = sole crop; IC = intercrop. Higher grain yield of barley sole crop was mainly due to a higher number of spikes produced per unit area (+38%) but also to heavier kernels (+17%) (Table 3) and, with the higher N rates, to higher number of grains per spike (d).
With increasing N rates, the grain yield of barley significantly increased in both cropping systems, but the rise was drastically higher (+260%) in barley sole crop than in the IC (+56%), and at the highest N rate it was 4.6-fold higher in SC than in IC (Figure 6a).
A similar behavior was registered in the aboveground biomass assessed at maturity, even if differences due to N rates were less marked than for grain. Up to N100, biomass was almost similar between SC and IC, while it was +111% and +165% higher in SC with 150 and 200 kg N ha−1 (Figure 6b).
As a consequence, the harvest index did not meaningfully change in SC with different N rates, being about 50%; whereas it decreased (from 46% to 32%) in intercropped barley from N0 to N200 (Figure 6c).
3.5.2. Field Bean
ANOVA revealed that only the cropping system main effect prompted differences in field bean grain yield (Figure 7a). The legume was 28% less productive when grown in intercrop, and aboveground biomass was correspondingly 24% lower (Figure 7b). Therefore, no significant differences in the harvest index occurred between the two cropping systems (data not shown).
Figure 7.
Cropping system main effect on (a) grain yield and (b) aboveground biomass of field bean. Values are means of two years, two harvesting stages, five N rates, and three replicates. Vertical lines represent HSD and values with the same letter are not statistically different for p ≤ 0.05. SC = sole crop; IC = intercrop.
The decline in the grain yield of the field bean IC was because it produced fewer pods (−22%) which in turn also had fewer grains (−14%); thus, these reductions could not be counterbalanced by the slight (+9%) increase in the mean weight of the grains (Table 3)
Table 3.
Cropping system main effect on number of spikes per unit area and mean grain weight of barley and on pods per unit area, grains per pod, and mean grain weight of field bean.
3.5.3. Intercropping Performance for Grain Production
The total grain production (TGP), which is the obtained grain yield per equivalent unit area (per Equations (6) and (7)), was found to be affected by cropping system × N rate interaction (Figure 8a).
Figure 8.
Indices of intercropping performances: (a) total grain yield production (DM g m−2) in the equivalent surface area, per Equations (1) and (2); (b) percentage of barley in the grain mixture. Values are means of (a) two years, five N rates, two cropping systems, and three replicates (cropping system × nitrogen rate interaction) and (b) two years and three replicates (nitrogen rate main effect). Vertical lines represent HSD and values with the same letter are not statistically different for p ≤ 0.05. SC = sole crop; IC = intercrop.
Without N fertilization, the grain yield of IC was 82% higher than that of SC. The difference between cropping systems became lower (−53%) and lower (−21%) as the amount of applied N was augmented, and differences were not significant with N rates equal to or higher than 100 kg N ha−1.
The proportion of barley grain increased progressively from approximately 50% to 70% with the increase in N rate up to 150 kg N ha−1 (Figure 8b).
Consistently, total LER for grain production was progressively reduced with increasing N rates (Table 4). It approximated 1.0 with an application of 150 kg ha−1 of N but did not reach unity (0.93) with the highest N rate.
Table 4.
Nitrogen rate main effect on partial land equivalent ratio (LER), competitive ratio (CR), and aggressivity index (A) of barley and field bean and on total LER for grain production.
This was because the LER of barley decreased with increasing N rates, from about 0.8 to about 0.3, while that of field bean was unchanged.
Without N fertilization (N0), the values of the aggressivity index and the competitive ratio were about 0 and 1, respectively (Table 4). Conversely, N fertilization at any rate decreased the A and CR of the cereal and correspondingly increased those of field bean.
3.6. Response of Component Crops: Forage Production at Different Harvesting Stages
Forage production differed between the two harvesting stages, but interactions were not significant (Supplementary Table S2).
Thus, averaged over years, cropping systems, and N rates, the forage production of barley (i.e., aerial part) was higher at early dough than at heading, by about 32% (Figure 9a). This was mainly due to the increase in the inflorescences (+145%), and partly in the stems (+22%), as the leaves did not significantly differ.
Figure 9.
Harvesting stage main effect on forage composition of (a) barley and (b) field bean. Values are means of two years, five N rates, two cropping systems, and three replicates. Vertical lines represent HSD and values with the same letter are not statistically different for p ≤ 0.05.
The same was true for field bean (Figure 9b), but here also the leaves contributed to the overall spread of the legume total biomass (+24%), as they increased by 10% from the first to the second forage harvest.
Harvesting stages also influenced the fractions of leaves, stems, and inflorescences in the entire forage (Table 5), as their percentages in the mixture changed with maturity. Overall, from heading to early dough, the proportion of inflorescences increased 2.4-fold at the expense of that of leaves and stems. An analogous tendency was detected in the forage of barley and field bean.
Table 5.
Harvesting stage main effect on the distribution (%) of forage biomass among leaves, stems, and inflorescences of total, barley, and field bean forage.
The analysis of variance revealed a significant mean effect of harvesting stage (H) on the total forage production and on its DM concentration. Averaged over years, N rates, and cropping systems, the forage production increased by 216 g m−2, and the percentage of dry matter increased by 3% from heading to early dough (Figure 10).
Figure 10.
Harvesting stage main effect on (a) forage production and (b) forage dry matter concentration. Values are means of two years, two cropping systems, five N rates, and three replicates. Vertical lines represent HSD and values with the same letter are not statistically different for p ≤ 0.05.
4. Discussion
Under Mediterranean climate, no significant cropping system × growing season interactions in barley–faba bean intercrop were found by [33]; neither was variation between years reported under different N availabilities [53,54,55]. Consistently, we found that the meteorological conditions of the two seasons influenced only barley sole crop. This was probably due to the diverse soil N contents prompted by the two rainfall patterns. In the second year, rainfall came soon after the topdressing N fertilization; thus, leaching could likely have determined insufficient soil N for barley to achieve potential yield.
However, our first aim was to evaluate the relative productivity of intercropping compared to sole crops for forage and grain production.
In this study, the total forage production of IC was higher than that of SC with all N rates, which implies a complementary use of N resources by the two component crops [12,44,56,57,58,59,60] as also revealed by the total LER consistently higher than 1 [31]. Moreover, the competitiveness between the two intercropping species was generally limited, since the competitive ratios almost equalled 1, and the aggressivity index was near 0 [51,52].
Similar to our findings, other authors reported an improved forage production in barley–faba bean intercrops [33,61,62]. Conversely, [29] reported that the intercrop produced intermediate forage compared to the sole crops, likely because, in their experiment, the adopted ratios (55% and 65%) of Vicia faba in the mixture were higher than the ratio in our research (50%). Caballero et al. [63] stated indeed that yield decrease in the intercrops can happen with high common vetch ratios. This confirmed our hypothesis that with the additive design and the paired row geometry, plants could develop the target density [64] and produce adequate yield, owing to the benefits of temporal and spatial complementarity [65].
Without N fertilization, IC also produced a higher grain yield, and the LER indicated that about 2-fold more land should be used to obtain the same yield in SC if each component is allocated to 50% of land and does not receive fertilization. Values higher than unity have been reported for several intercrops of grain legumes and cereals grown both under semiarid [7] and Mediterranean climates [21]. The improvement has been associated with a complementary N use [66], and it was suggested that increased concentrations of soil inorganic N and decreased proportions of legume in the intercrop would decrease the intercropping advantage due to reduced N2 fixation in the intercrop [67]. Our results corroborated this assumption, as with increasing N rates (and probably higher N availabilities in the soil) both the LER and the proportion of field bean were reduced in both forage and grain. Therefore, when no N was added, the crops’ competition equaled complementary and cooperation effects, while with N fertilization, competition was higher and field bean was the dominant crop.
The dominant species may display a slighter decrease in the harvest index than the subordinate species, according to [68,69]. This is in line with our results, as we found that the grain of field bean in the intercropping was reduced similarly to the aerial biomass, and thus HI was not significantly changed. On the contrary, the grain yield of barley was more adversely affected than the aerial biomass, and consequently, the harvest index was reduced both with IC and with N fertilization. This means that barley differently allocated resources, due to an increase in competition [68], as also revealed by the partial LER decrease. Conversely, LER of field bean did not vary among N rates, confirming the findings of [59] that the N rate exerted no significant effect on LER of the legume in annual intercrops. Therefore, the application of N fertilizer decreased the total LER, as previously demonstrated for intercropped species sown and harvested simultaneously [70]. The dominance of field bean and the increased competition also prompted fewer spikes per unit area in barley when intercropped, together with fewer grains per spike and smaller grains. Probably, competition between crops was also the reason for the fewer pods per plant and grains per pod of intercropped field bean [71].
The second aim of this research was to determine the optimal N rates for forage and grain production.
The advantages of intercropping with a legume are more paramount under N limiting conditions [7,72], and thus the complementary use of N matters more in low-input systems due to the nonproportional sharing of the soil nutrient. Our results for forage and grain production are both confirmative, as the benefits of intercropping decreased with increasing N rates, signifying a more appropriate exploitation of the environmental resources under low-soil-N conditions [73].
The grain yield decrease in the IC due to fertilization was likely related to interspecific interactions [24,74]. This also explained why the total LER progressively decreased with increasing N rates. Even if the intercrop without N application exploited resources about 90% more efficiently, the efficiency was only 30% with N100 and almost null with the highest N rate (200 kg N ha−1). Moreover, competition was influenced by the N availability, and the contribution of barley to total grain yield was boosted as the N rate increased. Thus, with higher N supplies, the differences in N demand between species had more influence on species dominance.
Anyway, our results highlighted that N had a more pronounced effect on the biomass of the cereal compared to field bean, owing to its higher competitiveness for nitrogen [23,75]; barley is likely to compete more effectively than faba bean because it produces tillers and develops more rapidly at the earlier growing stages [13] and has finer roots that can more efficiently explore the soil volume [75].
Thus, the optimal N rate for grain yield of barley–field bean intercrop could be lowered to 50 or 100 kg ha−1 in Mediterranean environments, in accordance with [76]. It is worth recalling that we included in this experiment the highest rates to study the effects of an excess of N. Consequently, we can infer that using fertilizers above the optimal threshold may modify the components of the IC, altering the composition of the feed, as well as intensify the external inputs and costs.
Finally, our results suggested that intercropping could be more successful for forage than grain production also under Mediterranean climates, as evidenced under temperate areas by [16]. However, we disclosed that competition in intercropping can be fine-tuned through agronomic management practices (i.e., N fertilization) that can modulate the spatial and temporal complementarity of intercrops.
Moreover, the N rate should be optimized if a target proportion between cereal and legumes is requested. The proportion of barley in forage is recommended to fall within the range of 25–50% for cereal–legume silage [77], but any increase in legume proportion can provide higher quality because they have less fiber and favor higher intake [24]. With higher N rates, the barley contribution to forage increased, as the nutrient favored the cereal over the legume (i.e., 34% without N fertilization, overcoming (55%) the theoretical 50% with the highest N rate).
Our results disclosed that barley had greater competitiveness than field bean in the absence of fertilization and with the lowest N rate, as it had the maximum CR [51]. Conversely, the opposite occurred with the highest N rate when the most competitive species was the legume, as further confirmed by the aggressivity index < 0. Thus, the application to IC of a key limiting resource (i.e., nitrogen) for one component crop (i.e., barley) reduced its competitiveness, likely because under plenty of availability no (or, at least, an inferior) competition was needed. Overall, the present findings indicated that the improvement in forage production due to the N rate was not so much explained by the fraction of the total resources used by each species as by the degree of competition between the two component crops. This feature was reduced in barley and increased in field bean as the N availabilities increased.
Here, the intercrop showed a competitive advantage in intercepting light for photosynthesis compared to SC, as light interception is proportional to leaf biomass [78], and the IC had a greater proportion of leaves (and correspondingly lower proportion of inflorescences) and a higher leaf/stem ratio in the forage. Furthermore, the overall higher leaf/stem ratio without N fertilization once more demonstrated a better efficiency of IC under low N availability because plants with nutrient limitation allocate less biomass to stems [79]. Moreover, the component crops differed in biomass allocation, i.e., a strong driver of the capacity of plants to take up light, CO2, water, and nutrients: barley IC distributed more biomass in leaves and spikes and less in stems, while intercropped field bean had less DM in leaves. Higher N supply can prompt higher leaf area and leaf N concentration in intercropped barley [57], somewhat due to light interception, which decreases more in N-fertilized plants [80]. These findings should be taken into account in forage production because the leaf/stem ratio plays a significant role in ruminant diet selection and forage value, regulating the fodder digestibility and palatability.
Finally, nitrogen fertilization had greater effects on grain yields of sole crops than intercrop, and thus the IC could not achieve higher grain yields under high N fertilization (N150 and N200). This was mainly due to barley response as field bean sole crop was not affected by N fertilization, in line with [76].
Our last aim was to determine intercropping interactions at different stages along the crop cycle.
Temporal interactions between species are composite and may change with nutrient availability or other environmental factors during crop growth [81]. In our research, dynamics of forage production were highlighted by harvesting at two different stages. We found that the DM production increased and biomass allocation changed with maturity. Even if applied nitrogen had an insignificant effect on this trait, the increase between the two stages was expected due to the carryover of the growth after the generative parts (flower buds and flowers) had been formed. In addition, the dry matter content of forage increased between heading and early dough stages, according to earlier findings of [27,35,82].
Moreover, the total LER decreased between the two harvesting stages, confirming less complementarity between the species later in the growing season, as further evidenced by the lower leaf/stem ratios at the second harvest, because photosynthesis takes place only in leaves.
However, the legume grew more slowly at the early stages, and thus initially (i.e., forage production) barley had an advantage due to the superior access to soil available nitrogen [13,75]. This forced field bean to fix nitrogen to meet its own requirements, but as the N-fixation ability increased, the legume had more favorable conditions. We carried out the forage harvestings in periods of rapid growth of leaves and of high N requirements for barley; anyway, because field bean could rely on symbiotic N fixation, N uptake of the cereal did not prevent the legume from satisfying its needs. Thus, complementarity for N between the two components for forage production was confirmed [12,24].
Conversely, competitive interactions between species were likely superior at the final growth stages (i.e., grain production) when water shortage could also have negatively affected grain filling [40]. Moreover, likely less N could have been available in the soil, and concurrently field bean had decreased BNF [83], indicating that differences in the temporal development of the two crop species could again be the explanation. Accordingly, including sequential harvests in experiments on intercropping can provide important information on competitive hierarchies over time.
5. Conclusions
Overall, the total forage production of intercrops was superior to sole crops, while the total grain production was increased by intercropping, but only with low N availabilities. Cropping system and fertilization differently affected yield components of intercropped barley and field bean, and N fertilization decreased the aggressivity of barley. Thus, under our experimental conditions, a rate of 150 kg N ha−1 was the most appropriate for forage production, whereas lower rates (N50 and N100) were more appropriate for grain production.
Interactions between barley and field bean were similar at the two stages of forage harvest, as we found an increase in production but no differences in intercropping indices. However, the competitive effect of barley on field bean changed later in the growing season, as barley was the dominant component of the intercrop for forage production, while field bean was the dominant component of the intercrop for final grain yield.
Finally, we began this paper by presenting the essential requirements of future agriculture. Although defining N fertilization for intercropping systems is by no means simple, it may be useful in lining up with sustainable future cropping systems. In fact, we demonstrated that, once the crop combinations for intercropping are established (i.e., barley–field bean), in Mediterranean areas the N rate should be fine-tuned according to yield purposes, as it may prompt significant variations in the intercrop composition and performance.
Supplementary Materials
The following are available online at https://www.mdpi.com/article/10.3390/agronomy12020418/s1, Supplementary Figure S1: View of the plots and layout of the experimental design (year 2016), Supplementary Figure S2: Schematic diagram of the intercropping design and row spacing (cm). B = barley; F = field bean, Supplementary Table S1: Main results of analysis of variance (ANOVA) for the effects of year (Y), cropping system (CS), nitrogen rate (N), and their interactions, Supplementary Table S2: Results of analysis of variance (ANOVA) for the effects of cropping system (CS), N rate (N), harvest stage (HS), and their interactions.
Author Contributions
Conceptualization, S.P. and M.M.; methodology, S.P. and M.M.; formal analysis, V.A. and S.P.; investigation, M.M., S.P., V.A. and I.A.; data curation, S.P., M.M. and V.A.; writing—original draft preparation, S.P.; writing—review and editing, S.P., M.M. and I.A.; visualization, S.P.; supervision, M.M. All authors have read and agreed to the published version of the manuscript.
Funding
This research received no external funding.
Data Availability Statement
The data presented in this study are available on request from the corresponding author.
Conflicts of Interest
The authors declare no conflict of interest.
Abbreviations
A: aggressivity index; B-SC: barley sole crop; CR: competitive ratio; F-SC: field bean sole crop; GS: number of grains per spike; HI: harvest index; IC: intercrop; LER: land equivalent ratio; MGW: mean grain weight; N: nitrogen; TGP: total grain production; TFP: total forage production.
References
- Millennium Ecosystem Assessment (Program). Ecosystems and Human Well-Being: General Synthesis; World Resources Institute, Island Press: Washington, DC, USA, 2005. [Google Scholar]
- Searchinger, T.; Waite, R.; Hanson, C.; Ranganathan, J.; Dumas, P.; Matthews, E.; Klirs, C. Creating a Sustainable Food Future: A Menu of Solutions to Feed Nearly 10 Billion People by 2050. Final Report; WRI: Washington, DC, USA, 2019. [Google Scholar]
- Tamburini, G.; Bommarco, R.; Wanger, T.C.; Kremen, C.; van der Heijden, M.G.; Liebman, M.; Hallin, S. Agricultural diversification promotes multiple ecosystem services without compromising yield. Sci. Adv. 2020, 6, eaba1715. [Google Scholar] [CrossRef] [PubMed]
- Graham, P.H.; Vance, C.P. Legumes: Importance and constraints to greater use. Plant Physiol. 2003, 131, 872–877. [Google Scholar] [CrossRef] [PubMed] [Green Version]
- Peoples, M.B.; Brockwell, J.; Herridge, D.F.; Rochester, I.J.; Alves, B.J.R.; Urquiaga, S.; Boddey, R.M.; Dakora, F.D.; Bhatarai, S.; Maskey, S.L.; et al. The contributions of nitrogen-fixing crop legumes to the productivity of agricultural systems. Symbiosis 2009, 48, 1–17. [Google Scholar] [CrossRef]
- Beillouin, D.; Ben-Ari, T.; Malézieux, E.; Seufert, V.; Makowski, D. Positive but variable effects of crop diversification on biodiversity and ecosystem services. Global Chang. Biol. 2021, 27, 4697–4710. [Google Scholar] [CrossRef]
- Ofori, F.; Stern, W.R. Cereal-legume intercropping systems. Adv. Agron. 1987, 41, 41–90. [Google Scholar]
- Altieri, M.A. The ecological role of biodiversity in agroecosystems. Agric. Ecosyst. Environ. 1999, 74, 19–31. [Google Scholar] [CrossRef] [Green Version]
- Malézieux, E.; Crozat, Y.; Dupraz, C.; Laurans, M.; Makowski, D.; Ozier-Lafontaine, H.; Rapidel, B.; De Tourdonnet, S.; Valantin-Morison, M. Mixing plant species in cropping systems: Concepts, tools and models. A review. Agron. Sustain. Dev. 2008, 29, 43–62. [Google Scholar] [CrossRef] [Green Version]
- Fletcher, A.L.; Kirkegaard, J.A.; Peoples, M.B.; Robertson, M.J.; Whish, J.; Swan, A.D. Prospects to utilise intercrops and crop variety mixtures in mechanised, rain-fed, temperate cropping systems. Crop Pasture Sci. 2016, 67, 1252–1267. [Google Scholar] [CrossRef]
- Padulosi, S.; Hodgkin, T.; Williams, J.T.; Haq, N. Underutilized crops: Trends, challenges and opportunities in the 21st century. In Managing Plant Genetic Resources; Engels, J.M.M., Ramanatha, R.V., Brown, A.H.D., Jackson, M.T., Eds.; CAB International: Wallingford, UK, 2002; pp. 323–338. [Google Scholar]
- Banik, P.; Midya, A.; Sarkar, B.; Ghose, S. Wheat and chickpea intercropping systems in an additive series experiment: Advantages and weed smothering. Eur. J. Agron. 2006, 24, 325–332. [Google Scholar] [CrossRef]
- Lithourgidis, A.; Dordas, C.; Damalas, C.A.; Vlachostergios, D. Annual intercrops: An alternative pathway for sustainable agriculture. Aust. J. Crop Sci. 2011, 5, 396–410. [Google Scholar]
- Kremen, C.; Miles, A. Ecosystem services in biologically diversified versus conventional farming systems: Benefits, externalities, and trade-offs. Ecol. Soc. 2012, 17, 40. [Google Scholar] [CrossRef]
- Bedoussac, L.; Journet, E.P.; Hauggaard-Nielsen, H.; Naudin, C.; Corre-Hellou, G.; Jensen, E.S.; Prieur, L.; Eric Justes, E. Ecological principles underlying the increase of productivity achieved by cereal-grain legume intercrops in organic farming. A review. Agron. Sustain. Devel. 2015, 35, 911–935. [Google Scholar] [CrossRef]
- Anil, L.; Park, J.; Phipps, R.H.; Miller, F.A. Temperate intercropping of cereals for forage: A review of the potential for growth and utilization with particular reference to the UK. Grass Forage Sci. 1998, 53, 301–317. [Google Scholar] [CrossRef]
- Voisin, A.S.; Guéguen, J.; Huyghe, C.; Jeuffroy, M.H.; Magrini, M.B.; Meynard, J.M.; Mougel, C.; Pellerin, S.; Pelzer, E. Legumes for feed, food, biomaterials and bioenergy in Europe: A review. Agron. Sustain. Devel. 2014, 34, 361–380. [Google Scholar] [CrossRef]
- Watson, C.A.; Reckling, M.; Preissel, S.; Bachinger, J.; Bergkvist, G.; Kuhlman, T.; Lindström, K.; Nemecek, T.; Topp, C.F.E.; Vanhatalo, A.; et al. Grain legume production and use in European agricultural systems. Adv. Agron. 2017, 144, 235–303. [Google Scholar]
- Dhima, K.V.; Lithourgidis, A.; Vasilakoglou, I.B.; Dordas, C. Competition indices of common vetch and cereal intercrops in two seeding ratio. Field Crops Res. 2007, 100, 249–256. [Google Scholar] [CrossRef]
- Sulas, L.; Roggero, P.P.; Canu, S.; Seddaiu, G. Potential nitrogen source from field bean for rainfed Mediterranean cropping systems. Agron. J. 2013, 105, 1735–1742. [Google Scholar] [CrossRef]
- Mariotti, M.; Andreuccetti, V.; Arduini, I.; Minieri, S.; Pampana, S. Field bean for forage and grain in short-season rainfed Mediterranean conditions. Ital. J. Agron. 2018, 13, 208–215. [Google Scholar] [CrossRef] [Green Version]
- Hauggaard-Nielsen, H.; Jørnsgaard, B.; Kinane, J.; Jensen, E.S. Grain legume-cereal intercropping: The practical application of diversity, competition and facilitation in arable and organic cropping systems. Renew. Agric. Food Syst. 2008, 23, 3–12. [Google Scholar] [CrossRef] [Green Version]
- Pampana, S.; Masoni, A.; Arduini, I. Response of cool-season grain legumes to waterlogging at flowering. Can. J. Plant Sci. 2016, 96, 597–603. [Google Scholar] [CrossRef]
- Mariotti, M.; Masoni, A.; Ercoli, L.; Arduini, I. Optimizing forage yield of durum wheat ⁄ field bean intercropping through N fertilization and row ratio. Grass Forage Sci. 2011, 67, 243–254. [Google Scholar] [CrossRef]
- Li, C.; Hoffland, E.; Kuyper, T.W.; Yu, Y.; Zhang, C.; Li, H.; Zhang, F.; van der Werf, W. Syndromes of production in intercropping impact yield gains. Nat. Plants 2020, 6, 653–660. [Google Scholar] [CrossRef] [PubMed]
- Nadeau, E.; de Sousa, D.O.; Magnusson, A.; Hedlund, S.; Richardt, W.; Nørgaard, P. Digestibility and protein utilization in wethers fed whole-crop barley or grass silages harvested at different maturity stages, with or without protein supplementation. J. Anim. Sci. 2019, 97, 2188–2201. [Google Scholar] [CrossRef] [PubMed]
- Carr, P.M.; Horsley, R.D.; Poland, W.W. Barley, oat, and cereal pea mixtures as dryland forages in the Northern Great Plains. Agron. J. 2004, 96, 677–684. [Google Scholar] [CrossRef] [Green Version]
- Köpke, U.; Nemecek, T. Ecological services of faba bean. Field Crops Res. 2010, 115, 217–233. [Google Scholar] [CrossRef]
- Lithourgidis, A.S.; Dhima, K.V.; Vasilakoglou, I.B.; Dordas, C.A.; Yiakoulaki, M.D. Sustainable production of barley and wheat by intercropping common vetch. Agron. Sustain. Dev. 2007, 27, 95–99. [Google Scholar] [CrossRef]
- Getachew, A.; Amare, G.; Woldeyesus, S. Yield performance and land-use efficiency of barley and faba bean mixed cropping in Ethiopian high lands. Eur. J. Agron. 2006, 25, 202–207. [Google Scholar]
- Willey, R.W. Intercropping—Its importance and research needs. Part 1. Competition and yield advantages. Field Crop Abstr. 1979, 31, 1–84. [Google Scholar]
- Odo, P.E. Evaluation of short and tall sorghum varieties in mixtures with cowpea in the Sudan savanna of Nigeria: Land equivalent ratio, grain yield and system productivity index. Exp. Agric. 1991, 27, 435–441. [Google Scholar] [CrossRef]
- Galanopoulou, K.; Lithourgidis, A.S.; Dordas, C.A. Intercropping of faba bean with barley at various spatial arrangements affects dry matter and N yield, nitrogen nutrition index, and interspecific competition. Not. Bot. Horti Agrobot. Cluj-Napoca 2019, 47, 1116–1127. [Google Scholar]
- Workayehu, T.; Hidoto, L.; Loha, G. Grain yield and economic benefit of intercropping barley and faba bean in the Highlands of Southern Ethiopia. East Afr. J. Sci. 2016, 10, 103–110. [Google Scholar]
- Searle, P.G.E.; Comudon, S.; Shedden, D.C.; Nance, R.A. Effect of maize + legume intercropping systems and fertilizer nitrogen on crop yields and residual nitrogen. Field Crops Res. 1981, 4, 133–145. [Google Scholar] [CrossRef]
- Baker, C.M.; Blamey, F.P.C. Nitrogen fertilizer effects on yield and nitrogen uptake of sorghum and soybean, grown in sole cropping and intercropping systems. Field Crops Res. 1985, 12, 233–240. [Google Scholar] [CrossRef]
- Ofori, F.; Stern, W.R. Maize/cowpea intercrop system: Effect of nitrogen fertilizer on productivity and efficiency. Field Crops Res. 1986, 14, 247–261. [Google Scholar] [CrossRef]
- Pilbeam, C.J.; Wood, M.; Mugane, P.G. Nitrogen use in maize-grain legume cropping systems in semi-arid Kenya. Biol. Fertil. Soils 1995, 20, 57–62. [Google Scholar] [CrossRef]
- Siame, J.; Willey, R.W.; Morse, S. The response of maize Phaseolus intercropping to applied nitrogen on Oxisol in northern Zambia. Field Crops Res. 1998, 55, 73–81. [Google Scholar] [CrossRef]
- Ercoli, L.; Masoni, A.; Pampana, S.; Mariotti, M.; Arduini, I. As durum wheat productivity is affected by nitrogen fertilization management in Central Italy. Eur. J. Agron. 2013, 44, 38–45. [Google Scholar] [CrossRef]
- Van Kessel, C.; Hartley, C. Agricultural management of grain legumes: Has it led to an increase in nitrogen fixation? Field Crops Res. 2002, 65, 165–181. [Google Scholar] [CrossRef]
- Peoples, M.; Bowman, A.; Gault, R.; Herridge, D.F.; McCallum, M.H.; McCormick, K.M.; Norton, R.M.; Rochester, I.J.; Scammel, G.J.; Scwenke, G.D. Factors regulating the contributions of fixed nitrogen by pasture and crop legumes to different farming systems of eastern Australia. Plant Soil 2001, 228, 29–41. [Google Scholar] [CrossRef]
- Pampana, S.; Masoni, A.; Mariotti, M.; Ercoli, L.; Arduini, I. Nitrogen fixation of grain legumes differs in response to nitrogen fertilisation. Exper. Agric. 2018, 54, 66–82. [Google Scholar]
- Yu, Y.; Stomph, T.-J.; Makowski, D.; Van Der Werf, W. Temporal niche differentiation increases the land equivalent ratio of annual intercrops: A meta-analysis. Field Crops Res. 2015, 184, 133–144. [Google Scholar] [CrossRef]
- Li, L.; Zhang, L.; Zhang, F. Crop mixtures and the mechanisms of overyielding. In Encyclopedia of Biodiversity, 2nd ed.; Levin, S.A., Ed.; Academic Press: Waltham, MA, USA, 2013; Volume 2. [Google Scholar]
- Snaydon, R.W. Replacement or additive designs for competition studies? J. Appl. Ecol. 1994, 28, 930–946. [Google Scholar] [CrossRef]
- Federer, W.T. Statistical Design and Analysis for Intercropping Experiments: Volume 1: Two Crops; Springer: Berlin, Germany, 2012. [Google Scholar]
- Meier, U. BBCH-Monograph: Growth Stages of Mono-and Dicotyledonous Plants, 2nd ed.; Federal Biological Research Centre for Agriculture and Forestry: Quedlinburg, Germany, 2001; pp. 18–23. [Google Scholar]
- Raggi, L.; Negri, V.; Ceccarelli, S. Morphological diversity in a barley composite cross-derived population evolved under low-input conditions and its relationship with molecular diversity: Indications for breeding. J. Agric. Sci. 2016, 154, 943–959. [Google Scholar] [CrossRef]
- Tudisco, R.; Calabrò, S.; Terzi, V.; Piccolo, V.; Guglielmelli, A.; Infascelli, F. In vitro fermentation of ten cultivars of barley silage. Ital. J. Anim. Sci. 2009, 8, 343–345. [Google Scholar] [CrossRef]
- Willey, R.; Rao, M. A competitive ratio for quantifying competition between intercrops. Exp. Agric. 1980, 16, 117–125. [Google Scholar] [CrossRef]
- Mc-Gilchrist, C.A. Analysis of competition on experiments. Biometrics 1965, 21, 975–985. [Google Scholar] [CrossRef]
- Amanullah, S.K.; Khalil, I.F. Influence of irrigation regimes on competition indexes of winter and summer intercropping system under semi-arid regions of Pakistan. Sci. Rep. 2020, 10, 8129. [Google Scholar] [CrossRef]
- Canisares, L.P.; Poffenbarger, H.; Brodie, E.L.; Sorensen, P.O.; Karaoz, U.; Villegas, D.M.; Arango, J.; Momesso, L.; Crusciol, C.A.C.; Cantarella, H. Legacy effects of intercropping and nitrogen fertilization on soil N cycling, nitrous oxide emissions, and the soil microbial community in tropical maize production. Front. Soil Sci. 2021, 1, 746433. [Google Scholar] [CrossRef]
- Bacchi, M.; Monti, M.; Calvi, A.; Lo Presti, E.; Pellicanò, A.; Preiti, G. Forage potential of cereal/legume intercrops: Agronomic performances, yield, quality forage and LER in two harvesting times in a Mediterranean environment. Agronomy 2021, 11, 121. [Google Scholar] [CrossRef]
- Corre-Hellou, G.; Fustec, J.; Crozat, Y. Interspecific competition for soil N and its interaction with N2 fixation, leaf expansion and crop growth in pea–barley intercrops. Plant Soil 2006, 282, 195–208. [Google Scholar] [CrossRef]
- Xiao, Y.; Li, L.; Zhang, F. Effect of root contact on interspecific competition and N transfer between wheat and fababean using direct and indirect 15N techniques. Plant Soil 2004, 262, 45–54. [Google Scholar] [CrossRef]
- Bedoussac, L.; Justes, E. Dynamic analysis of competition and complementarity for light and N use to understand the yield and the protein content of a durum wheat–winter pea intercrop. Plant Soil 2011, 330, 37–54. [Google Scholar] [CrossRef] [Green Version]
- Pelzer, E.; Hombert, N.; Jeuffroy, M.H.; Makowski, D. Meta-Analysis of the Effect of Nitrogen Fertilization on Annual Cereal–Legume Intercrop Production. Agron. J. 2014, 106, 1775–1786. [Google Scholar] [CrossRef]
- Martin-Guay, M.O.; Paquette, A.; Dupras, J.; Rivest, D. The new Green Revolution: Sustainable intensification of agriculture by intercropping. Sci. Total Environ. 2018, 615, 767–772. [Google Scholar] [CrossRef] [PubMed]
- Strydhorst, S.M.; King, J.R.; Lopetinsky, K.J.; Harker, K.N. Forage potential of intercropping barley with faba bean, lupin, or field pea. Agron. J. 2008, 100, 182–190. [Google Scholar] [CrossRef]
- Lithourgidis, A.S.; Dordas, C.A. Forage yield, growth rate, and nitrogen uptake of faba bean intercrops with wheat, barley, and rye in three seeding ratios. Crop Sci. 2010, 50, 2148–2158. [Google Scholar] [CrossRef]
- Caballero, A.R.; Goicoechea, E.L.; Hernaiz, P.J. Forage yields and quality of common vetch and oat sown at varying seeding ratios and seeding rates of vetch. Field Crops Res. 1995, 41, 135–140. [Google Scholar] [CrossRef]
- Neumann, A.; Schmidtke, K.; Rauber, R. Effects of crop density and tillage system on grain yield and N uptake from soil and atmosphere of sole and intercropped pea and oat. Field Crops Res. 2007, 100, 285–293. [Google Scholar] [CrossRef]
- Maitra, S.; Palai, J.B.; Manasa, P.; Kumar, D.P. Potential of intercropping system in sustaining crop productivity. Int. J. Agric. Environ. Bio-Res. 2019, 12, 39–45. [Google Scholar] [CrossRef]
- Martin, M.P.L.D.; Snaydon, R.W. Root and shoot interactions between barley and field beans when intercropped. J. Appl. Ecol. 1982, 19, 263–272. [Google Scholar] [CrossRef]
- Snaydon, R.W.; Harris, P.M. Interactions belowground—The use of nutrients and water. In Proceedings of the International Workshop on Intercropping, Hyderabad, India, 10–13 January 1979; Willey, R.W., Ed.; ICRISAT: Patancherou, India, 1979; pp. 188–201. [Google Scholar]
- Gou, F.; van Ittersum, M.K.; Wang, G.; van der Putten, P.E.; van der Werf, W. Yield and yield components of wheat and maize in wheat-maize intercropping in the Netherlands. Eur. J. Agron. 2016, 76, 17–27. [Google Scholar] [CrossRef]
- Chen, J.; Engbersen, N.; Stefan, L.; Schmid, B.; Sun, H.; Schöb, C. Diversity increases yield but reduces harvest index in crop mixtures. Nat. Plants. 2021, 7, 893–898. [Google Scholar] [CrossRef] [PubMed]
- Hu, F.; Tan, Y.; Yu, A.; Zhao, C.; Coulter, J.A.; Fan, Z.; Yin, W.; Fan, H.; Chai, Q. Low N fertilizer application and intercropping increases N concentration in pea (Pisum sativum L.) grains. Front Plant Sci. 2018, 9, 1763. [Google Scholar] [CrossRef] [PubMed] [Green Version]
- Layek, J.; Das, A.; Mitran, T.; Nath, C.; Meena, R.S.; Yadav, G.S.; Shivakumar, B.G.; Kumar, S.; Lal, R. Cereal+Legume Intercropping: An option for improving productivity and sustaining soil health. In Legumes for Soil Health and Sustainable Management; Meena, R., Das, A., Yadav, G., Lal, R., Eds.; Springer: Singapore, 2018. [Google Scholar] [CrossRef]
- Jensen, E.S. Grain yield, symbiotic N2 fixation and interspecific competition for inorganic N in pea-barley intercrops. Plant Soil 1996, 182, 25–38. [Google Scholar] [CrossRef]
- Hauggaard-Nielsen, H.; Jensen, E.S. Evaluating pea and barley cultivars for complementarity in intercropping at different levels of soil N availability. Field Crops Res. 2001, 71, 185–196. [Google Scholar] [CrossRef]
- Neugschwandtner, R.W.; Kaul, H.-P. Nitrogen uptake, use and utilization efficiency by oat–pea intercrops. Field Crops Res. 2015, 179, 113–119. [Google Scholar] [CrossRef]
- Mariotti, M.; Masoni, A.; Ercoli, L.; Arduini, I. Above- and below-ground competition between barley, wheat, lupin and vetch in a cereal and legume intercropping system. Grass Forage Sci. 2009, 64, 401–412. [Google Scholar] [CrossRef]
- Papastylianou, I. Effect of rotation system and N fertilizer on barley and vetch grown in various crop combinations and cycle lengths. J. Agric. Sci. 2004, 142, 41–48. [Google Scholar] [CrossRef]
- Pursiainen, P.; Tuori, M. Effect of ensiling field bean, field pea and common vetch in different proportions with whole-crop wheat using formic acid or an inoculant on fermentation characteristics. Grass Forage Sci. 2008, 63, 60–78. [Google Scholar] [CrossRef]
- Poorter, H.; Nagel, O. The role of biomass allocation in the growth response of plants to different levels of light, CO2, nutrients and water: A quantitative review. Aust. J. Plant Physiol. 2000, 27, 595–607. [Google Scholar] [CrossRef] [Green Version]
- Yan, Z.; Eziz, A.; Tian, D.; Li, X.; Hou, X.; Peng, H.; Han, W.; Guo, Y.; Fang, J. Biomass allocation in response to nitrogen and phosphorus availability: Insight from experimental manipulations of Arabidopsis thaliana. Front Plant Sci. 2019, 10, 598. [Google Scholar] [CrossRef] [PubMed]
- Berhanu, S. Establishment and growth of a sequence of crops in a permanent legume base. In Proceedings of the Fourth National Livestock Improvement Conference, Addis Abeba, Ethiopia, 13–15 November 1991; Institute of Agricultural Research: Addis Abeba, Ethiopia, 1993; pp. 193–200. [Google Scholar]
- Connolly, H.C.; Goma, K.R. The information content of indicators in intercropping research. Agric. Ecosyst. Environ. 2001, 87, 191–207. [Google Scholar] [CrossRef]
- Baron, V.S.; Najda, H.G.; Salmon, D.F.; Dick, A.C. Post-flowering forage potential of spring and winter cereal mixtures. Can. J. Plant Sci. 1992, 72, 137–145. [Google Scholar] [CrossRef] [Green Version]
- Pampana, S.; Masoni, A.; Arduini, I. Grain legumes differ in nitrogen accumulation and remobilization during seed filling. Acta Agric. Scand. B Soil Plant Sci. 2016, 66, 127–132. [Google Scholar]
Publisher’s Note: MDPI stays neutral with regard to jurisdictional claims in published maps and institutional affiliations. |
© 2022 by the authors. Licensee MDPI, Basel, Switzerland. This article is an open access article distributed under the terms and conditions of the Creative Commons Attribution (CC BY) license (https://creativecommons.org/licenses/by/4.0/).