How Different Cooking Methods Affect the Phenolic Composition of Sweet Potato for Human Consumption (Ipomea batata (L.) Lam)
Abstract
1. Introduction
2. Materials and Methods
2.1. Solvents and Reactants
2.2. Sweet Potato Samples
2.3. Preparation/Cooking of the Sweet Potatoes
2.4. Optimisation of the Extraction Process by Ultrasound-Assisted Extraction (UAE)
2.5. Analysis of the Phenolic Compounds by Ultra-High Performance Liquid Chromatography (UHPLC)
2.6. Validation of the Extraction Method
2.7. Identification of the Phenolic Compounds by Means of UHPLC-QToF-MS
3. Results and Discussion
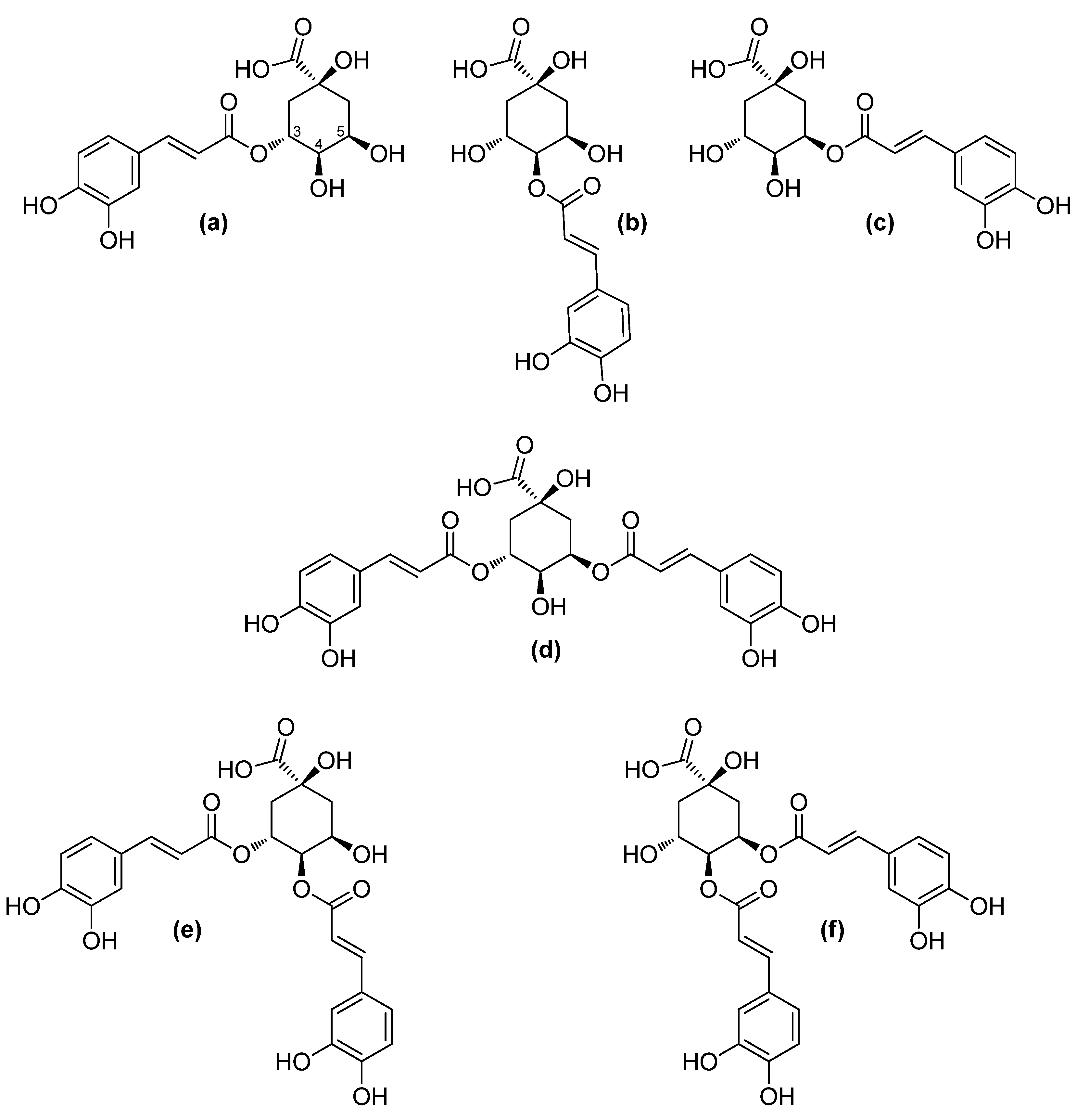
3.1. Identification of the Phenolic Compounds Present in the Samples
3.2. Optimization of the Ultrasound-Assisted Extraction Method
3.3. Validation of the Extraction Method
3.4. Implementation of the Method to Actual Samples
3.4.1. Effect of Cooking Method on Sweet Potato Phenolic Compounds
3.4.2. Effect of Boiling Time and Presence or Absence of Sweet Potato Peel
3.4.3. Oven Roasting Time Effect
4. Conclusions
- The method developed for the extraction of sweet potato compounds was proven to be effective to extract caffeoylquinic compounds, with repeatability and intermediate precision properties below 10%;
- The cooking method clearly affects the resulting levels of caffeoylquinic compounds, with oven roasting producing cooked sweet potatoes with higher levels of caffeoylquinic derivatives;
- In the case of water boiling, longer cooking time results in lower levels of caffeoylquinic derivatives, whereas in the case of oven roasting, the opposite effect occurs. An explanation is proposed involving two phenomena with opposite effects, namely extraction by hot water and concentration due to water evaporation at high temperature;
- From the consumer’s point of view, the main point to note is that a longer baking time in the oven increases the levels of caffeoylquinic derivatives, while boiling in water reduces them.
Author Contributions
Funding
Data Availability Statement
Acknowledgments
Conflicts of Interest
References
- Shekhar, S.; Mishra, D.; Buragohain, A.K.; Chakraborty, S.; Chakraborty, N. Comparative analysis of phytochemicals and nutrient availability in two contrasting cultivars of sweet potato (Ipomoea batatas L.). Food Chem. 2015, 173, 957–965. [Google Scholar] [CrossRef]
- Chamorro, S.; Cueva-Mestanza, R.; de Pascual-Teresa, S. Effect of spray drying on the polyphenolic compounds present in purple sweet potato roots: Identification of new cinnamoylquinic acids. Food Chem. 2021, 345, 128679. [Google Scholar] [CrossRef]
- Donado-Pestana, C.M.; Salgado, J.M.; de Oliveira Rios, A.; dos Santos, P.R.; Jablonski, A. Stability of Carotenoids, Total Phenolics and In Vitro Antioxidant Capacity in the Thermal Processing of Orange-Fleshed Sweet Potato (Ipomoea batatas Lam.) Cultivars Grown in Brazil. Plant Foods Hum. Nutr. 2012, 67, 262–270. [Google Scholar] [CrossRef] [PubMed]
- Ishida, H.; Suzuno, H.; Sugiyama, N.; Innami, S.; Tadokoro, T.; Maekawa, A. Nutritive evaluation on chemical components of leaves, stalks and stems of sweet potatoes (Ipomoea batatas poir). Food Chem. 2000, 68, 359–367. [Google Scholar] [CrossRef]
- Lewandowski, K.; Zhang, X.; Hayes, M.; Ferruzzi, M.G.; Paton, C.M. Design and nutrient analysis of a carotenoid-rich food product to address vitamin a and protein deficiency. Foods 2021, 10, 1019. [Google Scholar] [CrossRef] [PubMed]
- Dincer, C.; Karaoglan, M.; Erden, F.; Tetik, N.; Topuz, A.; Ozdemir, F. Effects of Baking and Boiling on the Nutritional and Antioxidant Properties of Sweet Potato [Ipomoea batatas (L.) Lam.] Cultivars. Plant Foods Hum. Nutr. 2011, 66, 341–347. [Google Scholar] [CrossRef] [PubMed]
- Hu, Y.; Deng, L.; Chen, J.; Zhou, S.; Liu, S.; Fu, Y.; Yang, C.; Liao, Z.; Chen, M. An analytical pipeline to compare and characterise the anthocyanin antioxidant activities of purple sweet potato cultivars. Food Chem. 2016, 194, 46–54. [Google Scholar] [CrossRef]
- Tang, Y.; Cai, W.; Xu, B. Profiles of phenolics, carotenoids and antioxidative capacities of thermal processed white, yellow, orange and purple sweet potatoes grown in Guilin, China. Food Sci. Hum. Wellness 2015, 4, 123–132. [Google Scholar] [CrossRef]
- Wu, Q.; Qu, H.; Jia, J.; Kuang, C.; Wen, Y.; Yan, H.; Gui, Z. Characterization, antioxidant and antitumor activities of polysaccharides from purple sweet potato. Carbohydr. Polym. 2015, 132, 31–40. [Google Scholar] [CrossRef]
- Teow, C.C.; Truong, V.D.; McFeeters, R.F.; Thompson, R.L.; Pecota, K.V.; Yencho, G.C. Antioxidant activities, phenolic and β-carotene contents of sweet potato genotypes with varying flesh colours. Food Chem. 2007, 103, 829–838. [Google Scholar] [CrossRef]
- Cai, Z.; Song, L.; Qian, B.; Xu, W.; Ren, J.; Jing, P.; Oey, I. Understanding the e ff ect of anthocyanins extracted from purple sweet potatoes on alcohol-induced liver injury in mice. Food Chem. 2018, 245, 463–470. [Google Scholar] [CrossRef] [PubMed]
- Wang, L.; Zhao, Y.; Zhou, Q.; Luo, C.-L.; Deng, A.-P.; Zhang, Z.-C.; Zhang, J.-L. Characterization and hepatoprotective activity of anthocyanins from purple sweet potato (Ipomea batata L. cultivar Eshu No. 8). J. Food Drug Anal. 2016, 25, 607–618. [Google Scholar] [CrossRef] [PubMed]
- Xue, M.; Shi, H.; Zhang, J.; Liu, Q.Q.; Guan, J.; Zhang, J.Y.; Ma, Q. Stability and degradation of caffeoylquinic acids under different storage conditions studied by high-performance liquid chromatography with photo diode array detection and high-performance liquid chromatography with electrospray ionization collision-induc. Molecules 2016, 21, 948. [Google Scholar] [CrossRef] [PubMed]
- Zaccari, F.; Cabrera, M.C.; Saadoun, A. Glucose content and in vitro bioaccessibility in sweet potato and winter squash varieties during storage. Foods 2017, 6, 48. [Google Scholar] [CrossRef] [PubMed]
- Buratti, S.; Cappa, C.; Benedetti, S.; Giovanelli, G. Influence of cooking conditions on nutritional properties and sensory characteristics interpreted by e-senses: Case-study on selected vegetables. Foods 2020, 9, 607. [Google Scholar] [CrossRef]
- Takenaka, M.; Nanayama, K.; Isobe, S.; Murata, M. Changes in caffeic acid derivatives in sweet potato (Ipomoea batatas L.) during cooking and processing. Biosci. Biotechnol. Biochem. 2006, 70, 172–177. [Google Scholar] [CrossRef][Green Version]
- Kim, H.W.; Kim, J.B.; Cho, S.M.; Chung, M.N.; Lee, Y.M.; Chu, S.M.; Che, J.H.; Kim, S.N.; Kim, S.Y.; Cho, Y.S.; et al. Anthocyanin changes in the Korean purple-fleshed sweet potato, Shinzami, as affected by steaming and baking. Food Chem. 2012, 130, 966–972. [Google Scholar] [CrossRef]
- Pan, Z.; Sun, Y.; Zhang, F.; Guo, X.; Liao, Z. Effect of thermal processing on carotenoids and folate changes in six varieties of sweet potato (Ipomoes batata L.). Foods 2019, 8, 215. [Google Scholar] [CrossRef]
- Senevirathna, S.S.J.; Ramli, N.S.; Azman, E.M.; Juhari, N.H.; Karim, R. Optimization of the drum drying parameters and citric acid level to produce purple sweet potato (Ipomoea batatas L.) powder using response surface methodology. Foods 2021, 10, 1378. [Google Scholar] [CrossRef]
- Dovene, A.K.; Wang, L.; Bokhary, S.U.F.; Madebo, M.P.; Zheng, Y.; Jin, P. Effect of Cutting Styles on Quality and Antioxidant Activity of Stored Fresh-Cut Sweet Potato (Ipomoea batatas L.) Cultivars. Foods 2019, 8, 674. [Google Scholar] [CrossRef]
- Zhang, C.; Liu, D.; Wu, L.; Zhang, J.; Li, X.; Wu, W. Chemical characterization and antioxidant properties of ethanolic extract and its fractions from sweet potato (Ipomoea batatas L.) leaves. Foods 2020, 9, 15. [Google Scholar] [CrossRef]
- Krochmal-Marczak, B.; Cebulak, T.; Kapusta, I.; Oszmiański, J.; Kaszuba, J.; Zurek, N. The content of phenolic acids and flavonols in the leaves of nine varieties of sweet potatoes (Ipomoea batatas L.) depending on their development, grown in central Europe. Molecules 2020, 25, 3473. [Google Scholar] [CrossRef]
- Musilová, J.; Bystrick, J.; Árvay, J.; Harangózo, L. Polyphenols and phenolic acids in sweet potato (Ipomoea batatas L.) roots. Potravin. Slovak J. Food Sci. 2017, 11, 82–87. [Google Scholar] [CrossRef]
- Sun, H.; Mu, T.; Xi, L.; Zhang, M.; Chen, J. Sweet potato (Ipomoea batatas L.) leaves as nutritional and functional foods. Food Chem. 2014, 156, 380–389. [Google Scholar] [CrossRef] [PubMed]
- Alcázar Magaña, A.; Kamimura, N.; Soumyanath, A.; Stevens, J.F.; Maier, C.S. Caffeoylquinic acids: Chemistry, biosynthesis, occurrence, analytical challenges, and bioactivity. Plant J. 2021. [Google Scholar] [CrossRef] [PubMed]
- Li, A.; Xiao, R.; He, S.; An, X.; He, Y.; Wang, C.; Yin, S.; Wang, B.; Shi, X.; He, J. Research advances of purple sweet potato anthocyanins: Extraction, identification, stability, bioactivity, application, and biotransformation. Molecules 2019, 24, 3816. [Google Scholar] [CrossRef] [PubMed]
- Amoanimaa-Dede, H.; Su, C.; Yeboah, A.; Chen, C.; Yang, S.; Zhu, H.; Chen, M. Flesh color diversity of sweet potato: An overview of the composition, functions, biosynthesis, and gene regulation of the major pigments. Phyton-Int. J. Exp. Bot. 2020, 89, 805–833. [Google Scholar] [CrossRef]
- de Jesus, M.S.C.; Santiago, M.C.P.A.; Pacheco, S.; Gouvêa, A.C.M.S.; Nascimento, L.D.S.M.D.; Borguini, R.G.; Guerra, J.G.M.; Espindola, J.A.A.; Godoy, R.L.O. Acylated anthocyanins from organic purple-fleshed sweet potato (Ipomoea batatas (l.) lam) produced in Brazil. Sci. Agric. 2021, 78, 1–9. [Google Scholar] [CrossRef]
- Kuan, L.-Y.; Thoo, Y.-Y.; Siow, L.-F. Bioactive components, ABTS radical scavenging capacity and physical stability of orange, yellow and purple sweet potato (Ipomoea batatas) powder processed by convection- or vacuum-drying methods. Int. J. Food Sci. Technol. 2016, 51, 700–709. [Google Scholar] [CrossRef]
- Alves Filho, E.G.; Sousa, V.M.; Rodrigues, S.; de Brito, E.S.; Fernandes, F.A.N. Green ultrasound-assisted extraction of chlorogenic acids from sweet potato peels and sonochemical hydrolysis of caffeoylquinic acids derivatives. Ultrason. Sonochem. 2020, 63, 104911. [Google Scholar] [CrossRef]
- Parveen, I.; Threadgill, M.D.; Hauck, B.; Donnison, I.; Winters, A. Isolation, identification and quantitation of hydroxycinnamic acid conjugates, potential platform chemicals, in the leaves and stems of Miscanthus × giganteus using LC-ESI-MS n. Phytochemistry 2011, 72, 2376–2384. [Google Scholar] [CrossRef] [PubMed]
- Ncube, E.N.; Mhlongo, M.I.; Piater, L.A.; Steenkamp, P.A.; Dubery, I.A.; Madala, N.E. Analyses of chlorogenic acids and related cinnamic acid derivatives from Nicotiana tabacum tissues with the aid of UPLC-QTOF-MS/MS based on the in-source collision-induced dissociation method. Chem. Cent. J. 2014, 8, 66. [Google Scholar] [CrossRef] [PubMed]
- Alcazar Magana, A.; Wright, K.; Vaswani, A.; Caruso, M.; Reed, R.L.; Bailey, C.F.; Nguyen, T.; Gray, N.E.; Soumyanath, A.; Quinn, J.; et al. Integration of mass spectral fingerprinting analysis with precursor ion (MS1) quantification for the characterisation of botanical extracts: Application to extracts of Centella asiatica (L.) Urban. Phytochem. Anal. 2020, 31, 722–738. [Google Scholar] [CrossRef] [PubMed]







| Range Applied | |||
|---|---|---|---|
| Factor | Lower Level (−1) | Intermediate Level (0) | Top Level (+1) |
| Temperature (℃) | 10 | 35 | 60 |
| Solvent (% MeOH) | 0 | 50 | 100 |
| Ratio (g/10 mL solvent) | 0.5 | 0.75 | 1.0 |
| Compound | Molecular Ion (m/z) [M-H]- | Main Ion Fragments (Relative Intensity %) | Var. California | Var. Beauregard | Var. Covington |
|---|---|---|---|---|---|
| 5-O-Caffeoylquinic acid | 353 | 191 (100) | + 1 | + | + |
| 4-O-Caffeoylquinic acid | 353 | 191 (20), 173 (100) | + | + | + |
| 3-O-Caffeoylquinic acid | 353 | 191 (100), 179 (44) | + | + | − 2 |
| 3,4-Dicaffeoylquinic acid | 515 | 353 (100), 191 (2), 179 (6) | + | + | + |
| 3,5-Dicaffeoylquinic acid | 515 | 353 (100), 191 (9) | + | + | + |
| 4,5-Dicaffeoylquinic acid | 515 | 353 (100), 173 (5) | + | + | + |
| Experiment | Temperature (℃) | Solvent (% MeOH) | Ratio (g/10 mL Solvent) | Observed Relative Area | Predicted Relative Area |
|---|---|---|---|---|---|
| 1 | 35 | 50 | 0.75 | 542,767 | 480,007 |
| 2 | 60 | 0 | 0.75 | 398,138 | 410,201 |
| 3 | 10 | 0 | 0.75 | 280,807 | 284,828 |
| 4 | 35 | 100 | 0.50 | 542,409 | 554,472 |
| 5 | 60 | 50 | 0.50 | 549,945 | 50,867 |
| 6 | 10 | 50 | 1.00 | 433,755 | 432,885 |
| 7 | 60 | 100 | 0.75 | 556,268 | 532,143 |
| 8 | 35 | 0 | 1.00 | 302,029 | 293,987 |
| 9 | 10 | 100 | 0.75 | 501,395 | 501,395 |
| 10 | 10 | 50 | 1.00 | 436,036 | 432,885 |
| 11 | 35 | 50 | 0.75 | 465,321 | 480,007 |
| 12 | 35 | 100 | 1.00 | 484,902 | 496,965 |
| 13 | 60 | 50 | 0.50 | 471,423 | 508,674 |
| 14 | 35 | 50 | 0.75 | 423,891 | 480,007 |
| 15 | 35 | 0 | 0.50 | 461,722 | 453,680 |
| Compound | 5-O-Caffeoylquinic Acid | 4-O-Caffeoylquinic Acid | 3,4-Dicaffeoylquinic Acid | 3,5-Dicaffeoylquinic Acid | 4,5-Dicaffeoylquinic Acid |
|---|---|---|---|---|---|
| Repeatability (% RSD) | 6.5 | 6.7 | 8.3 | 7.2 | 8.0 |
| Intermediate precision (% RSD) | 6.2 | 7.0 | 6.2 | 6.0 | 5.3 |
Publisher’s Note: MDPI stays neutral with regard to jurisdictional claims in published maps and institutional affiliations. |
© 2021 by the authors. Licensee MDPI, Basel, Switzerland. This article is an open access article distributed under the terms and conditions of the Creative Commons Attribution (CC BY) license (https://creativecommons.org/licenses/by/4.0/).
Share and Cite
Carrera, C.; Zelaya-Medina, C.F.; Chinchilla, N.; Ferreiro-González, M.; Barbero, G.F.; Palma, M. How Different Cooking Methods Affect the Phenolic Composition of Sweet Potato for Human Consumption (Ipomea batata (L.) Lam). Agronomy 2021, 11, 1636. https://doi.org/10.3390/agronomy11081636
Carrera C, Zelaya-Medina CF, Chinchilla N, Ferreiro-González M, Barbero GF, Palma M. How Different Cooking Methods Affect the Phenolic Composition of Sweet Potato for Human Consumption (Ipomea batata (L.) Lam). Agronomy. 2021; 11(8):1636. https://doi.org/10.3390/agronomy11081636
Chicago/Turabian StyleCarrera, Ceferino, Cristy Fabiola Zelaya-Medina, Nuria Chinchilla, Marta Ferreiro-González, Gerardo F. Barbero, and Miguel Palma. 2021. "How Different Cooking Methods Affect the Phenolic Composition of Sweet Potato for Human Consumption (Ipomea batata (L.) Lam)" Agronomy 11, no. 8: 1636. https://doi.org/10.3390/agronomy11081636
APA StyleCarrera, C., Zelaya-Medina, C. F., Chinchilla, N., Ferreiro-González, M., Barbero, G. F., & Palma, M. (2021). How Different Cooking Methods Affect the Phenolic Composition of Sweet Potato for Human Consumption (Ipomea batata (L.) Lam). Agronomy, 11(8), 1636. https://doi.org/10.3390/agronomy11081636

