Response of Lawn Grasses to Salinity Stress and Protective Potassium Effect
Abstract
1. Introduction
2. Materials and Methods
2.1. Grass Cultivation and Treatments
2.2. Physiological Parameters
2.3. Relative Water Content (RWC)
2.4. Electrolyte Leakage (EL)
2.5. Proline
2.6. Chloroplast Pigments
2.7. Mineral Analysis
2.8. Statistical Analysis
3. Results
3.1. Experiment 1—Effects of Mine Rock Salts: Halite and Carnallitite on Salinity Stress
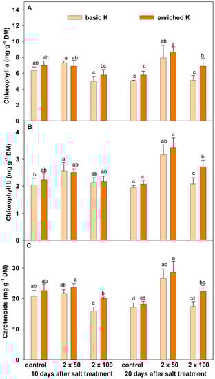
3.2. Experiment 2—Effects of Enriched Potassium on Salinity Stress Response
4. Discussion
5. Conclusions
Author Contributions
Funding
Institutional Review Board Statement
Informed Consent Statement
Data Availability Statement
Acknowledgments
Conflicts of Interest
References
- Munns, R.; Tester, M. Mechanisms of salinity tolerance. Annu. Rev. Plant Biol. 2008, 59, 651–681. [Google Scholar] [CrossRef]
- Parida, A.K.; Das, A.B. Salt tolerance and salinity effects on plants: A review. Ecotoxicol. Environ. Saf. 2005, 60, 324–349. [Google Scholar] [CrossRef]
- Tester, M.; Bacic, A. Abiotic Stress Tolerance in Grasses. From Model Plants to Crop Plants. Plant Physiol. 2005, 137, 791–793. [Google Scholar] [CrossRef]
- Friell, J.; Watkins, E.; Horgan, B. Salt Tolerance of 74 Turfgrass Cultivars in Nutrient Solution Culture. Crop. Sci. 2013, 53, 1743–1749. [Google Scholar] [CrossRef]
- Uddin, K.; Juraimi, A.S. Salinity Tolerance Turfgrass: History and Prospects. Sci. World J. 2013, 2013, 1–6. [Google Scholar] [CrossRef]
- Wrochna, M.; Małecka-Przybysz, M.; Gawrońska, H. Effect of road de-icing salts with anticorrosion agents on selected plant species. Acta Sci. Pol. Hortorum Cultus 2010, 9, 171–182. [Google Scholar]
- Mastalerczuk, G.; Borawska-Jarmułowicz, B.; Kalaji, H.M. How Kentucky bluegrass tolerate stress caused by sodium chloride used for road de-icing? Environ. Sci. Pollut. Res. 2018, 26, 913–922. [Google Scholar] [CrossRef]
- Hadam, A.; Wrochna, M.; Karaczun, Z. Effect of hydrogel on the turf grass species growing under salt stress. Ann. Wars. Univ. Life Sci. SGGW 2011, 43, 47–55. [Google Scholar]
- Zhang, Q.; Zuk, A.; Rue, K. Salinity tolerance of nine fine fescue cultivars compared to other cool-season turfgrasses. Sci. Hortic. 2013, 159, 67–71. [Google Scholar] [CrossRef]
- Mahajan, S.; Tuteja, N. Cold, salinity and drought stresses: An overview. Arch. Biochem. Biophys. 2005, 444, 139–158. [Google Scholar] [CrossRef]
- Li, W. Effect of Environmental Salt Stress on Plants and the Molecular Mechanism of Salt Stress Tolerance. Int. J. Environ. Sci. Nat. Resour. 2017, 7, 555714. [Google Scholar] [CrossRef]
- Tavakkoli, E.; Rengasamy, P.; McDonald, G.K. High concentrations of Na+ and Cl− ions in soil solution have simultaneous detrimental effects on growth of faba bean under salinity stress. J. Exp. Bot. 2010, 61, 4449–4459. [Google Scholar] [CrossRef] [PubMed]
- Breś, W.; Bandurska, H.; Kupska, A.; Niedziela, J.; Frąszczak, B. Responses of pelargonium (Pelargonium × hortorum L.H. Bailey) to long-term salinity stress induced by treatment with different NaCl doses. Acta Physiol. Plant. 2016, 38, 1–11. [Google Scholar] [CrossRef]
- Damon, P.M.; Rengel, Z. Wheat genotypes differ in potassium efficiency under glasshouse and field conditions. Aust. J. Agric. Res. 2007, 58, 816–825. [Google Scholar] [CrossRef]
- Bahrami-Rad, S.; Hajiboland, R. Effect of potassium application in drought-stressed tobacco (Nicotiana rustuca L.) plants: Comparison of root with foliar application. Ann. Agric. Sci. 2017, 62, 121–130. [Google Scholar] [CrossRef]
- Kaya, C.; Higgs, D.; Kirnak, H. The effects of high salinity (NaCl) and supplementary phosphorus and potassium on physiology and nutrition development of spinach. Bulg. J. Plant Physiol. 2001, 27, 47–59. [Google Scholar]
- Cakmak, I. The role of potassium in alleviating detrimental effects of abiotic stresses in plants. J. Plant Nutr. Soil Sci. 2005, 168, 521–530. [Google Scholar] [CrossRef]
- Hawkesford, M.; Horst, W.; Kichey, T.; Lambers, H.; Schjoerring, J.; Møller, I.S.; White, P. Functions of macronutrients. In Marschner’s Mineral Nutrition of Higher Plants, 3rd ed.; Marschner, P., Ed.; Elsevier Inc.: Amsterdam, The Netherlands, 2011; pp. 135–189. ISBN 9780123849052. [Google Scholar]
- Zhu, J.K.; Liu, J.; Xiong, L. Genetic analysis of salt tolerance in Arabidopsis: Evidence for a critical role of potassium nutrition. Plant Cell 1998, 10, 1181–1191. [Google Scholar] [CrossRef] [PubMed]
- Borsani, O.; Cuartero, J.; Fernández, J.A.; Valpuesta, V.; Botella, M.A. Identification of two loci in tomato reveals distinct mechanisms for salt tolerance. Plant Cell 2001, 13, 873–887. [Google Scholar] [CrossRef] [PubMed]
- Sun, Y.; Kong, X.; Li, C.; Liu, Y.; Ding, Z. Potassium Retention under Salt Stress Is Associated with Natural Variation in Salinity Tolerance among Arabidopsis Accessions. PLoS ONE 2015, 10, e0124032. [Google Scholar] [CrossRef]
- Wang, M.; Zheng, Q.; Shen, Q.; Guo, S. The Critical Role of Potassium in Plant Stress Response. Int. J. Mol. Sci. 2013, 14, 7370–7390. [Google Scholar] [CrossRef]
- Gupta, B.; Huang, B. Mechanism of Salinity Tolerance in Plants: Physiological, Biochemical, and Molecular Characterization. Int. J. Genomics 2014, 2014, 1–18. [Google Scholar] [CrossRef] [PubMed]
- Acosta-Motos, J.R.; Ortuño, M.F.; Bernal-Vicente, A.; Diaz-Vivancos, P.; Sanchez-Blanco, M.J.; Hernandez, J.A. Plant Responses to Salt Stress: Adaptive Mechanisms. Agronomy 2017, 7, 18. [Google Scholar] [CrossRef]
- Molazem, D.; Qurbanov, E.M.; Dunyamaliyev, S.A. Role of proline, Na and chlorophyll content in salt tolerance of corn (Zea mays L.). Am. Eurasian J. Agric. Environ. Sci. 2010, 9, 319–324. [Google Scholar]
- Singh, M.; Kumar, J.; Singh, V.P.; Prasad, S.M. Proline and Salinity Tolerance in Plants. Biochem. Pharmacol. Open Access 2014, 3, 1–2. [Google Scholar] [CrossRef]
- El Moukhtari, A.; Cabassa-Hourton, C.; Farissi, M.; Savouré, A. How Does Proline Treatment Promote Salt Stress Tolerance during Crop Plant Development? Front. Plant Sci. 2020, 11, 1127. [Google Scholar] [CrossRef]
- Ashraf, M.; Foolad, M. Roles of glycine betaine and proline in improving plant abiotic stress resistance. Environ. Exp. Bot. 2007, 59, 206–216. [Google Scholar] [CrossRef]
- Hayat, S.; Hayat, Q.; Alyemeni, M.N.; Wani, A.S.; Pichtel, J.; Ahmad, A. Role of proline under changing environments. Plant Signal. Behav. 2012, 7, 1456–1466. [Google Scholar] [CrossRef] [PubMed]
- Kleiber, T.; Komosa, A.; Niewiadomska, A. Optimization of lawn fertilization with nitrogen. Part. I. Soil resources, yield and ornamental values of turf. Ecol. Chem. Eng. S 2009, 16, 1159–1170. [Google Scholar]
- Pitera, H. The mineralogical and geochemical analysis of boracites from Zechstein salt deposits in Poland. Prz. Geol. 1999, 47, 1105–1107. (In Polish) [Google Scholar]
- Czarna, M. Overview of chemicals applied to winter road maintenance in Poland. Zesz. Nauk. UZ Inż. Środ. 2013, 151, 18–35. (In Polish) [Google Scholar]
- Weatherly, P.E. Studies in water relation of cotton plants. The measurement of water deficits in leaves. New Phytol. 1950, 49, 81–97. [Google Scholar] [CrossRef]
- Bandurska, H. Does proline accumulated in leaves of water deficit stressed barley plants confine cell membrane injury? I. Free proline accumulation and membrane injury index in drought and osmotically stressed plants. Acta Physiol. Plant. 2000, 22, 409–415. [Google Scholar] [CrossRef]
- Lutts, S.; Kinet, J.M.; Bouharmont, J. NaCl-induced senescence in leaves of rice (Oryza sativa L.) cultivars differing in salinity resistance. Ann. Bot. 1996, 78, 389–398. [Google Scholar] [CrossRef]
- Bates, I.S.; Waldern, R.P.; Teare, I.D. Rapid determination of free proline for water stress studies. Plant Soil 1973, 39, 205–207. [Google Scholar] [CrossRef]
- Hiscox, J.D.; Israelstam, G.F. A method for the extraction of chlorophyll from leaf tissue without maceration. Can. J. Bot. 1979, 57, 1332–1334. [Google Scholar] [CrossRef]
- Wellburn, A.R. The Spectral Determination of Chlorophylls a and b, as well as Total Carotenoids, Using Various Solvents with Spectrophotometers of Different Resolution. J. Plant Physiol. 1994, 144, 307–313. [Google Scholar] [CrossRef]
- Bakuła, T.; Kamieńska, W.; Kardasz, T.; Strahl, A.; Walczak, K. Analytical Methods in the Chemical Stations for Agriculture. II. Study of Plant Material; IUNG Puławy: Puławy, Poland, 1972; pp. 25–83. (In Polish) [Google Scholar]
- Kalra, Y.P. Handbook of Reference Methods for Plant Analysis; CRC Press/Taylor & Francis Group: Boca Raton, FL, USA, 1998; p. 287. [Google Scholar]
- Zhu, J.-K. Plant salt tolerance. Trends Plant Sci. 2001, 6, 66–71. [Google Scholar] [CrossRef]
- Borowski, E. Studies on the sensitivity of some species and cultivars of lawn grasses on salinity with sodium chloride during the seed germination and first year of growth. Folia Hortic. 2008, 20, 81–98. [Google Scholar] [CrossRef]
- Uddin, K.; Juraimi, A.S.; Ismail, M.R.; Hossain, A.; Othman, R.; Rahim, A.A. Physiological and Growth Responses of Six Turfgrass Species Relative to Salinity Tolerance. Sci. World J. 2012, 2012, 1–10. [Google Scholar] [CrossRef]
- Coskun, D.; Britto, D.T.; Kronzucker, H.J. Regulation and mechanism of potassium release from barley roots: An in planta 42 K + analysis. New Phytol. 2010, 188, 1028–1038. [Google Scholar] [CrossRef]
- James, R.A.; Blake, C.; Byrt, C.S.; Munns, R. Major genes for Na+ exclusion, Nax1 and Nax2 (wheat HKT1;4 and HKT1;5), decrease Na+ accumulation in bread wheat leaves under saline and waterlogged conditions. J. Exp. Bot. 2011, 62, 2939–2947. [Google Scholar] [CrossRef] [PubMed]
- Xiong, L.; Zhu, J.-K. Salt Tolerance. Arab. Book 2002, 1, e0048. [Google Scholar] [CrossRef] [PubMed]
- Moradi, F.; Ismail, A.M. Responses of Photosynthesis, Chlorophyll Fluorescence and ROS-Scavenging Systems to Salt Stress during Seedling and Reproductive Stages in Rice. Ann. Bot. 2007, 99, 1161–1173. [Google Scholar] [CrossRef] [PubMed]
- Jamil, M.; Rehman, S.U.; Lee, K.J.; Kim, J.M.; Kim, H.-S.; Rha, E.S. Salinity reduced growth PS2 photochemistry and chlorophyll content in radish. Sci. Agric. 2007, 64, 111–118. [Google Scholar] [CrossRef]
- Abbasi, H.; Jamil, M.; Haq, A.; Ali, S.; Ahmad, R.; Malik, Z.; Parveen, Z. Salt stress manifestation on plants, mechanism of salt tolerance and potassium role in alleviationg it: A review. Zemdirb. Agric. 2016, 103, 229–238. [Google Scholar] [CrossRef]
- El-Shintinawy, F.; El-Shourbagy, M. Alleviation of changes in protein metabolism in NaCl-stressed wheat seedlings by thiamine. Biol. Plant 2001, 44, 541–545. [Google Scholar] [CrossRef]
- Szabados, L.; Savourѐ, A. Proline: A multifunctional amino acid. Trends Plant Sci. 2009, 15, 89–97. [Google Scholar] [CrossRef] [PubMed]
- De Carvalho, K.; De Campos, M.K.F.; Domingues, D.S.; Pereira, L.F.P.; Vieira, L.G.E. The accumulation of endogenous proline induces changes in gene expression of several antioxidant enzymes in leaves of transgenic Swingle citrumelo. Mol. Biol. Rep. 2013, 40, 3269–3279. [Google Scholar] [CrossRef] [PubMed]



| I Term (7 Days after Treatment) | df | Fresh Mass | Growth | RWC | |||
| F | p | F | p | F | p | ||
| Salt type | 1 | 129.91 | 0.0000 | 2.59 | 0.1209 | 11.84 | 0.0021 |
| Dose | 3 | 105.98 | 0.0000 | 103.83 | 0.0000 | 31.36 | 0.0000 |
| Salt × dose | 3 | 14.50 | 0.0000 | 0.65 | 0.5876 | 1.42 | 0.2602 |
| II term (28 Days after Treatment) | df | Fresh Mass | Growth | RWC | |||
| F | p | F | p | F | p | ||
| Salt type | 1 | 37.68 | 0.0000 | 66.82 | 0.0000 | 1.49 | 0.2338 |
| Dose | 3 | 83.68 | 0.0000 | 203.11 | 0.0000 | 12.70 | 0.0000 |
| Salt × dose | 3 | 7.85 | 0.0000 | 13.19 | 0.0000 | 6.40 | 0.0025 |
| Treatments | Dose of Salt (g · m−2) | Fresh Mass (g · m−2) | Growth (cm · week−1) | ||
|---|---|---|---|---|---|
| I | II | I | II | ||
| control | 0 | 201.9 a | 215.5 a | 10.75 a | 10.25 a |
| halite | 4 × 50 2 × 100 4 × 100 | 115.9 b 57.6 c 44.6 c | 182.0 ab 127.0 b 65.8 c | 9.00 b 6.75 cd 6.25 d | 9.00 ab 8.50 b 5.00 d |
| carnallitite | 4 × 50 2 × 100 4 × 100 | 199.9 a 139.2 b 121.8 b | 205.5 a 206.7 a 111.2 b | 9.25 b 7.50 c 6.50 d | 10.70 a 9.25 ab 7.00 c |
| Source of Variation I Term (10 Days after Treatment) | K Level (df 1) | Salt Dose (df 1) | K Level × Salt Dose (df 1) | |||
| F | p | F | p | F | p | |
| Fresh mass | 147.63 | 0.0000 | 56.92 | 0.0000 | 1.55 | 0.2369 |
| Dry mass | 187.71 | 0.0000 | 45.32 | 0.0000 | 0.13 | 0.7284 |
| II Term (20 Days after Treatment) | K Level (df 1) | Salt Dose (df 3) | K Level × Salt Dose (df 3) | |||
| F | p | F | p | F | p | |
| Fresh mass | 13.78 | 0.0029 | 217.23 | 0.0000 | 2.94 | 0.1122 |
| Dry mass | 6.87 | 0.2230 | 113.66 | 0.0000 | 5.88 | 0.0321 |
| Potassium Level | Dose of Salt (g · m−2) | Fresh Mass (g · m−2) | Growth (cm · week−1) | ||
|---|---|---|---|---|---|
| I | II | I | II | ||
| basic | 2 × 50 2 × 100 | 70.0 c 21.6 d | 149.2 a 47.4 c | 13.8 c 4.8 d | 27.8 a 11.2 c |
| enriched | 2 × 50 2 × 100 | 173.0 a 105.4 b | 161.6 a 81.0 b | 31.6 a 22.6 b | 28.0 a 17.6 b |
| Source of Variation | K Level (df 1) | Salt Dose (df 1) | K Level × Salt Dose (df 1) | |||
|---|---|---|---|---|---|---|
| F | p | F | p | F | p | |
| N | 2.21 | 0.1625 | 3.81 | 0.0748 | 2.12 | 0.1713 |
| P | 0.55 | 0.4736 | 11.58 | 0.0052 | 0.55 | 0.4736 |
| K | 44.46 | 0.0000 | 20.70 | 0.0007 | 2.22 | 0.1619 |
| Mg | 0.94 | 0.3516 | 10.44 | 0.0072 | 0.42 | 0.5304 |
| Ca | 1.11 | 0.3129 | 20.84 | 0.0007 | 0.67 | 0.4286 |
| Na | 41.75 | 0.0000 | 1526.53 | 0.0000 | 9.78 | 0.0087 |
| Cl | 3.91 | 0.0714 | 284.55 | 0.0000 | 0.55 | 0.4727 |
| K/Na | 17.84 | 0.0012 | 347.01 | 0.0000 | 3.48 | 0.0866 |
| Potassium Level | Dose of Halite (g · m−2) | Mineral Elements (% of Dry Mass) | K/Na | ||||||
|---|---|---|---|---|---|---|---|---|---|
| N | P | K | Ca | Mg | Na | Cl | |||
| basic | 2 × 50 2 × 100 | 3.33 a 3.29 a | 0.46 a 0.44 ab | 3.45 bc 3.35 c | 0.67 a 0.71 b | 0.47 a 0.43 ab | 1.61 c 3.89 a | 4.73 b 6.16 a | 2.14 b 0.86 c |
| enriched | 2 × 50 2 × 100 | 3.55 a 3.29 a | 0.46 a 0.43 b | 3.71 a 3.51 b | 0.67 a 0.73 b | 0.47 a 0.41 b | 1.43 d 3.37 b | 4.63 b 5.94 a | 2.60 a 1.04 c |
| Source of Variation I Term (10 Days after Treatment) | K Level (df 1) | Salt Dose (df 2) | K Level × Salt Dose (df 2) | |||
| F | p | F | p | F | p | |
| RWC | 0.13 | 0.7218 | 6.87 | 0.0060 | 0.94 | 0.4101 |
| EL | 1.74 | 0.2033 | 351.03 | 0.0000 | 3.65 | 0.0463 |
| proline | 45.56 | 0.0000 | 92.16 | 0.0000 | 11.67 | 0.0006 |
| chl a | 2.09 | 0.1651 | 18.57 | 0.0000 | 2.57 | 0.1040 |
| chl b | 0.36 | 0.5568 | 7.54 | 0.0041 | 0.66 | 0.5313 |
| carotenoids | 18.89 | 0.0004 | 21.43 | 0.0000 | 1.55 | 0.2402 |
| II Term (20 Days after Treatment) | K Level (df 1) | Salt Dose (df 2) | K Level × Salt Dose (df 2) | |||
| F | p | F | p | F | p | |
| RWC | 4.33 | 0.0520 | 3.73 | 0.0441 | 1.34 | 0.2880 |
| EL | 283.01 | 0.0000 | 1135.25 | 0.0000 | 346.35 | 0.0000 |
| proline | 3.98 | 0.0615 | 61.70 | 0.0000 | 5.23 | 0.0162 |
| chl a | 19.35 | 0.0003 | 72.04 | 0.0000 | 3.84 | 0.0407 |
| chl b | 9.84 | 0.0006 | 50.04 | 0.0000 | 1.90 | 0.1785 |
| carotenoids | 8.34 | 0.0098 | 41.50 | 0.0000 | 1.42 | 0.2674 |
Publisher’s Note: MDPI stays neutral with regard to jurisdictional claims in published maps and institutional affiliations. |
© 2021 by the authors. Licensee MDPI, Basel, Switzerland. This article is an open access article distributed under the terms and conditions of the Creative Commons Attribution (CC BY) license (https://creativecommons.org/licenses/by/4.0/).
Share and Cite
Kozłowska, M.; Bandurska, H.; Breś, W. Response of Lawn Grasses to Salinity Stress and Protective Potassium Effect. Agronomy 2021, 11, 843. https://doi.org/10.3390/agronomy11050843
Kozłowska M, Bandurska H, Breś W. Response of Lawn Grasses to Salinity Stress and Protective Potassium Effect. Agronomy. 2021; 11(5):843. https://doi.org/10.3390/agronomy11050843
Chicago/Turabian StyleKozłowska, Monika, Hanna Bandurska, and Włodzimierz Breś. 2021. "Response of Lawn Grasses to Salinity Stress and Protective Potassium Effect" Agronomy 11, no. 5: 843. https://doi.org/10.3390/agronomy11050843
APA StyleKozłowska, M., Bandurska, H., & Breś, W. (2021). Response of Lawn Grasses to Salinity Stress and Protective Potassium Effect. Agronomy, 11(5), 843. https://doi.org/10.3390/agronomy11050843

