Preharvest Treatment of Methyl Jasmonate and Salicylic Acid Increase the Yield, Antioxidant Activity and GABA Content of Tomato
Abstract
:1. Introduction
2. Materials and Methods
2.1. Plant Material and Harvesting Stages
2.2. Crop Yield and Firmness
2.3. Total Soluble Solids (TSS), Titratable Acidity (TA), and Brix Acid Ratio (BAR)
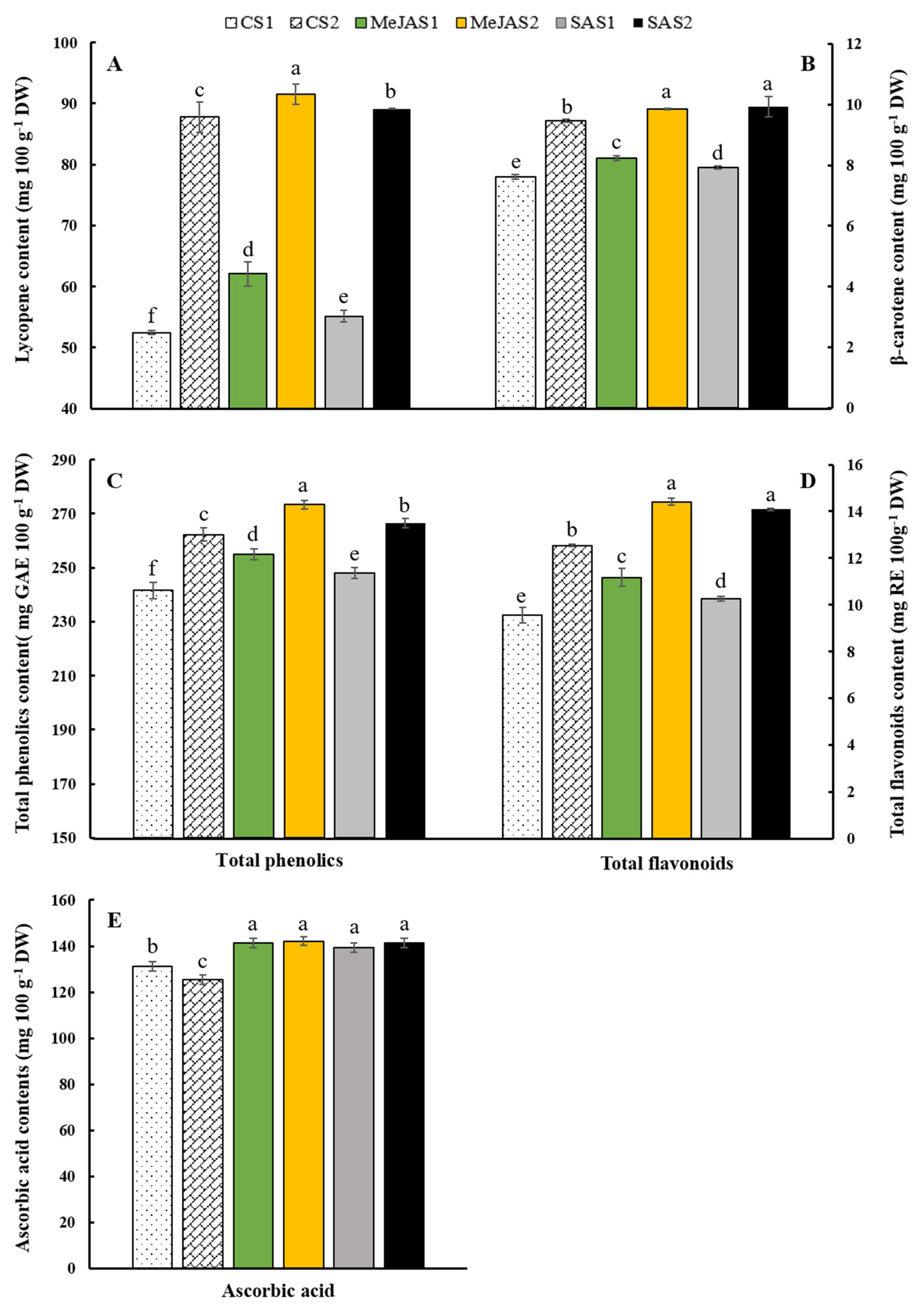
2.4. Lycopene and β-Carotene Content
2.5. Total Phenolics and Flavonoids
2.6. Ascorbic Acid
2.7. Amino Acids and γ-Aminobutyric Acid (GABA)
2.8. Antioxidant Activities
2.9. Experimental Design and Statistical Analysis
3. Results and Discussion
3.1. Effect of Preharvest MeJA and SA Treatments on Crop Yield and Firmness
3.2. Effect of Preharvest MeJA and SA Treatments on TSS, TA and BAR
3.3. Effect of Preharvest MeJA and SA Treatments on Lycopene and β-Carotene Contents
3.4. Effect of Preharvest MeJA and SA Treatments on Total Phenolics and Flavonoids
3.5. Effect of Preharvest MeJA and SA Treatments on Ascorbic Acid Content
3.6. Effect of Preharvest MeJA and SA Treatments on Contents of Free Amino Acids
3.7. Effect of Preharvest MeJA and SA Treatments of Antioxidant Activity
3.8. Principal Component Analysis
4. Conclusions
Supplementary Materials
Author Contributions
Funding
Institutional Review Board Statement
Informed Consent Statement
Data Availability Statement
Conflicts of Interest
References
- FAOSTAT Food & Agriculture Organization of the United Nations Statistics Division. Available online: http://faostat3.fao.org/home/index.html (accessed on 10 December 2020).
- Tilahun, S.; Seo, M.H.; Hwang, I.G.; Kim, S.H.; Choi, H.R.; Jeong, C.S. Prediction of lycopene and β-carotene in tomatoes by portable chroma-meter and VIS/NIR spectra. Postharvest Biol. Technol. 2018, 136, 50–56. [Google Scholar] [CrossRef]
- Stahl, W.; Sies, H. Antioxidant activity of carotenoids. Mol. Asp. Med. 2003, 24, 345–351. [Google Scholar] [CrossRef]
- Periago, M.J.; García-Alonso, J.; Jacob, K.; Olivares, A.B.; Bernal, M.J.; Iniesta, M.D.; Martínez, C.; Ros, G. Bioactive compounds, folates and antioxidant properties of tomatoes (Lycopersicum esculentum) during vine ripening. Int. J. Food Sci. Nutr. 2009, 60, 694–708. [Google Scholar] [CrossRef] [PubMed]
- Periago, M.J.; Martínez-Valverde, I.; Chesson, A.; Provan, G. Phenolic compounds, lycopene and antioxidant activity in commercial varieties of tomato (Lycopersicum esculentum). J. Sci. Food Agric. 2002, 82, 323–330. [Google Scholar] [CrossRef]
- Akihiro, T.; Koike, S.; Tani, R.; Tominaga, T.; Watanabe, S.; Iijima, Y.; Aoki, K.; Shibata, D.; Ashihara, H.; Matsukura, C. Biochemical mechanism on GABA accumulation during fruit development in tomato. Plant Cell Physiol. 2008, 49, 1378–1389. [Google Scholar] [CrossRef] [PubMed] [Green Version]
- Owens, D.F.; Kriegstein, A.R. Is there more to GABA than synaptic inhibition? Nat. Rev. Neurosci. 2002, 3, 715–727. [Google Scholar] [CrossRef]
- Takayama, M.; Ezura, H. How and why does tomato accumulate a large amount of GABA in the fruit? Front. Plant Sci. 2015, 6, 612. [Google Scholar] [CrossRef] [Green Version]
- Ku, K.M.; Juvik, J.A. Environmental stress and methyl jasmonate-mediated changes in flavonoid concentrations and antioxidant activity in broccoli florets and kale leaf tissues. HortScience 2013, 48, 996–1002. [Google Scholar] [CrossRef] [Green Version]
- Sariñana-Aldaco, O.; Sánchez-Chávez, E.; Troyo-Diéguez, E.; Tapia-Vargas, L.M.; Díaz-Pérez, J.C.; Preciado-Rangel, P. Foliar aspersion of salicylic acid improves nutraceutical quality and fruit yield in Tomato. Agriculture 2020, 10, 482. [Google Scholar] [CrossRef]
- Baek, M.W.; Choi, H.R.; Solomon, T.; Jeong, C.S.; Lee, O.-H.; Tilahun, S. Preharvest Methyl Jasmonate Treatment Increased the Antioxidant Activity and Glucosinolate Contents of Hydroponically Grown Pak Choi. Antioxidants 2021, 10, 131. [Google Scholar] [CrossRef] [PubMed]
- Bradbury, S. Methyl Jasmonate; Exemption from the Requirement of a Tolerance; Federal Register. A Rule by the Environmental Protection Agency (EPA). Fed. Regist. 2013, 78, 13–19. [Google Scholar]
- Koo, Y.M.; Heo, A.Y.; Choi, H.W. Salicylic acid as a safe plant protector and growth regulator. Plant Pathol. J. 2020, 36, 1–10. [Google Scholar] [CrossRef] [PubMed]
- Ezzat, A.; Ammar, A.; Szabó, Z.; Nyéki, J.; Holb, I.J. Postharvest Treatments with Methyl Jasmonate and Salicylic Acid for Maintaining Physico-Chemical Characteristics and Sensory Quality Properties of Apricot Fruit during Cold Storage and Shelf-Life. Pol. J. Food Nutr. Sci. 2017, 67, 159–166. [Google Scholar] [CrossRef]
- Borguini, R.G.; Helena, D.; Bastos, M.; Moita-Neto, J.M.; Capasso, F.S.; Aparecida, E.; Da, F.; Torres, S. Antioxidant Potential of Tomatoes Cultivated in Organic and Conventional Systems. Braz. Arch. Biol. Technol. 2013, 56456, 521–529. [Google Scholar] [CrossRef] [Green Version]
- McGuire, R.G. Reporting of Objective Color Measurements. HortScience 1992, 27, 1254–1255. [Google Scholar] [CrossRef] [Green Version]
- Tilahun, S.; Park, D.S.; Solomon, T.; Choi, H.R.; Jeong, C.S. Maturity stages affect nutritional quality and storability of tomato cultivars. CYTA-J. Food 2019, 17, 87–95. [Google Scholar] [CrossRef]
- Tilahun, S.; Park, D.S.; Taye, A.M.; Jeong, C.S. Effect of ripening conditions on the physicochemical and antioxidant properties of tomato (Lycopersicon esculentum Mill.). Food Sci. Biotechnol. 2017, 26, 473–479. [Google Scholar] [CrossRef]
- Fish, W.W.; Perkins-Veazie, P.; Collins, J.K. A quantitative assay for lycopene that utilizes reduced volumes of organic solvents. J. Food Compos. Anal. 2002, 15, 309–317. [Google Scholar] [CrossRef] [Green Version]
- Sokół-Łetowska, A.; Oszmiański, J.; Wojdyło, A. Antioxidant activity of the phenolic compounds of hawthorn, pine and skullcap. Food Chem. 2007, 103, 853–859. [Google Scholar] [CrossRef]
- Zhishen, J.; Mengcheng, T.; Jianming, W. The determination of flavonoid contents in mulberry and their scavenging effects on superoxide radicals. Food Chem. 1999, 64, 555–559. [Google Scholar] [CrossRef]
- Kim, H.S.; Jung, J.Y.; Kim, H.K.; Ku, K.M.; Suh, J.K.; Park, Y.; Kang, Y.H. Influences of Meteorological Conditions of Harvest Time on Water-Soluble Vitamin Contents and Quality Attributes of Oriental Melon. Prot. Hortic. Plant Fact. 2011, 20, 290–296. [Google Scholar]
- Henderson, J.W.; Ricker, R.D.; Bidlingmeyer, B.A.; Woodward, C. Rapid, Accurate, Sensitive, and Reproducible HPLC Analysis of Amino Acids. Amino Acids 2000, 1100, 1–10. [Google Scholar]
- Choi, Y.E.; Choi, S.I.; Han, X.; Men, X.; Jang, G.W.; Kwon, H.Y.; Kang, S.R.; Han, J.S.; Lee, O.H. Radical scavenging-linked anti-adipogenic activity of aster scaber ethanolic extract and its bioactive compound. Antioxidants 2020, 9, 1290. [Google Scholar] [CrossRef]
- Asghari, M.; Merrikhi, M.; Kavoosi, B. Methyl Jasmonate Foliar Spray Substantially Enhances the Productivity, Quality and Phytochemical Contents of Pomegranate Fruit. J. Plant Growth Regul. 2020, 39, 1153–1161. [Google Scholar] [CrossRef]
- Shah Jahan, M.; Wang, Y.; Shu, S.; Zhong, M.; Chen, Z.; Wu, J.; Sun, J.; Guo, S. Exogenous salicylic acid increases the heat tolerance in Tomato (Solanum lycopersicum L) by enhancing photosynthesis efficiency and improving antioxidant defense system through scavenging of reactive oxygen species. Sci. Hortic. 2019, 247, 421–429. [Google Scholar] [CrossRef]
- Yao, H.J.; Tian, S.P. Effects of a biocontrol agent and methyl jasmonate on postharvest diseases of peach fruit and the possible mechanisms involved. J. Appl. Microbiol. 2005, 98, 941–950. [Google Scholar] [CrossRef] [PubMed]
- Tanaka, Y.; Matsuoka, M.; Yamanoto, N.; Ohashi, Y.; Kano-Murakami, Y.; Ozeki, Y. Structure and Characterization of a cDNA Clone for Phenylalanine Ammonia-Lyase from Cut-Injured Roots of Sweet Potato. Plant Physiol. 1989, 90, 1403–1407. [Google Scholar] [CrossRef] [PubMed] [Green Version]
- García-Ulloa, A.; Sanjurjo, L.; Cimini, S.; Encina, A.; Martínez-Rubio, R.; Bouza, R.; Barral, L.; Estévez-Pérez, G.; Novo-Uzal, E.; De Gara, L. Overexpression of ZePrx in Nicotiana tabacum Affects Lignin Biosynthesis without Altering Redox Homeostasis. Front. Plant Sci. 2020, 11, 900. [Google Scholar] [CrossRef]
- Serna-Escolano, V.; Martínez-Romero, D.; Giménez, M.J.; Serrano, M.; García-Martínez, S.; Valero, D.; Valverde, J.M.; Zapata, P.J. Enhancing antioxidant systems by preharvest treatments with methyl jasmonate and salicylic acid leads to maintain lemon quality during cold storage. Food Chem. 2021, 338, 128044. [Google Scholar] [CrossRef]
- Wu, T.; Abbott, J.A. Firmness and force relaxation characteristics of tomatoes stored intact or as slices. Postharvest Biol. Technol. 2002, 24, 59–68. [Google Scholar] [CrossRef]
- Batu, A. Determination of acceptable firmness and colour values of tomatoes. J. Food Eng. 2004, 61, 471–475. [Google Scholar] [CrossRef]
- Tilahun, S.; Park, D.S.; Taye, A.M.; Jeong, C.S. Effects of storage duration on physicochemical and antioxidant properties of tomato (Lycopersicon esculentum Mill.). Korea J. Hortic. Sci. Technol. 2017, 35, 88–97. [Google Scholar] [CrossRef]
- Choi, H.R.; Tilahun, S.; Park, D.S.; Lee, Y.M.; Choi, J.H.; Baek, M.W.; Jeong, C.S. Harvest time affects quality and storability of kiwifruit (Actinidia spp.): Cultivars during long-term cool storage. Sci. Hortic. 2019, 256, 108523. [Google Scholar] [CrossRef]
- Alda, L.M.; Gogoa, I.; Bordean, D.; Gergen, I.; Alda, S.; Moldovan, C.; Ni, L. Lycopene content of tomatoes and tomato products. J. Agroaliment. Process Technol. 2009, 15, 540–542. [Google Scholar]
- Liu, L.; Wei, J.; Zhang, M.; Zhang, L.; Li, C.; Wang, Q. Ethylene independent induction of lycopene biosynthesis in tomato fruits by jasmonates. J. Exp. Bot. 2012, 63, 5751–5762. [Google Scholar] [CrossRef] [Green Version]
- Hasturk Sahin, F.; Aktas, T.; Orak, H.; Ulger, P. Influence of pretreatments and different drying methods on color parameters and lycopene content of dried tomato. Bulg. J. Agric. Sci. 2011, 17, 867–881. [Google Scholar]
- Mendelová, A.; Fikselová, M.; Mendel, L. Carotenoids and lycopene content in fresh and dried tomato fruits and tomato juice. Acta Univ. Agric. Silvic. Mendel. Brun. 2013, 61, 1329–1337. [Google Scholar] [CrossRef] [Green Version]
- Farooq, S.; Rather, S.A.; Gull, A.; Ahmad Ganai, S.; Masoodi, F.A.; Mohd Wani, S.; Ganaie, T.A. Physicochemical and nutraceutical properties of tomato powder as affected by pretreatments, drying methods, and storage period. Int. J. Food Prop. 2020, 23, 797–808. [Google Scholar] [CrossRef]
- Chaudhary, P.; Sharma, A.; Singh, B.; Nagpal, A.K. Bioactivities of phytochemicals present in tomato. J. Food Sci. Technol. 2018, 55, 2833–2849. [Google Scholar] [CrossRef]
- Silva-Beltrán, N.P.; Ruiz-Cruz, S.; Cira-Chávez, L.A.; Estrada-Alvarado, M.I.; Ornelas-Paz, J.D.J.; López-Mata, M.A.; Del-Toro-Sánchez, C.L.; Ayala-Zavala, J.F.; Márquez-Ríos, E. Tomatidine Contents and Antioxidant and Antimicrobial Activities of Extracts of Tomato Plant. Int. J. Anal. Chem. 2015, 2015, 1–10. [Google Scholar] [CrossRef] [Green Version]
- Bhandari, S.R.; Chae, Y.; Lee, J.G. Assessment of phytochemicals, quality attributes, and antioxidant activities in commercial Tomato cultivars. Hortic. Sci. Technol. 2016, 34, 677–691. [Google Scholar] [CrossRef]
- Martínez-Esplá, A.; Valero, D.; Martínez-Romero, D.; Castillo, S.; Giménez, M.J.; García-Pastor, M.E.; Serrano, M.; Zapata, P.J. Preharvest Application of Methyl Jasmonate as an Elicitor Improves the Yield and Phenolic Content of Artichoke. J. Agric. Food Chem. 2017, 65, 9247–9254. [Google Scholar] [CrossRef]
- Barman, K.; Asrey, R. Salicylic acid pre-treatment alleviates chilling injury, Preserves bioactive compounds and enhances shelf life of mango fruit during cold storage. J. Sci. Ind. Res. 2014, 73, 713–718. [Google Scholar]
- Frusciante, L.; Carli, P.; Ercolano, M.R.; Pernice, R.; Di Matteo, A.; Fogliano, V.; Pellegrini, N. Antioxidant nutritional quality of tomato. Mol. Nutr. Food Res. 2007, 51, 609–617. [Google Scholar] [CrossRef]
- Slimestad, R.; Fossen, T.; Verheul, M.J. The flavonoids of tomatoes. J. Agric. Food Chem. 2008, 56, 2436–2441. [Google Scholar] [CrossRef]
- Toor, R.K.; Savage, G.P. Effect of semi-drying on the antioxidant components of tomatoes. Food Chem. 2006, 94, 90–97. [Google Scholar] [CrossRef]
- Yahia, E.M.; Contreras-Padilla, M.; Gonzalez-Aguilar, G. Ascorbic acid content in relation to ascorbic acid oxidase activity and polyamine content in tomato and bell pepper fruits during development, maturation and senescence. LWT Food Sci. Technol. 2001, 34, 452–457. [Google Scholar] [CrossRef] [Green Version]
- Ahn, J.B. Amino Acid, Amino Acid Metabolite, and GABA Content of Three Domestic Tomato Varieties. Culin. Sci. Hosp. Res. 2016, 22, 71–77. [Google Scholar] [CrossRef]
- Sorrequieta, A.; Ferraro, G.; Boggio, S.B.; Valle, E.M. Free amino acid production during tomato fruit ripening: A focus on L-glutamate. Amino Acids 2010, 38, 1523–1532. [Google Scholar] [CrossRef] [PubMed]
- Pratta, G.; Zorzoli, R.; Boggio, S.B.; Picardi, L.A.; Valle, E.M. Glutamine and glutamate levels and related metabolizing enzymes in tomato fruits with different shelf-life. Sci. Hortic. 2004, 100, 341–347. [Google Scholar] [CrossRef]
- Boggio, S.B.; Palatnik, J.F.; Heldt, H.W.; Valle, E.M. Changes in amino acid composition and nitrogen metabolizing enzymes in ripening fruits of Lycopersicon esculentum Mill. Plant Sci. 2000, 159, 125–133. [Google Scholar] [CrossRef]



| Treatments | Firmness (N) | TSS (°Brix) | TA (mg 100 g−1) | BAR |
|---|---|---|---|---|
| CS1 | 11.33 ± 0.88 ab | 5.81 ± 0.38 ab | 0.80 ± 0.02 a | 7.20 ± 0.84 c |
| CS2 | 8.91 ± 0.90 c | 5.89 ± 0.36 ab | 0.66 ± 0.07 c | 9.05 ± 1.12 a |
| MeJAS1 | 12.02 ± 1.34 a | 5.72 ± 0.41 b | 0.75 ± 0.13 ab | 7.60 ± 1.38 c |
| MeJAS2 | 10.57 ± 1.29 b | 5.96 ± 0.36 a | 0.65 ± 0.05 c | 9.00 ± 0.67 a |
| SAS1 | 11.35 ± 1.49 ab | 5.97 ± 0.45 a | 0.73 ± 0.11 b | 8.02 ± 1.03 bc |
| SAS2 | 9.53 ± 1.65 c | 5.92 ± 0.53 ab | 0.66 ± 0.04 c | 8.74 ± 0.88 ab |
| Amino Acids | CS1 | CS2 | MeJAS1 | MeJAS2 | SAS1 | SAS2 | ||||||
|---|---|---|---|---|---|---|---|---|---|---|---|---|
| mg kg−1 | % | mg kg−1 | % | mg kg−1 | % | mg kg−1 | % | mg kg−1 | % | mg kg−1 | % | |
| Aspartic acid | 1825.59 c | 5.91 | 2594.13 b | 6.75 | 2466.38 b | 5.19 | 4125.27 a | 6.06 | 1800.91 c | 5.15 | 2632.83 b | 6.12 |
| Glutamic acid | 5999.00 d | 19.41 | 10,765.44 b | 28.00 | 8680.55 c | 18.27 | 16,839.05 a | 24.73 | 5720.51 d | 16.37 | 10,660.70 b | 24.77 |
| Asparagine | 1371.58 e | 4.44 | 1602.25 d | 4.17 | 2270.39 b | 4.78 | 3130.00 a | 4.60 | 1858.46 c | 5.32 | 2079.48 b | 4.83 |
| Serine | 2267.48 c | 7.34 | 2323.83 c | 6.05 | 2779.89 b | 5.85 | 3448.83 a | 5.06 | 2166.29 c | 6.20 | 2218.57 c | 5.15 |
| Glutamine | 10,980.84 d | 35.53 | 12,448.05 d | 32.38 | 18,627.28 b | 39.21 | 24,606.23 a | 36.14 | 14,470.59 c | 41.41 | 15,803.62 c | 36.71 |
| Histidine (EAA) | 326.77 c | 1.06 | 426.96 b | 1.11 | 399.39 b | 0.84 | 550.79 a | 0.81 | 307.96 c | 0.88 | 440.25 b | 1.02 |
| Glycine | 134.74 c | 0.44 | 144.08 c | 0.37 | 164.93 b | 0.35 | 202.93 a | 0.30 | 126.30 c | 0.36 | 135.23 c | 0.31 |
| Threonine (EAA) | 952.08 cd | 3.08 | 1080.18 b | 2.81 | 1021.90 bc | 2.15 | 1398.58 a | 2.05 | 858.75 d | 2.46 | 939.56 cd | 2.18 |
| Arginine | 288.71 cd | 0.34 | 360.56 b | 0.34 | 353.24 b | 0.34 | 550.16 a | 0.34 | 250.58 d | 0.34 | 329.97 bc | 0.34 |
| Citrulline | 30.05 d | 0.10 | 25.10 d | 0.07 | 65.02 b | 0.14 | 76.67 a | 0.11 | 53.57 c | 0.15 | 46.95 c | 0.11 |
| Alanine | 239.28 c | 0.77 | 200.77 d | 0.52 | 300.54 b | 0.63 | 362.37 a | 0.53 | 221.88 cd | 0.63 | 219.72 cd | 0.51 |
| GABA | 3903.29 d | 12.63 | 3694.15 d | 9.61 | 6627.36 b | 13.95 | 8070.42 a | 11.85 | 4710.94 c | 13.48 | 4893.20 c | 11.37 |
| Tyrosine | 152.71 c | 0.49 | 145.65 c | 0.38 | 235.14 b | 0.49 | 286.23 a | 0.42 | 139.70 c | 0.40 | 142.60 c | 0.33 |
| Valine (EAA) | 370.07 cd | 1.20 | 406.47 bc | 1.06 | 438.58 b | 0.92 | 554.34 a | 0.81 | 359.99 d | 1.03 | 374.56 cd | 0.87 |
| Methionine (EAA) | 33.64 c | 0.11 | 45.92 bc | 0.12 | 45.69 bc | 0.10 | 73.45 a | 0.11 | 33.18 c | 0.09 | 50.36 b | 0.12 |
| Tryptophane (EAA) | 87.61 d | 0.28 | 97.91 d | 0.25 | 204.35 b | 0.43 | 265.92 a | 0.39 | 127.76 c | 0.37 | 147.58 c | 0.34 |
| Phenylalanine (EAA) | 751.41 c | 2.43 | 737.16 c | 1.92 | 1281.04 b | 2.70 | 1532.55 a | 2.25 | 670.30 c | 1.92 | 769.83 c | 1.79 |
| Isoleucine (EAA) | 404.63 c | 1.31 | 414.51 c | 1.08 | 499.34 b | 1.05 | 655.90 a | 0.96 | 373.34 c | 1.07 | 395.24 c | 0.92 |
| Leucine (EAA) | 293.61 c | 0.95 | 319.85 bc | 0.83 | 354.15 b | 0.75 | 449.93 a | 0.66 | 267.60 c | 0.77 | 274.02 c | 0.64 |
| Lysine (EAA) | 299.05 c | 0.97 | 386.07 b | 1.00 | 390.60 b | 0.82 | 496.85 a | 0.73 | 248.84 d | 0.71 | 281.22 cd | 0.65 |
| Proline | 197.99 c | 0.64 | 222.77 c | 0.58 | 305.38 b | 0.64 | 415.18 a | 0.61 | 176.44 c | 0.50 | 208.67 c | 0.48 |
| Total EAA | 3518.87 f | 11.38 | 3915.03 c | 10.18 | 4635.02 b | 9.76 | 5978.30 a | 8.78 | 3247.72 e | 9.29 | 3672.61 d | 8.53 |
| Total | 30,910.13 e | 38,441.80 cd | 47,511.12 b | 68,091.61 a | 34,943.89 de | 43,044.13 bc | ||||||
| Treatments | DPPH (%) | ABTS (%) | FRAP (Absorbance) | Reducing Power (Absorbance) |
|---|---|---|---|---|
| CS1 | 80.88 ± 1.87 c | 21.78 ± 3.72 ab | 0.044 ± 0.004 b | 0.281 ± 0.000 d |
| CS2 | 79.73 ± 1.05 c | 19.95 ± 2.43 b | 0.046 ± 0.008 b | 0.272 ± 0.000 e |
| MeJAS1 | 86.78 ± 1.19 a | 23.71 ± 0.92 a | 0.074 ± 0.007 a | 0.297 ± 0.001 a |
| MeJAS2 | 88.08 ± 1.43 a | 20.81 ± 1.31 b | 0.085 ± 0.023 a | 0.291 ± 0.001 b |
| SAS1 | 83.62 ± 1.49 b | 20.11 ± 1.17 b | 0.063 ± 0.023 ab | 0.289 ± 0.003 bc |
| SAS2 | 79.77 ± 1.12 c | 20.76 ± 0.97 b | 0.035 ± 0.001 b | 0.287 ± 0.003 c |
Publisher’s Note: MDPI stays neutral with regard to jurisdictional claims in published maps and institutional affiliations. |
© 2021 by the authors. Licensee MDPI, Basel, Switzerland. This article is an open access article distributed under the terms and conditions of the Creative Commons Attribution (CC BY) license (https://creativecommons.org/licenses/by/4.0/).
Share and Cite
Baek, M.W.; Choi, H.R.; Yun Jae, L.; Kang, H.-M.; Lee, O.-H.; Jeong, C.S.; Tilahun, S. Preharvest Treatment of Methyl Jasmonate and Salicylic Acid Increase the Yield, Antioxidant Activity and GABA Content of Tomato. Agronomy 2021, 11, 2293. https://doi.org/10.3390/agronomy11112293
Baek MW, Choi HR, Yun Jae L, Kang H-M, Lee O-H, Jeong CS, Tilahun S. Preharvest Treatment of Methyl Jasmonate and Salicylic Acid Increase the Yield, Antioxidant Activity and GABA Content of Tomato. Agronomy. 2021; 11(11):2293. https://doi.org/10.3390/agronomy11112293
Chicago/Turabian StyleBaek, Min Woo, Han Ryul Choi, Lee Yun Jae, Ho-Min Kang, Ok-Hwan Lee, Cheon Soon Jeong, and Shimeles Tilahun. 2021. "Preharvest Treatment of Methyl Jasmonate and Salicylic Acid Increase the Yield, Antioxidant Activity and GABA Content of Tomato" Agronomy 11, no. 11: 2293. https://doi.org/10.3390/agronomy11112293
APA StyleBaek, M. W., Choi, H. R., Yun Jae, L., Kang, H.-M., Lee, O.-H., Jeong, C. S., & Tilahun, S. (2021). Preharvest Treatment of Methyl Jasmonate and Salicylic Acid Increase the Yield, Antioxidant Activity and GABA Content of Tomato. Agronomy, 11(11), 2293. https://doi.org/10.3390/agronomy11112293

