Genome-Wide Association Study (GWAS) for Examining the Genomics Controlling Prickle Production in Red Raspberry (Rubus idaeus L.)
Abstract
1. Introduction
2. Materials and Methods
2.1. Plant Materials
2.2. DNA Extraction
2.3. Genotype by Sequencing (GBS)
2.4. Preprocessing
2.5. Sequence Alignment, SNP Calling, and SNP Imputation
2.6. Genome‑Wide Association Analysis
2.7. Candidate Gene Identification
3. Results
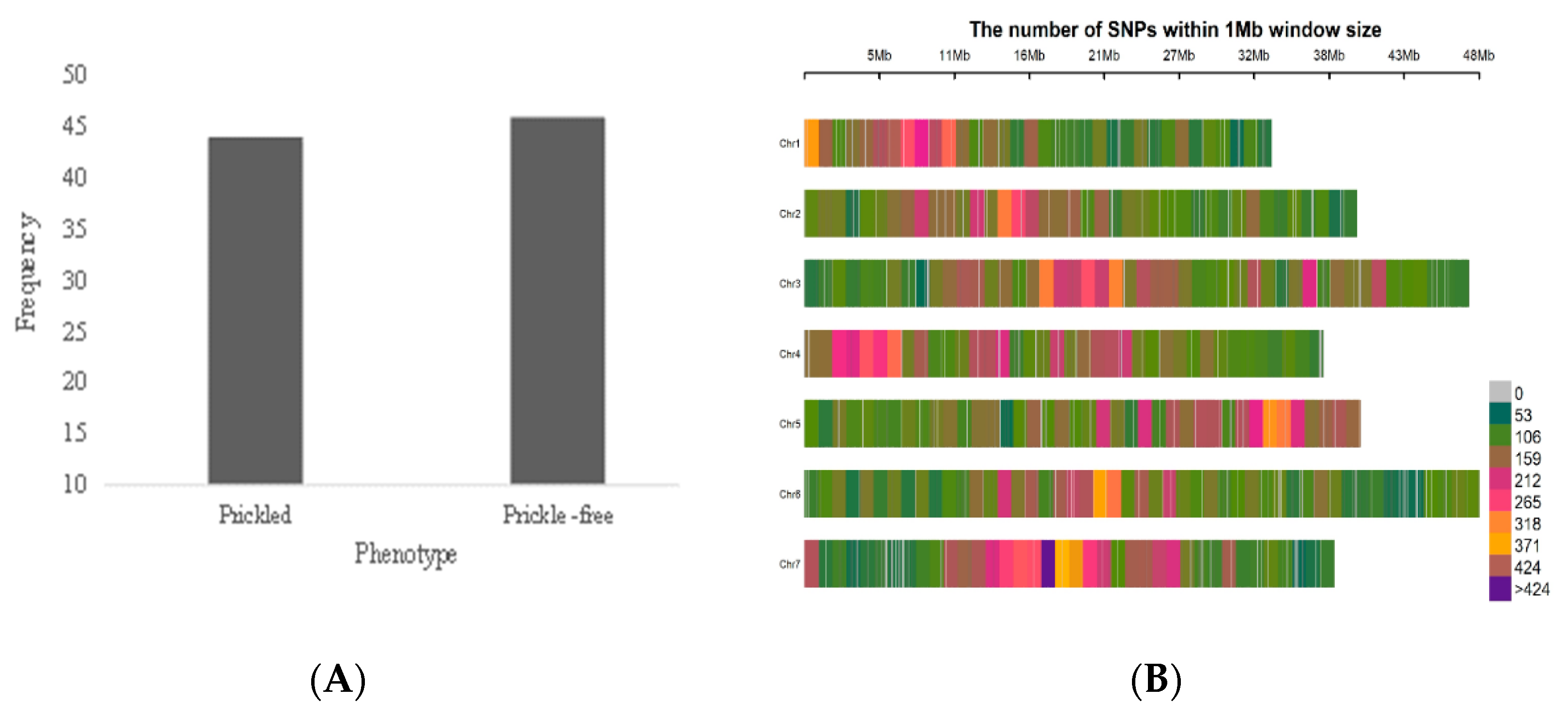
3.1. Phenotype Descriptions
3.2. Genome‑Wide Association Analysis
3.3. Candidate Gene Identification
4. Discussion
5. Conclusions
Author Contributions
Funding
Conflicts of Interest
References
- Thompson, M.M. Chromosome numbers of Rubus species at the national clonal germplasm repository. HortScience 1995, 30, 1447–1452. [Google Scholar] [CrossRef]
- Deighton, N.; Brennan, R.; Finn, C.; Davies, H.V. Antioxidant properties of domesticated and wild Rubus species. J. Sci. Food Agric. 2000, 80, 1307–1313. [Google Scholar] [CrossRef]
- Yousefi, G.; Yousefi, S.; Emam-Djomeh, Z. A comparative study on different concentration methods of extracts obtained from two raspberries (Rubus idaeus L.) cultivars: Evaluation of anthocyanins and phenolics contents and antioxidant activity. Int. J. Food Sci. Tech. 2013, 48, 1179–1186. [Google Scholar] [CrossRef]
- Arumuganathan, K.; Earle, E. Nuclear DNA content of some important plant species. Plant Mol. Biol. Rep. 1991, 9, 208–218. [Google Scholar] [CrossRef]
- Keep, E. Incompatibility in Rubus with special reference to R. idaeus L. Can. J. Genet. Cytol. 1968, 10, 253–262. [Google Scholar] [CrossRef]
- Keep, E. Dwarfing in the raspberry, Rubus idaeus L. Euphytica 1969, 18, 256–276. [Google Scholar]
- Doughari, J. An overview of plant immunity. J. Plant Pathol. Microbiol. 2015, 6. [Google Scholar] [CrossRef]
- Barton, K.E. Prickles, latex, and tolerance in the endemic Hawaiian prickly poppy (Argemone glauca): Variation between populations, across ontogeny, and in response to abiotic factors. Oecologia 2014, 174, 1273–1281. [Google Scholar] [CrossRef]
- Halpern, M.; Raats, D.; Lev-Yadun, S. The potential anti-herbivory role of microorganisms on plant thorns. Plant Sign. Behav. 2007, 2, 503–504. [Google Scholar] [CrossRef]
- Szymanski, D.B.; Lloyd, A.M.; Marks, M.D. Progress in the molecular genetic analysis of trichome initiation and morphogenesis in Arabidopsis. Trends Plant Sci. 2000, 5, 214–219. [Google Scholar] [CrossRef]
- Schuepp, P. Tansley review No. 59. Leaf boundary layers. New Phytol. 1993, 125, 477–507. [Google Scholar] [CrossRef]
- Bieniek, M.E.; Millington, W. Differentiation of lateral shoots as thorns in Ulex europaeus. Amer. J. Bot. 1967, 54, 61–70. [Google Scholar] [CrossRef]
- Blaser, H.W. Morphology of the determinate thorn-shoots of Gleditsia. Am. J. Bot. 1956, 43, 22–28. [Google Scholar] [CrossRef]
- Coyner, M.; Skirvin, R.M.; Norton, M.; Otterbacher, A. Thornlessness in blackberries: A review. Small Fruits Rev. 2005, 4, 83–106. [Google Scholar] [CrossRef]
- Esau, K. Anatomy of Seed Plants; John Wiley & Sons, Inc.: New York, NY, USA, 1977; pp. 455–500. [Google Scholar]
- Posluszny, U.; Fisher, J.B. Thorn and hook ontogeny in Artabotrys hexapetalus (Annonaceae). Am. J. Bot. 2000, 87, 1561–1570. [Google Scholar] [CrossRef]
- Jennings, D. Balanced lethals and polymorphism in Rubus idaeus. Heredity 1967, 22, 465–479. [Google Scholar] [CrossRef]
- Jennings, D. Resistance to Didymella applanata in red raspberry and some related species. Ann. Appl. Biol. 1982, 101, 331–337. [Google Scholar] [CrossRef]
- Jennings, D.; Brydon, E. Further studies on resistance to Leptosphaeria coniothyrium in the red raspberry and related species. Ann. Appl. Biol. 1989, 115, 499–506. [Google Scholar] [CrossRef]
- Knight, R.; Keep, E. Developments in soft fruit breeding at East Malling. In Report of East Malling Research Station for 1957; 1958; pp. 62–67. [Google Scholar]
- Anthony, V.M.; Williamson, B.; Jennings, D.; Shattock, R. Inheritance of resistance to yellow rust (Phragmidium rubi-idaei) in red raspberry. Ann. Appl. Biol. 1986, 109, 365–374. [Google Scholar] [CrossRef]
- Jennings, D. Some evidence on the influence of the morphology of raspberry canes upon their liability to be attacked by certain fungi. Hort. Res. 1962, 1, 100–111. [Google Scholar]
- Jennings, D.; McGregor, G. Resistance to cane spot (Elsinoe veneta) in the red raspberry and its relationship to resistance to yellow rust (Phragmidium rubi-idaei). Euphytica 1988, 37, 173–180. [Google Scholar] [CrossRef]
- Keep, E. Progress in Rubus breeding at East Malling. Acta Hortic. 1976, 60, 123–128. [Google Scholar] [CrossRef]
- Graham, J.; Smith, K.; Tierney, I.; MacKenzie, K.; Hackett, C. Mapping gene H controlling cane pubescence in raspberry and its association with resistance to cane botrytis and spur blight, rust and cane spot. Theor. Appl. Genet. 2006, 112, 818–831. [Google Scholar] [CrossRef] [PubMed]
- Keep, E.; Knight, V.H.; Parker, J.H. Rubus coreanus as donor of resistance to cane diseases and mildew in red raspberry breeding. Euphytica 1977, 26, 505–510. [Google Scholar] [CrossRef]
- Peitersen, A.K. Blackberries of New England-genetic status of the plants. Vermont Agric. Expt. Stn. Bull. 1921, 218, 1–34. [Google Scholar]
- Jennings, D.; Ingram, R. Hybrids of Rubus parviflorus (Nutt.) with raspberry and blackberry and the inheritance of spinelessness derived from this species. Crop Res. 1983, 23, 95–101. [Google Scholar]
- Jennings, D.L. Raspberries and Blackberries: Their Breeding, Diseases and Growth; Academic Press: London, UK, 1988; 230p. [Google Scholar]
- Hall, H.; Quazi, M.; Skirvin, R. Isolation of a pure thornless loganberry by meristem tip culture. Euphytica 1986, 35, 1039–1044. [Google Scholar] [CrossRef]
- Rosati, P.; Gaggioli, D.; Giunchi, L. Genetic stability of micropropagated loganberry plants. J. Hortic. Sci. 1986, 61, 33–41. [Google Scholar] [CrossRef]
- Rosati, P.; Hall, H.; Jennings, D.; Gaggioli, D. A dominant gene for thornlessness obtained from the chimeral thornless loganberry. HortScience 1988, 23, 899–902. [Google Scholar]
- Zhou, N.; Tang, K.; Jeauffre, J.; Thouroude, T.; Arias, D.L.; Foucher, F.; Hibrand-Saint Oyant, L. Genetic determinism of prickles in rose. Theor. Appl. Genet. 2020, 133, 3017–3035. [Google Scholar] [CrossRef]
- Finn, C.; Moore, P.; Kempler, C. Raspberry Cultivars: What’s New? What’s Succeeding? Where are the Breeding Programs Headed? Acta Hortic. 2008, 777, 33–40. [Google Scholar] [CrossRef]
- Clark, J.R.; Moore, J.N. ‘Natchez’thornless blackberry. HortScience 2008, 43, 1897–1899. [Google Scholar] [CrossRef]
- Weber, C. In Introgression of spine-free and primocane fruiting from red raspberry (Rubus idaeus L.) to black raspberry (R. occidentalis L.). Acta Hortic. 2019, 1277, 17–24. [Google Scholar]
- Khadgi, A.; Weber, C.A. Morphological characterization of prickled and prickle-free Rubus using scanning electron microscopy. HortScience 2020, 55, 676–683. [Google Scholar] [CrossRef]
- Nordborg, M.; Borevitz, J.O.; Bergelson, J.; Berry, C.C.; Chory, J.; Hagenblad, J.; Kreitman, M.; Maloof, J.N.; Noyes, T.; Oefner, P.J. The extent of linkage disequilibrium in Arabidopsis thaliana. Nat. Genet. 2002, 30, 190–193. [Google Scholar] [CrossRef] [PubMed]
- Zhu, C.; Gore, M.; Buckler, E.S.; Yu, J. Status and prospects of association mapping in plants. Plant Genom. 2008, 1, 5–20. [Google Scholar] [CrossRef]
- Jennings, D.L. Raspberry plant named ‘Joan J’. 2008. US Patent and Trademark Office. Available online: www.uspto.gov (accessed on 23 December 2020).
- Elshire, R.J.; Glaubitz, J.C.; Sun, Q.; Poland, J.A.; Kawamoto, K.; Buckler, E.S.; Mitchell, S.E. A robust, simple genotyping-by-sequencing (GBS) approach for high diversity species. PLoS ONE 2011, 6, e19379. [Google Scholar] [CrossRef] [PubMed]
- Bradbury, P.J.; Zhang, Z.; Kroon, D.E.; Casstevens, T.M.; Ramdoss, Y.; Buckler, E.S. TASSEL: Software for association mapping of complex traits in diverse samples. Bioinformatics 2007, 23, 2633–2635. [Google Scholar] [CrossRef] [PubMed]
- Glaubitz, J.C.; Casstevens, T.M.; Lu, F.; Harriman, J.; Elshire, R.J.; Sun, Q.; Buckler, E.S. TASSEL-GBS: A high capacity genotyping by sequencing analysis pipeline. PLoS ONE 2014, 9, e90346. [Google Scholar] [CrossRef] [PubMed]
- Li, H.; Durbin, R. Fast and accurate short read alignment with Burrows–Wheeler transform. Bioinformatics 2009, 25, 1754–1760. [Google Scholar] [CrossRef]
- Swarts, K.; Li, H.; Romero Navarro, J.A.; An, D.; Romay, M.C.; Hearne, S.; Acharya, C.; Glaubitz, J.C.; Mitchell, S.; Elshire, R.J. Novel methods to optimize genotypic imputation for low-coverage, next-generation sequence data in crop plants. Plant Genome 2014, 7, 1–12. [Google Scholar] [CrossRef]
- Wickham, H. Ggplot2: Elegant Graphics for Data Analysis: Use R; Springer: New York, NY, USA, 2009. [Google Scholar]
- Yu, J.; Pressoir, G.; Briggs, W.H.; Bi, I.V.; Yamasaki, M.; Doebley, J.F.; McMullen, M.D.; Gaut, B.S.; Nielsen, D.M.; Holland, J.B. A unified mixed-model method for association mapping that accounts for multiple levels of relatedness. Nat. Genet. 2006, 38, 203–208. [Google Scholar] [CrossRef] [PubMed]
- Zhang, Z.; Ersoz, E.; Lai, C.Q.; Todhunter, R.J.; Tiwari, H.K.; Gore, M.A.; Bradbury, P.J.; Yu, J.; Arnett, D.K.; Ordovas, J.M. Mixed linear model approach adapted for genome-wide association studies. Nat. Genet. 2010, 42, 355–360. [Google Scholar] [CrossRef] [PubMed]
- Liu, X.; Huang, M.; Fan, B.; Buckler, E.S.; Zhang, Z. Iterative usage of fixed and random effect models for powerful and efficient genome-wide association studies. PLoS Genet. 2016, 12, e1005767. [Google Scholar] [CrossRef]
- Lipka, A.E.; Tian, F.; Wang, Q.; Peiffer, J.; Li, M.; Bradbury, P.J.; Gore, M.A.; Buckler, E.S.; Zhang, Z. GAPIT: Genome association and prediction integrated tool. Bioinformatics 2012, 28, 2397–2399. [Google Scholar] [CrossRef]
- Götz, S.; García-Gómez, J.M.; Terol, J.; Williams, T.D.; Nagaraj, S.H.; Nueda, M.J.; Robles, M.; Talón, M.; Dopazo, J.; Conesa, A. High-throughput functional annotation and data mining with the Blast2GO suite. Nucl. Acids Res. 2008, 36, 3420–3435. [Google Scholar] [CrossRef]
- Oshima, Y.; Mitsuda, N. The MIXTA-like Transcription factor MYB16 is a major regulator of cuticle formation in vegetative organs. Plant Sign. Behav. 2013, 8, e26826. [Google Scholar] [CrossRef]
- Liang, G.; He, H.; Li, Y.; Ai, Q.; Yu, D. MYB82 functions in regulation of trichome development in Arabidopsis. J. Exp. Bot. 2014, 65, 3215–3223. [Google Scholar] [CrossRef]
- Graham, J.; Smith, K.; MacKenzie, K.; Jorgenson, L.; Hackett, C.; Powell, W. The construction of a genetic linkage map of red raspberry (Rubus idaeus subsp. idaeus) based on AFLPs, genomic-SSR and EST-SSR markers. Theor. Appl. Genet. 2004, 109, 740–749. [Google Scholar] [CrossRef]
- Molina-Bravo, R.; Fernandez, G.E.; Sosinski, B.R. Quantitative trait locus analysis of tolerance to temperature fluctuations in winter, fruit characteristics, flower color, and prickle-free canes in raspberry. Mol. Breed. 2014, 33, 267–280. [Google Scholar] [CrossRef]
- Khadgi, A.; Weber, C.A. RNA-Seq analysis of prickled and prickle-free epidermis provides insight into the genetics of prickle development in red raspberry (Rubus ideaus L.). Agronomy 2020, 10, 1904. [Google Scholar] [CrossRef]
- Noda, K.I.; Glover, B.J.; Linstead, P.; Martin, C. Flower colour intensity depends on specialized cell shape controlled by a Myb-related transcription factor. Nature 1994, 369, 661–664. [Google Scholar] [CrossRef]
- Baumann, K.; Perez-Rodriguez, M.; Bradley, D.; Venail, J.; Bailey, P.; Jin, H.; Koes, R.; Roberts, K.; Martin, C. Control of cell and petal morphogenesis by R2R3 MYB transcription factors. Development 2007, 134, 1691–1701. [Google Scholar] [CrossRef] [PubMed]
- Du, H.; Yang, S.S.; Liang, Z.; Feng, B.R.; Liu, L.; Huang, Y.B.; Tang, Y.X. Genome-wide analysis of the MYB transcription factor superfamily in soybean. BMC Plant Biol. 2012, 12, 106. [Google Scholar] [CrossRef]
- Dubos, C.; Stracke, R.; Grotewold, E.; Weisshaar, B.; Martin, C.; Lepiniec, L. MYB transcription factors in Arabidopsis. Trends Plant Sci. 2010, 15, 573–581. [Google Scholar] [CrossRef] [PubMed]
- Li, Q.; Zhang, C.; Li, J.; Wang, L.; Ren, Z. Genome-wide identification and characterization of R2R3MYB family in Cucumis sativus. PLoS ONE 2012, 7, e47576. [Google Scholar] [CrossRef]
- Matus, J.T.; Aquea, F.; Acre-Johnson, P. Analysis of the grape MYB R2R3 subfamily reveals expanded wine quality-related clades and conserved gene structure organization across Vitis and Arabidopsis genomes. BMC Plant Biol. 2008, 8, 83. [Google Scholar] [CrossRef]
- Wilkins, O.; Nahal, H.; Foong, J.; Provart, N.J.; Campbell, M.M. Expansion and diversification of the Populus R2R3-MYB family of transcription factors. Plant Phys. 2009, 149, 981–993. [Google Scholar] [CrossRef]
- González, M.; Carrasco, B.; Salazar, E. Genome-wide identification and characterization of R2R3MYB family in Rosaceae. Genome. Data 2016, 9, 50–57. [Google Scholar] [CrossRef]
- Sun, Y.; Zhou, Q.; Zhang, W.; Fu, Y.; Huang, H. Asymmetric Leaves1, an Arabidopsis gene that is involved in the control of cell differentiation in leaves. Planta 2002, 214, 694–702. [Google Scholar] [CrossRef]
- Castelán-Muñoz, N.; Herrera, J.; Cajero-Sánchez, W.; Arrizubieta, M.; Trejo, C.; Garcia-Ponce, B.; Sánchez, M.D.L.P.; Álvarez-Buylla, E.R.; Garay-Arroyo, A. MADS-box genes are key components of genetic regulatory networks involved in abiotic stress and plastic developmental responses in plants. Front. Plant Sci. 2019, 10, 853. [Google Scholar]
- Pandey, S.; Goel, R.; Bhardwaj, A.; Asif, M.H.; Sawant, S.V.; Misra, P. Transcriptome analysis provides insight into prickle development and its link to defense and secondary metabolism in Solanum viarum Dunal. Sci. Rep. 2018, 8, 1–12. [Google Scholar] [CrossRef] [PubMed]
- Shedletzky, E.; Shmuel, M.; Trainin, T.; Kalman, S.; Delmer, D. Cell wall structure in cells adapted to growth on the cellulose-synthesis inhibitor 2, 6-dichlorobenzonitrile: A comparison between two dicotyledonous plants and a graminaceous monocot. Plant Phys. 1992, 100, 120–130. [Google Scholar] [CrossRef] [PubMed]
- Carpita, N.; Tierney, M.; Campbell, M. Molecular biology of the plant cell wall: Searching for the genes that define structure, architecture and dynamics. In Plant Cell Walls; Carpita, N., Tierney, M., Campbell, M., Eds.; Springer: Dordrecht, The Netherlands, 2001; pp. 1–5. [Google Scholar]
- Taylor, N.G.; Laurie, S.; Turner, S.R. Multiple cellulose synthase catalytic subunits are required for cellulose synthesis in Arabidopsis. Plant Cell 2000, 12, 2529–2539. [Google Scholar] [CrossRef] [PubMed]
- Brown, D.M.; Zeef, L.A.; Ellis, J.; Goodacre, R.; Turner, S.R. Identification of novel genes in Arabidopsis involved in secondary cell wall formation using expression profiling and reverse genetics. Plant Cell 2005, 17, 2281–2295. [Google Scholar] [CrossRef]
- Ebringerová, A.; Heinze, T. Xylan and xylan derivatives–biopolymers with valuable properties, 1. Naturally occurring xylans structures, isolation procedures and properties. Macromol. Rap. Comm. 2000, 21, 542–556. [Google Scholar] [CrossRef]
- Arioli, T.; Peng, L.; Betzner, A.S.; Burn, J.; Wittke, W.; Herth, W.; Camilleri, C.; Höfte, H.; Plazinski, J.; Birch, R. Molecular analysis of cellulose biosynthesis in Arabidopsis. Science 1998, 279, 717–720. [Google Scholar] [CrossRef]
- Burn, J.E.; Hocart, C.H.; Birch, R.J.; Cork, A.C.; Williamson, R.E. Functional Analysis of the Cellulose Synthase GenesCesA1, CesA2, and CesA3 in Arabidopsis. Plant Phys. 2002, 129, 797–807. [Google Scholar] [CrossRef]
- Fagard, M.; Desnos, T.; Desprez, T.; Goubet, F.; Refregier, G.; Mouille, G.; McCann, M.; Rayon, C.; Vernhettes, S.; Höfte, H. PROCUSTE1 encodes a cellulose synthase required for normal cell elongation specifically in roots and dark-grown hypocotyls of Arabidopsis. Plant Cell 2000, 12, 2409–2423. [Google Scholar] [CrossRef]
- Potikha, T.; Delmer, D.P. A mutant of Arabidopsis thaliana displaying altered patterns of cellulose deposition. Plant J. 1995, 7, 453–460. [Google Scholar] [CrossRef]
- Bischoff, V.; Nita, S.; Neumetzler, L.; Schindelasch, D.; Urbain, A.; Eshed, R.; Persson, S.; Delmer, D.; Scheible, W.R. TRICHOME BIREFRINGENCE and its homolog AT5G01360 encode plant-specific DUF231 proteins required for cellulose biosynthesis in Arabidopsis. Plant Phys. 2010, 153, 590–602. [Google Scholar] [CrossRef] [PubMed]




| SNP_ID | Chr a | Position | p-Value | Allele b | MAF c | Allelic Effect d |
|---|---|---|---|---|---|---|
| 4_33543882 | 4 | 33543882 | 2.80 × 10−11 | C/T | 0.24 | −0.19 |
| 4_34134523 | 4 | 34134523 | 2.22 × 10−18 | A/G | 0.16 | −0.31 |
| 4_34738035 | 4 | 34738035 | 5.08 × 10−23 | A/G | 0.18 | −0.38 |
| 4_35148226 | 4 | 35148226 | 3.61 × 10−13 | T/C | 0.27 | 0.20 |
| SNP_ID | Chr | Location | p-Value | Number of Transcripts ±100 kb and Their Accession Numbers | Nearby Candidate Gene |
|---|---|---|---|---|---|
| 4_33543882 | 4 | 33543882 | 2.80E-11 | 16 transcripts XP_024193898.1; XP_024194482.1; XP_004297281.1; XP_034683367.1; XP_024194204.1; XP_004298413.1; XP_024197429.1; XP_024191422.1; XP_024196462.1 *; XP_024195210.1; XP_024192622.1; XP_024192625.1; XP_011463677.1; XP_011002483.1; XP_011463061.1 *; XP_024197655.1 | Rosa chinensis transcription factor MYB16-like; Rosa chinensis agamous-like MADS-box protein AGL30 |
| 4_34134523 | 4 | 34134523 | 2.22E-18 | 19 transcripts XP_024196566.1; XP_021605947.1; XP_024192632.1; XP_024191881.1; XP_008221766.1; XP_024197510.1; XP_024195070.1; XP_024193198.1; XP_024193196.1; XP_024193195.1; XP_004297647.1; XP_024193193.1; XP_011463719.1; XP_024196509.1; XP_021809783.1; XP_024193548.1; XP_024193549.1; XP_004297638.1; XP_024192024.1 | |
| 4_34738035 | 4 | 34738035 | 5.08E-23 | 32 transcripts XP_024195412.1; XP_011463173.1; XP_024194816.1; XP_024164269.1; XP_024196501.1; XP_024196697.1; XP_024161463.1; XP_024196697.1; XP_024196698.1; XP_008221472.1; XP_024193721.1; XP_024169277.1; XP_024191226.1; XP_024194091.1; XP_024196672.1; XP_024191685.1; XP_024196677.1; XP_004298499.1; XP_024194091.1; XP_024192300.1; XP_024192298.1; XP_024197498.1; XP_024193314.1; XP_024193316.1; XP_024197498.1; XP_024193314.1; XP_008389165.1; XP_024193315.1; XP_024194705.1; XP_024192540.1; XP_024197307.1; XP_011463686.1 | |
| 4_35148226 | 4 | 35148226 | 3.61E-13 | 31 transcripts XP_024196493.1; XP_024187557.1; XP_024193057.1; XP_028947600.1; XP_004297397.1; XP_024197787.1 *; XP_024197187.1; XP_024195423.1; XP_004298484.1; XP_024194834.1; XP_024194480.1; XP_024196491.1; XP_024197892.1; XP_004298480.1; XP_024160749.1; XP_024197899.1; XP_024197898.1; XP_024197891.1; XP_024197893.1; XP_024196777.1; XP_024194805.1; XP_034203069.1; XP_024195496.1; XP_011459440.1; XP_024175940.1; XP_024175941.1; XP_024195363.1; XP_021606088.1; XP_024194805.1; XP_024195496.1; XP_011459440.1 | Rosa chinensis protein trichome birefringence-like 2 |
Publisher’s Note: MDPI stays neutral with regard to jurisdictional claims in published maps and institutional affiliations. |
© 2020 by the authors. Licensee MDPI, Basel, Switzerland. This article is an open access article distributed under the terms and conditions of the Creative Commons Attribution (CC BY) license (http://creativecommons.org/licenses/by/4.0/).
Share and Cite
Khadgi, A.; Weber, C.A. Genome-Wide Association Study (GWAS) for Examining the Genomics Controlling Prickle Production in Red Raspberry (Rubus idaeus L.). Agronomy 2021, 11, 27. https://doi.org/10.3390/agronomy11010027
Khadgi A, Weber CA. Genome-Wide Association Study (GWAS) for Examining the Genomics Controlling Prickle Production in Red Raspberry (Rubus idaeus L.). Agronomy. 2021; 11(1):27. https://doi.org/10.3390/agronomy11010027
Chicago/Turabian StyleKhadgi, Archana, and Courtney A. Weber. 2021. "Genome-Wide Association Study (GWAS) for Examining the Genomics Controlling Prickle Production in Red Raspberry (Rubus idaeus L.)" Agronomy 11, no. 1: 27. https://doi.org/10.3390/agronomy11010027
APA StyleKhadgi, A., & Weber, C. A. (2021). Genome-Wide Association Study (GWAS) for Examining the Genomics Controlling Prickle Production in Red Raspberry (Rubus idaeus L.). Agronomy, 11(1), 27. https://doi.org/10.3390/agronomy11010027

