Acceleration of Flower Bud Differentiation of Runner Plants in “Maehyang” Strawberries Using Nutrient Solution Resupply during the Nursery Period
Abstract
1. Introduction
2. Materials and Methods
2.1. Plant Materials and Growth Conditions
2.2. Nutrient Solution Resupply Period
2.3. Flower Bud Differentiation Analysis
2.4. Analysis of Essential Mineral Element Concentrations
2.5. Growth Characteristics, Flowering Response of Runner Plants
2.6. Fruit Quality and Strawberry Yield
2.7. Statistical Analyses
3. Results and Discussion
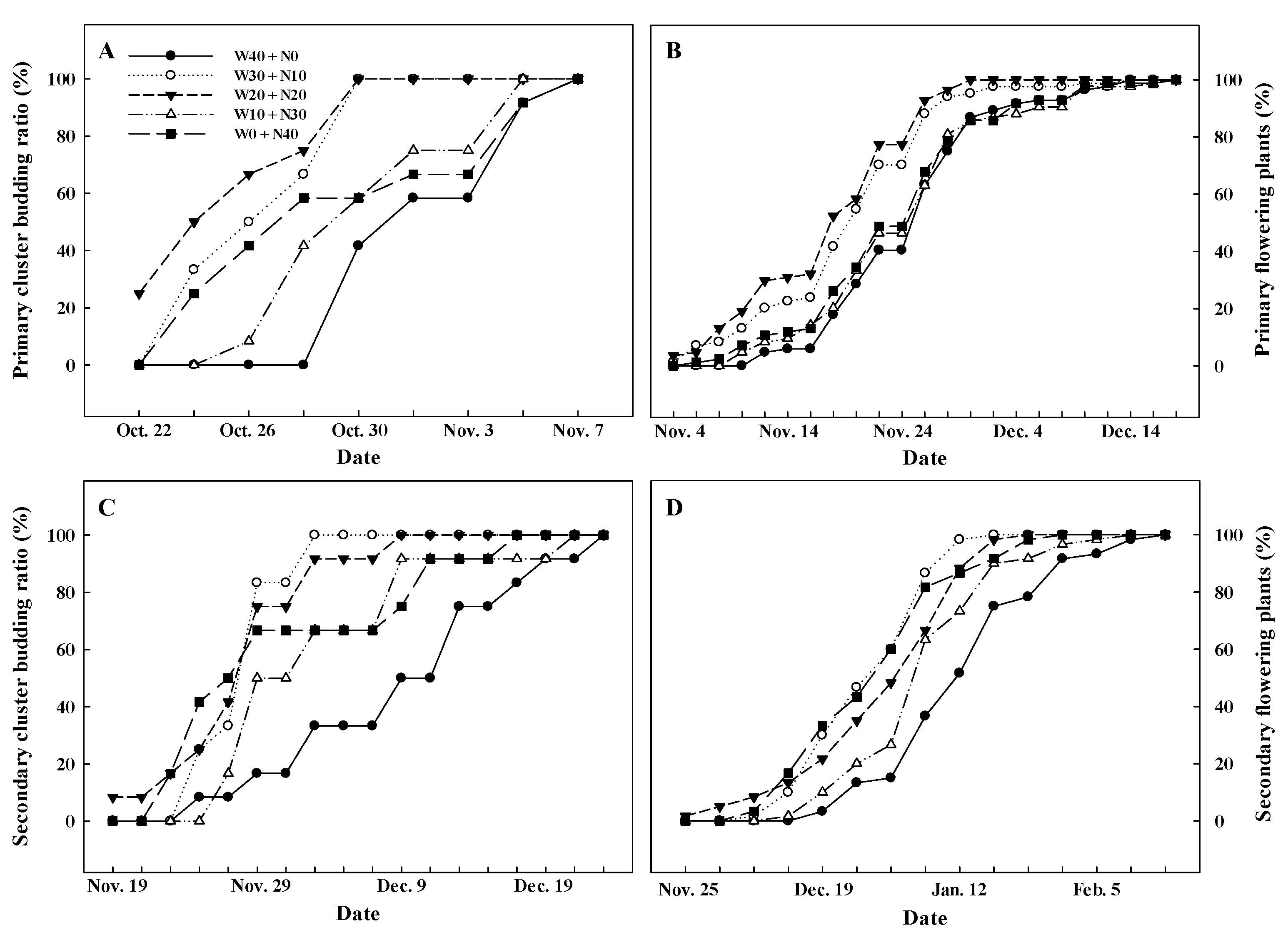
3.1. Effect of Nutrient Solution Resupply Period on Flower Bud Differentiation
3.2. Essential Mineral Element Concentrations of Runner Plants Shoots
3.3. Growth Characteristics of Runner Plants
3.4. Flowering Response of Runner Plants
3.5. Fruit Characteristics and Quality
3.6. Fruit Yield of Strawberry
4. Conclusions
Supplementary Materials
Author Contributions
Funding
Conflicts of Interest
References
- Agricultural Area Survey and Crop Production Survey. Available online: http://kosis.kr/index/index.do (accessed on 8 April 2020).
- Bae, M.J.; Kim, E.A.; Choi, H.K.; Byun, M.S.; Chung, K.H.; Yoon, J.A.; An, J.H. Quality characteristics and antioxidant activities of strawberries according to various extraction methods. J. Korean Soc. Food Sci. Nutr. 2019, 48, 728–738. [Google Scholar] [CrossRef]
- Kim, D.Y.; Kim, S.Y.; Lee, S.Y. Effects of leaf management during winter season on the yield and soluble solid contents of fruits in forcing cultivation of strawberry ‘Seolhyang’. Prot. Hortic. Plant Fact. 2016, 25, 283–287. [Google Scholar] [CrossRef]
- Rural Development Administration (RDA). Strawberry, 1st ed.; Human Culture Arirang: Yangpyeong, Korea, 2009; pp. 113–121.
- An, J.K.; Jeong, G.H.; Yoon, H.S.; Hwang, Y.H.; Hong, K.P. Breeding of new cultivar ‘Hongsil’ in forcing culture of strawberry for export. Korean J. Plant Res. 2018, 31, 90–94. [Google Scholar]
- Sønsteby, A.; Heide, O.M. Temperature responses, flowering and fruit yield of the June-bearing strawberry cultivars Florence, Frida and Korona. Sci. Hortic. 2008, 119, 49–54. [Google Scholar] [CrossRef]
- Rho, I.R.; Cho, Y.S.; Cheong, J.W.; Jeong, H.J.; Jeong, H.B. Effect of low-temperature and short-photoperiod treatment during a high-temperature season on flower bud formation and generation acceleration of short-day strawberry. Korean J. Hortic. Sci. 2007, 25, 12–16. [Google Scholar]
- Kim, H.M.; Lee, H.R.; Jeong, H.W.; Kim, H.M.; Jeong, B.R.; Kang, N.J.; Hwang, S.J. Extended supplementation of nutrient solution for runner plant production improved the growth of runner plants and enhanced the reproduction rate and quality of ‘Maehyang’ strawberry fruits. Hortic. Sci. Technol. 2018, 37, 42–53. [Google Scholar]
- Choi, Y.J.; Eum, S.J.; Jun, H.J. Effect of planting dates, root pruning before and uprooting after transplanting of plantlets on growth, budding and yield of strawberry ‘Seolhyang’. Prot. Hortic. Plant Fact. 2017, 26, 49–55. [Google Scholar] [CrossRef]
- Im, Y.J. Fruit Science General, 1st ed.; Hyangmunsa: Seoul, Korea, 2015; pp. 225–229. [Google Scholar]
- Kim, D.Y.; Kim, T.I.; Kim, W.S.; Kang, Y.I.; Yun, H.K.; Choi, J.M.; Yoon, M.K. Changes in growth and yield of strawberry (cv. Maehyang and Seolhyang) in response to defoliation during nursery period. Prot. Horict. Plant Fact. 2011, 20, 283–289. [Google Scholar]
- Lee, G.B.; Lee, J.E.; Je, B.I.; Lee, Y.J.; Park, Y.H.; Choi, Y.W.; Son, B.G.; Kang, N.J.; Kang, J.S. Influence of lower leaf defoliation treatment on the growth, yield and quality of strawberries. Int. J. Environ. Sci. 2020, 29, 219–228. [Google Scholar] [CrossRef]
- Husaini, A.M.; Neri, D. Strawberry: Growth, Development and Diseases, 1st ed.; CABI: Wallingford, UK, 2016; pp. 99–118. [Google Scholar]
- Yamasaki, A.; Yano, T. Effect of supplemental application of fertilizers on flower bud initiation and development of strawberry—Possible role of nitrogen. Acta Hortic. 2009, 842, 765–768. [Google Scholar] [CrossRef]
- Whitehouse, W.G. Nutritional studies with the strawberry. Proc. Am. Soc. Hortic. Sci. 1928, 25, 201–206. [Google Scholar]
- Lineberry, R.A.; Burkart, L.; Collins, E.R. Fertilizer requirements on new land in north carolina. Proc. Am. Soc. Hortic. Sci. 1944, 45, 283–292. [Google Scholar]
- Kim, D.Y.; Chae, W.B.; Kwak, J.H.; Park, S.; Cheong, S.R.; Choi, J.M.; Yoon, M.K. Effect of timing of nutrient starvation during transplant production on the growth of runner plants and yield of strawberry ‘Seolhyang’. Prot. Hortic. Plant Fact. 2013, 22, 421–426. [Google Scholar] [CrossRef]
- Kim, W.S. Flower Differentiation and Dormancy Breaking Influenced by Environmental Conditions in Strawberry. Ph.D. Thesis, Paichai Univeristy, Daejeon, Korea, 2004. [Google Scholar]
- Breen, P.J.; Martin, L.M. Vegetative and reproductive growth responses of three strawberry cultivars to nitrogen. J. Am. Soc. Hortic. Sci. 1981, 106, 266–272. [Google Scholar]
- Kirschbaum, D.S.; Honorato, J.; Cantliffe, D.J. Strawberry waiting bed plants: A valid alternative to increase early and total yields in sub-tropical regions. Sci. Hortic. 2000, 84, 83–90. [Google Scholar] [CrossRef]
- Sønsteby, A.; Opstad, N.; Myrheim, U.; Heide, O.M. Interaction of short day and timing of nitrogen fertilization on growth and flowering of ‘Korona’ strawberry (Fragaria × ananassa Duch.). Sci. Hortic. 2009, 123, 204–209. [Google Scholar] [CrossRef]
- Hidaka, K.; Dan, K.; Imamura, H.; Takayama, T. Crown-cooling treatment induces earlier flower bud differentiation of strawberry under high air temperature. Environ. Control Biol. 2017, 55, 21–27. [Google Scholar] [CrossRef][Green Version]
- Yoshida, Y.; Fujime, T.; Chujo, T. Effects of nitrogen nutrition on flower bud development and fruit malformation in ‘Ai-Berry’ strawberry. J. Jpn. Soc. Hortic. Sci. 1992, 60, 869–879. [Google Scholar] [CrossRef][Green Version]
- Lieten, F. The effect of nutrition prior to and during flower differentiation on phyllody and plant performance of short day strawberry ‘Elsanta’. Acta Hortic. 2002, 567, 345–348. [Google Scholar] [CrossRef]
- Yoshida, Y. Studies on flower and fruit development in strawberry with special reference to fruit malformation in ‘Ai-Berry’. Mem. Fac. Agric. Kagawa Univ. 1992, 57, 194. [Google Scholar]
- Abbott, A.J. Growth of the strawberry plant in relation to nitrogen and phosphorus nutrition. J. Hortic. Sci. 1967, 43, 491–504. [Google Scholar] [CrossRef]
- Yavari, S.; Eshghi, S.; Tafazoli, E.; Yavari, S. Effects of various organic substrates and nutrient solution on productivity and fruit quality of strawberry ‘Selva’. J. Fruit Ornam. Plant Res. 2008, 16, 167–178. [Google Scholar]
- Kim, T.G.; Hong, K.P.; Joung, W.K.; Shon, G.M.; Song, G.W.; Kang, J.H. Effects of nutrient solutions and their supplying frequency on seedling growth and utilization of minerals in hydroponic rice seedling raising. Korean J. Crop Sci. 2003, 48, 205–208. [Google Scholar]
- Lannetta, P.P.; Laarhoven, L.J.; Medina-Escobar, N.; James, E.K.; McManus, M.T.; Davies, H.V.; Harren, F.J. Ethylene and carbon dioxide production by developing strawberries show a correlative pattern that is indicative of ripening climacteric fruit. Physiol. Plant. 2006, 127, 247–259. [Google Scholar] [CrossRef]
- Ho, L.C.; Rees, A.R. Aspects of translocation of carbon in the tulip. New Phytol. 1975, 74, 421–428. [Google Scholar] [CrossRef]
- Sønsteby, A.; Solhaung, K.A.; Heide, O.M. Functional growth analysis of ‘Sonata’ strawberry plants grown under controlled temperature and daylength conditions. Sci. Hortic. 2016, 211, 26–33. [Google Scholar] [CrossRef]
- Menary, R.C.; Staden, J.V. Effect of phosphorus nutrition and cytokinins on flowering in the tomato, Lycopersicon esculentum Mill. Aust. J. Plant Physiol. 1976, 3, 201–205. [Google Scholar] [CrossRef]
- Eshghi, S.; Tafazoli, E. Changes in mineral nutrition levels during floral transition in strawberry (Fragaria × ananassa Duch.). Int. J. Agric. Res. 2007, 2, 180–184. [Google Scholar]
- Durner, E.F. Fall nitrogen enhances spring nitrogen enhanced flowering in the long day strawberry cultivar ‘Elan’. AIMS Agric. Food 2017, 2, 149–164. [Google Scholar] [CrossRef]
- Park, G.S.; Kang, T.J.; Kim, Y.C.; Ann, S.W. Effect of fertilizer application and planting method on growth and yield of ‘Seolhyang’ strawberry in seedling stage. J. Environ. Sci. Int. 2015, 24, 197–205. [Google Scholar] [CrossRef]
- Kim, H.M.; Hwang, S.J. The growth and development of ‘Mini Chal’ tomato plug seedlings grown under various wavelengths using light emitting diodes. Agronomy 2019, 9, 157. [Google Scholar] [CrossRef]
- Kuan, K.B.; Othman, R.; Rahim, K.A.; Shamsuddin, Z.H. Plant growth-promoting rhizobacteria inoculation to enhance vegetative growth, nitrogen fixation and nitrogen remobilization of maize under greenhouse conditions. PLoS ONE 2016, 11, e0152478. [Google Scholar] [CrossRef]
- Rubio, V.; Bustos, R.; Irigoyen, M.L.; Cardona-Lopez, X.; Rojas-Triana, M.; Paz-Ares, J. Plant hormones and nutrient signaling. Plant Mol. Biol. 2009, 69, 361–373. [Google Scholar] [CrossRef] [PubMed]
- Kuiper, D.; Schuit, J.; Kuiper, P.J.C. Effects of internal and external cytokinin concentrations on root growth and shoot to root ratio of Plantago major ssp pleiosperma at different nutrient conditions. Plant Soil 1988, 111, 231–236. [Google Scholar] [CrossRef]
- Bouma, T.J.; Koutstaal, B.P.; Van Dongen, M.; Nielsen, K.L. Coping with low nutrient availability and inundation: Root growth responses of three halophytic grass species from different elevations along a flooding gradient. Oecologia 2001, 126, 472–481. [Google Scholar] [CrossRef] [PubMed]
- Lee, J.C. Characteristics of aboveground and red ginseng quality of polystem ginseng (Panax ginseng C.A. Meyer). Korean J. Med. Crop Sci. 1996, 4, 255–260. [Google Scholar]
- Cocco, C.; Andriolo, J.L.; Erpen, L.; Cardoso, F.L.; Casagrande, G.S. Development and fruit yield of strawberry plants as affected by crown diameter and plantlet growing period. Pesqui. Agropecu. Bras. 2010, 45, 730–736. [Google Scholar] [CrossRef][Green Version]
- Yoon, H.S.; Kim, J.Y.; An, J.U.; Chang, Y.H.; Hong, K.P. Daughter plant growth, flowering and fruit yield in strawberry in response to different levels of slow release fertilizer during the nursery period. Hortic. Sci. Technol. 2018, 36, 20–27. [Google Scholar]
- Lee, J.H.; Kwon, J.K.; Ham, Y.J.; Yun, M.R.; Park, K.S.; Choi, H.G.; Yeo, K.H.; Lee, J.S.; Khoshimkhujaev, B. Effects of white wash coating agent on the growth of strawberry seedlings in plastic greenhouse. Prot. Hortic. Plant Fact. 2016, 25, 249–254. [Google Scholar] [CrossRef]
- Jun, H.J.; Liu, S.S.; Jeon, E.H.; Bae, G.H.; Kang, S.I. Effect of low temperature-darkness treatment on floral initiation and flowering response of Korean strawberry cultivars. Hortic. Sci. Technol. 2013, 31, 726–731. [Google Scholar]
- Habib, R. Modeling fruit acidity in peach trees effects of nitrogen and potassium nutrition. Acta Hortic. 1998, 512, 141–148. [Google Scholar] [CrossRef]
- Silva, P.S.L.; Rodrigues, V.L.P.; Medeiros, J.F.; Aquino, B.F.; Silva, J. Yield and quality of melon fruits as a response to the application of nitrogen and potassium doses. Rev. Caatinga 2007, 20, 43–49. [Google Scholar]
- Chelpinski, P.; Skupieñ, K.; Ochmian, I. Effect of fertilization on yield and quality of cultivar Kent strawberry fruit. J. Elem. 2010, 15, 251–257. [Google Scholar]
- Shoemaker, J.S.; Greve, E.W. Relation of nitrogen fertilizer to the firmness and composition of strawberries. Ohio Agric. Exp. Stn. Bull. 1930, 466, 1–20. [Google Scholar]
- Sistrunk, W.A.; Morris, J.R. Strawberry Quality: Influence of Cultural and Environmental Factors, 1st ed.; Book Publishing AVI: Westport, CT, USA, 1985; pp. 217–256. [Google Scholar]
- Neilsen, G.H.; Neilsen, D.; Herbert, L. Nitrogen fertigation concentration and timing of application affect nitrogen nutrition, yield, firmness, and color of apples grown at high density. HortScience 2009, 44, 1425–1431. [Google Scholar] [CrossRef]
- Jasso-Chaverria, C.; Hochmuth, G.J.; Hochmuth, R.C.; Sargent, S.A. Fruit yield, size, and color responses of two greenhouse cucumber types to nitrogen fertilization in perlite soilless culture. HortTechnology 2005, 15, 565–571. [Google Scholar] [CrossRef]
- Vizzotto, G.; Lain, O.; Costa, G. Relationship between nitrogen and fruit quality in kiwifruit. Acta Hortic. 1999, 498, 165–172. [Google Scholar] [CrossRef]
- Sakiyama, R. Effects of nitrogen, phosphorus and potassium on the acidity of tomato fruits. J. Jpn. Soc. Hortic. Sci. 1967, 36, 399–405. [Google Scholar] [CrossRef][Green Version]
- Choi, S.H.; Choi, G.L.; Jeong, H.J.; Kim, S.Y.; Lee, S.C.; Choi, H.G. Optimum nutrient concentration to improve growth and quality of strawberry cultivars ‘Berrystar’ and ‘Jukhyang’ in hydroponics. Prot. Hortic. Plant Fact. 2017, 26, 424–431. [Google Scholar] [CrossRef]
- Yoon, H.S. Understand of Strawberry, 1st ed.; Book Publishing Jinsol: Seoul, Korea, 2010; pp. 7–33. [Google Scholar]
- Miner, G.S.; Poling, E.B.; Carroll, D.E.; Nelson, L.A.; Campbell, C.R. Influence of fall nitrogen and spring nitrogen-potassium applications on yield and fruit quality of ‘Chandler’ strawberry. J. Am. Soc. Hortic. Sci. 1997, 122, 290–295. [Google Scholar] [CrossRef]




| Treatment z | Average Flower Bud Development Stage y | |
|---|---|---|
| 10 Days before Transplanting | The Day of Transplanting | |
| W40 + N0 | 0.7 b x | 2.4 c |
| W30 + N10 | 1.0 b | 4.3 ab |
| W20 + N20 | 2.2 a | 5.5 a |
| W10 + N30 | 1.0 b | 5.1 a |
| W0 + N40 | 1.1 b | 3.3 bc |
| Treatment z | T-N y | C | P | K | Ca | Mg | S | C/N Ratio x |
|---|---|---|---|---|---|---|---|---|
| (%) | ||||||||
| W40 + N0 | 1.18 d w | 35.71 b | 0.20 c | 0.98 c | 1.71 bc | 0.44 a | 0.09 b | 30.55 a |
| W30 + N10 | 1.91 c | 35.61 b | 0.51 b | 1.57 b | 1.94 ab | 0.48 a | 0.11 b | 18.69 b |
| W20 + N20 | 2.19 b | 37.14 a | 0.61 ab | 1.57 b | 2.03 a | 0.49 a | 0.10 b | 17.02 bc |
| W10 + N30 | 2.18 b | 35.84 ab | 0.67 a | 1.81 ab | 1.89 ab | 0.50 a | 0.11 b | 16.54 bc |
| W0 + N40 | 2.46 a | 35.77 ab | 0.68 a | 1.98 a | 1.64 c | 0.48 a | 0.12 a | 14.58 c |
| Treatment z | Petiole Length (cm) | Leaf Length (cm) | Leaf Width (cm) | Root Length (cm) | SPAD Value | Crown Diameter (mm) |
|---|---|---|---|---|---|---|
| W40 + N0 | 27.79 b y | 8.93 c | 6.03 b | 22.60 a | 42.93 b | 10.20 a |
| W30 + N10 | 25.93 b | 9.37 bc | 6.26 ab | 18.95 a | 46.28 a | 10.21 a |
| W20 + N20 | 29.03 ab | 9.47 bc | 6.30 ab | 20.52 a | 46.30 a | 10.37 a |
| W10 + N30 | 31.53 a | 10.28 ab | 6.90 a | 20.61 a | 45.38 a | 9.85 a |
| W0 + N40 | 29.12 ab | 10.76 a | 6.65 ab | 21.72 a | 46.30 a | 10.28 a |
| Treatment z | Fresh Weight (g/plant) | Dry Weight (g/plant) | Leaf Area (cm2/plant) | ||
|---|---|---|---|---|---|
| Shoot | Root | Shoot | Root | ||
| W40 + N0 | 18.34 b y | 4.60 a | 4.61 a | 0.76 ab | 417.53 a |
| W30 + N10 | 17.51 b | 4.19 ab | 4.14 a | 0.78 a | 419.63 a |
| W20 + N20 | 21.47 ab | 4.03 ab | 4.24 a | 0.61 a–c | 501.40 a |
| W10 + N30 | 23.93 a | 3.50 ab | 4.58 a | 0.52 c | 544.33 a |
| W0 + N40 | 20.33 ab | 3.22 b | 3.98 a | 0.55 bc | 475.13 a |
| Treatment z | Fruit Length (mm) | Fruit Diameter (mm) | Fruit Weight (g/plant) | Fruit Firmness (N/Φ5 mm) | Soluble Solids Content (Brix) | ACIDITY (%) |
|---|---|---|---|---|---|---|
| W40 + N0 | 51.6 a y | 29.0 a | 19.4 a | 4.08 a | 12.7 a | 1.01 ab |
| W30 + N10 | 50.4 a | 31.2 a | 18.6 a | 3.79 ab | 13.0 a | 0.95 ab |
| W20 + N20 | 49.7 a | 28.2 a | 18.0 a | 3.49 b | 13.2 a | 1.03 a |
| W10 + N30 | 48.6 a | 28.8 a | 18.1 a | 3.49 b | 12.3 a | 0.98 ab |
| W0 + N40 | 48.9 a | 27.7 a | 17.0 a | 3.53 ab | 12.6 a | 0.90 b |
© 2020 by the authors. Licensee MDPI, Basel, Switzerland. This article is an open access article distributed under the terms and conditions of the Creative Commons Attribution (CC BY) license (http://creativecommons.org/licenses/by/4.0/).
Share and Cite
Hwang, H.S.; Jeong, H.W.; Lee, H.R.; Jo, H.G.; Kim, H.M.; Hwang, S.J. Acceleration of Flower Bud Differentiation of Runner Plants in “Maehyang” Strawberries Using Nutrient Solution Resupply during the Nursery Period. Agronomy 2020, 10, 1127. https://doi.org/10.3390/agronomy10081127
Hwang HS, Jeong HW, Lee HR, Jo HG, Kim HM, Hwang SJ. Acceleration of Flower Bud Differentiation of Runner Plants in “Maehyang” Strawberries Using Nutrient Solution Resupply during the Nursery Period. Agronomy. 2020; 10(8):1127. https://doi.org/10.3390/agronomy10081127
Chicago/Turabian StyleHwang, Hee Sung, Hyeon Woo Jeong, Hye Ri Lee, Hyeon Gyu Jo, Hyeon Min Kim, and Seung Jae Hwang. 2020. "Acceleration of Flower Bud Differentiation of Runner Plants in “Maehyang” Strawberries Using Nutrient Solution Resupply during the Nursery Period" Agronomy 10, no. 8: 1127. https://doi.org/10.3390/agronomy10081127
APA StyleHwang, H. S., Jeong, H. W., Lee, H. R., Jo, H. G., Kim, H. M., & Hwang, S. J. (2020). Acceleration of Flower Bud Differentiation of Runner Plants in “Maehyang” Strawberries Using Nutrient Solution Resupply during the Nursery Period. Agronomy, 10(8), 1127. https://doi.org/10.3390/agronomy10081127
