Browning of ‘Empire’ and ‘Fuji’ Apples as Affected by Antioxidant Activities
Abstract
1. Introduction
2. Materials and Methods
2.1. Plant Material and 1-MCP Treatment
2.2. Internal Ethylene Concentration (IEC)
2.3. Extraction of Enzymes
2.4. POX and PPO Activities
2.5. PAL Activity
2.6. Measurements of Color and Browning Assessment
2.7. Statistical Analysis
3. Results and Discussion
3.1. Internal Ethylene Concentration
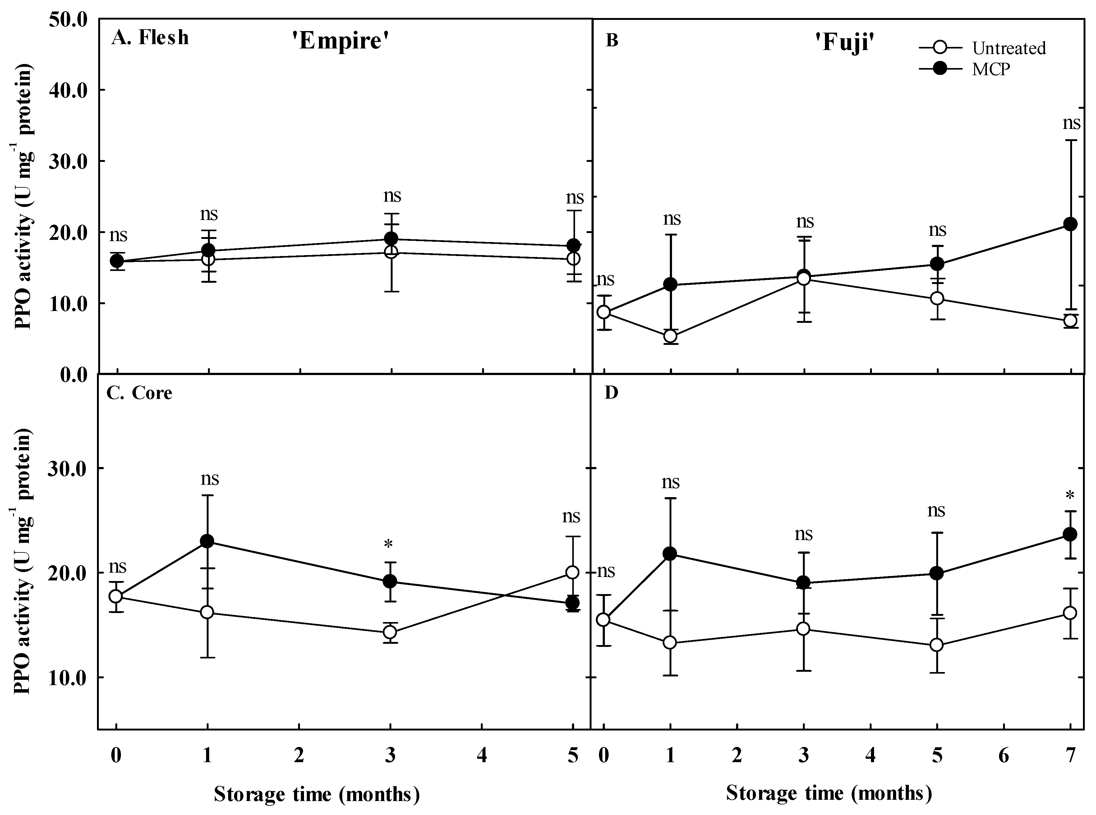
3.2. Antioxidant Enzymes
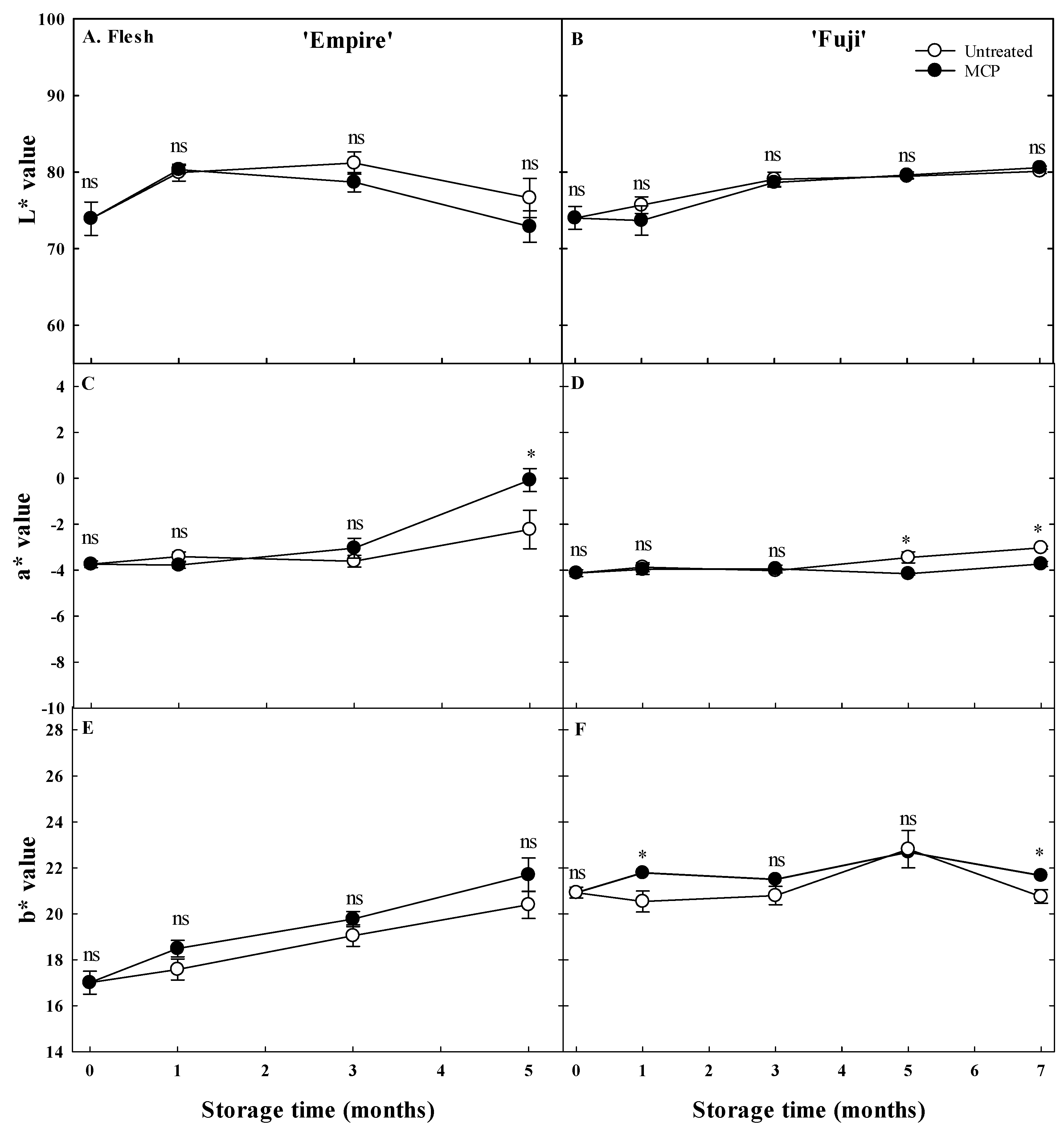
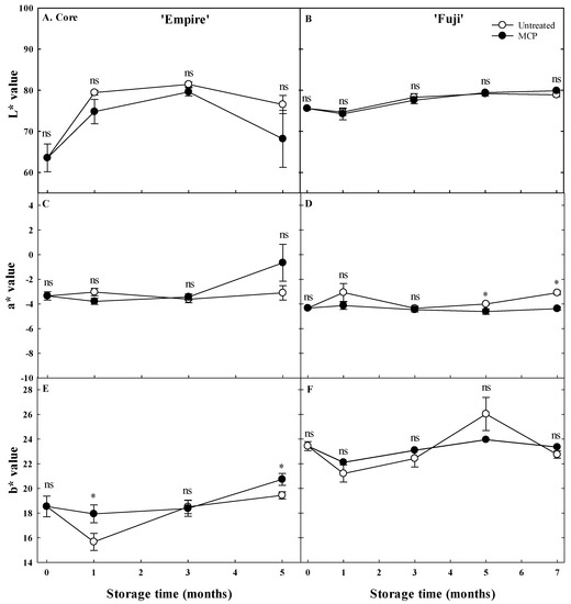
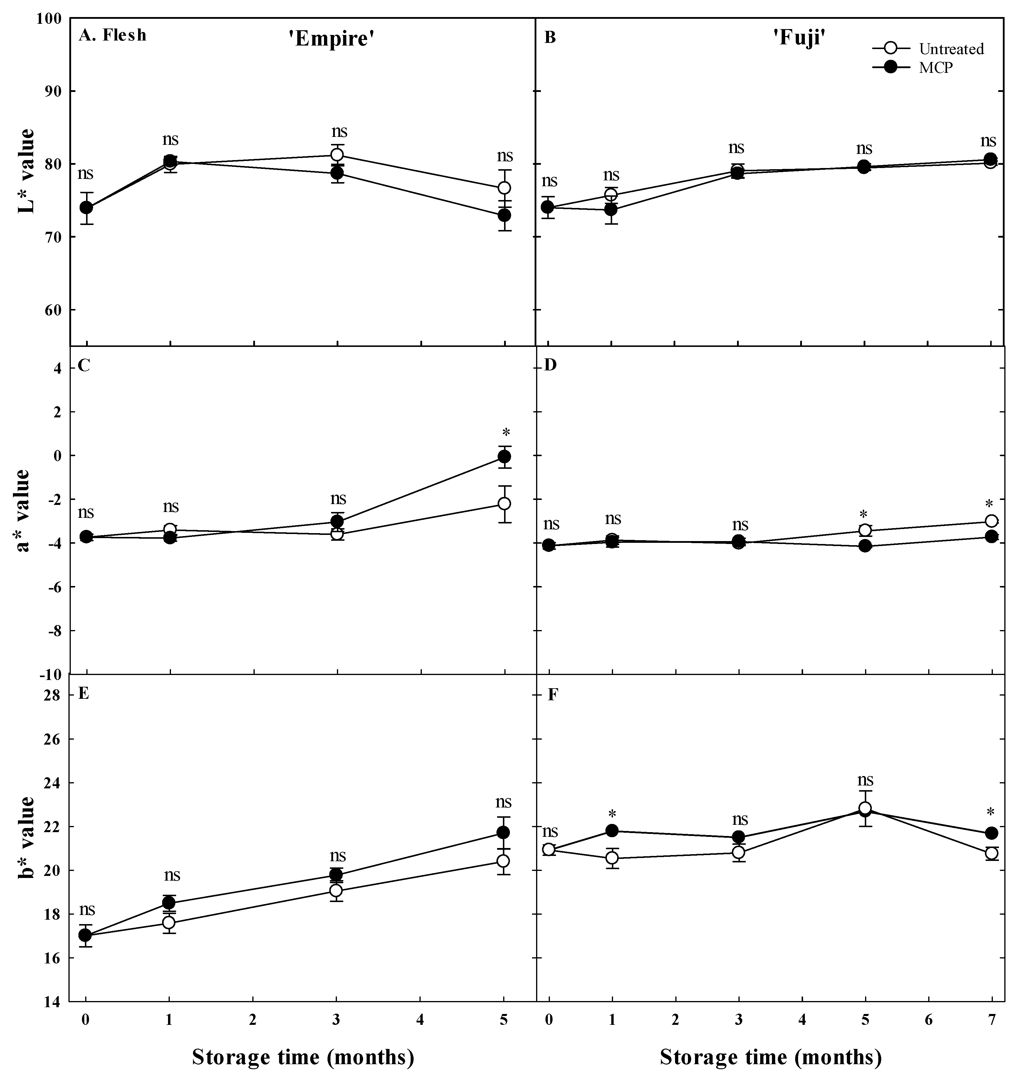
3.3. Browning and Color Value
4. Conclusions
Author Contributions
Funding
Acknowledgments
Conflicts of Interest
References
- Ferree, D.C.; Warrington, I.J. Apples; CABI Publishing: Wallingford, UK, 2003; 660p. [Google Scholar]
- Elgar, H.J.; Burmeister, D.M.; Watkins, C.B. Storage and handling effects on a CO2-related internal browning disorder of ‘Braeburn’ apples. HortScience 1998, 33, 719–722. [Google Scholar] [CrossRef]
- Lau, O.L. Effect of growing season, harvest maturity, waxing, low O2 and elevated CO2 on flesh browning disorders in ‘Braeburn’ apples. Postharvest Biol. Technol. 1998, 14, 131–141. [Google Scholar] [CrossRef]
- De Castro, E.; Barrett, D.M.; Jobling, J.; Mitcham, E.M. Biochemical factors associated with a CO2-induced flesh browning disorder of Pink Lady apples. Postharvest Biol. Technol. 2008, 48, 182–191. [Google Scholar] [CrossRef]
- James, H.J.; Jobling, J.J. Contrasting the structure and morphology of the radial and diffuse flesh browning disorders and CO2 injury of ‘Cripps Pink’ apples. Postharvest Biol. Technol. 2009, 53, 36–42. [Google Scholar] [CrossRef]
- Hatoum, D.; Buts, K.; Hertog, M.L.A.T.M.; Geeraerd, A.H.; Schenk, A.; Vercammen, J.; Nicolai, B.M. Effects of pre- and postharvest factors on browning in Braeburn. HortScience 2014, 41, 19–26. [Google Scholar] [CrossRef]
- Fawbush, F.; Nock, J.F.; Watkins, C.B. Antioxidant contents and activity of 1-methylcyclopropene (1-MCP)-treated ‘Empire’ apples in air and controlled atmosphere storage. Postharvest Biol. Technol. 2009, 52, 30–37. [Google Scholar] [CrossRef]
- James, H.; Nock, J.F.; Watkins, C.B. Internal browning in Empire apples in relation to harvest date. N. Y. Fruit Q. 2010, 18, 11–14. [Google Scholar]
- Watkins, C.B.; Liu, F.W. Temperature and carbon dioxide interactions on quality of controlled atmosphere-stored ‘Empire’ apples. HortScience 2010, 45, 1708–1712. [Google Scholar] [CrossRef]
- Jung, S.K.; Watkins, C.B. Involvement of ethylene in browning development of controlled atmosphere-stored ‘Empire’ apple fruit. Postharvest Biol. Technol. 2011, 59, 219–226. [Google Scholar] [CrossRef]
- Lee, J.W.; Cheng, L.; Rudell, D.R.; Watkins, C.B. Antioxidant metabolism of 1-methylcyclopropene (1-MCP) treated ‘Empire’ apples during controlled atmosphere storage. Postharvest Biol. Technol. 2012, 65, 79–91. [Google Scholar] [CrossRef]
- DeEll, J.R.; Lum, G.B. Effects of low oxygen and 1-methylcyclopropene on storage disorders of ‘Empire’ apples. HortScience 2017, 52, 1265–1270. [Google Scholar] [CrossRef]
- Amiot, M.J.; Tacchini, M.; Aubert, S.; Nicolas, J. Phenolic composition and browning susceptibility of various apple cultivars at maturity. J. Food Sci. 1992, 57, 958–962. [Google Scholar] [CrossRef]
- Schotsmans, W.C.; Prange, R.K.; Binder, B.M. 1-Methylcyclopropene: Mode of action and relevance in postharvest horticulture research. Hortic. Res. 2009, 35, 263–313. [Google Scholar]
- Rouf, A.; Naik, H.R.; Beigh, M.A.; Kanojia, V.; Mir, S.A.; Aafia, S.; Ayaz, Q.; Altaf, U. Enzymatic browning of apple and its control by chemical treatment: A review. Int. J. Food Sci. Nutr. 2018, 3, 81–88. [Google Scholar]
- Vilaplana, R.; Valentines, M.C.; Toivonen, P.; Larrigaudiere, C. Antioxidant potential and peroxidative state of ‘Golden Smoothee’ apples treated with 1-Methylcyclopropene. J. Amer. Soc. Hort. Sci. 2006, 131, 104–109. [Google Scholar] [CrossRef]
- Martinez, M.V.; Whitaker, J.R. The biochemistry and control of enzymatic browning. Trends Food Sci. Technol. 1995, 6, 195–200. [Google Scholar] [CrossRef]
- Sisler, E.C.; Serek, M. Inhibitors of ethylene responses in plants at the receptor level: Recent developments. Physiol. Plant 1997, 100, 577–582. [Google Scholar] [CrossRef]
- Watkins, C.B.; Nock, J.F.; Whitaker, B.D. Responses of early, mid and late season apple cultivars to postharvest application of 1-methylcyclopropene (1-MCP) under air and controlled atmosphere storage conditions. Postharvest Biol. Technol. 2000, 19, 17–32. [Google Scholar] [CrossRef]
- Kochhar, S.; Watkins, C.B.; Conklin, P.L.; Brown, S.K. A quantitative and qualitative analysis of antioxidant enzymes in relation to susceptibility of apples to superficial scald. J. Amer. Soc. Hort. Sci. 2003, 128, 910–916. [Google Scholar] [CrossRef]
- Bradford, M.M. A rapid and sensitive method for the quantitation of microgram quantities of protein utilizing the principle of protein-dye binding. Anal. Biochem. 1976, 72, 248–254. [Google Scholar] [CrossRef]
- Jung, S.K.; Watkins, C.B. Internal ethylene concentrations in apple fruit at harvest affect persistence of inhibition of ethylene production after 1-methylcyclopropene treatment. Postharvest Biol. Technol. 2014, 96, 1–6. [Google Scholar] [CrossRef]
- Kweon, H.J.; Kim, M.J.; Moon, Y.S.; Lee, J.W.; Choi, C.; Choi, D.G.; Lee, D.H.; Kang, I.K. Relationship between preharvest factors and the incidence of storage disorders in ‘Fuji’ apples during CA storage. Kor. J. Hort. Sci. Technol. 2012, 30, 50–55. [Google Scholar] [CrossRef]
- Bai, J.; Baldwin, E.A.; Goodner, K.L.; Mattheis, J.P.; Brecht, J.K. Response of four apple cultivars to 1-methylcyclopropene treatment and controlled atmosphere storage. HortScience 2005, 40, 1534–1538. [Google Scholar] [CrossRef]
- Larrigaudiere, C.; Lentheric, L.; Vendrell, M. Relationship between enzymatic browning and internal disorders in controlled-atmosphere stored pears. J. Sci. Food Agric. 1998, 78, 232–236. [Google Scholar] [CrossRef]
- Shaham, Z.; Lers, A.; Lurie, S. Effect of heat or 1-methylcyclopropene on antioxidative enzyme activities and antioxidants in apples in relation to superficial scald development. J. Amer. Soc. Hort. Sci. 2003, 128, 761–766. [Google Scholar] [CrossRef]
- Qu, H.; Duan, X.; Su, X.; Liu, H.; Jiang, Y. Effects of anti-ethylene treatments on browning and energy metabolism of harvested litchi fruit. Aust. J. Exp. Agric. 2006, 46, 1085–1090. [Google Scholar] [CrossRef]
- Watkins, C.B.; Nock, J.F. Effects of delays between harvest and 1-methylcyclopropene treatment, and temperature during treatment, on ripening of air-stored and controlled-atmosphere-stored apples. HortScience 2005, 40, 2096–2101. [Google Scholar] [CrossRef]







| Publisher’s Note: MDPI stays neutral with regard to jurisdictional claims in published maps and institutional affiliations. | 
© 2020 by the authors. Licensee MDPI, Basel, Switzerland. This article is an open access article distributed under the terms and conditions of the Creative Commons Attribution (CC BY) license (http://creativecommons.org/licenses/by/4.0/).
Share and Cite
Jung, S.-K.; Choi, H.-S. Browning of ‘Empire’ and ‘Fuji’ Apples as Affected by Antioxidant Activities. Agronomy 2020, 10, 1883. https://doi.org/10.3390/agronomy10121883
Jung S-K, Choi H-S. Browning of ‘Empire’ and ‘Fuji’ Apples as Affected by Antioxidant Activities. Agronomy. 2020; 10(12):1883. https://doi.org/10.3390/agronomy10121883
Chicago/Turabian StyleJung, Seok-Kyu, and Hyun-Sug Choi. 2020. "Browning of ‘Empire’ and ‘Fuji’ Apples as Affected by Antioxidant Activities" Agronomy 10, no. 12: 1883. https://doi.org/10.3390/agronomy10121883
APA StyleJung, S.-K., & Choi, H.-S. (2020). Browning of ‘Empire’ and ‘Fuji’ Apples as Affected by Antioxidant Activities. Agronomy, 10(12), 1883. https://doi.org/10.3390/agronomy10121883
 
        
