A New Type of Photo-Thermo Staged-Responsive Shape-Memory Polyurethanes Network
Abstract
:1. Introduction
2. Experimental
2.1. Materials
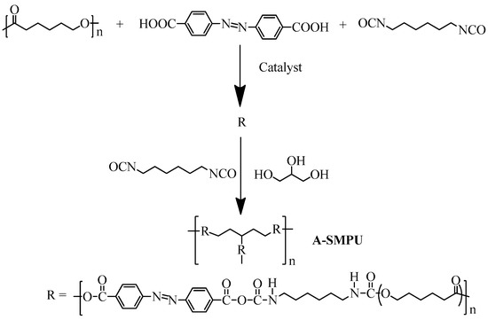
2.2. Preparation of Azobenzene Shape-Memory Polyurethanes (A-SMPUs)
2.3. Characterizations
3. Results and Discussion
3.1. Molecular Structure Analysis
3.2. Morphology Analysis
3.3. Thermal Properties of the A-SMPUs
3.4. Triple-Shape Memory Properties
3.5. Photo-Thermo Two-Staged Responsive Behaviors
4. Conclusions
Supplementary Materials
Acknowledgments
Author Contributions
Conflicts of Interest
References
- Guo, B.C.; Chen, Y.W.; Lei, Y.D.; Zhang, L.Q.; Zhou, W.Y.; Rabie, A.B.M.; Zhao, J.Q. Biobased poly (propylene sebacate) as shape memory polymer with tunable switching temperature for potential biomedical applications. Biomacromolecules 2011, 12, 1312–1321. [Google Scholar] [CrossRef] [PubMed]
- Kang, H.L.; Li, M.Q.; Tang, Z.H.; Xue, J.J.; Hu, X.R.; Zhang, L.Q.; Guo, B.C. Synthesis and characterization of biobased isosorbide-containing copolyesters as shape memory polymers for biomedical applications. J. Mater. Chem. B 2014, 2, 7877–7886. [Google Scholar] [CrossRef]
- Hu, J.; Chen, S. A review of actively moving polymers in textile applications. J. Mater. Chem. 2010, 20, 3346–3355. [Google Scholar] [CrossRef]
- He, B.; Li, H.; Jin, K. Shape memory polymer actuated hollow snap-fit design analysis. Mater. Des. 2013, 47, 539–550. [Google Scholar] [CrossRef]
- Lewis, C.L.; Dell, E.M. A review of shape memory polymers bearing reversible binding groups. J. Polym. Sci. Polym. Phys. 2016, 54, 1340–1346. [Google Scholar] [CrossRef]
- Liu, Y.J.; Du, H.Y.; Liu, L.W.; Leng, J.S. Shape memory polymers and their composites in aerospace applications: A review. Smart Mater. Struct. 2014, 23, 023001. [Google Scholar] [CrossRef]
- Song, G.B.; Gu, H.C.; Mo, Y.L. Smart aggregates: Multi-functional sensors for concrete structures-a tutorial and a review. Smart Mater. Struct. 2008, 17, 033001. [Google Scholar] [CrossRef]
- Havens, E.; Snyder, E.A.; Tong, T.H. Light-activated shape memory polymers and associated applications. Micro Nanosyst. Mater. Devices 2005, 872, 353. [Google Scholar]
- Leng, J.S.; Zhang, D.W.; Liu, Y.; Yu, K.; Lan, X. Study on the activation of styrene-based shape memory polymer by medium-infrared laser light. Appl. Phys. Lett. 2010, 96, 111905. [Google Scholar] [CrossRef]
- Baer, G.M.; Small, W.; Wilson, T.S.; Benett, W.J.; Matthews, D.L.; Hartman, J.; Maitland, D.J. Exploiting nonlinear recurrence and fractal scaling properties for voice disorder detection. Biomed. Eng. Online 2007, 6, 23. [Google Scholar]
- Ren, H.H.; Mei, Z.K.; Chen, S.J.; Zhuo, H.T.; Chen, S.G.; Yang, H.P.; Zuo, J.D.; Ge, Z.C. A new strategy for designing multifunctional shape memory polymers with amine-containing polyurethanes. J. Mater. Sci. 2016, 51, 9131–9144. [Google Scholar] [CrossRef]
- Chen, H.M.; Li, Y.; Tao, G.; Wang, L.; Zhou, S.B. Thermo-and water-induced shape memory poly (vinyl alcohol) supramolecular networks crosslinked by self-complementary quadruple hydrogen bonding. Polym. Chem. 2016, 7, 6637–6644. [Google Scholar] [CrossRef]
- Havens, E.; Dietsch, B.A.; Tong, T.H.; Hood, P.J. Spontaneous preparation of uniform silver nanoparticles embedded on peg-modified glass slides. Abstr. Pap. Am. Chem. Soc. 2005, 229, U984. [Google Scholar]
- Wu, Y.B.; Wang, L.; Zhao, X.; Hou, S.; Guo, B.L.; Ma, P.X. Self-healing supramolecular bioelastomers with shape memory property as a multifunctional platform for biomedical applications via modular assembly. Biomaterials 2016, 104, 18–31. [Google Scholar] [CrossRef] [PubMed]
- Gunes, I.S.; Jana, S.C. Shape memory polymers and their nanocomposites: A review of science and technology of new multifunctional materials. J. Nanosci. Nanotechnol. 2008, 8, 1616–1637. [Google Scholar] [CrossRef] [PubMed]
- Feng, X.Q.; Zhang, G.Z.; Zhuo, S.Y.; Jiang, H.Y.; Shi, J.L.; Li, F.B.; Li, H.J. Dual responsive shape memory polymer/clay nanocomposites. Compos. Sci. Technol. 2016, 129, 53–60. [Google Scholar] [CrossRef]
- Feng, W.; Zhou, W.F.; Dai, Z.H.; Yasin, A.; Yang, H.Y. Tough polypseudorotaxane supramolecular hydrogels with dual-responsive shape memory properties. J. Mater. Chem. B 2016, 4, 1924–1931. [Google Scholar] [CrossRef]
- Qi, X.D.; Jing, M.F.; Liu, Z.W.; Dong, P.; Liu, T.Y.; Fu, Q. Microfibrillated cellulose reinforced bio-based poly (propylene carbonate) with dual-responsive shape memory properties. RSC Adv. 2016, 6, 7560–7567. [Google Scholar] [CrossRef]
- Bai, Q.M.; Zhang, G.Z.; Xu, B.; Feng, X.Q.; Jiang, H.Y.; Li, H.J. Thermal and water dual-responsive shape memory poly (vinyl alcohol)/Al2O3 nanocomposite. RSC Adv. 2015, 5, 91213–91217. [Google Scholar] [CrossRef]
- Fan, Y.J.; Zhou, W.F.; Yasin, A.; Li, H.Z.; Yang, H.Y. Dual-responsive shape memory hydrogels with novel thermoplasticity based on a hydrophobically modified polyampholyte. Soft Matter 2015, 11, 4218–4225. [Google Scholar] [CrossRef] [PubMed]
- Wu, Y.; Hu, J.L.; Zhang, C.; Han, J.; Wang, Y.; Kumar, B. A facile approach to fabricate a UV/heat dual-responsive triple shape memory polymer. J. Mater. Chem. A 2015, 3, 97–100. [Google Scholar] [CrossRef]
- Bai, Y.K.; Chen, Y.; Wang, Q.H.; Wang, T.M. Poly (vinyl butyral) based polymer networks with dual-responsive shape memory and self-healing properties. J. Mater. Chem. A 2014, 2, 9169–9177. [Google Scholar] [CrossRef]
- Lu, H.B.; Huang, W.M.; Leng, J.S. On the origin of Gaussian network theory in the thermo/chemo-responsive shape memory effect of amorphous polymers undergoing photo-elastic transition. Smart Mater. Struct. 2016, 25, 065004. [Google Scholar] [CrossRef]
- Kumpfer, J.R.; Rowan, S.J. Thermo-, photo-, and chemo-responsive shape-memory properties from photo-cross-linked metallo-supramolecular polymers. J. Am. Chem. Soc. 2011, 133, 12866–12874. [Google Scholar] [CrossRef] [PubMed]
- Xie, H.; Deng, X.Y.; Cheng, C.Y.; Yang, K.K.; Wang, Y.Z. New Strategy to Access Dual-Stimuli-Responsive Triple-Shape-Memory Effect in a Non-overlapping Pattern Macromol. Rapid Commun. 2017, 38, 1600664. [Google Scholar] [CrossRef] [PubMed]
- Chen, S.J.; Mo, F.N.; Chen, S.G.; Ge, Z.C.; Yang, H.P.; Zuo, J.D.; Liu, X.K.; Zhuo, H.T. New insights into multi-shape memory behaviours and liquid crystalline properties of supramolecular polyurethane complexes based on pyridine-containing. J. Mater. Chem. A 2015, 3, 19525–19538. [Google Scholar] [CrossRef]
- Ban, J.F.; Mu, L.N.; Yang, J.H.; Chen, S.J.; Zhuo, H.T. New stimulus-responsive shape-memory polyurethanes capable of UV light-triggered deformation, hydrogen bond-mediated fixation, and thermal-induced recovery. J. Mater. Chem. A 2017. [Google Scholar] [CrossRef]
- Lin, J.R.; Chen, L.W. Study on shape-memory behavior of polyether-based polyurethanes. II. Influence of soft-segment molecular weight. J. Appl. Polym. Sci. 1998, 69, 1575–1586. [Google Scholar] [CrossRef]
- Ban, J.F.; Zhu, L.J.; Chen, S.J.; Wang, Y.P. The Effect of 4-Octyldecyloxybenzoic Acid on Liquid-Crystalline Polyurethane Composites with Triple-Shape Memory and Self-Healing Properties. Materials 2016, 9, 792. [Google Scholar] [CrossRef]








| Samples | Hard segments | Soft segments | Gl (g) | Content of azoa (wt %) | ||
|---|---|---|---|---|---|---|
| Azoa (g) | HDI (g) | PCL (g) | HDI (g) | |||
| P1 (8:2) | 3.20 | 1.98 | 11.80 | 0.50 | 0.90 | 17.4 |
| P2 (6:4) | 1.40 | 0.85 | 13.60 | 0.57 | 0.52 | 8.2 |
| P3 (5:5) | 0.95 | 0.59 | 14.05 | 0.59 | 0.43 | 5.7 |
| P4 (4:6) | 0.65 | 0.40 | 14.35 | 0.60 | 0.37 | 4.0 |
© 2017 by the authors. Licensee MDPI, Basel, Switzerland. This article is an open access article distributed under the terms and conditions of the Creative Commons Attribution (CC BY) license (http://creativecommons.org/licenses/by/4.0/).
Share and Cite
Yang, J.; Wen, H.; Zhuo, H.; Chen, S.; Ban, J. A New Type of Photo-Thermo Staged-Responsive Shape-Memory Polyurethanes Network. Polymers 2017, 9, 287. https://doi.org/10.3390/polym9070287
Yang J, Wen H, Zhuo H, Chen S, Ban J. A New Type of Photo-Thermo Staged-Responsive Shape-Memory Polyurethanes Network. Polymers. 2017; 9(7):287. https://doi.org/10.3390/polym9070287
Chicago/Turabian StyleYang, Jinghao, Hao Wen, Haitao Zhuo, Shaojun Chen, and Jianfeng Ban. 2017. "A New Type of Photo-Thermo Staged-Responsive Shape-Memory Polyurethanes Network" Polymers 9, no. 7: 287. https://doi.org/10.3390/polym9070287
APA StyleYang, J., Wen, H., Zhuo, H., Chen, S., & Ban, J. (2017). A New Type of Photo-Thermo Staged-Responsive Shape-Memory Polyurethanes Network. Polymers, 9(7), 287. https://doi.org/10.3390/polym9070287
