Abstract
Dnsity functional theory (DFT) calculations have been carried out for the highly selective cis-1,4-polymerization of butadiene catalyzed by a cationic rare-earth metal complex bearing an ancillary PNP ligand. It has been found that the chain initiation and propagation of butadiene polymerization occurs via the favorable cis-1,4-insertion route. The trans-1,4 and 1,2-insertion are unfavorable both kinetically and thermodynamically. The chain growth follows the π-allyl-insertion mechanism. The analyses of energy decomposition of transition states indicate that the likelihood of rival insertion pathways is predominantly controlled by the interaction energy of butadiene with a metal center and the deformation energy of butadiene moiety. The electronic factor of the central metal has a decisive influence on the cis- vs. trans-insertion and the regioselectivity (cis-1,4- vs. cis-1,2-insertion) is mainly determined by steric hindrance. Tetrahydrofuran (THF) coordination made monomer insertion less favorable compared with THF-free case and had more noticeable impact on the trans-monomer insertion compared with the cis case. During the chain propagation, cis-insertion of monomer facilitates THF de-coordination and the THF molecule could therefore dissociate from the central metal.
1. Introduction
The microstructures of polyisoprene (PIP) and polybutadiene (PBD) have significant influences on its physical and chemical properties, and hence for certain usage [1,2,3,4]. cis-1,4 selective polymerization of isoprene and butadiene is a very important process in the chemical industry to provide products that are among the most significant and widely used rubbers [5,6]. Generally, it is believed that a slight increase in the cis-1,4 regularity of the product leads to a great improvement in the elastic properties [6,7]. Therefore, the synthesis of PIP and PBD with high cis-1,4-selectivity has attracted considerable interest. In this content, transition metal complexes have been widely used as precatalysts, which showed excellent performance in isoprene and butadiene polymerization [8,9,10]. However, catalyst systems showing high both activity and stereoselectivity for isoprene and butadiene polymerization remained less. Therefore, further exploration of new and highly active catalysts for stereoselective synthesis of such polymers with narrow molecular-weight distribution and desired microstructure is obviously attractive.
Cationic rare-earth metal alkyl species with various ancillary ligands were reported to show high activity and cis-1,4-selectivety in the polymerization of isoprene and butadiene. Among which, besides metallocene rare earth metal complex [4,11,12,13,14,15,16,17], nonmetallocene complexes were also reported for the cis-1,4-selective polymerization of isoprene and butadiene [4,7,18,19,20,21,22,23,24,25]. Notably, Hou and coworkers had reported a best-defined catalyst system based on a cationic alkyl Y metal species bearing an ancillary PNP (PNPPh = [2-(Ph2P)C6H4]2N) ligand, [(PNPPh)Y(CH2SiMe3)]+ (1, Chart 1) [18]. This non-metallocene rare-earth metal catalyst with no need of any aluminum additives exhibited extremely high cis-1,4 selectivity (>99%) and excellent livingness for the polymerization of isoprene and butadiene. Subsequently, the same group had demonstrated that an amidinate-ligated aminobenzylyttrium complex, in combination with [Ph3C][B(C6F5)4], is an excellent catalyst system for the 3,4-polymerization of isoprene [19]. However, the addition of a small amount of AlMe3 (3–5 equivalents) to the system led to the formation of complex 2 (Chart 1). Interestingly, upon activation, 2 shows high cis-1,4-selectivity toward isoprene polymerization [19]. The NCN-pincer stabilized rare earth metal chlorides (3 and 4), in combination with aluminum trialkyl and arylborate salt, were also reported to be highly active and cis-1,4-selective catalyst systems toward isoprene polymerization [7,20]. Besides the cis-1,4- and 3,4-selective polymerizations [19,26], non-metallocene rare-earth metal complexes also showed excellent activity toward highly trans-1,4-(co)polymerizations of conjugated dienes [27]. However, compared with the experimental synthesis of such polymers, the related mechanism and factors governing the selectivity for these catalytic systems have remained unclear.
Chart 1.
Representative examples of non-metallocene rare-earth metal complexes for cis-1,4-polymerization of isoprene. (1) ({2-(Ph2P)C6H4}2N)Ln(CH2SiMe3)2(thf)n; (2) (PhC(NC6H4iPr2-2,6)2)YMe2(AlMe3)2; (3) (2,6-(2,6-C6H3R2N=CH)2-C6H3)LnCl2(THF)2; (4) ((S,S)-Phebox-iPr)LnCl2(THF)2).
Computational analysis on the mechanism of various olefin polymerizations has led to a new level of insight in the electronic structure features governing reactivity and selectivity [28,29,30,31,32,33,34,35,36,37,38,39,40,41,42]. Based on DFT studies, Maron and co-workers clarified and rationalized the observed preference for cis-1,4 polymerization of isoprene by a cationic metallocene rare-earth [Cp*ScR]+ complex [29]. In their study, the difference in energy barrier between the cis-1,4 and trans-1,4 butadiene insertions into [Cp*Sc(η3-syn-C8H13)]+ correlated with the difference in butadiene coordination to the metal center. The mechanistic study of the copolymerization of ethylene with butadiene catalyzed by neodymocene complexes has been presented in the literature [41]. This study also offers a survey of the ligand effects on the activity of catalysts and the microstructure of the resulting copolymers. Our group reported a DFT study on trans-1,4-specific polymerization of isoprene catalyzed by the cationic heterobimetallic half-sandwich complex [(C5Me5)La(AlMe4)]+ [35]. The results showed that the AlMe3 serves as a ligand to regulate polymerization selectivity. In comparison with computational studies on the polymerization of isoprene and butadiene catalyzed by metallocene rare-earth catalysts, the investigation on the mechanistic details of the polymerization of isoprene or butadiene catalyzed by non-metallocene rare-earth species is very limited.
Herein, we present the results of DFT calculations on the possible mechanism for the isoprene and butadiene polymerization catalyzed by a non-metallocene rare-earth catalyst. The cationic alkyl complex [(PNPPh)Y(CH2SiMe3)]+ (1+, derived from 1 in Chart 1) [18] was selected as a model catalyst for two reasons: (a) This catalyst system provides extremely high cis-1,4 selectivity for the polymerization of isoprene and butadiene; (b) There was no need to introduce aluminum additives to the catalyst system, which is a benefit to the mechanistic study. Considering that the polymerizations of butadiene and isoprene showed the same selectivity [18], we considered the case of butadiene. In some cases, isoprene was considered to further confirm our conclusion. Alongside this investigation, we aim to explore the intrinsic factors controlling its regio- and stereo-chemistry and provide fundamental understandings and guidelines for the development of efficient and structurally tailorable catalysts.
2. Computational Details
All the DFT calculations were performed with the Gaussian 09 program [43]. The B3PW91 [44,45] hybrid exchange-correlation functional was used for geometry optimization and subsequent frequency calculation. The 6-31G* basis set was used for H, C, O, and N atoms, and the P, Si, and Y atoms were treated by the Stuttgart/Dresden effective core potential (ECP) and the associated basis sets. The basis sets for the Si and P atoms were augmented by one d-polarization function with exponents of 0.284 and 0.389, respectively. Such basis sets are donated as BSI. Single point energy calculations were also performed for the B3PW91/BSI geometries by using the M06 [46] functional and a larger basis set BSII. In the BSII, 6-31+G** was used for H, C, O, and N atoms, and the basis set for Si, P, and Y atoms is same as that in geometry optimizations. In these single-point calculations, solvation effects were considered with the IEFPCM model [47]. Toluene (ε = 2.37) was employed as a solvent in the IEFPCM solvation calculations. The reported Gibbs free energies in solution were calculated at the level of M06(IEFPCM)/BSII, including the corresponding thermal corrections derived from gas-phase frequency calculations.
3. Results and Discussion
It is well recognized that the chain initiation proceeds by the insertion of butadiene into the metal–alkyl bond [48]. This leads to a species with butenyl moiety, which is ligated to the metal center in an η3 mode. In general, there are eight different coordination modes of butadiene to the central metal. However, due to the symmetry of cationic catalyst backbone, the pairs of stereoisomers are identical. Therefore, only four different modes of butadiene coordination (η2-cis, η2-trans, η4-cis, η4-trans) and two different structures of the butenyl end group (η3-anti, η3-syn) were considered to elucidate of the mechanism of stereoregulation. The reported coordination/insertion forms are corresponding favorable ones. Based on the previous computational studies [28,31,35,48], one may propose that the reaction process for polymerization of butadiene catalyzed by rare-earth metal complexes has five possible pathways (Scheme 1): (a) 1,2-insertion of butadiene into the metal–alkyl bond to form 1,2-polybutadiene; (b) trans-butadiene 1,4-insertion into the terminal of η3-syn-metal–allyl linkage (M–C1) to form trans-1,4-polybutadiene; (c) butadiene insertion into the internal of η3-metal–allyl linkage (M–C3) to form 1,2-polybutadiene; (d) cis-butadiene 1,4-insertion into the terminal of η3-anti- metal–allyl linkage (M–C1) to form cis-1,4-polybutadiene; (e) interconversion of the syn and anti forms of the metal–allyl linkage to form corresponding polybutadiene.
Scheme 1.
Possible reaction pathways for butadiene polymerization catalyzed by rare-earth metal complexes.
3.1. Cationic Species
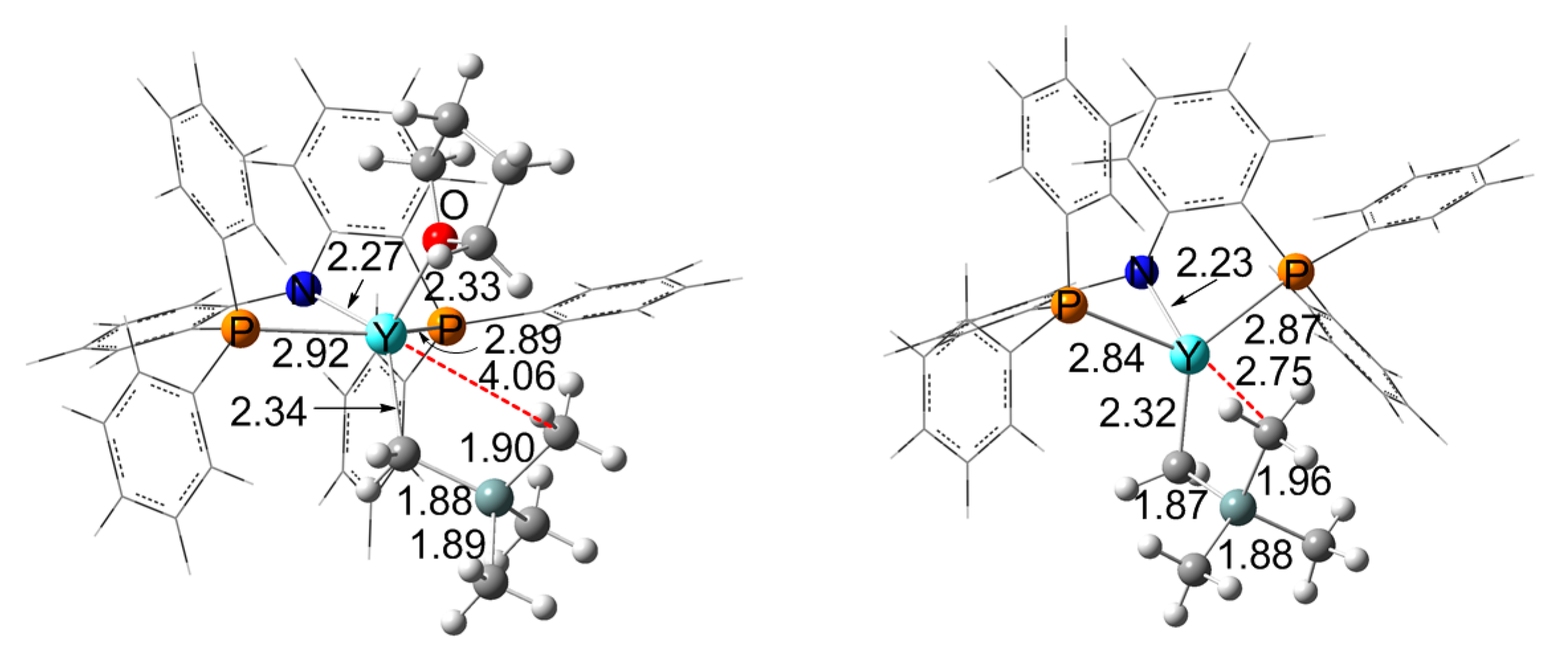
Experimentally, monitoring the reaction of [(PNPPh)Y(CH2SiMe3)2(thf)] with one equivalent of [PhMe2NH][B(C6F5)4] in C6D5Cl by 1H NMR spectroscopy showed the formation of [(PNPPh)Y–(CH2SiMe3)(thf)]+ (thfA) [18]. This result suggested that thfA may be the true active species during the polymerization process. A previous theoretical study on a metallocene system suggested that THF-coordinated cationic species worked in chain initiation, but THF-free cationic complex was the true active species during the chain propagation [36]. In order to investigate the effect of THF on the current butadiene polymerization, both thfA and THF-free cationic species ([(PNPPh)Y–(CH2SiMe3)]+, A) were considered in the present study. As shown in Figure 1, the tridentate coordination mode is retained in the cationic species. The optimized structure of A shows an significant agostic interaction between metal center and a methyl carbon atom of the SiMe3 group, as manifested by the short Y∙∙∙C contact (2.75 Å) and elongated Si–C bond length (1.96 Å) in comparison with the normal Si–C bond length of 1.88 Å. In thfA, the distance of Y∙∙∙C is 4.06 Å and Si–C bond length (1.90 Å) is similar to the normal Si–C bond length. Due to the coordination of THF, the bond length of Y–P in thfA is longer than that in A. It is noteworthy that the activation by [PhMe2NH][B(C6F5)4] resulted in a discrete contacted ion pair [18]. In this ion pair, the fluoroaryl borates anion did not directly coordinate to the central metal, but just had weak electrostatic interaction with the cationic species. This experimental finding suggests that the anion could have a negligible effect on the polymerization mechanism. In previous theoretical studies, the effect of counterions was also neglected when predicting the stereoselectivity and regioselectivity [30,35,49], it is reasonable to assume that the magnitude of the effect of anion should be the same for all different types of insertions. Thus, the minor effect of fluoroaryl borates on the prediction of stereoselectivity and regioselectivity was not considered in this study.
Figure 1.
Optimized structures of cationic species thfA (left) and A (right) (distances in Å).
3.2. Chain Initiation Stage
To investigate the chain initiation of butadiene polymerization, the energy profiles for the insertions of cis- and trans-butadiene into the Y–alkyl bond of cationic species thfA and A were computed, respectively. As shown in Figure 2, in the case of both with and without THF, the cis-insertion pattern is more favorable both kinetically and thermodynamically. The presence of THF results in a higher energy barrier (12.1 vs. 8.9 kcal/mol, Figure 2). This is consistent with the previous studies [36]. It is noted that the difference in energy barrier between with and without THF cases (∆∆G‡ = ∆thfG‡ − ∆G‡) are 4.8 (18.2 − 13.4 = 4.8) and 3.2 (12.1 − 8.9 = 3.2) kcal/mol for the insertions of trans- and cis-conformers, respectively (Figure 2). This result suggests that THF coordination made monomer insertion less favorable compared with the THF-free case and had more noticeable impact on the trans-monomer insertion compared with the cis case. The computed results indicate that the 1,2-insertion has higher energy barrier and is less competitive (∆G‡1,2 = 16.0 kcal/mol for thfA case and 19.6 kcal/mol for A case, see Figures S1 and S2 in the Supporting Information). Therefore, the 1,2-insertion will be not considered in the following calculations.
Figure 2.
Computed energy profiles (∆G in kcal/mol) for insertion of the first butadiene monomer into the Y–alkyl σ-bond of the cationic species thfA or A.
The transition structures of thfTS1cis and thfTS1trans for the thfA case and TS1cis and TS1trans for the A case are shown in Figure 3. As indicated in this Figure, cis-butadiene coordinates to the metal center via η4-pattern, as suggested by the Y∙∙∙Ci (i = 1, 2, 3, and 4) distances (2.5–2.9 Å). However, trans-butadiene coordinates to the metal center via η2-pattern in the thfTS1trans due to the repulsive interaction between butadiene and THF moiety. The geometric data in Figure 3 suggest that the barrier difference between cis and trans insertions could be ascribed to the degree of C4–Cα bond formation in the TS1 species along with the reaction coordinates. That is, the distances of C4∙∙∙Cα in TS1cis and thfTS1cis are much longer than that in TS1trans and thfTS1trans, suggesting that the cis insertion could reach the transition state earlier than the trans-insertion. Moreover, the distances of C4∙∙∙Cα in TS1 are much longer than that in thfTS1, also suggesting that the insertion event in the case of no THF could reach the transition state earlier compared to the case of THF-coordinated species.
Figure 3.
Transition state structures (distances in Å) for the cis- and trans-insertion of butadiene into the Y–alkyl σ-bond of the cationic species thfA or A.
3.3. Chain Propagation Stage
Two mechanisms have been proposed for the chain propagation step [28]. One is the σ-allyl-insertion mechanism (η1-σ-metal–allyl form) assumed by Cossée and Arlmann [50,51]. The other is the π-allyl-insertion mechanism (η3-π-metal–allyl form) proposed by Taube and coworkers [52]. During this stage, the chain propagation and its stereoselectivity and regioselectivity have been investigated.
The configurations of the incoming butadiene and butenyl units as well as their enantiofaces involved in chain propagation are of importance for the regio- and stereo-selectivity in the polymerization process. Scheme 2 depicts the stereoisomers of cis- or trans-butadiene and anti-butenyl–Y linkages formed by favorable cis-butadiene insertion in the chain initiation step. All the possible isomers of key stationary points, which participate in the various pathways for chain propagation, have been carefully explored. According to Scheme 2, 1,4-units can be obtained through both σ-allyl-insertion and π-allyl-insertion mechanisms, in which butadiene monomer inserts into the terminal carbon atom (C1). However, 1,2-units only can be obtained from the insertion of butadiene into Y–C3 bond, following the π-allyl-insertion mechanism.
Scheme 2.
Proposed patterns for insertion of cis- and trans-butadiene into the anti-butenyl–Y linkage, affording 1,4- and 1,2-butadiene polymer unit.
3.3.1. With THF
The energy profile for insertion of the second butadiene into metal–allyl bond of thfP1cis is calculated for modeling chain propagation, and the results are summarized in Table 1. As shown in this table, the π-complex η3-thfC2cis with η3-cis form is more stable than η1-thfC2cis featuring η1-cis fashion by ca. 8 kcal/mol. The attempts to locate a corresponding η1-thfC2trans complex were fruitless, but resulted in a η3-thfC2trans species instead. These results suggest that the haptotropic shift from η3 to η1 species is thermodynamically unfavorable. After the formation of the pre-reaction complex (thfC2), the insertion of butadiene occurs through the transition state thfTS2 and then leads to the insertion product thfP2. The results indicate that insertion of the second butadiene into thfP1cis prefers the π-allyl-insertion rather than σ-allyl-insertion. The η3-cis-1,4 insertion is computed to be the most favorable process as suggested by the lowest activation barrier of 28.6 kcal/mol for η3-thfTS2cis-1,4. For the η3-cis-1,4 insertion of isoprene, the lowest activation barrier is 37.6 kcal/mol. However, these energy barriers are too high when compared with the excellent livingness at room temperature in experiment [18]. Moreover, the energy barrier gap between the η3-cis-1,4 insertion and other insertion fashions is not large enough (∆∆G‡ = 1.6–3.2 kcal/mol), which is inconsistent with the extremely high cis-1,4 selectivity (>99%) observed in the present system [18].
Table 1.
Energy profiles a for insertion of the second butadiene into the metal–butenyl bond of thfP1cis.
When the transition structures are analyzed (Figure 4), it is found that the Y···Othf distances of 2.58 and 2.60 Å in η3-thfTS2cis-1,4 and η3-thfTS2cis-1,2 are longer than that in η3-thfTS2trans-1,4 (2.48 Å) and η3-thfTS2trans-1,2 (2.47 Å). This means that the cis-insertion of the second butadiene facilitates the dissociation of THF molecule from the metal center.
Figure 4.
Transition state structures (distances in Å) for the cis- and trans-insertions of butadiene into the Y–allyl π-bond of the thfP1cis.
3.3.2. Without THF
As the insertion of the second monomer dose in the case of thfP1cis, both cis- and trans-insertions of the incoming monomer into the metal–allyl π-bond of P1cis were calculated. The calculated energies are listed in Table 2 and the structures of transition state are shown in Figure 5. Like the insertion into thfP1cis, the insertion of the second butadiene into P1cis also prefers the π-allyl-insertion rather than σ-allyl-insertion. The comparison of the energy profile of the most feasible pathways reveals that cis-insertions are distinctly preferred against the trans-insertions. The significant kinetic gap (∆∆G‡ = 7.9–10.7 kcal/mol) between the cis and trans forms indicates that trans-insertion into the metal–C bond would be uncompetitive. As shown in Table 2, the cis-1,4-insertion into the metal–allyl π-bond to generate an expected cis-1,4 sequence is most favorable, which has the lowest energy barrier (∆G‡ = 6.9 kcal/mol) and is much more exergonic (∆G = −16.5 kcal/mol), suggesting that the π-allyl-insertion mechanism works in the current system. These results are in good agreement with the experimental observation [18], in which no trans-1,4 polyisoprene (∆∆G‡ = 14.8 − 6.9 = 7.9 kcal/mol) was observed and small fraction 3,4-polyisoprene (∆∆G‡ = 10.5 − 6.9 = 3.6 kcal/mol) was included in the resultant polymer.
Table 2.
Energy Profiles a for insertion of the second butadiene into the metal–butenyl bond of P1cis.
Figure 5.
Transition state structures (distances in Å) for the cis- and trans-insertion of butadiene into the metal–allyl π-bond of the P1cis.
As shown in Figure 5, the transition states appear at the distance of 2.16–2.32 Å of the emerging C4′−C1 σ-bond to form a 1,4-sequence and that of 2.06–2.20 Å of the emerging C4′–C3 σ-bond to form 1,2-sequence. They are significantly smaller than that for insertion of the second butadiene into thfP1cis. Therefore, the distance of the emerging C–C bond in transition state is related to the coordination number of the metal center: the larger the coordination number, the longer of the C–C distance. This is coincident with the previous results reported by Tobisch [53].
The interconversion of anti and syn forms of the metal–allyl linkage is another important elementary step, which may play a decisive role in cis-trans stereoregulation of the polymerization process. Our results indicate that the isomerization of the thfP1cis to thfP1trans needs a higher energy barrier (∆G‡ = 23.9 kcal/mol) compared to the insertion of the second monomer and is endergonic (∆G = 2.8 kcal/mol). It is noted that many attempts to locate a transition state for interconversion (isomerization) between η3-P2cis and η3-P2trans were fruitless. This could be ascribed to the highly steric crowding around the metal center. The DFT study by Tobisch [28] and our previous work [35] showed that allylic isomerization is more kinetically demanding than butadiene or isoprene insertion. Therefore, the interconversion of anti- and syn-forms could be excluded in the present butadiene polymerization system.
For better understanding, the most feasible pathway is collected in Figure 6. As shown in this Figure, the insertion of the first monomer is predicted to have a higher energy barrier than that of the second one. The former needs to amount an energy barrier of 12.1 kcal/mol and is driven by thermodynamics (exergonic by 22.7 kcal/mol, Figure 6). After the chain initiation, the THF molecule could dissociate from the metal center. The insertion of the second monomer overcomes a free energy barrier of 6.9 kcal/mol and is exergonic by 16.5 kcal/mol. For the η3-cis-1,4 insertion of isoprene, the lowest energy barrier is 11.8 kcal/mol and is exergonic by 12.5 kcal/mol. Such energy barrier values are relatively low, accounting for the high activity observed experimentally [18].
Figure 6.
Energy profiles (∆G in kcal/mol) for the most favorable pathway: (a) Chain initiation during which THF coordinates to a metal center; (b) Chain propagation during which there is no THF coordination to the metal.
3.4. Effect of THF
As previously mentioned, the THF-free cationic species could be the true active species during the chain propagation with respect to the observed extremely high cis-1,4 selectivity and excellent livingness. However, in general, the coordination of THF molecule to the metal center is relatively strong. The dissociation free energy of THF from metal center is 20.1 kcal/mol for thfA, which is higher than the free energy barriers for the butadiene insertion into A (8.9 kcal/mol, Figure 2) and thfA (12.1 kcal/mol). For thfP1cis, the THF dissociation free energy is 24.8 kcal/mol, which is lower than the free energy barrier for the butadiene insertion into thfP1cis (28.6 kcal/mol, Table 1). It is found that the coordination energy of THF is larger than that for butadiene. Thus, butadiene displaces THF molecules only from a small equilibrium fraction of the active species. Once THF molecule dissociates from the metal center, the insertion of butadiene monomer will continuously occur until THF molecule re-coordination. Thus, the butadiene polymerization would be an “intermittent” event. This phenomenon is similar to the coordination of counterions with cationic species [54]. However, under the experimental condition, the concentration of butadiene monomer is significantly higher than that of THF in the solution. In this sense, successive insertion of a monomer could smoothly occur.
It is noteworthy that the free energy barrier for the butadiene insertion into the THF-coordinating species thfP1cis (28.6 kcal/mol) is lower than the sum (24.8 + 6.9 = 31.7 kcal/mol) of the dissociation free energy of THF in thfP1cis and the free energy barrier for the butadiene insertion into the THF free-species P1cis. However, in the case of isoprene, the situation is opposite (37.6 vs. 20.9 + 11.8 = 32.7 kcal/mol). These results could be responsible for the previous butadiene polymerization experiment [18], where a certain amount of AliBu3 was used for the purpose of purification and possibly facilitating THF dissociation. However, for the polymerization of isoprene, there was no need to introduce aluminum additives to the reaction system. In addition, the experimental study also showed that the reaction of [(PNPPh)Y(CH2SiMe3)2(thf)] with one equivalent of [PhMe2NH][B(C6F5)4] in THF resulted in the formation of [(PNPPh)Y–(CH2SiMe3)(thf)2]+. However, this bis(thf)-coordinated cationic complex was inactive under the experimental conditions [18]. This result indirectly indicated that THF coordination hampered the diene polymerizations.
As discussed above, the current results suggest that, in chain initiation step, the trans-monomer insertion was kinetically unfavorable in the case of THF coordination compared with the case of THF-free. The insertion of cis-butadiene is more beneficial to the dissociation of THF molecules from the metal center than trans-conformer. Additionally, THF could depart from the metal center during chain growth.
3.5. The Origin of the Selectivity
To elucidate the origin of the kinetic preference for such a selectivity, we further analyzed the geometries and energies of η3-TS2cis-1,4, η3-TS2cis-1,2, and η3-TS2trans-1,4. An analysis of the energy decomposition of η3-TS2 was performed [55]. The energies of the fragments [(PNPPh)Y]2+ (PNP), butadiene (Bu), and [(C4H6)(CH2SiMe3)]− (Chain) in the geometry they have in the three transition states were evaluated via single-point calculations. Such single-point energies of the fragments and the energy of transition states were used to estimate the interaction energy Eint. These energies, together with the energy of the respective fragments in their optimal geometry, allow for the estimation of the deformation energies of the three fragments, ∆Edef (PNP), ∆Edef (Bu), and ∆Edef (Chain). As the energy of the transition state, ∆ETS, is evaluated with respect to the energy of the three separated fragments, the relation ∆ETS = ∆Eint + ∆Edef (PNP) + ∆Edef (Bu) + ∆Edef (Chain) holds.
As shown in Table 3, the interaction of butadiene and propagation chain with the metal center in the cis-transition-state is stronger than in the trans-analog. Although the formation of cis-adducts is less favorable energetically (Table 2) than that of the trans-analog, its geometry efficiently prepares for the transition state because the energy barrier for cis-insertion is lower than that for trans-insertion. Therefore, the higher energy barrier for trans-1,4 insertion could be attributed to the weak interaction among the fragments in η3-TS2trans-1,4, which further could be responsible for the unfavorable trans-1,4 selectivity. This is consistent with the previous DFT study for cis-1,4 polymerization of butadiene by cationic [Cp*ScR]+ complex [29]. The trans-1,4 polymerization by terpyridine-iron catalyst was attributed to the electronic ground, while steric factors had a small influence [28]. Structurally, the butadiene is closer to the metal center in the cis transition structure than that in the trans one (as shown in Figure 5). The C1′–Y distance is 3.08 Å in the η3-TS2trans-1,4, which is further than in the η3-TS2cis-1,4 (2.81 Å) and η3-TS2cis-1,2 (2.77 Å). Thus, for the non-metallocene metal complexes, the electronic factor of the central metal has a decisive influence on the cis- vs. trans-insertion, which further determines the stereoselectivity.
Table 3.
Energy decomposition analysis (kcal/mol) of the transition states for the second monomer insertion into P1cis. The relative interaction energies and decomposition energies are given in kcal/mol.
Table 3 shows that the higher energy of η3-TS2cis-1,2 could be ascribed to the higher deformation of butadiene. Many experimental studies revealed that the regioselectivity of diene polymerization catalyzed by rare-earth metal complex is sensitive to the degree of exposure of the central metal [7,18,19,56]. Structurally, for the tridentate PNP catalyst in this study, the angle of P–Y–P is 126.7° in the η3-TS2cis-1,2, which is larger than that in the corresponding transition structure (67.8°) for 3,4-specific isoprene polymerization catalyzed by NSN-tridentate rare-earth metal catalyst [56]. The central metal is less exposed in the PNP catalyst than in the NSN catalyst, which results in higher deformation energy for the 1,2-inserion. In this sense, for the non-metallocene rare-earth metal catalysts, the degree of exposure of the central metal could be vital to the regioselectivity of diene polymerizations.
4. Conclusions
Presented herein is a computational study on the mechanism of cis-1,4-polymerization of butadiene catalyzed by a cationic rare-earth metal complex [(PNPPh)Y(CH2SiMe3)(THF)]+. The THF-coordinating cationic species might actively work at the chain initiation stage. However, the THF-free cationic species could be the true active species during the chain propagation process with respect to the high activity observed experimentally. Alternative pathways of all crucial elementary steps have been carefully explored by means of DFT calculations. The cis-butadiene coordinates to the metal center preferably in an η4-mode, however, trans-butadiene prefers an η2-mode. In the chain initiation step, the generation of the anti-η3-allyl species via the cis-butadiene insertion route is found to be viable on the both kinetic and thermodynamic grounds. The trans-1,4 and 1,2-insertions are unfavorable both kinetically and thermodynamically compared with cis-1,4-insertion both with and without THF coordinations. The trans-monomer insertion was more kinetically impressed in the case of THF-coordinating active species in comparison with the uncoordinating one. Chain growth has been found to follow the π-allyl-insertion mechanism and takes place by sequential cis-η4-butadiene insertion into the η3-allyl terminal group. The analysis of the energy decomposition indicates that the interaction of butadiene with the metal center and the deformation of the incoming butadiene play an important role in determining the stereo- and regioselectivity. The electronic factor of central metal has a decisive influence on the cis- vs. trans-insertion and the regioselectivity is mainly controlled by steric hindrance. The cis-insertion facilitates the de-coordination of THF, which could thus dissociate from the central metal during the chain propagation. This study is successful in rationalizing the experimentally observed preference for cis-1,4-polymerization of isoprene and butadiene catalyzed by a rare-earth metal alkyl complex, [(PNPPh)Y(CH2SiMe3)(THF)]+. To the best of our knowledge, this is the first systematic investigation to explore the mechanistic details of the cis-1,4-polymerization of isoprene and butadiene catalyzed by non-metallocene rare-earth metal complexes. The current results could be helpful for understanding the factors determining the regio- and stereoselectivity of diene polymerization catalyzed by non-metallocene rare-earth metal complexes.
Supplementary Materials
The following are available online at www.mdpi.com/2073-4360/9/2/53/s1, Figure S1: the energy profile for the first butadiene 1,2-insertion into the Y–alkyl σ-bond of the cationic species thfA or A; Figure S2: the transition structures for the first butadiene 1,2-insertion into the Y–alkyl σ-bond of the cationic species thfA or A; Optimized coordinates (Å): the optimized Cartesian coordinates with the self-consistent field (SCF) energies (at M06(IEFPCM)/BSII//B3PW91/BSI level) of all structures and the imaginary frequencies of transition states.
Acknowledgments
This work was partly supported by the NSFC (No. 21174023, 21429201, 21674014) and the Fundamental Research Funds for the Central Universities (DUT2016TB08). The authors also thank RICC (RIKEN Integrated Cluster of Clusters) and the Network and Information Center of Dalian University of Technology for part of the computational resources.
Author Contributions
Xingbao Wang and Yi Luo conceived and designed the calculations; Xingbao Wang performed the calculations; Xiaohui Kang, Guangli Zhou and Jingping Qu helped to discuss the results; Yi Luo and Zhaomin Hou co-directed this project. All authors contributed to the preparation of the text of the paper.
Conflicts of Interest
The authors declare no competing financial interest.
References
- Kuran, W. Principle of Coordination Polymerization; John Wiley and Sons Ltd.: New York, NY, USA, 2001; pp. 275–321. [Google Scholar]
- Wolpers, J. 3,4-Polyisorene Containing Rubber Blend Mixtures for Tire Treads. U.S. Patent US5104941, 14 April 1992. [Google Scholar]
- Tsukada, G.; Tokuda, M.; Torii, M. Temperature Triggered Shape Memory Effect of Transpolyisoprene-Based Polymer. J. Endod. 2014, 40, 1658–1662. [Google Scholar] [CrossRef] [PubMed]
- Hou, Z.; Wakatsuki, Y. Recent Developments in Organolanthanide Polymerization Catalysts. Coord. Chem. Rev. 2002, 231, 1–22. [Google Scholar] [CrossRef]
- Wilson, D. Recent Advances in the Neodymium Catalysed Polymerisation of 1,3-Dienes. Makromol. Chem. Symp. 1993, 66, 273–288. [Google Scholar] [CrossRef]
- Zhao, J.; Ghebremeskel, G.N. A Review of Some of the Factors Affecting Fracture and Fatigue in SBR and BR Vulcanizates. Rubber Chem. Technol. 2001, 74, 409–427. [Google Scholar] [CrossRef]
- Gao, W.; Cui, D. Highly cis-1,4 Selective Polymerization of Dienes with Homogeneous Ziegler–Natta Catalysts Based on NCN-Pincer Rare Earth Metal Dichloride Precursors. J. Am. Chem. Soc. 2008, 130, 4984–4991. [Google Scholar] [CrossRef] [PubMed]
- Coates, G.W. Precise Control of Polyolefin Stereochemistry Using Single-Site Metal Catalysts. Chem. Rev. 2000, 100, 1223–1252. [Google Scholar] [CrossRef] [PubMed]
- Gibson, V.C.; Spitzmesser, S.K. Advances in Non-Metallocene Olefin Polymerization Catalysis. Chem. Rev. 2003, 103, 283–316. [Google Scholar] [CrossRef] [PubMed]
- Ricci, G.; Sommazzi, A.; Masi, F.; Ricci, M.; Boglia, A.; Leone, G. Well-Defined Transition Metal Complexes with Phosphorus and Nitrogen Ligands for 1,3-Dienes Polymerization. Coord. Chem. Rev. 2010, 254, 661–676. [Google Scholar] [CrossRef]
- Nishiura, M.; Guo, F.; Hou, Z. Half-Sandwich Rare-Earth-Catalyzed Olefin Polymerization, Carbometalation, and Hydroarylation. Acc. Chem. Res. 2015, 48, 2209–2220. [Google Scholar] [CrossRef] [PubMed]
- Li, X.; Nishiura, M.; Hu, L.; Mori, K.; Hou, Z. Alternating and Random Copolymerization of Isoprene and Ethylene Catalyzed by Cationic Half-Sandwich Scandium Alkyls. J. Am. Chem. Soc. 2009, 131, 13870–13882. [Google Scholar] [CrossRef] [PubMed]
- Liu, B.; Cui, D. Regioselective Chain Shuttling Polymerization of Isoprene: An Approach To Access New Materials from Single Monomer. Macromolecules 2016, 49, 6226–6231. [Google Scholar] [CrossRef]
- Liu, B.; Wang, X.; Pan, Y.; Lin, F.; Wu, C.; Qu, J.; Luo, Y.; Cui, D. Unprecedented 3,4-Isoprene and cis-1,4-Butadiene Copolymers with Controlled Sequence Distribution by Single Yttrium Cationic Species. Macromolecules 2014, 47, 8524–8530. [Google Scholar] [CrossRef]
- Wang, B.; Cui, D.; Lv, K. Highly 3,4-Selective Living Polymerization of Isoprene with Rare Earth Metal Fluorenyl N-Heterocyclic Carbene Precursors. Macromolecules 2008, 41, 1983–1988. [Google Scholar] [CrossRef]
- Pan, L.; Zhang, K.; Nishiura, M.; Hou, Z. Chain-Shuttling Polymerization at Two Different Scandium Sites: Regio- and Stereospecific “One-Pot” Block Copolymerization of Styrene, Isoprene, and Butadiene. Angew. Chem. Int. Ed. 2011, 50, 12012–12015. [Google Scholar] [CrossRef] [PubMed]
- Zimmermann, M.; Törnroos, K.W.; Anwander, R. Cationic Rare-Earth-Metal Half-Sandwich Complexes for the Living trans-1,4-Isoprene Polymerization. Angew. Chem. Int. Ed. 2008, 47, 775–778. [Google Scholar] [CrossRef] [PubMed]
- Zhang, L.; Suzuki, T.; Luo, Y.; Nishiura, M.; Hou, Z. Cationic Alkyl Rare-Earth Metal Complexes Bearing an Ancillary Bis(phosphinophenyl)amido Ligand: A Catalytic System for Living cis-1,4-Polymerization and Copolymerization of Isoprene and Butadiene. Angew. Chem. 2007, 119, 1941–1945. [Google Scholar] [CrossRef]
- Zhang, L.; Nishiura, M.; Yuki, M.; Luo, Y.; Hou, Z. Isoprene Polymerization with Yttrium Amidinate Catalysts: Switching the Regio- and Stereoselectivity by Addition of AlMe3. Angew. Chem. Int. Ed. 2008, 47, 2642–2645. [Google Scholar] [CrossRef] [PubMed]
- Pan, Y.; Xu, T.; Yang, G.-W.; Jin, K.; Lu, X.-B. Bis(oxazolinyl)phenyl-Ligated Rare-Earth-Metal Complexes: Highly Regioselective Catalysts for cis-1,4-Polymerization of Isoprene. Inorg. Chem. 2013, 52, 2802–2808. [Google Scholar] [CrossRef] [PubMed]
- Wang, L.; Cui, D.; Hou, Z.; Li, W.; Li, Y. Highly cis-1,4-Selective Living Polymerization of 1,3-Conjugated Dienes and Copolymerization with ε-Caprolactone by Bis(phosphino)carbazolide Rare-Earth-Metal Complexes. Organometallics 2011, 30, 760–767. [Google Scholar] [CrossRef]
- Yang, Y.; Liu, B.; Lv, K.; Gao, W.; Cui, D.; Chen, X.; Jing, X. Pyrrolide-Supported Lanthanide Alkyl Complexes. Influence of Ligands on Molecular Structure and Catalytic Activity toward Isoprene Polymerization. Organometallics 2007, 26, 4575–4584. [Google Scholar] [CrossRef]
- Shi, L.; Su, Q.; Chen, J.; Li, X.; Luo, Y. Rare-Earth Metal Bis(silylamide) Complexes Supported by Mono-Dentate Arylamido Ligand: Synthesis, Reactivity, and Catalyst {recursors in Living cis-1,4-Selective Polymerization of Isoprene. Dalton Trans. 2016, 45, 1391–1397. [Google Scholar] [CrossRef] [PubMed]
- Tolpygin, A.O.; Glukhova, T.A.; Cherkasov, A.V.; Fukin, G.K.; Aleksanyan, D.V.; Cui, D.; Trifonov, A.A. Bis(alkyl) Rare-Earth Complexes Supported by a New Tridentate Amidinate Ligand with a Pendant Diphenylphosphine Oxide Group. Synthesis, Structures and Catalytic Activity in Isoprene Polymerization. Dalton Trans. 2015, 44, 16465–16474. [Google Scholar] [CrossRef] [PubMed]
- Liu, B.; Sun, G.; Li, S.; Liu, D.; Cui, D. Isoprene Polymerization with Iminophosphonamide Rare-Earth-Metal Alkyl Complexes: Influence of Metal Size on the Regio- and Stereoselectivity. Organometallics 2015, 34, 4063–4068. [Google Scholar] [CrossRef]
- Li, S.; Cui, D.; Li, D.; Hou, Z. Highly 3,4-Selective Polymerization of Isoprene with NPN Ligand Stabilized Rare-Earth Metal Bis(alkyl)s. Structures and Performances. Organometallics 2009, 28, 4814–4822. [Google Scholar] [CrossRef]
- Rong, W.; Liu, D.; Zuo, H.; Pan, Y.; Jian, Z.; Li, S.; Cui, D. Rare-Earth-Metal Complexes Bearing Phosphazene Ancillary Ligands: Structures and Catalysis toward Highly Trans-1,4-Selective (Co)Polymerizations of Conjugated Dienes. Organometallics 2013, 32, 1166–1175. [Google Scholar] [CrossRef]
- Tobisch, S. Mechanistic Insight into the Selective trans-1,4-Polymerization of Butadiene by Terpyridine–iron(II) Complexes—A Computational Study. Can. J. Chem. 2009, 87, 1392–1405. [Google Scholar] [CrossRef]
- Perrin, L.; Bonnet, F.; Visseaux, M.; Maron, L. A DFT Study of Conjugated Dienes Polymerisation Catalyzed by [Cp*ScR]+: Insights into the Propensity for cis-1,4 Insertion. Chem. Commun. 2010, 46, 2965–2967. [Google Scholar] [CrossRef] [PubMed]
- Kang, X.; Song, Y.; Luo, Y.; Li, G.; Hou, Z.; Qu, J. Computational Studies on Isospecific Polymerization of 1-Hexene Catalyzed by Cationic Rare Earth Metal Alkyl Complex Bearing a C3iPr-trisox Ligand. Macromolecules 2012, 45, 640–651. [Google Scholar] [CrossRef]
- Tobisch, S. Mechanism of the Chain Termination of the Allylnickel(II)-Catalyzed Polymerization of 1,3-Butadiene. A Density Functional Investigation for the Cationic [NiII(RC3H4)(cis-C4H6)L]+ Active Catalyst. Macromolecules 2003, 36, 6235–6244. [Google Scholar] [CrossRef]
- Luo, Y.; Luo, Y.; Qu, J.; Hou, Z. QM/MM Studies on Scandium-Catalyzed Syndiospecific Copolymerization of Styrene and Ethylene. Organometallics 2011, 30, 2908–2919. [Google Scholar] [CrossRef]
- Tobisch, S.; Taube, R. Mechanistic Studies of the 1,4-Polymerization of Butadiene According to the π-Allyl-Insertion Mechanism. 3. Density Functional Study of the C–C Bond Formation Reaction in Cationic “Ligand-Free” (η3:η2-Heptadienyl)(η2-/η4-butadiene)nickel(II) Complexes [Ni(C7H11)(C4H6)]+. Organometallics 1999, 18, 3045–3060. [Google Scholar]
- Woo, T.K.; Fan, L.; Ziegler, T. Density Functional Study of the Insertion Step in Olefin Polymerization by Metallocene and Constrained-Geometry Catalysts. Organometallics 1994, 13, 432–433. [Google Scholar] [CrossRef]
- Kang, X.; Luo, Y.; Zhou, G.; Wang, X.; Yu, X.; Hou, Z.; Qu, J. Theoretical Mechanistic Studies on the trans-1,4-Specific Polymerization of Isoprene Catalyzed by a Cationic La–Al Binuclear Complex. Macromolecules 2014, 47, 4596–4606. [Google Scholar] [CrossRef]
- Kang, X.; Yamamoto, A.; Nishiura, M.; Luo, Y.; Hou, Z. Computational Analyses of the Effect of Lewis Bases on Styrene Polymerization Catalyzed by Cationic Scandium Half-Sandwich Complexes. Organometallics 2015, 34, 5540–5548. [Google Scholar] [CrossRef]
- Kang, X.; Zhou, G.; Wang, X.; Qu, J.; Hou, Z.; Luo, Y. Alkyl Effects on the Chain Initiation Efficiency of Olefin Polymerization by Cationic Half-Sandwich Scandium Catalysts: A DFT Study. Organometallics 2016, 35, 913–920. [Google Scholar] [CrossRef]
- Perrin, L.; Kirillov, E.; Carpentier, J.-F.; Maron, L. DFT Investigation of the Tacticity Control during Styrene Polymerization Catalyzed by Single-Component Allyl ansa-Lanthanidocenes {(C5H4CMe2(9-C13H8)}Ln(C3H5). Macromolecules 2010, 43, 6330–6336. [Google Scholar] [CrossRef]
- Perrin, L.; Bonnet, F.; Chenal, T.; Visseaux, M.; Maron, L. A Joint Experimental/Theoretical Investigation of the Statistical Olefin/Conjugated Diene Copolymerization Catalyzed by a Hemi-Lanthanidocene [(Cp*)(BH4)LnR]. Chem. Eur. J. 2010, 16, 11376–11385. [Google Scholar] [CrossRef] [PubMed]
- Perrin, L.; Sarazin, Y.; Kirillov, E.; Carpentier, J.-F.; Maron, L. On the Initiation Mechanism of Syndiospecific Styrene Polymerization Catalyzed by Single-Component ansa-Lanthanidocenes. Chem. Eur. J. 2009, 15, 3773–3783. [Google Scholar] [CrossRef] [PubMed]
- Nsiri, H.; Belaid, I.; Larini, P.; Thuilliez, J.; Boisson, C.; Perrin, L. Ethylene–Butadiene Copolymerization by Neodymocene Complexes: A Ligand Structure/Activity/Polymer Microstructure Relationship Based on DFT Calculations. ACS Catal. 2015, 5, 1028–1036. [Google Scholar] [CrossRef]
- Wang, X.; Lin, F.; Qu, J.; Hou, Z.; Luo, Y. DFT Studies on Styrene Polymerization Catalyzed by Cationic Rare-Earth-Metal Complexes: Origin of Ligand-Dependent Activities. Organometallics 2016, 35, 3205–3214. [Google Scholar] [CrossRef]
- Frisch, M.J.; Trucks, G.W.; Schlegel, H.B.; Scuseria, G.E.; Robb, M.A.; heeseman, J.R.; Scalmani, G.; Barone, V.; Mennucci, B.; Petersson, G.A.; et al. Gaussian 09; Revision A.02; Gaussian, Inc.: Wallingford, CT, USA, 2009. [Google Scholar]
- Perdew, J.P.; Wang, Y. Accurate and Simple Analytic Representation of the Electron-Gas Correlation Energy. Phys. Rev. B 1992, 45, 13244–13249. [Google Scholar] [CrossRef]
- Becke, A.D. Density-Functional Thermochemistry. III. The Role of Exact Exchange. J. Chem. Phys. 1993, 98, 5648–5652. [Google Scholar] [CrossRef]
- Zhao, Y.; Truhlar, D.G. Benchmark Energetic Data in a Model System for Grubbs II Metathesis Catalysis and Their Use for the Development, Assessment, and Validation of Electronic Structure Methods. J. Chem. Theory Comput. 2009, 5, 324–333. [Google Scholar] [CrossRef] [PubMed]
- Scalmani, G.; Frisch, M.J. Continuous Surface Charge Polarizable Continuum Models of Solvation. I. General Formalism. J.Chem. Phys. 2010, 132, 114110. [Google Scholar] [CrossRef] [PubMed]
- Tobisch, S. Reaction Mechanism in the Stereospecific 1,4-Polymerization of Butadiene with Ziegler–Natta Type Catalysts of Early Transition Metals: Comprehensive Density Functional Investigation for the Cationic [TiIIICp(polybutadienyl)(butadiene)]+ Active Catalyst. Organometallics 2003, 22, 2729–2740. [Google Scholar] [CrossRef]
- Castro, L.; Kirillov, E.; Miserque, O.; Welle, A.; Haspeslagh, L.; Carpentier, J.-F.; Maron, L. Are Solvent and Dispersion Effects Crucial in Olefin Polymerization DFT Calculations? Some Insights from Propylene Coordination and Insertion Reactions with Group 3 and 4 Metallocenes. ACS Catal. 2015, 5, 416–425. [Google Scholar] [CrossRef]
- Arlman, E.J.; Cossée, P. Ziegler-Natta Catalysis II. Surface Structure of Layer-Lattice Transition Metal Chlorides. J. Catal. 1964, 3, 89–98. [Google Scholar] [CrossRef]
- Arlman, E.J. Ziegler-natta catalysis: IV. The Stereospecificity in the Polymerization of Olefins and Conjugated Dienes in Relation to the Crystal Structure of TiCl3(α,β). J. Catal. 1966, 5, 178–189. [Google Scholar] [CrossRef]
- Taube, R.; Gehrke, J.P.; Radeglia, R. Komplexkatalyse: XXV. 31P-NMR-Spektroskopische Charakterisierung der anti- und syn-struktur von C3-Substituierten η3-Allylbis(triarylphosphit)-Nickel(II)-Hexafluorophosphat-Komplexen und der Mechanismus der Durch [C3H5Ni(P(OPh)3)2]PF6 Katalysierten 1,4-trans-Polymerisation des Butadiens. J. Organomet. Chem. 1985, 291, 101–115. [Google Scholar]
- Tobisch, S.; Bögel, H.; Taube, R. Mechanistic Studies of the 1,4-cis Polymerization of Butadiene According to the π-Allyl Insertion Mechanism. 1. Density Functional Study of the C–C Bond Formation Reaction in Cationic (η3-Allyl)(η2-/η4-butadiene)nickel(II) Complexes [Ni(C3H5)(C4H6)]+ and [Ni(C3H5)(C4H6)(C2H4)]+. Organometallics 1996, 15, 3563–3571. [Google Scholar]
- Schaper, F.; Geyer, A.; Brintzinger, H.H. Displacement of H3CB(C6F5)3− Anions from Zirconocene Methyl Cations by Neutral Ligand Molecules: Equilibria, Kinetics, and Mechanisms. Organometallics 2002, 21, 473–483. [Google Scholar] [CrossRef]
- Kitaura, K.; Morokuma, K. A new energy decomposition scheme for molecular interactions within the Hartree-Fock approximation. Int. J. Quantum Chem. 1976, 10, 325–340. [Google Scholar] [CrossRef]
- Liu, B.; Li, L.; Sun, G.; Liu, J.; Wang, M.; Li, S.; Cui, D. 3,4-Polymerization of Isoprene by Using NSN- and NPN-Ligated Rare Earth Metal Precursors: Switching of Stereo Selectivity and Mechanism. Macromolecules 2014, 47, 4971–4978. [Google Scholar] [CrossRef]
© 2017 by the authors. Licensee MDPI, Basel, Switzerland. This article is an open access article distributed under the terms and conditions of the Creative Commons Attribution (CC BY) license ( http://creativecommons.org/licenses/by/4.0/).








