Polyimide Aerogels Cross-Linked with Aminated Ag Nanowires: Mechanically Strong and Tough
Abstract
:1. Introduction
2. Materials and Methods
2.1. Materials
2.2. Preparation of A-AgNWs
2.3. Preparation of A-AgNWs Cross-Linked Polyimide Aerogel
2.4. Characterization
3. Results and Discussion
3.1. Characterization of A-AgNWs
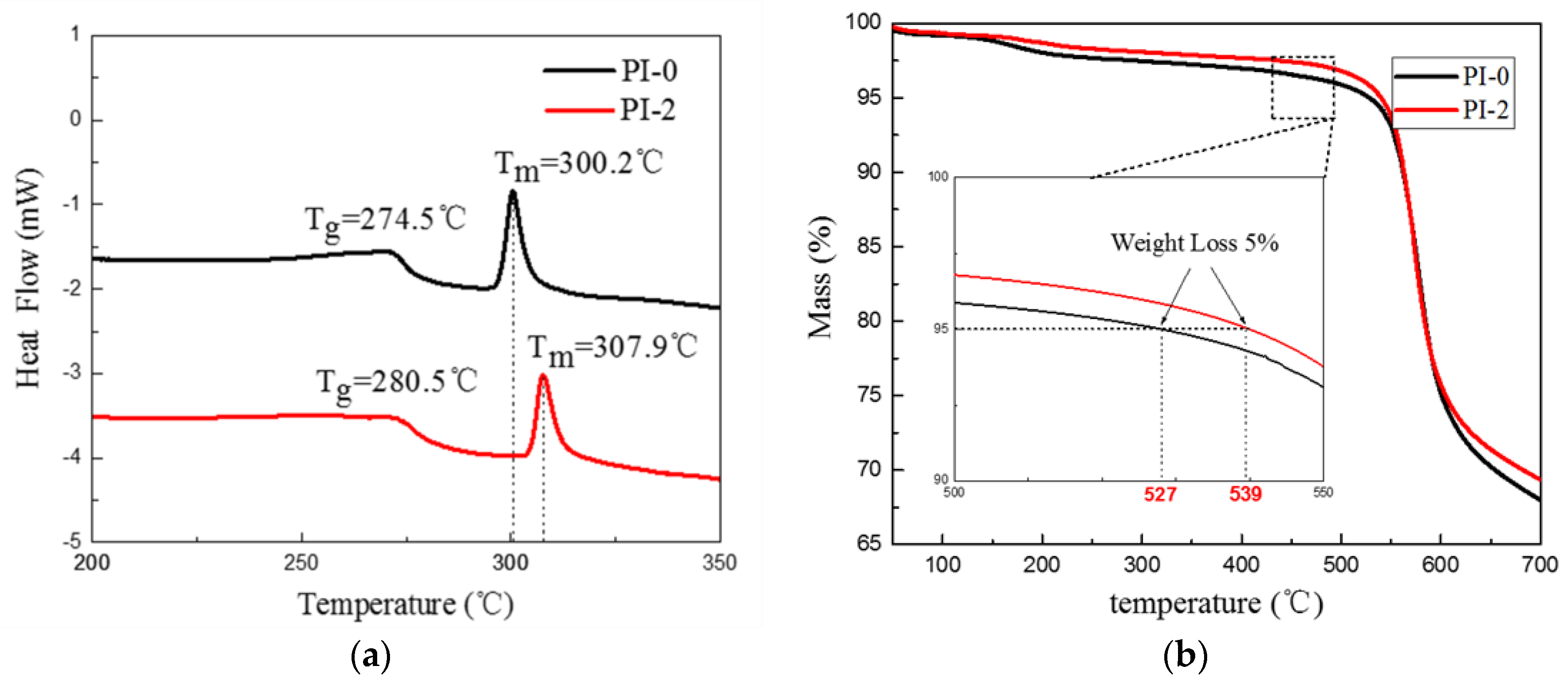
3.2. Properties of A-AgNWs Cross-Linked Polyimide Aerogels
4. Conclusions
Acknowledgments
Author Contributions
Conflicts of Interest
References
- Guo, J.; Nguyen, B.N.; Li, L.; Meador, M.A.B.; Scheiman, D.A.; Cakmak, M. Clay reinforced polyimide/silica hybrid aerogel. J. Mater. Chem. A 2013, 1, 7211–7221. [Google Scholar] [CrossRef]
- He, S.; Cheng, X.; Li, Z.; Shi, X.; Li, K.; Zhang, H. Facile synthesis of sponge reinforced monolithic silica aerogels with improved mechanical property and excellent absorptivity. Mater. Lett. 2015, 154, 107–111. [Google Scholar] [CrossRef]
- Rigacci, A.; Marechal, J.C.; Repoux, M.; Moreno, M.; Achard, P. Preparation of polyurethane-based aerogels and xerogels for thermal superinsulation. J. Non-Cryst. Solids 2004, 350, 372–378. [Google Scholar] [CrossRef]
- Smith, T.M.; Williams, M.K.; Fesmire, J.E.; Sass, J.P.; Weiser, E.S. Fire and engineering properties of polyimide-aerogel hybrid foam composites for advanced applications. ACS Symp. 2009, 1013, 148–173. [Google Scholar] [CrossRef]
- Li, L.; Yalcin, B.; Nguyen, B.N.; Meador, M.A.; Cakmak, M. Flexible nanofiber-reinforced aerogel (xerogel) synthesis, manufacture, and characterization. ACS Appl. Mater. Interfaces 2009, 1, 2491–2501. [Google Scholar] [CrossRef] [PubMed]
- Baldino, L.; Concilio, S.; Cardea, S.; Reverchon, E. Interpenetration of natural polymer aerogels by supercritical drying. Polymers 2016, 8, 106. [Google Scholar] [CrossRef]
- Chidambareswarapattar, C.; McCarver, P.M.; Luo, H.; Lu, H.; Sotiriou-Leventis, C.; Leventis, N. Fractal multiscale nanoporous polyurethanes: Flexible to extremely rigid aerogels from multifunctional small molecules. Chem. Mater. 2013, 25, 3205–3224. [Google Scholar] [CrossRef]
- Duan, Y.; Jana, S.C.; Lama, B.; Espe, M.P. Reinforcement of silica aerogels using silane-end-capped polyurethanes. Langmuir 2013, 29, 6156–6165. [Google Scholar] [CrossRef] [PubMed]
- Viggiano, R.P.; Ball, E.E.; Park, R.E.; Haider, K.W.; Schiraldi, D.A. Incorporation of postconsumer polyurethane foam into a polymer/clay aerogel matrix. J. Appl. Polym. Sci. 2015, 132. [Google Scholar] [CrossRef]
- Liu, C.; Kim, J.S.; Kwon, Y. Comparative investigation on thermal insulation of polyurethane composites filled with silica aerogel and hollow silica microsphere. J. Nanosci. Nanotechnol. 2016, 16, 1703–1707. [Google Scholar] [CrossRef] [PubMed]
- Jimenez-Saelices, C.; Seantier, B.; Cathala, B.; Grohens, Y. Spray freeze-dried nanofibrillated cellulose aerogels with thermal superinsulating properties. Carbohydr. Polym. 2017, 157, 105–113. [Google Scholar] [CrossRef] [PubMed]
- Liu, A.; Medina, L.; Berglund, L.A. High-strength nanocomposite aerogels of ternary composition: Poly(vinyl alcohol), clay, and cellulose nanofibrils. ACS Appl. Mater. Interfaces 2017, 9, 6453–6461. [Google Scholar] [CrossRef] [PubMed]
- He, S.; Zhang, Y.; Shi, X.; Bi, Y.; Luo, X.; Zhang, L. Rapid and facile synthesis of a low-cost monolithic polyamide aerogel via sol–gel technology. Mater. Lett. 2015, 144, 82–84. [Google Scholar] [CrossRef]
- Williams, J.C.; Nguyen, B.N.; McCorkle, L.; Scheiman, D.; Griffin, J.S.; Steiner, S.A., 3rd; Meador, M.A. Highly porous, rigid-rod polyamide aerogels with superior mechanical properties and unusually high thermal conductivity. ACS Appl. Mater. Interfaces 2017, 9, 1801–1809. [Google Scholar] [CrossRef] [PubMed]
- Randall, J.P.; Meador, M.A.; Jana, S.C. Tailoring mechanical properties of aerogels for aerospace applications. ACS Appl. Mater. Interfaces 2011, 3, 613–626. [Google Scholar] [CrossRef] [PubMed]
- Nelson, K.A.; Neihart, J.L.; Riedel, T.A.; Schmidt, A.J.; McGregor, D.S. A novel method for detecting neutrons using low density high porosity aerogel and saturated foam. Nucl. Instrum. Methods Phys. Section A 2012, 686, 100–105. [Google Scholar] [CrossRef]
- Miki, M.; Horiuchi, H.; Yamada, Y. Synthesis and gas transport properties of hyperbranched polyimide–silica hybrid/composite membranes. Polymers 2013, 5, 1362–1379. [Google Scholar] [CrossRef]
- Chang, K.J.; Wang, Y.Z.; Peng, K.C.; Tsai, H.S.; Chen, J.R.; Huang, C.T.; Ho, K.S.; Lien, W.F. Preparation of silica aerogel/polyurethane composites for the application of thermal insulation. J. Polym. Res. 2014, 21, 1–9. [Google Scholar] [CrossRef]
- Chidambareswarapattar, C.; Larimore, Z.; Sotiriou-Leventis, C.; Mang, J.T.; Leventis, N. One-step room-temperature synthesis of fibrous polyimide aerogels from anhydrides and isocyanates and conversion to isomorphic carbons. J. Mater. Chem. 2010, 20, 9666–9678. [Google Scholar] [CrossRef]
- Meador, M.A.; Malow, E.J.; Silva, R.; Wright, S.; Quade, D.; Vivod, S.L.; Guo, H.; Guo, J.; Cakmak, M. Mechanically strong, flexible polyimide aerogels cross-linked with aromatic triamine. ACS Appl. Mater. Interfaces 2012, 4, 536–544. [Google Scholar] [CrossRef] [PubMed]
- Guo, H.; Meador, M.A.; McCorkle, L.; Quade, D.J.; Guo, J.; Hamilton, B.; Cakmak, M.; Sprowl, G. Polyimide aerogels cross-linked through amine functionalized polyoligomeric silsesquioxane. ACS Appl. Mater. Interfaces 2011, 3, 546–552. [Google Scholar] [CrossRef] [PubMed]
- Meador, M.A.; Wright, S.; Sandberg, A.; Nguyen, B.N.; Van Keuls, F.W.; Mueller, C.H.; Rodriguez-Solis, R.; Miranda, F.A. Low dielectric polyimide aerogels as substrates for lightweight patch antennas. ACS Appl. Mater. Interfaces 2012, 4, 6346–6353. [Google Scholar] [CrossRef] [PubMed]
- Meador, M.A.; Aleman, C.R.; Hanson, K.; Ramirez, N.; Vivod, S.L.; Wilmoth, N.; McCorkle, L. Polyimide aerogels with amide cross-links: A low cost alternative for mechanically strong polymer aerogels. ACS Appl. Mater. Interfaces 2015, 7, 1240–1249. [Google Scholar] [CrossRef] [PubMed]
- Gan, Z.; Zhao, A.; Zhang, M.; Wang, D.; Tao, W.; Guo, H.; Li, D.; Li, M.; Gao, Q. A facile strategy for obtaining fresh ag as sers active substrates. J. Colloid Interface Sci. 2012, 366, 23–27. [Google Scholar] [CrossRef] [PubMed]
- Guo, H.; Meador, M.A.; McCorkle, L.; Quade, D.J.; Guo, J.; Hamilton, B.; Cakmak, M. Tailoring properties of cross-linked polyimide aerogels for better moisture resistance, flexibility, and strength. ACS Appl. Mater. Interfaces 2012, 4, 5422–5429. [Google Scholar] [CrossRef] [PubMed]
- Leventis, N.; Sotiriou-Leventis, C.; Mohite, D.P.; Larimore, Z.J.; Mang, J.T.; Churu, G.; Lu, H. Polyimide aerogels by ring-opening metathesis polymerization (ROMP). Chem. Mater. 2011, 23, 2250–2261. [Google Scholar] [CrossRef]
- Jiang, Y.; Zhang, T.; Wang, K.; Yang, J. Synthesis and characterization of rigid and thermostable polyimide aerogel crosslinked with tri(3-aminophenyl)phosphine oxide. J. Porous Mater. 2017. [Google Scholar] [CrossRef]
- Yi, L.; Yun, L.U.; Yao, W.S.; Zhang, X.T. Polyimide aerogels crosslinked with chemically modified graphene oxide. Acta Phys.Chim. Sin. 2015, 31. [Google Scholar] [CrossRef]
- Tzounis, L.; Debnath, S.; Rooj, S.; Fischer, D.; Mäder, E.; Das, A.; Stamm, M.; Heinrich, G. High performance natural rubber composites with a hierarchical reinforcement structure of carbon nanotube modified natural fibers. Mater. Des. 2014, 58, 1–11. [Google Scholar] [CrossRef]
- Tzounis, L.; Kirsten, M.; Simon, F.; Mäder, E.; Stamm, M. The interphase microstructure and electrical properties of glass fibers covalently and non-covalently bonded with multiwall carbon nanotubes. Carbon 2014, 73, 310–324. [Google Scholar] [CrossRef]
- Tzounis, L.; Liebscher, M.; Tzounis, A.; Petinakis, E.; Paipetis, A.S.; Mäder, E.; Stamm, M. CNT-grafted glass fibers as a smart tool for epoxy cure monitoring, UV-sensing and thermal energy harvesting in model composites. RSC Adv. 2016, 6, 55514–55525. [Google Scholar] [CrossRef]
- Angulo-Ibáñez, A.; Beobide, G.; Castillo, O.; Luque, A.; Pérez-Yáñez, S.; Vallejo-Sánchez, D. Aerogels of 1d coordination polymers: From a non-porous metal-organic crystal structure to a highly porous material. Polymers 2016, 8, 16. [Google Scholar] [CrossRef]
- Nguyen, B.N.; Cudjoe, E.; Douglas, A.; Scheiman, D.; McCorkle, L.; Meador, M.A.B.; Rowan, S.J. Polyimide cellulose nanocrystal composite aerogels. Macromolecules 2016, 49, 1692–1703. [Google Scholar] [CrossRef]
- Ma, J.; Wang, K.; Zhan, M. Growth mechanism and electrical and magnetic properties of ag-fe(3)o(4) core-shell nanowires. ACS Appl. Mater. Interfaces 2015, 7, 16027–16039. [Google Scholar] [CrossRef] [PubMed]
- Ma, J.; Wang, K.; Zhan, M. A comparative study of structure and electromagnetic interference shielding performance for silver nanostructure hybrid polyimide foams. RSC Adv. 2015, 5, 65283–65296. [Google Scholar] [CrossRef]
- Ma, J.; Zhan, M.; Wang, K. Ultralightweight silver nanowires hybrid polyimide composite foams for high-performance electromagnetic interference shielding. ACS Appl. Mater. Interfaces 2015, 7, 563–576. [Google Scholar] [CrossRef] [PubMed]
- Zheng, J.W.; Zhou, Y.G.; Li, X.W.; Ji, Y.; Lu, T.H.; Gu, R.N. Surface-enhanced raman scattering of 4-aminothiophenol in assemblies of nanosized particles and the macroscopic surface of silver. Langmuir 2003, 19, 632–636. [Google Scholar] [CrossRef]
- Fang, Y.; Li, Y.; Xu, H.; Sun, M. Ascertaining p,p′-dimercaptoazobenzene produced from p-aminothiophenol by selective catalytic coupling reaction on silver nanoparticles. Langmuir ACS J. Surf. Colloids 2010, 26, 7737–7746. [Google Scholar] [CrossRef] [PubMed]










| Run | Polyimide conc. (wt %) | A-AgNWs conc. (wt %) | AgNWs conc. (vol %) | Density (g/cm3) | Shrinkage (%) | Surface area (m2/g) |
|---|---|---|---|---|---|---|
| 1 | 10 | 0 | 0 | 0.192 | 16.5 | 256 |
| 2 | 10 | 0.1 | 0.013 | 0.191 | 15.8 | 266 |
| 3 | 10 | 0.2 | 0.027 | 0.200 | 16.0 | 254 |
| 4 | 10 | 0.5 | 0.067 | 0.204 | 14.8 | 257 |
| 5 | 10 | 2.0 | 0.270 | 0.205 | 14.3 | 248 |
© 2017 by the authors. Licensee MDPI, Basel, Switzerland. This article is an open access article distributed under the terms and conditions of the Creative Commons Attribution (CC BY) license (http://creativecommons.org/licenses/by/4.0/).
Share and Cite
Zhang, T.; Zhao, Y.; Wang, K. Polyimide Aerogels Cross-Linked with Aminated Ag Nanowires: Mechanically Strong and Tough. Polymers 2017, 9, 530. https://doi.org/10.3390/polym9100530
Zhang T, Zhao Y, Wang K. Polyimide Aerogels Cross-Linked with Aminated Ag Nanowires: Mechanically Strong and Tough. Polymers. 2017; 9(10):530. https://doi.org/10.3390/polym9100530
Chicago/Turabian StyleZhang, Tianyi, Yan Zhao, and Kai Wang. 2017. "Polyimide Aerogels Cross-Linked with Aminated Ag Nanowires: Mechanically Strong and Tough" Polymers 9, no. 10: 530. https://doi.org/10.3390/polym9100530
APA StyleZhang, T., Zhao, Y., & Wang, K. (2017). Polyimide Aerogels Cross-Linked with Aminated Ag Nanowires: Mechanically Strong and Tough. Polymers, 9(10), 530. https://doi.org/10.3390/polym9100530
