Next Article in Journal
Esterification of Condensed Tannins and Their Impact on the Properties of Poly(Lactic Acid)
Next Article in Special Issue
Fluctuating Entanglements in Single-Chain Mean-Field Models
Previous Article in Journal
Pressure Retarded Osmosis and Forward Osmosis Membranes: Materials and Methods
Previous Article in Special Issue
Multiscale Modeling of Chemical Vapor Deposition (CVD) Apparatus: Simulations and Approximations
 
 
Font Type:
Arial Georgia Verdana
Font Size:
Aa Aa Aa
Line Spacing:
Column Width:
Background:
Article

Energetic and Entropic Contributions to the Landau–de Gennes Potential for Gay–Berne Models of Liquid Crystals

1
Mechanical Engineering Department, Indian Institute of Technology Kharagpur, West Bengal 721302,India
2
Department of Materials, Polymer Physics, ETH Zürich, HCI H541, Zürich CH-8093, Switzerland
*
Author to whom correspondence should be addressed.
Polymers 2013, 5(2), 328-343; https://doi.org/10.3390/polym5020328
Submission received: 15 February 2013 / Revised: 15 March 2013 / Accepted: 19 March 2013 / Published: 27 March 2013
(This article belongs to the Special Issue Multiscale Simulations in Soft Matter)

Abstract

:
The Landau–de Gennes theory provides a successful macroscopic description of nematics. Cornerstone of this theory is a phenomenological expression for the effective free energy as a function of the orientational order parameter. Here, we show how such a macroscopic Landau–de Gennes free energy can systematically be constructed for a microscopic model of liquid crystals formed by interacting mesogens. For the specific example of the Gay–Berne model, we obtain an enhanced free energy that reduces to the familiar Landau–de Gennes expression in the limit of weak ordering. By carefully separating energetic and entropic contributions to the free energy, our approach reconciles the two traditional views on the isotropic–nematic transition of Maier–Saupe and Onsager, attributing the driving mechanism to attractive interactions and entropic effects, respectively.
Classification: PACS:
61.30.Gd; 61.30.Dk; 05.20.Jj

1. Introduction

There are two classical views on the isotropic-to-nematic (IN) transition in liquid crystals. One is based on the Maier–Saupe theory [1,2], where attractive interactions between the mesogens are supposed to be responsible for the alignment of the molecules. These attractive interactions are energetic in nature and therefore lead to the IN transition at sufficiently low temperatures, where they dominate over entropic effects. Liquid crystals where the transition is temperature-driven are called thermotropic. An alternative approach to the IN transition goes back to Onsager [3], where excluded volume interactions are identified as the driving force for orientational ordering. This athermal and purely entropic effect dominates for sufficiently elongated particles if the concentration is high enough. Since the IN transition is driven by density instead of temperature, those liquid crystals are termed lyotropic.
The Onsager approach is usually considered to be better founded since it has a well-defined limit of high-aspect ratio particles in the dilute regime. The corresponding density functional theories have been applied with good success to lyotropic liquid crystals [4,5]. The Maier–Saupe approach on the other hand lacks such a clear microsopic foundation. Nevertheless, due to its appealing simplicity it is used quite often in practice, especially for studying dynamical properties [6].
The Maier–Saupe and Onsager views emphasize different physical mechanisms, which typically are both present at the same time in real liquid crystals. Since both views are not mutually exclusive, there have been attempts to combine them [7]. In fact, the most macroscopic description of liquid crystal is provided by the Landau–de Gennes free energy as a function of the orientational order parameter [8]. As a macroscopic quantity, the Landau–de Gennes free energy is usually introduced phenomenologically as a low-order polynomial of the order parameter, in close analogy to the Ginzburg–Landau theory of phase transitions. Despite considerable advances in molecular simulations [9] and theoretical efforts [10,11], the long-standing question of how to derive the Landau–de Gennes free energy from a microscopic model has not been fully resolved yet. Since many length- and time-scales are present in typical liquid-crystalline systems, there is an urgent need for systematic coarse-graining approaches [12].
The Lebwohl–Lasher model [13,14] is one of the simplest models for liquid-crystals on the level of an interacting many-particle system including orientations. Excluded volume interactions are absent in this model since the molecule orientations are placed on a regular lattice. The model is constructed such that the Maier–Saupe theory is recovered in the mean-field limit. With the help of a systematic coarse-graining scheme, it is possible to obtain an enhanced Landau–de Gennes potential for the Lebwohl–Lasher model in non-polynomial form with physically admissible limits for strong orientational ordering [15].
Here, we study a more realistic model for liquid-crystals that includes translational as well as rotational degrees of freedom of the molecules. In particular, the interaction is chosen as the Gay–Berne potential [16], which is basically an appropriately scaled Lennard–Jones potential that allows two particles to approach each other closer parallel to the short axis compared with approaches along the long axis. The Gay–Berne potential is considered to be of a generic form and is therefore very widely used [17] for the simulation of liquid crystals in their isotropic, nematic and smectic phase. The phase diagram of the Gay–Berne model has been studied via computer simulations [18,19] and also by perturbation theory [20]. A suitable free energy functional has been proposed in the literature that allows to study the isotropic–nematic phase transition of the Gay–Berne model [5,21]. Nevertheless, the corresponding Landau–de Gennes potential still remains unknown. Here, we derive the Landau–de Gennes free energy for the Gay–Berne model following the general approach proposed in [15]. We use Monte-Carlo simulations in a generalized canonical ensemble and thermodynamic integration to work out separately the energetic and entropic contributions to the effective free energy.

2. From Micro to Macro

The point of departure is a microscopic system of N interacting particles, which is described by classical mechanics. We here consider a model of liquid crystals, where the individual molecules are described as rigid, anisotropic particles. The most prominent example for such systems is the Gay–Berne model [16] that we choose also here, but other models like [22] can be studied in the same manner. We want to emphasize that the approach followed here can also be applied to atomistic models of liquid crystalline molecules, for which the instantaneous orientation of the molecule or its rigid subunit is well-defined.
Let Γ = { r 1 , u 1 , , r N , u N } denote the microstate of the system specified in terms of particle positions r i and orientations u i . We restrict ourselves to particles that are rotationally symmetric. Therefore, the three-dimensional unit vectors u i are sufficient to describe the orientation of the particles. In general, one needs to deal with the corresponding three Euler angles. The specific form of the Hamiltonian H ( Γ ) completes the definition of the microscopic model system.
On a macroscopic level, we are interested only in the average orientation rather than those of all individual molecules. Therefore we specify the macrostate of the system by ( ρ , T , Q ) , where ρ is the density, T the temperature, and Q the orientational order parameter. Due to head-tail symmetry of the molecules, Q cannot be a chosen as a vector quantity but as symmetric, traceless second-rank tensor [8]. For a given microscopic configuration Γ, the instantaneous value Π of the orientational order parameter tensor is given by
Π ( Γ ) = 1 N j = 1 N ( u j u j 1 3 1 ) , Q = Π
where the brackets denote the thermal average with the probability density ρ ( Γ ) . The scalar Maier–Saupe orientational order parameter is defined as S 2 = ( 3 / 2 ) n n : Q , where n is the eigenvector corresponding to the largest eigenvalue of Q.
Systematic coarse graining from the microscopic to the macroscopic level of description is at the core of statistical thermodynamics. Significant progress in this field has been achieved in recent years (see e.g., [23,24]). We here follow the approach suggested in [15,25]. In agreement with the classical ideas of de Gennes, we make the crucial assumption that the order parameter is the only additional slow variable needed to describe the system on a macroscopic level [8]. With such a clear separation of scales, the relevant ensemble is given by the generalized canonical distribution ρ Λ ( Γ ) exp [ β H ( Γ ) Λ : Π ( Γ ) ] , see Appendix A. The generalized canonical ensemble can be motivated by the maximum entropy principle (also termed “quasi-equilibrium approximation”), which has been used successfully for different kinetic models [26] including liquid crystals [27,28]. For Hamiltonian models of liquid crystals in particular, this ensemble has been employed in [15] in order to derive a generalized Landau–de Gennes potential for the Lebwohl–Lasher model. The Lagrange multiplier Λ ensures the prescribed average value Q = Π Λ , where the average is taken with ρ Λ . The normalization of the generalized canonical distribution is given by
β G ( Λ ) = ln d Γ exp [ β H ( Γ ) Λ : Π ( Γ ) ]
The potential G depends also on density and temperature. For ease of notation, however, we suppress the arguments ρ and T here and in the following. G can be interpreted as the generating function since the mean potential energy and orientational order parameter are given by
E ( Λ ) = H Λ = ( β G ) β Q ( Λ ) = Π Λ = ( β G ) Λ
The generalized free energy Ƒ is obtained as the Legendre transform of G with respect to Λ,
Ƒ ( Q ) = G ( Λ ( Q ) ) k B T Λ ( Q ) : Q
The standard thermodynamic free energy is obtained as F 0 = Ƒ ( Q 0 ) = G ( 0 ) , where Q 0 = Q ( 0 ) is the equilibrium value of the order parameter for vanishing Λ. The generalized free energy Ƒ also serves as a thermodynamic potential, where the usual thermodynamic relationship E = ( β Ƒ ) / β holds. In addition, the Lagrange multiplier obeys a similar relation as the dual variable to the orientational order parameter, Λ = ( β Ƒ ) / Q , see Equation (21).
The generalized free energy can always be split as Ƒ = Ƒ id + Ƒ int , where the contribution of the ideal orientational entropy Ƒ id = T S id in the absence of inter-particle interactions ( H = 0 ) has been worked out recently [29]. There, a rather accurate interpolation formula was found, S id / k B = ln ( Q ) + 2 3 ( Q 1 ) , with Q = 1 + 9 ( I 3 I 2 ) , with I 2 = ( 1 / 2 ) tr ( Q 2 ) and I 3 = tr ( Q 3 ) the second and third tensorial invariants of Q, respectively. Determining the remaining contributions of the interaction energy and excess entropy, Ƒ int = Δ E T S exc , is the main objective of this manuscript. In the following, we determine these contributions numerically from the free energy Ƒ. We calculate the latter via thermodynamic integration, which in the present case—thanks to the duality relation between Q and Λ—is simply given by
Ƒ ( Q ) = F 0 k B T Q 0 Q Λ ( Q ) : d Q
In the following, we will perform the thermodynamic integration in the isotropic state where Q 0 = 0 .

3. Gay–Berne Model

In order to test the above ideas, we apply the approach to a specific model system of liquid crystals. It was shown in [15] that the approach outlined in Section 2 when applied to a simple lattice model of liquid crystals indeed leads to an enhanced Landau–de Gennes potential, which describes the numerical data rather accurately. Here, we apply this approach to a more realistic, off-lattice model system of ellipsoidal particles interacting via the Gay–Berne potential [16]. Except for kinetic energies, the Hamiltonian of the system is given by
H = 1 2 i , j U i j ( r i j , u i , u j )
where the pair potential depends not only on the distance vector r i j but also on the relative orientation of the two particles,
U 12 ( r , u 1 , u 2 ) = 4 ε ( r ^ , u 1 , u 2 ) [ σ 0 d ( r , u 1 , u 2 ) 12 σ 0 d ( r , u 1 , u 2 6 ]
with d ( r , u 1 , u 2 ) = r σ ( r , u 1 , u 2 ) + σ 0 , where r is the distance between the centers of molecules 1 and 2. The orientation-dependent size parameter
σ ( r , u 1 , u 2 ) = σ 0 { 1 χ ˜ 2 [ ( r ^ · u 1 + r ^ · u 2 ) 2 1 + χ ˜ u 1 · u 2 + ( r ^ · u 1 r ^ · u 2 ) 2 1 χ ˜ u 1 · u 2 ] } 1 / 2
depends on the shape of the particles via the parameter χ ˜ = ( κ 2 1 ) / ( κ 2 + 1 ) , where κ = σ e / σ s is the length-to-breadth ratio of the particles. The energy term is usually written as
ε ( r ^ , u 1 , u 2 ) = ε 0 ε 1 μ ( r ^ , u 1 , u 2 ) ε 2 ν ( u 1 , u 2 )
where
ε 2 ( u 1 , u 2 ) = [ 1 χ ˜ 2 ( u i · u j ) 2 ] 1 / 2
ε 1 ( r ^ , u 1 , u 2 ) = 1 χ ˜ 2 [ ( r ^ · u 1 + r ^ · u 2 ) 2 1 + χ ˜ u 1 · u 2 + ( r ^ · u 1 r ^ · u 2 ) 2 1 χ ˜ u 1 · u 2 ]
The parameter χ ˜ = ( κ 1 / μ 1 ) / ( κ 1 / μ + 1 ) determines the anisotropy of the attractive forces, κ = ϵ s / ϵ e is the ratio of the energies for side-by-side over end-to-end configuration. The parameters σ 0 and ϵ 0 are the length and energy scale of the underlying Lennard–Jones potential for spherical particles, κ = κ = 1 .
We have chosen two sets of parameter values for which the Gay–Berne model has already been studied in the literature: κ = 3 , κ = 5 , μ = 1 , ν = 3 in [30] and κ = 3 , κ = 5 , μ = 2 , ν = 1 in [18,31]. In [30], the temperature-dependence of the model was investigated. There, the IN transition was found to occur at a reduced temperature T * = k B T / ϵ 0 of T * 3 . 6 when the reduced density is fixed to ρ * = ρ σ 0 3 = 0 . 30 , see Figure 1. The concentration instead of the temperature was varied in [31]. There, the IN transition was located around ρ * 0 . 32 for a fixed temperature of T * = 1 . 25 . The isotropic and nematic densities at coexistence for several temperatures were determined in [18]. Since the density changes at the isotropic–nematic transition are usually quite small, it is admissible to consider a fixed density. At even lower temperatures or higher densities, the Gay–Berne model shows a smectic phase, which, however, is beyond the scope of the present study. For clarity of presentation, in the following we focus on the results for the model parameters of [30].
We have performed Metropolis Monte-Carlo simulations of the Gay–Berne model (7) in the generalized canonical ensemble for systems containing N = 1000 ellipsoidal particles. We have verified the simulation code by comparing various thermodynamic and structural quantities for the equilibrium case ( Λ = 0 ) to literature data [30,31] (see also Figure 1).
For several sets of chosen Lagrange multipliers Λ, we evaluate the order parameter tensor Q ( Λ ) and other thermodynamic quantities of interest. The Lagrange multipliers act as orienting fields that induce a non-zero mean orientation even in the isotropic phase (3). In Figure 2, we show the orientational order parameter Q 11 for uniaxial Lagrange multipliers Λ = λ ( n n ( 1 / 3 ) 1 ) with n a unit vector. The orientational order increases with increasing Λ 11 = ( 2 / 3 ) λ until it saturates for λ 10 . For weak fields and in the isotropic regime, a linear response relation holds, Q = χ Λ with the susceptibility χ. In the high-temperature, low-density limit, χ approaches the value for non-interacting rotors χ 0 = 2 / 15 . For the present choice of parameters with a relatively high density, we do not observe this limit within the temperature range studied. Upon lowering the temperature or increasing the density, | χ | increases strongly near the isotropic–nematic transition.
Figure 1. Main frame: The Maier–Saupe orientational order parameter S 2 as a function of reduced temperature T * for the Gay–Berne model [30] from Monte-Carlo simulations of a system of N = 1000 particles. The isotropic–nematic transition is clearly visible. The inset shows the mean potential energy per particle, E / N , also as a function of reduced temperature.
Figure 1. Main frame: The Maier–Saupe orientational order parameter S 2 as a function of reduced temperature T * for the Gay–Berne model [30] from Monte-Carlo simulations of a system of N = 1000 particles. The isotropic–nematic transition is clearly visible. The inset shows the mean potential energy per particle, E / N , also as a function of reduced temperature.
Polymers 05 00328 g001
Figure 2. (Color online) The main frame shows the order parameter Q 11 as a function of Λ 11 for uniaxial forms of the Lagrange multiplier. The model parameters of [30] have been chosen with different temperatures in the isotropic regime. The inset shows the initial susceptibility χ as a function of reduced temperature, corresponding to the linear relation shown as broken lines in the main frame.
Figure 2. (Color online) The main frame shows the order parameter Q 11 as a function of Λ 11 for uniaxial forms of the Lagrange multiplier. The model parameters of [30] have been chosen with different temperatures in the isotropic regime. The inset shows the initial susceptibility χ as a function of reduced temperature, corresponding to the linear relation shown as broken lines in the main frame.
Polymers 05 00328 g002
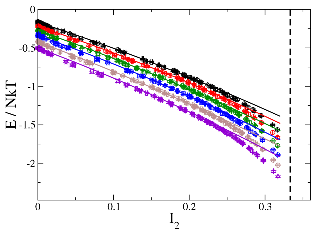
We use not only uniaxial but also the general biaxial form for the Lagrange multipliers. In particular, we use the parametrization Λ = ( λ + λ / 2 ) ( n n ( 1 / 3 ) 1 ) + λ ( m m ( 1 / 3 ) 1 ) , where n and m are two orthogonal unit vectors. We varied the strength of the biaxiality parameter λ with respect to the unixial one λ within the range λ / λ = 0 0 . 7 . Of special interest to us is the mean internal energy E = H Λ . In Figure 3, we plot the mean internal energy per molecule E / N k B T as a function of the second invariant I 2 = ( 1 / 2 ) tr ( Q 2 ) for several choices of the Lagrange multipliers. The first result of this paper is the interesting finding that the mean internal energy can be described as a function of I 2 only, without explicit dependence on the third invariant I 3 even in the case of biaxial Lagrange multipliers. More quantitatively, we find that the mean internal energy is rather well described by the functional form
E ( ρ , T ; Q ) = E 0 ( ρ , T ) u 1 ( ρ , T ) N k B T I 2 u 2 ( ρ , T ) N k B T I 2 2
The mean internal energy in the isotropic state E 0 is decreasing with decreasing temperature, showing a sudden drop at the isotropic–nematic transition (see inset in Figure 1). The second term in Equation (12) is the classical Maier–Saupe expression [1,2] for the mean interaction energy. The last term is a correction for stronger orientational ordering. A similar correction term has been proposed already in [32] in order to improve the comparison of the Maier–Saupe theory with experimental data. In agreement with the original ideas of Maier and Saupe, we observe that u 1 is positive and therefore favors parallel alignment of the molecules. For the model parameters suggested in [30], at a constant density ρ * = 0 . 3 , the corresponding coefficients are given in Table 1. Since deviation of E ( I 2 ) from a linear form occurs only at rather strong orientational ordering, it is indeed justified to consider the quadratic term in Equation (12) as a correction, even though the magnitude of u 1 and u 2 are comparable, see Table 1. Moreover, we observe that u 1 and u 2 depend on the chosen model parameters, with u 1 increasing with decreasing temperature.
Figure 3. (Color online) Reduced mean internal energy per particle for the Gay–Berne model of [30] as a function of the second tensorial invariant of Q. From top to bottom, temperature decreases as T = 5 . 0 , 4 . 8 , 4 . 6 , 4 . 4 , 4 . 2 . Symbols represent the numerical values from Monte-Carlo simulations in the generalized canonical ensemble, while lines represent the fit to Equation (12).
Figure 3. (Color online) Reduced mean internal energy per particle for the Gay–Berne model of [30] as a function of the second tensorial invariant of Q. From top to bottom, temperature decreases as T = 5 . 0 , 4 . 8 , 4 . 6 , 4 . 4 , 4 . 2 . Symbols represent the numerical values from Monte-Carlo simulations in the generalized canonical ensemble, while lines represent the fit to Equation (12).
Polymers 05 00328 g003
Table 1. Coefficients appearing in the Landau–de Gennes free energy Equation (14) and the mean internal energy Equation (12) for the model parameters used in [30]. Numbers in brackets denote the uncertainty in the last digit.
Table 1. Coefficients appearing in the Landau–de Gennes free energy Equation (14) and the mean internal energy Equation (12) for the model parameters used in [30]. Numbers in brackets denote the uncertainty in the last digit.
ρ * T * s 1 u 1 u 2 E 0 / N ϵ 0
0.35.01.20(1)3.18(6)2.0(3)-0.167(2)
0.34.81.25(2)3.24(8)2.2(3)-0.220(3)
0.34.61.21(1)3.43(8)2.0(3)-0.275(2)
0.34.41.32(1)3.44(8)2.5(3)-0.342(2)
0.34.21.26(1)3.72(9)1.7(4)-0.420(3)
0.34.01.34(5)3.73(8)2.3(3)-0.505(2)

4. Landau–de Gennes Free Energy for Gay–Berne Model

Next, we evaluate the change in the generalized free energy from its isotropic value, Δ Ƒ = Ƒ F 0 , by thermodynamic integration via Equation (5). The result is shown in Figure 4 for various temperatures. For the temperatures considered in Figure 4, the equilibrium corresponding to the minimum of Δ Ƒ is obtained for I 2 = 0 , i.e., the isotropic state, in agreement with previous results (Figure 1). As expected, the minimum becomes shallower upon lowering the temperature towards the isotropic–nematic transition.
Figure 4. (Color online) Generalized free energy change per particle, Δ Ƒ / N k B T , for the Gay–Berne model of [30] as a function of the second tensorial invariant of Q. From top to bottom, temperature decreases as T = 5 . 0 , 4 . 8 , 4 . 6 , 4 . 4 , 4 . 2 , 4 . 0 , 3 . 8 . The dashed vertical line represents the upper bound for the second invariant I 2 1 / 3 .
Figure 4. (Color online) Generalized free energy change per particle, Δ Ƒ / N k B T , for the Gay–Berne model of [30] as a function of the second tensorial invariant of Q. From top to bottom, temperature decreases as T = 5 . 0 , 4 . 8 , 4 . 6 , 4 . 4 , 4 . 2 , 4 . 0 , 3 . 8 . The dashed vertical line represents the upper bound for the second invariant I 2 1 / 3 .
Polymers 05 00328 g004
Taking advantage of the known form of the ideal orienational free energy for non-interacting particles Ƒ id from [29], we subtract this term from Δ Ƒ and are left with the interaction contribution Ƒ int = Δ Ƒ Ƒ id . Using Equation (12) for the mean interaction energy, we can then determine the excess entropy S exc from Ƒ int = Δ E T S exc , Δ E = E E 0 , which is the only remaining unknown in the generalized free energy. Figure 5 shows the dimensionless excess entropy per particle, S exc / N k B , as a function of the second tensorial invariant I 2 . It is interesting and surprising to note that, to a first approximation, S exc can be well described by a simple function of I 2 ,
S exc ( ρ , T ; Q ) = s 1 ( ρ , T ) N k B φ ( I 2 )
The slight deviations from a linear function can be rationalized by a mean-field approximation to Onsager’s excluded volume functional, φ ( x ) = 1 1 3 x (see Appendix B and [33,34] for a derivation of φ ). The values of the coefficient s 1 obtained from a linear regression of the simulation data are shown in Table 1. As apparent from Figure 5, s 1 is only weakly increasing with decreasing temperature for the model parameters of [30]. Figure 5 demonstrates the entropic favoring of parallel alignment due to steric hindrance, i.e., even though orientational entropy is lost due to the alignment, translational entropy is increased since the available volume is larger for oriented particles [8]. We note that the simple form Equation (13) breaks down for very strong ordering. Since this regime is dominated by the divergence of the ideal orientational entropy S id , we expect deviations from Equation (13) to have a minor effect only.
Figure 5. (Color online) Dimensionless excess orientational entropy per particle, S exc / N k B , for the Gay–Berne model of [30] as a function of the second tensorial invariant of Q. The same color coding as in Figure 4 is used.
Figure 5. (Color online) Dimensionless excess orientational entropy per particle, S exc / N k B , for the Gay–Berne model of [30] as a function of the second tensorial invariant of Q. The same color coding as in Figure 4 is used.
Polymers 05 00328 g005
Putting the results from the simulations of the Gay–Berne model together, we arrive at the Landau–de Gennes potential,
Ƒ ( ρ , T , Q ) = F 0 ( ρ , T ) + Ƒ id ( T , Q ) + Ƒ int ( ρ , T , Q ) Ƒ id ( T , Q ) = T S id ( Q ) = N k B T [ ln ( Q ) + 2 3 ( Q 1 ) ] Ƒ int ( ρ , T , Q ) = N k B T [ u 1 ( ρ , T ) I 2 + u 2 ( ρ , T ) I 2 2 + s 1 ( ρ , T ) φ ( I 2 ) ]
where Q was defined above. Equation (14) is the main result of the present study, which provides the most economical macroscopic description of the Gay–Berne model system.

5. Isotropic–Nematic Transition from Landau–de Gennes Free Energy

The standard Landau–de Gennes form of the effective free energy is obtained by expanding Ƒ from Equations (14) for weak orientational ordering,
Ƒ / N k B T F 0 / N k B T + 1 2 ( 15 2 c 1 ) tr ( Q 2 ) 75 14 tr ( Q 3 ) + 1 4 ( 3825 196 c 2 ) [ tr ( Q 2 ) ] 2 + O ( Q 5 )
where c 1 = u 1 + ( 3 / 2 ) s 1 and c 2 = u 2 + ( 9 / 2 ) s 1 . From Equation (15) we recognize the familiar scenario of a first order phase transition within Landau theory [8]. Different from the standard expression, the coefficient of the fourth order term is slightly density- and temperature-dependent, due to the deviation of the mean internal energy from the Maier–Saupe expression for strong orientational ordering and nonlinear entropic effects. In order to describe stable biaxial phases, a sixth order expansion of the free energy was found to be necessary [35], which clearly is contained within our approach. Figure 6 shows the full Landau–de Gennes free energy Ƒ, Equation (14), as a function of the Maier–Saupe orientational order parameter S 2 for the model parameters of [30]. While the overall behavior is characteristic for a first order transition, clear deviations from a polynomial behavior are seen due to the singular behavior of Ƒ near the full oriented states at S 2 = 1 / 2 and S 2 = 1 . Within the isotropic regime, the analytical formula agrees nicely with the simulation results from thermodynamic integration. Extrapolating the model parameters given in Table 1 to lower temperatures, we include in Figure 6 also the graphs for Ƒ at the isotropic–nematic transition, which we estimate as T IN 3 . 52 , and at an even lower temperature in the nematic phase. For the value of S 2 at the transition we find S 2 ( T IN ) 0 . 59 , in good agreement with previous results (see Figure 1).
Figure 6. (Color online) The dimensionless Landau–de Gennes free energy per particle, Ƒ / N k B T from Equation (14), as a function of the Maier–Saupe orientational order parameter S 2 , for the Gay–Berne model of [30]. Temperature decreases from top to bottom as T * = 5 . 0 , 4 . 0 , 3 . 52 , 3 . 3 . Symbols denote the result of Monte-Carlo simulation in the generalized canonical ensemble in the isotropic state.
Figure 6. (Color online) The dimensionless Landau–de Gennes free energy per particle, Ƒ / N k B T from Equation (14), as a function of the Maier–Saupe orientational order parameter S 2 , for the Gay–Berne model of [30]. Temperature decreases from top to bottom as T * = 5 . 0 , 4 . 0 , 3 . 52 , 3 . 3 . Symbols denote the result of Monte-Carlo simulation in the generalized canonical ensemble in the isotropic state.
Polymers 05 00328 g006
In the present model, the isotropic–nematic transition occurs when the combined energetic and excess-entropic gain for orientational ordering overwhelms the loss of ideal orientational entropy. Therefore, Onsager’s excluded volume interaction and Maier–Saupe’s attraction both play a role on the macroscopic level of this model, their mutual importance depending on the chosen state point. Since we find that the dominant energetic contribution u 1 grows with decreasing temperature in a similar manner as the entropic contribution, we conclude that even in the case where the IN transition is temperature-driven, entropic effects can play an important role.
For the case of hard ellipsoids, it was found by extensive simulations that a minimum axis ratio is needed in order to allow for IN transition [36]. This finding is consistent with the present approach since there is no energetic contribution to the free energy for hard particles, so that entropic effects have to compensate for that. The density- and temperature-dependence of the coefficient a ( ρ , T ) = 15 / 2 c 1 ( ρ , T ) of the quadratic term in Equation (15) is crucial for the isotropic–nematic phase transition. The condition a = 0 defines the pseudocritical point where the isotropic state becomes unstable. From Λ = ( β Ƒ ) / Q , Equation (21), we find the simple relation χ = 1 / a in the isotropic regime, with the susceptibility χ of orientational ordering in response to a weak applied field Λ, Q = χ Λ . Therefore, the susceptibility χ diverges not at the IN transition but at a lower temperature, where the isotropic state loses its stability (see inset to Figure 2). Note that the susceptibility is in general anisotropic in the nematic regime and therefore has to be represented by a tensorial quantity.

6. Conclusions

We have demonstrated a systematic method in order to derive the macroscopic Landau–de Gennes free energy of nematics from an underlying microscopic model. The method relies on the generalized canonical distribution and corresponding thermodynamic integration. From Monte-Carlo simulations in the generalized canonical ensemble, we find explicit expressions for the energetic and entropic contributions to the effective free energy. The method extends earlier work along the same lines on the Lebwohl–Lasher model [15] to off-lattice models including excess entropy due to translational degrees of freedom. For the special case of ellipsoidal particles interacting via the Gay–Berne potential with the parameters of [30], we find that the excess entropy is an additional driving force to energetic attraction for the isotropic–nematic transition, where the latter dominates for this temperature-driven case.
Besides addressing such questions, the method presented here can be useful in large-scale studies of defect structures in liquid crystals or hybrid systems, such as colloidal particles dispersed in a liquid crystal [37]. The multi-scale nature of these systems prevents a detailed simulation of liquid-crystalline mesogens such that a coarse-grained modeling has to be employed. While so far the standard Landau–de Gennes free energy was used in these studies with little or no connection to the underlying microscopic model, our approach allows to use a more realistic macroscopic free energy that is determined by the properties of the microscopic model. Since also surface tension effects in liquid crystals are ruled by the effective free energy [38], a consistent treatment involving interfaces could benefit from the present study. For studying phase ordering kinetics, it was found experimentally that thermal diffusivity changes the scaling laws for domain growth in liquid crystals [39]. Working within a non-equilibrium thermodynamics framework, our approach should also be useful in addressing this issue. Finally, the Landau–de Gennes free energy is routinely used in phenomenological models for nematodynamics [8]. There, especially in strong flow conditions, a quartic form of the free energy is clearly insufficient to keep the order parameter within the physically admissible range [34] and an enhanced Landau–de Gennes potential is very desirable.

A. Generalized Canonical Ensemble

In order to make the paper self-contained, we here review briefly basic notions and relations for the generalized canonical ensemble (also known as “quasi-equilibrium approximation”) that we use in the present work. More details can be found in [26,27,28] as well as in textbooks on statistical thermodynamics.
Let Γ denote a point in the phase space of the system (here given in terms of the positions and orientations of all N particles) and ρ ( Γ ) the microscopic phase space density. The Gibbs entropy associated with the state ρ is given by the functional
S [ ρ ] = k B d Γ ρ ( Γ ) ln ρ ( Γ )
Macroscopic quantities of interest are calculated as phase space averages for given density ρ,
m k [ ρ ] = d Γ m ^ k ( Γ ) ρ ( Γ )
The normalization of the distribution function is described by m 0 = N , m ^ 0 = 1 . The mean internal energy m 1 = E is given by the mean value of the Hamiltonian, m ^ 1 = H . In the present case, further macroscopic quantities of interest are the components of the alignment tensor Equation (1), m 2 7 = Q , m ^ 2 7 = Π .
In analogy to the derivation of the canonical distribution function in equilibrium statistical mechanics, we employ the maximum entropy principle for the extended set of macroscopic variables m k , k = 0 , , 7 ,
S [ ρ ] max , m k [ ρ ] = const .
Technically, the extremum under given constraints can be obtained by introducing Lagrange multipliers λ k and extremizing the extended functional,
δ δ ρ ( Γ ) S [ ρ ] k λ k ( m k [ ρ ] m k ) ρ * = 0
Performing the derivative, we derive the generalized canonical distribution
ρ * ( Γ ) = exp [ 1 k B k λ k m ^ k ( Γ ) ]
where the Lagrange multipliers have to be chosen to ensure the chosen constraints, d Γ m ^ k ( Γ ) ρ * ( Γ ) = m k . With the change of notation, β = λ 1 / k B , Λ k = λ k / k B for k = 2 , , 7 , we recover the form of the distribution function ρ Λ = exp [ β H Λ : Π Λ 0 ] given in the main text above. Putting Λ = 0 , i.e., not prescribing the value of the alignment tensor, we recover the usual canonical distribution function.
The Lagrange multipliers are determined from the constraints N = 1 Λ , E = H Λ and Q = Π Λ , where the averages are performed with ρ Λ . From the normalization of ρ Λ , we define the generating function β G = Λ 0 + ln N , Equation (2). Derivatives of β G with respect to β and Λ directly give the values of E and Q, respectively, see Equation (3). Therefore, the Lagrange multipliers are the natural variables of β G , d ( β G ) = E d β + Q : d Λ . In order to arrive at an effective free energy in terms of the variables Q, we perform the Legendre transformation defined in Equation (4). Then, d ( β F ) = d ( β G ) d ( Q : Λ ) = E d β Λ : d Q , and we can read off the relations
E = ( β F ) β , Λ = ( β F ) Q
Defining the entropy S via the usual relation F = E T S , we find that S ( Λ ) = ( F / T ) Λ . Finally, integrating the relation d ( β F ) | β = const . = Λ : d Q at constant temperature, we arrive at the rule for the thermodynamic integration given by Equation (5).

B. Virial Route

Consider the high-temperature regime. For sufficiently dilute conditions, the inter-particle interactions U 12 can be taken into account to first order in density by
e β F = e β F id [ 1 + N 2 2 V d 2 u 1 d 2 u 2 b 2 ( u 1 , u 2 ) ψ ( u 1 ) ψ ( u 2 ) ]
where F 0 is the free energy of the ideal reference state and ψ ( u ) the one-particle orientational distribution function. The quantity b 2 is a kind of second virial coefficient, b 2 ( u 1 , u 2 ) = d 3 r 12 [ e β U 12 1 ] with the symmetry properties b 2 ( u 1 , u 2 ) = b 2 ( ( u 1 · u 2 ) 2 ) . For hard cylinders, Onsager found the exact result for the excluded volume b 2 = ν 1 ( u 1 · u 2 ) 2 , where ν = 2 b L 2 , with b and L the diameter and length of the cylinders, respectively [8]. This result is the starting point for density functional theories of nematics [5], where the minimum of the free energy functional F [ ψ ] determines the equilibrium state. Expanding b 2 to leading order, b 2 a 0 + a 1 ( u 1 · u 2 ) 2 , results in an effective free energy F F id a 1 I 2 that is proportional to the second tensorial invariant I 2 = ( 1 / 2 ) tr ( Q 2 ) as in the Maier–Saupe theory. In general, however, the nonlinearity of b 2 prevents a direct identification of a Landau–de Gennes free energy in terms of the orientational order parameter Q. Alternatively, one might use a mean-field argument to the Onsager functional to arrive at an effective free energy of the form F F id 1 3 I 2 [33]. Figure A1 shows the function b 2 ( ( u 1 · u 2 ) 2 ) for the model parameters of [30] from numerical integration. Small variations of b 2 with temperature are seen. It is apparent from Figure A1 that b 2 is neither described by a quadratic form nor by a simple square-root behavior. Therefore, we expect corrections to either the Maier–Saupe or Onsager approach for this model system.
We note in passing that the potential G ( Λ ) , Equation (2), can also by treated in virial approximation, resulting in Equation (22) with the replacements F G ( Λ ) , F id G id ( Λ ) and ψ ( u ) ψ Λ ( u ) with ψ Λ ( u ) = exp [ u u : Λ ] / d 2 u exp [ u u : Λ ] , where we assume Λ to be traceless.
Figure A1. The quantity b 2 defined in the text as a function of the relative orientation of two particles, u 1 · u 2 , for the Gay–Berne model of [30]. The temperature decreases on the right from top to bottom as T = 5 . 0 , 4 . 8 , 4 . 6 , 4 . 4 , 4 . 2 , 4 . 0 .
Figure A1. The quantity b 2 defined in the text as a function of the relative orientation of two particles, u 1 · u 2 , for the Gay–Berne model of [30]. The temperature decreases on the right from top to bottom as T = 5 . 0 , 4 . 8 , 4 . 6 , 4 . 4 , 4 . 2 , 4 . 0 .
Polymers 05 00328 g007

References

  1. Maier, W.; Saupe, A. Eine einfache molekular–statistische Theorie der nematischen kristallinflüssigen Phase. Teil I. Z. Naturforsch. 1959, 14A, 882–889. [Google Scholar] [CrossRef]
  2. Maier, W.; Saupe, A. Eine einfache molekular–statistische Theorie der nematischen kristallinflüssigen Phase. Teil II. Z. Naturforsch. 1960, 15A, 287–292. [Google Scholar] [CrossRef]
  3. Onsager, L. The effects of shape on the interaction of colloidal particles. Ann. N. Y. Acad. Sci. 1949, 51, 627–659. [Google Scholar] [CrossRef]
  4. Vroege, G.J.; Lekkerkerker, H.N.W. Phase Transitions in lyotropic colloidal and polymer liquid crystals. Rep. Prog. Phys. 1992, 55, 1241–1309. [Google Scholar] [CrossRef]
  5. Singh, R.C. Temperature-dependent study of isotropic-nematic transition for a Gay-Berne fluid using density-functional theory. J. Phys. Condens. Matter 2007, 19, 376101:1–376101:12. [Google Scholar] [CrossRef]
  6. Felderhof, B.U. Orientational relaxation in the Maier-Saupe model of nematic liquid crystals. Physica A 2003, 323, 88–106. [Google Scholar] [CrossRef]
  7. Simões, M.; Pazeti, M.; Domiciano, S.M. Maier-Saupe and Onsager approaches as limits of the nematic-isotropic phase transition. Phys. Rev. E 2001, 65, 011707:1–011707:6. [Google Scholar] [CrossRef]
  8. de Gennes, P.G.; Prost, J. The Physics of Liquid Crystals, 2nd ed.; Clarendon Press: Oxford, UK, 1993. [Google Scholar]
  9. Wilson, M.R. Molecular simulation of liquid crystals: Progress towards a better understanding of bulk structure and the prediction of material properties. Chem. Soc. Rev. 2007, 36, 1881–1888. [Google Scholar] [CrossRef] [PubMed]
  10. Katriel, J.; Kventsel, G.F.; Luckhurst, G.R.; Sluckin, T.J. Free energies in the Landau and molecular field approaches. Liq. Cryst. 1986, 1, 337–355. [Google Scholar] [CrossRef]
  11. Ball, J.M.; Majumdar, A. Nematic liquid crystals: From Maier-Saupe to a continuum theory. Mol. Cryst. Liq. Cryst. 2010, 525, 1–11. [Google Scholar] [CrossRef]
  12. Ferrarini, A.; Greco, C.; Luckhurst, G.R. On the flexoelectric coefficients of liquid crystal monomers and dimers: A computational methodology bridging length-scales. J. Mater. Chem. 2007, 17, 1039–1042. [Google Scholar] [CrossRef]
  13. Lasher, G. Nematic ordering of hard rods derived from a scaled particle treatment. J. Chem. Phys. 1970, 53, 4141–4146. [Google Scholar] [CrossRef]
  14. Lebwohl, P.A.; Lasher, G. Nematic-Liquid-Crystal Order—A Monte Carlo Calculation. Phys. Rev. A 1972, 6, 426–429. [Google Scholar] [CrossRef]
  15. Ilg, P. Enhanced Landau–de Gennes potential for nematic liquid crystals from a systematic coarse-graining procedure. Phys. Rev. E 2012, 85, 061709:1–061709:9. [Google Scholar] [CrossRef]
  16. Gay, J.G.; Berne, B.J. Modification of the overlap potential to mimic a linear site-site potential. J. Chem. Phys. 1981, 74, 3316–3319. [Google Scholar] [CrossRef]
  17. Wilson, M.R. Progress in computer simulations of liquid crystals. Int. Rev. Phys. Chem. 2005, 24, 421–455. [Google Scholar] [CrossRef]
  18. de Miguel, E. Reexamining the phase diagram of the Gay-Berne fluid. Mol. Phys. 2002, 100, 2449–2459. [Google Scholar] [CrossRef]
  19. de Miguel, E.; Vega, C. The global phase diagram of the Gay-Berne model. J. Chem. Phys. 2002, 117, 6313–6322. [Google Scholar] [CrossRef]
  20. Velasco, E.; Somoza, A.M.; Mederos, L. Liquid-crystal phase diagram of the Gay-Berne fluid by perturbation theory. J. Chem. Phys. 1995, 102, 8107–8113. [Google Scholar] [CrossRef]
  21. Mishra, P.; Singh, S.; Ram, J.; Singh, Y. Pair correlation functions and a free energy functional for the nematic phase. J. Chem. Phys. 2007, 127, 044905:1–044905:11. [Google Scholar] [CrossRef] [PubMed]
  22. Steuer, H.; Hess, S. Direct computation of the twist elastic coefficient of a nematic liquid crystal via Monte Carlo Simulations. Phys. Rev. Lett. 2005, 94, 027802:1–027802:4. [Google Scholar] [CrossRef]
  23. Gorban, A.N.; Kazantzis, N.K.; Kevrekidis, I.V.; Öttinger, H.C.; Theodoropoulos, C. Model Reduction and Coarse-Graining Approaches for Multiscale Phenomena; Springer: Berlin, Germany, 2006. [Google Scholar]
  24. Voth, G.A. Coarse-Graining of Condensed Phases and Biomolecular Systems; CRC Press: Boca Raton, FL, USA, 2009. [Google Scholar]
  25. Öttinger, H.C. Systematic coarse graining: “Four Lessons and A Caveat” from nonequilibrium statistical mechanics. MRS Bull. 2007, 32, 936–940. [Google Scholar] [CrossRef]
  26. Gorban, A.N.; Karlin, I.V. Invariant Manifolds for Physical and Chemical Kinetics; Springer: Berlin, Germany, 2005. [Google Scholar]
  27. Gurp, M. On the use of spherical tensors and the maximum entropy method to obtain closure for anisotropic fluids. J. Rheol. 1998, 42, 1269–1271. [Google Scholar] [CrossRef]
  28. Ilg, P.; Karlin, I.V.; Kröger, M.; Öttinger, H.C. Canonical distribution functions in polymer dynamics: II Liquid-crystalline polymers. Physica A 2003, 319, 134–150. [Google Scholar] [CrossRef]
  29. Ilg, P.; Hütter, M.; Kröger, M. Ideal contribution to the macroscopic quasiequilibrium entropy of anisotropic fluids. Phys. Rev. E 2011, 83, 061713:1–061713:7. [Google Scholar] [CrossRef]
  30. Berardi, R.; Emerson, A.P.J.; Zannoni, C. Monte Carlo investigations of a Gay-Berne liquid crystal. J. Chem. Soc. Faraday Trans. 1993, 89, 4096–4078. [Google Scholar] [CrossRef]
  31. de Miguel, E. System-size effects at the isotropic-nematic transition from computer simulation. Phys. Rev. E 1993, 47, 3334–3342. [Google Scholar] [CrossRef]
  32. Humphries, R.L.; James, P.G.; Luckhurst, G.R. Molecular field treatment of nematic liquid crystals. J. Chem. Soc. Faraday Trans. 2 1972, 68, 1031–1044. [Google Scholar] [CrossRef]
  33. Ilg, P.; Karlin, I.V.; Öttinger, H.C. Generating moment equations in the Doi model of liquid–crystalline polymers. Phys. Rev. E 1999, 60, 5783–5787. [Google Scholar] [CrossRef]
  34. Heidenreich, S.; Ilg, P.; Hess, S. Robustness of the periodic and chaotic orientational behavior of tumbling nematic liquid crystals. Phys. Rev. E 2006, 73, 061710:1–061710:11. [Google Scholar] [CrossRef]
  35. Allender, D.; Longa, L. Landau-de Gennes theory of biaxial nematics reexamined. Phys. Rev. E 2008, 78, 011704:1–011704:11. [Google Scholar] [CrossRef]
  36. Frenkel, D.; Mulder, B.M. The hard ellipsoid-of-revolution fluid. I. Monte Carlo simulations. Mol. Phys. 1985, 55, 1171–1192. [Google Scholar] [CrossRef]
  37. Guzmán, O.; Kim, E.B.; Grollau, S.; Abbott, N.L.; de Pablo, J.J. Defect structure around two colloids in a liquid crystal. Phys. Rev. Lett. 2003, 91, 235507:1–235507:4. [Google Scholar] [CrossRef]
  38. Martínez-Ratón, Y.; Velasco, E.; Somoza, A.M.; Mederos, L.; Sluckin, T.J. Theoretical study of the anomalous surface tension properties of liquid crystals. J. Chem. Phys. 1998, 108, 2583–2593. [Google Scholar] [CrossRef]
  39. Huisman, B.A.H.; Fasolino, A. Influence of latent heat and thermal diffusion on the growth of nematic liquid crystal nuclei. Phys. Rev. E 2007, 76, 021706:1–021706:7. [Google Scholar] [CrossRef]

Share and Cite

MDPI and ACS Style

Gupta, B.; Ilg, P. Energetic and Entropic Contributions to the Landau–de Gennes Potential for Gay–Berne Models of Liquid Crystals. Polymers 2013, 5, 328-343. https://doi.org/10.3390/polym5020328

AMA Style

Gupta B, Ilg P. Energetic and Entropic Contributions to the Landau–de Gennes Potential for Gay–Berne Models of Liquid Crystals. Polymers. 2013; 5(2):328-343. https://doi.org/10.3390/polym5020328

Chicago/Turabian Style

Gupta, Bhaskar, and Patrick Ilg. 2013. "Energetic and Entropic Contributions to the Landau–de Gennes Potential for Gay–Berne Models of Liquid Crystals" Polymers 5, no. 2: 328-343. https://doi.org/10.3390/polym5020328

APA Style

Gupta, B., & Ilg, P. (2013). Energetic and Entropic Contributions to the Landau–de Gennes Potential for Gay–Berne Models of Liquid Crystals. Polymers, 5(2), 328-343. https://doi.org/10.3390/polym5020328

Article Metrics

Back to TopTop