Next Article in Journal
Coordination Polymers and Metal Organic Frameworks Derived from 1,2,4-Triazole Amino Acid Linkers
Previous Article in Journal
Biodegradable Cell-Seeded Nanofiber Scaffolds for Neural Repair
 
 
Font Type:
Arial Georgia Verdana
Font Size:
Aa Aa Aa
Line Spacing:
Column Width:
Background:
Article

Effect of Compatibilization on Poly-ε-Caprolactone Grafting onto Poly(ethylene-co-vinyl alcohol)

by
Samira Touhtouh
1,2,3,
Frederic Becquart
1,2,3,
Caroline Pillon
1,2,3 and
Mohamed Taha
1,2,3,*
1
Université de Lyon, F-42023, Saint Etienne, France
2
CNRS, UMR 5223, Ingénierie des Matériaux Polymères, 42023, Saint-Etienne, France
3
IMP@UJM, Université de Saint-Etienne, Jean Monnet, F-42023, Saint-Etienne, France
*
Author to whom correspondence should be addressed.
Polymers 2011, 3(4), 1734-1749; https://doi.org/10.3390/polym3041734
Submission received: 13 July 2011 / Revised: 24 August 2011 / Accepted: 6 October 2011 / Published: 11 October 2011

Abstract

: The non-miscibility of the reactants during solvent free poly-ε-caprolactone grafting onto poly(ethylene-co-vinyl alcohol) (EVOH) dramatically affects reaction kinetics. Different solutions were proposed to accelerate the exchange reactions between poly(ethylene-co-vinyl alcohol) and poly-ε-caprolactone. Reactions were conducted in a batch reactor or a mini twin-screw extruder. The addition of a poly(ethylene-co-vinyl alcohol)-g-poly-ε-caprolactone copolymer increased the compatibility of the reactants and led to a higher reaction rate. This copolymer was either prepared separately and added at the reaction beginning or prepared in situ grafting caprolactone from EVOH. The reactive system evolution was analyzed using molar mass evolution, microstructure characterization, thermal properties and the reactive blend morphology. The compatibilization effect combined with optimized reaction conditions, such as concentration and nature of catalyst and temperature, resulted in an important increase in reaction rates. Among the tested catalysts, 1,5,7-Triazabicyclo [4.4.0]dec-5-ene was a more efficient catalyst for grafting reactions than Tin (II) 2-ethylhexanoate.

1. Introduction

The increasing interest in biodegradable polymer is not only relied to environmental concerns, like waste management, but also on the fact that they can be good candidates for replacing traditional materials, as metals and ceramics, for biomedical applications [1-4].

Due to their versatility, bioresorbable polymers can be used either to mimic the properties of various tissues, or to develop devices such as temporary prostheses, porous structures and they can also be utilized as scaffolds for soft and hard tissues engineering [5].

Since each application requires specific mechanical and degradation properties, polymers, copolymers and blends were specially tailored to obtain materials corresponding to these properties: biodegradability, processability or specific mechanical strength [6-9].

Poly(ethylene-co-vinyl alcohol) (EVOH) and poly-ε-caprolactone (PCL) are two polymers with different biodegradability. EVOH is a non-biodegradable copolymer while PCL is biodegradable polyester. Grafting PCL on EVOH or other non-biodegradable polymers associates mechanical properties of a non-biodegradable backbone to the biodegradability of grafts [10-15]. Poly-ε-caprolactone has been grafted from poly(alkyl methacrylate) or poly(ethylene-co-vinyl alcohol) [10-14,16].

Starch-g-PCL was prepared by ring opening graft polymerization of ε-caprolactone from starch [15]. The synthesis was made using various proportions of Starch/CL/Water to obtain starch-g-PCL with various structures. Ydens et al. [17] synthesized Dextran-g-PCL that is an amphiphilic surfactant polymer. Three synthesis steps were used for protective silylation of dextran, ring opening polymerization from dextran and finally deprotection of silylated dextran-graft-PCL. The synthesis was carried out with three catalysts: triethylamine, aluminum triisopropoxide and tin (II) bis-2-ethylhexanoate. Grafting reaction from dextran was very rapid compared to propagation. Tin (II) 2-ethylhexanoate was a good catalyst.

Reactive extrusion is a very efficient method to obtain copolymers with high conversion [18-20]. Regarding EVOH graft onto poly-ε-caprolactone few studies were found in literature. Toselli et al. [21] reported EVOH-g-PCL synthesis in toluene at 100 °C. Isopropoxyde aluminium was used as catalyst. A small polymerization degree has been obtained. The synthesized copolymer was used for PE/PVC compatibilization. Gustavo et al. [22]. reported the synthesis and characterization of PMMA-g-PCL micro-beads by suspension polymerization. Methacryloyl-terminated PCL was used as macromonomer.

In previous studies, EVOH-g-PCL was prepared by grafting PCL from EVOH. Different copolymers were obtained which had interesting elastomeric and adhesion properties. Nevertheless, even if ε-caprolactone conversion can be almost total, some caprolactone residuals can subsist [22,23]. In other studies, and to avoid CL presence in the obtained materials, PCL was grafted onto EVOH [24]. The obtained material was correct but reaction times were relatively high (more than 180 min). It was shown that the low reactivity of the used polymers compared to the reactivity of equivalent low molar mass reactants was due to the immiscibility of the reactive polymers [24]. One goal of these studies is the use of reactive extrusion (REX). Since the mean residence time in REX is typically 2–10 min [25-28], the reaction times necessary to achieve the synthesis using the reaction conditions of the previous studies are not in adequation with REX.

The addition of a compatibilizer to a non-miscible polymer blend, composed of a dispersed phase and a continuous matrix, results in a decrease of the dispersed phase size and a better interphase cohesion [29,30]. These compatibilizers can be either graft or block copolymers [31,32] and can be prepared using functional oligomers [33,34]. Since reactions in a heterogeneous system depend on the morphology of the reactive blend, a compatibilization should have a positive effect on reaction apparent kinetics. In addition to the original properties of the prepared copolymers, this is also a model study on a well defined reactive system and the results can be used for other non-miscible reactive polymers.

In this article, the dynamic exchange reactions between poly(ethylene-co-vinyl alcohol) and poly-ε-caprolactone were accelerated combining different effects. The compatibilization of the immiscible reactants by the addition of a poly(ethylene-co-vinyl alcohol)-g-poly-ε-caprolactone copolymer was either prepared separately and added at the reaction beginning or prepared in situ by grafting CL monomer from EVOH, a choice of a catalyst with an important activity for the exchange reactions, and finally optimization of the reaction parameters.

2. Results and Discussion

Figure 1 presents the torque evolution during exchange reactions between poly-ε-caprolactone and poly(ethylene-co-vinyl alcohol).

For run 1 (Table 1), the catalyst, SnOct2, was added at starting time. As shown in (Figure 1), a rapid torque decrease was observed within 20 s after the addition of catalyst. The torque stayed low during 120 min then finally increased quickly. Since the evolution of the torque reflects the evolution of viscosities of the reaction medium, these torque evolutions can indicate changes in the reactive system structure, morphology and composition.

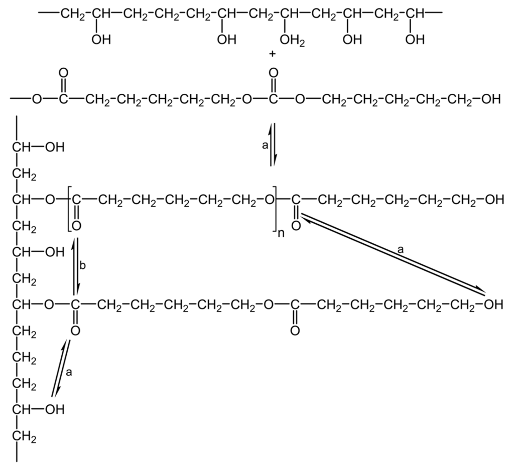
Several simultaneous reactions are possible (Scheme 1):

Alcoholysis is a reaction between alcohol groups of poly(ethylene-co-vinyl alcohol) and esters groups of non graft poly-ε-caprolactone. Poly-ε-caprolactone alcohol chain end reacts with graft ε-caprolactone ester groups. Poly(ethylene-co-vinyl alcohol) alcohols graft poly-ε-caprolactone esters. In addition, transesterification between ester groups of graft and non graft poly-ε-caprolactone is probable.

At the beginning of the reaction, the torque reduction is mainly attributed to the effect of catalyst on poly-ε-caprolactone: PCL chain break results in oligomers formation. The torque increase observed at the end of reaction is attributed to an increase of grafting of poly-ε-caprolactone on poly(ethylene-co-vinyl alcohol).

2.1. EVOH-g-PCL Synthesis: Compatibilization Effect

In the preceding paragraph, it was shown that the reaction is relatively slow; this is due to the non-miscibility of the used reactive polymers. In this part, the effect of compatibilization on the apparent reactivity of theses polymers is analyzed: in runs 2 and 3, the comptabilizer was prepared in-situ.

Reactions were made in a glass reactor. In run 2, ε-caprolactone was mixed with EVOH/PCL at a molar ratio of EVOH/PCL/Cl = 3/3/4. The catalyst was added after 15 min of mixing. In run 3 the poly-ε-caprolactone was added 15 min after mixing EVOH/Cl/catalyst.

In order to study the effect of preformed compatibilizer on the alcoholysis reaction, the copolymer EVOH-g-PCL obtained by run1, was added to the reaction run 4.

Torque evolutions for these experiments are presented in Figure 1.

In runs 2 and 3, the torque increased immediately when the catalyst was added probably due to CL polymerization. The copolymer addition in run 4 did not lead to an immediate evolution of the torque: a slow and continuous increase of the reactor torque was observed suggesting a continuous evolution of the reactive system.

To explain these observations, size exclusion chromatography (SEC), scanning electron microscopy (SEM), nuclear magnetic resonance (NMR), and differential scanning calorimetry (DSC) analysis were performed.

Figure 2 shows the SEC curves of the obtained products. For run 2, after 30 min of reaction, a bimodal distribution was observed. The TEM image of this product (Figure 3) shows also a phase separation with a dispersed phase diameter of 1.5 μm. First it is important to note that the dispersion is much finer for run 2 than for run 1 (For run 1 the dispersed phase had 50 μm [24]). This shows clearly the compatibilization effect of the in-situ formed EVOH-g-PCL.

Nevertheless, the SEC and TEM analysis also shows that, after 30 min reaction, the reactive system is constituted of a mixture of PCL and EVOH-g-PCL.

After 60 min of reaction a homogeneous distribution was observed by SEC for runs 2 and 3: the PCL homopolymers reacted leading to graft copolymers, and the SEC spectra evolutions for higher reaction time are due to redistributions. For run 4, a bimodal distribution was also observed after 30 min. reaction. At 60 min. the distribution became homogeneous and for higher reaction times (more than 60 min) no evolution was detected from SEC spectra. Equivalent evolutions were obtained for runs 2–4 even if the evolution is less perceptible for run 4.

Additional information concerning these systems can be obtained from NMR spectra.

1H NMR spectra of specimens were taken during runs 1–4 (Figure 4, Scheme 2). They were analyzed as described in detail in a previous study [11]. Substitution rates of EVOH and the DPn of the CL were calculated. Results are given in (Table 2).

For run 1, a continuous decrease of the DPn was obtained while the substitution rate—defined as the molar ratio of the alcohol functions transformed to ester: initial alcohol functions—increased. This shows that grafting and exchange reactions occurred during the 240 min.

For runs 2 and 3, the PCL DPn decreased to 5 and the SR increased to 10 during the first 120 min, then remained constant.

Concerning run 4, the substitution rate at 30 min (3%) increased to (4.2%) after 60 min of reaction, then remained stable until the end of reaction.

Table 2 compares DSC data for runs 1–4. The EVOH crystalline phase in EVOH/PCL reactive system is related to the SR. Increasing grafting onto EVOH makes crystallization more difficult and the crystalline phase is inexistent for the higher substitution rates. For runs 1 and 2, the crystalline phase subsisted only for one hour. For all the other experiments, the crystalline phase was not detected even in the lower reaction times, 30 min.

Similarly, the crystalline phase corresponding to the poly-ε-caprolactone depends on the length of the poly-ε-caprolactone chains and also of SR.

The crystallization temperature and enthalpy decreased while the SR increased. Specimens obtained with the higher reaction extents are completely amorphous and have very interesting elastomeric and adhesion properties.

The results obtained from the analyses confirmed that the compatibilization increased the apparent reaction rate of the studied system.

2.2. Catalysts Activities: Comparison between TBD and SnOct2

A previous work described 1,5,7-Triazabicyclo[4.4.0]dec-5-ene (TBD) as a good catalyst for exchange reactions [24]. TBD was used here to compare its effect on exchange reaction between poly(ethylene-co-vinyl alcohol) and poly-ε-caprolactone after compatibilization with in-situ formed EVOH-g-PCL (Run 5).

Substitution rate obtained with run 5 are given in (Table 3). 11% of substitution was obtained after only 30 min of reaction. The reaction is almost completed after 1 hour reaction giving a substitution rate (SR) of 15.6%. Then only a few rearrangements occurred leading to completely amorphous elastomer. The SEC chromatographs comparing TBD and SnOct2 are given in (Figure 5). The molar mass of the reactive system is evidently higher when catalyzed by TBD than by SnOct2. These results show clearly that TBD is a much more efficient catalyst for the exchange reactions of the system used in this study than SnOct2. It will be used in the following part.

2.3. Reaction Parameters Optimization

In this part, the effect of the main parameters in the EVOH-g-PCL synthesis was analyzed: ε-caprolactone amount, catalyst concentration and reaction temperature. Syntheses were realized by “reactive extrusion” in a mini twin-screw extruder. A bypass, positioned at the extruder screw end, forced the material through a feedback channel assuring a continuous mixing of the reactant. PCL, EVOH and ε-CL were first mixed in the mini-extruder. TBD was introduced when a constant torque was obtained.

In-Situ Formed EVOH-g-PCL Concentration Effect

Runs 6 and 7 evaluate the effect of in-situ formed EVOH-g-PCL on grafting reactions. Run 7 contain twice more CL than in run 6. The results are presented in (Table 4). After 30 min of reaction, substitution rate obtained was 6.5% for run 6 and increased to 15% obtained in run 7. The structures as determined by NMR and DSC were unchanged for higher reaction times. SEC (Figure 6) obtained after 60 min of reaction showed a molar mass increase when CL concentration increased. SEM image of the product obtained shows PCL dispersion with a diameter of 7 μm (Figure 7). All these results are coherent and indicate that increasing the ε-caprolactone amount led to a faster formation of graft copolymer by grafting from, and also to, a better homogenization of the reactive system.

A relatively high CL concentration, at least equal to half the concentration of PCL, is needed to obtain correct results.

In the next paragraphs, the possibility to obtain an effect equivalent to the one observed by a CL concentration increase but changing other reaction parameters will be examined. These parameters are:

Catalyst Concentration

The TBD concentration influence in the reaction is analyzed comparing runs 6 and 8 (Table 4). As expected, the increase of the catalyst concentration resulted in higher substitution rate after 30 min of reaction, 10.3% was obtained with 2% (run 8) of catalyst compared to 6.5% with 1% of catalyst (run 6).

Reaction Temperature

Concerning temperature effects, runs 8, 9 and 10, show that the increase in temperature has a positive effect in EVOH-g-PCL synthesis using 4/4/2 EVOH/PCL/CL and 2% of TBD. Three temperatures were used to test temperature effect 176 °C, 186 °C and 200 °C. Figure 8 clearly shows the influence of the temperature on the apparent exchange reaction rate: The molar mass of the reactive system increasing with reaction temperature indicate higher PCL grafting into EVOH.

At 200 °C the substitution rate was approximately equivalent to the one obtained for run 7.

This observation shows clearly that a catalyst concentration increase coupled with higher temperature led to a similar effect on the reactions as seen by an increase of CL concentration (Table 4).

3. Experimental Section

3.1. Materials

The materials used in this study are listed in Table 5.

3.2. Differential Scanning Calorimetry

Differential Scanning Calorimetry (DSC) was carried out on a TA instrument Q10 at a heating or cooling rate of 10 °C min−1 under nitrogen atmosphere. The same thermal history was given to all samples. This consisted of a first heating scan from room temperature to 180 °C at 10 °C min−1, followed by cooling scan to −80 °C at 10 °C min−1. Melting point and enthalpies were evaluated from the second scan.

3.3. Scanning Electron Microscopy

Scanning Electron Microscopy experiments were made on a HITACHI S3000-N. Samples were dry fractured then gold coated prior to analysis.

3.4. Transmission Electronic Microscopy

Ultrathin sections (ca. 30 nm thick) were microtomed from the extrudates at room temperature with a diamond knife and collected on copper grids. Poly-ε-caprolcatone was then selectively stained with osmium tetroxyde (OsO4) during 15 min at room temperature. Imaging was done on a HITACHI H800-3 microscope.

3.5. Nuclear Magnetic Resonance

The 1H NMR analyses were performed with a Bruker DRX250 spectrometer operating at 250 MHz. The EVOH-g-PCL was analyzed in DMSO-d6 at 90 °C for solubility reasons.

3.6. Size Exclusion Chromatography

Solutions of DMSO containing 18 mg/mL of the product were prepared at 120 °C and analyzed using a WATERS-GPCV 2000 SEC apparatus equipped with three columns: shodex HT807, shodex HT 804 and shodex HT 803. The injector and column compartment were maintained at 120 °C and the pump compartment at room temperature. The pump flow was 1 mL/min. A refractometer coupled with a viscosimeter were used as detectors. Universal calibrations were realized with PMMA standards.

3.7. EVOH-g-PCL Synthesis

Batch syntheses were made in a 250 mL glass reactor (90 mm diameter) with a three necked steel cover. A steel anchor stirrer, operating with a RW28WIKA motor at 60 rpm, a condenser and a T-type thermocouple probe were fixed to the cover. A nitrogen flow, previously dried on a silica column, allowed air elimination from the reactor. The reactor was heated using an IKA HBR4 bath with silicon oil.

Reactive extrusion was carried out on a Mini Lab II, Haake rheomix CTW5 co-rotating mini twin-screw extruder. The extruder screws are conical. The screw diameter was 5 mm and its length 109.5 mm. Reactants (typically 5 g) were introduced through the extruder hopper. A bypass, positioned at the screw end, can force the material through a feedback channel equipped with two pressure sensors. It can also force the material out of the barrel through the extruder die. The barrel temperature was set at 175 °C.

4. Conclusions

Compatibilization of poly(ethylene-co-vinyl alcohol) and poly-ε-caprolactone heterogeneous reactive system resulted in an increase to the reaction rate. In-situ formed EVOH-g-PCL was a more efficient compatibilizer than the preformed copolymer. This effect, combined with an optimization of reaction parameters, catalyst concentration and nature and reaction temperature, made the reactive system adequate for reactive extrusion.

These model study results will be used in other non-miscible reactive systems.

Figure 1. Torque evolution during the reaction between poly(ethylene-co-vinyl alcohol) (EVOH), PCL and ε-caprolactone. At 176 °C, catalyst = SnOct2.
Figure 1. Torque evolution during the reaction between poly(ethylene-co-vinyl alcohol) (EVOH), PCL and ε-caprolactone. At 176 °C, catalyst = SnOct2.
Polymers 03 01734f1 1024
Figure 2. Size exclusion chromatography (SEC) chromatograms obtained for runs 2 (a), 3 (b) and 4 (c). 30 min (dotted), 60 min (solid), 120 min (medium dash), 180 min (dash dot).
Figure 2. Size exclusion chromatography (SEC) chromatograms obtained for runs 2 (a), 3 (b) and 4 (c). 30 min (dotted), 60 min (solid), 120 min (medium dash), 180 min (dash dot).
Polymers 03 01734f2 1024
Figure 3. Transmission electron microscopy (TEM) analysis obtained for the product obtained by run 2 at t = 30 min.
Figure 3. Transmission electron microscopy (TEM) analysis obtained for the product obtained by run 2 at t = 30 min.
Polymers 03 01734f3 1024
Figure 4. 1H NMR spectrum obtained for EVOH-g-PCL synthesis by adding ε-caprolactone in DMSO-d6. For run 2.
Figure 4. 1H NMR spectrum obtained for EVOH-g-PCL synthesis by adding ε-caprolactone in DMSO-d6. For run 2.
Polymers 03 01734f4 1024
Figure 5. SEC chromatograms obtained for runs 2 (dotted) and 5 (solid) after 30 min reaction.
Figure 5. SEC chromatograms obtained for runs 2 (dotted) and 5 (solid) after 30 min reaction.
Polymers 03 01734f5 1024
Figure 6. SEC chromatograms obtained for EVOH-g-PCL prepared in mini twin-screw extruder with different ratio of ε-caprolactone. Runs 6 (medium dash) and 7 (dotted) (30 min reaction).
Figure 6. SEC chromatograms obtained for EVOH-g-PCL prepared in mini twin-screw extruder with different ratio of ε-caprolactone. Runs 6 (medium dash) and 7 (dotted) (30 min reaction).
Polymers 03 01734f6 1024
Figure 7. SEM picture of the product obtained after 30 min of reaction prepared in mini twin-screw extruder in the conditions as described for run 6.
Figure 7. SEM picture of the product obtained after 30 min of reaction prepared in mini twin-screw extruder in the conditions as described for run 6.
Polymers 03 01734f7 1024
Figure 8. SEC chromatograms obtained for EVOH-g-PCL synthesis in mini twin-screw extruder at different temperatures: 176 °C (dotted), 186 °C (medium dash) and 200 °C (dash dot) (30 min reaction).
Figure 8. SEC chromatograms obtained for EVOH-g-PCL synthesis in mini twin-screw extruder at different temperatures: 176 °C (dotted), 186 °C (medium dash) and 200 °C (dash dot) (30 min reaction).
Polymers 03 01734f8 1024
Scheme 1. Different reactions present during alcoholysis between poly(ethylene-co-vinyl alcohol) and poly-ε-caprolactone. a = alcoholysis, b = transesterification.
Scheme 1. Different reactions present during alcoholysis between poly(ethylene-co-vinyl alcohol) and poly-ε-caprolactone. a = alcoholysis, b = transesterification.
Polymers 03 01734f9 1024
Scheme 2. EVOH-g-PCL structure.
Scheme 2. EVOH-g-PCL structure.
Polymers 03 01734f10 1024
Table 1. Formulation used for alcoholysis reaction in a batch reactor.
Table 1. Formulation used for alcoholysis reaction in a batch reactor.
RunOrder of reactants addition[EVOH]/[Catalyst]
1EVOH/PCL 1/1 *(1) EVOH and PCL; (2) Catalyst0.01
2EVOH/PCL/CL 3/3/4 *(1) EVOH + PCL + CL; (2) Catalyst0.01
3EVOH/PCL/CL 3/3/4 *(1) EVOH + CL + Catalyst; (2) PCL0.01
4EVOH/PCL/product of run1/catalyst 2.5/2.5/5 **(1) EVOH and PCL; (2) Catalyst; (3) product obtained by run 20.01

*mol %.**wt %.

Table 2. Thermal transitions obtained by differential scanning calorimetry (DSC) and substitution rates calculated from 1H RMN analysis (solvent = DMSO-d6, temperature = 90 °C).
Table 2. Thermal transitions obtained by differential scanning calorimetry (DSC) and substitution rates calculated from 1H RMN analysis (solvent = DMSO-d6, temperature = 90 °C).
EVOH/PCL/catalyst
RunSample (min)DPnSubstitution rate %Tgpcl (°C)TmPCL (°C)ΔHPCL(J/g)TmEVOH (°C)ΔHEVOH(J/g)
Run 13010.30.8−5252.533.31508.5
609.32.3−53.448.467.61486
12065.1−57.34958.1--
1804.36.7−48.647.149.3--
2404.27.6−6233.939.7--
Run 23053.3−6855.762.7--
6065.8−58.516.346.2--
1205.39.7−5117.2019.2--
240510.4−24----
Run 33083.5−6156.556.4--
607.54.3−4340.837--
1205.49.5-26 a13.4--
18059.1−21.4----
2405.19-22.45 b---
Run 43053−51.550.432.1155.35.6
604.54.2−5638.3311454.4
1205.34.6−54.537.327.8--
1805.14.7−56.937.231.1--

acold recrystallization at −2.4 °C,bcold recrystallization at −11.6 °C.

Table 3. 1H NMR and thermal analysis data obtained for run 5.
Table 3. 1H NMR and thermal analysis data obtained for run 5.
FormulationTime of sampling (min)DPnSubstitution rate %Tg (°C)Tm(PCL) (°C)ΔH(PCL) (J/g)Tm(EVOH) (°C)
(1) PCL,EVOH,CL.307.711−5618 *0.8-

(2) TBD606.415.6−56.517.8 *0.4-

1205.717.5−57---

Run 5240517.5−54.4---

*cold recrystallization.

Table 4. Thermal transitions obtained by DSC and substitution rates calculated from 1H RMN analysis (solvent = DMSO-d6, temperature = 90 °C) data for different run used to study the influence of concentration of catalyst (runs 6 and 8), quantity of ε-caprolactone (runs 6 and 7) and temperature (runs 8, 9 and 10).
Table 4. Thermal transitions obtained by DSC and substitution rates calculated from 1H RMN analysis (solvent = DMSO-d6, temperature = 90 °C) data for different run used to study the influence of concentration of catalyst (runs 6 and 8), quantity of ε-caprolactone (runs 6 and 7) and temperature (runs 8, 9 and 10).
RunFormulationT (°C)Screw speed(rpm)Time (min)DPnSubstitution rate%Tg(°C)TmPCL(°C)ΔHPCL(J/g)Tf(EVOH)(°C)
Run 64/4/2EVOH/PCL/CL EVOH/TBD 1/0.011761003010.66.5−545073.7103.2
6010.97−51.55124.5-
Run 73/3/4EVOH/PCL/CL EVOH/TBD 1/0.01176100306.815−695125-
607.714.8−67.550.511.7-
1207.215.2−44.54522.4-
Run 84/4/2EVOH/PCL/CL EVOH/TBD 1/0.02176100308.210.3−614732.6-
601012.3−584542.6-
Run 94/4/2EVOH/PCL/CL EVOH/TBD 1/0.02186100307.212−5243.535.9-
60812.5−454245-
1208.614−464153.70-
Run 104/4/2EVOH/PCL/CL EVOH/TBD 1/0.02200100307.713−554853-
607.912.5−565042.5-
Table 5. Materials.
Table 5. Materials.
MaterialsMelting point (°C)Boiling point (°C)Tg (°C)Mn (g/mol)Mm (g/mol)Origin
EVOH Eval E 105B1655420,000EVA L Europ
PCL (CAPA 6250)60−6025,000Solvay
Tin(II) bis(2-ethylhexanoate)202405.12ABCR
1,5.7-Triazabicyclo[4.4.0]dec-5-ene125–130139.2Aldrich
ε-Caprolactone−1253114.14Aldrich

Acknowledgments

This work was supported by the French Ministère de l'Enseignement Supérieur et de la Recherche attributing a Ph. D. studies grant to Samira Touhtouh.

References

  1. Lakshmi, S.; Naira, C.T.L. Biodegradable polymers as biomaterials. Prog. Polym. Sci. 2007, 32, 762–798. [Google Scholar]
  2. Zhu, J.; Dong, X.T.; Wang, X.L.; Wang, Y.Z. Preparation and properties of a novel biodegradable ethyl cellulose grafting copolymer with poly(p-dioxanone) side-chains. Carbohyd. Polym. 2010, 80, 350–359. [Google Scholar]
  3. Ge, H.; Hu, Y.; Yang, S.; Jiang, X.; Yang, C. Preparation, characterization, and drug release behaviors of drug-loaded ε-caprolactone/L-lactide copolymer nanoparticles. J. Appl. Polym. Sci. 2000, 75, 874–882. [Google Scholar]
  4. Breitenbach, A.; Pistel, K.F.; Kissel, T. Biodegradable comb polyesters. Part II. Erosion and release properties of poly(vinyl alcohol)-g-poly(lactic-co-glycolic acid). Polymer 2000, 41, 4781–4792. [Google Scholar]
  5. Ibim, S.E.; Uhrich, K.E.; Attawia, M.; Shastri, V.R.; El-Amin, S.F.; Bronson, R.; Langer, R.; Laurencin, C.T. Crosslinked amonoacid containing polyanhydrides for controlled drug release applications. J. Biomed. Mater. Res. 1998, 43, 374–379. [Google Scholar]
  6. Trollsas, M.; Kelly, M.A.; Claesson, H.; Siemens, R.; Dedrick, J.L. Highly branched block copolymers: Design, synthesis, and morphology. Macromolecules 1999, 32, 4917–4924. [Google Scholar]
  7. Mathews, O.A.; Shipway, A.N.; Stoddart, J.F. Dendrimers—Branching out from curiosities into new technologies. Prog. Polym. Sci. 1998, 23, 1–56. [Google Scholar]
  8. Strdsherg, K.; Albertsson, A.C. Changes in chemical and thermal properties of the tri-block copolymer poly(L-lactide-b-1,5-dioxepan-2-one-b-L-lactide) during hydrolytic degradation. Polymer. 2000, 41, 7321–7330. [Google Scholar]
  9. Tracy, M.A.; Ward, K.L.; Firouzabadian, L.; Wang, Y.; Dong, N.; Quian, R.; Zhang, Y. Factors affecting the degradation rate of poly(lactide-co-glycolide) microspheres in vivo and in vitro. Biomaterials 1999, 20, 1057–1062. [Google Scholar]
  10. Park, E.S.; Kim, M.N.; Yoon, J.S. Grafting of polycaprolactone onto poly(ethylene-co-vinyl alcohol) and application to polyethylene-based bioerodable blends. J. Polym. Sci. Polym. Phys. 2002, 40, 2561–2569. [Google Scholar]
  11. Becquart, F.; Chalamet, Y.; Chen, J.; Zhao, Y.; Taha, M. Polyethylene-co-(vinylalcohol)-graft-poly(e-caprolactone) synthesis by reactive extrusion, 1—structural and kinetic study. Macromol. Mater. Eng. 2009, 294, 643–650. [Google Scholar]
  12. Lagaron, J.M.; Gimenez, E.; Saura, J.J.; Gava, R. Phase morphology, crystallinity and mechanical properties of binary blends of high barrier ethylene-vinyl alcohol copolymer and amorphous polyamide and a polyamide-containing ionomer. Polymer 2001, 42, 7381–7394. [Google Scholar]
  13. Kweon, D.K.; Cha, D.S.; Park, H.J.; Lim, S.T. Starch-g-polycaprolactone copolymerization using diisocyanate intermediates and thermal characteristics of the copolymers. J. Appl. Polym. Sci. 2000, 78, 986–993. [Google Scholar]
  14. Mecerreyes, D.; Dubois, P.; Jérôme, R.; Hedrick, J.L. Synthesis of well-defined poly(alkyl methacrylate)-graft-polylactone by sequential living polymerization. Macromol. Chem. Phys. 1999, 200, 156–165. [Google Scholar]
  15. Becquart, F.; Taha, M.; Zarroukhi, A.; Kaczun, J.; Stebani, U. Diffusion of a carbonate mixture in a poly(vinylalcohol-co-vinyl acetate) in the solid state. Eur. Polym. J. 2007, 43, 1549–1556. [Google Scholar]
  16. Choi, E.J.; Kim, C.H.; Park, J.K. Synthesis and characterization of starch-g-polycaprolactone copolymer. Macromolecules 1999, 32, 7402–7408. [Google Scholar]
  17. Ydens, I.; Rutot, D.; Degrée, P.; Six, J.L.; Dellacherie, E.; Dubois, P. Controlled synthesis of poly(ε-caprolactone)-grafted dextran copolymers as potential environmentally friendly surfactants. Macromolecules 2000, 33, 6713–6721. [Google Scholar]
  18. Titier, C.; Pascault, J.P.; Taha, M. Synthesis of epoxy-amine multiacrylic prepolymers by reactive extrusion. J. Appl. Polym. Sci. 1996, 59, 415–423. [Google Scholar]
  19. Coudray, S.; Pascault, J.P.; Taha, M. Acrylated polyurethanes by reactive extrusion. Polym. Bull. 1994, 32, 605–610. [Google Scholar]
  20. Chalamet, Y.; Taha, M.; Vergnes, B. Carboxyl terminated polyamide 12 chain extension by reactive extrusion using a dioxazoline coupling agent. Part I: Extrusion parameters analysis. Polym. Eng. Sci. 2000, 40, 263–274. [Google Scholar]
  21. Toselli, M.; Fabbri, E.; Fabbri, P.; Monari, P.; Pilati, F.; Pizzoli, M.; La Mantia, F.P.; Scaffaro, R. EVOH copolymers with epsilon-caprolactone: Synthesis and compatibilization effects in PE/PVC blends. Macromol. Symp. 2001, 176, 233–244. [Google Scholar]
  22. Zhao, Y.; Becquart, F.; Chalamet, Y.; Chen, J.D.; Taha, M. Poly[ethylene-co-(vinyl alcohol) ]-graft-poly(ε-caprolactone) by reactive extrusion, 2—parameter analysis. Macromol. Mater. Eng. 2009, 294, 651–657. [Google Scholar]
  23. Touhtouh, S.; Becquart, F.; Taha, M. Graft copolymers synthesis by dynamic covalent reorganization of polycaprolactone and poly(ethylene-co-vinyl alcohol). J. Appl. Polym. Sci. 2011. [Google Scholar] [CrossRef]
  24. David, J.C.; Chalamet, Y.; Taha, M. Reactive processing of nonmiscible polymers: Shear rate effect. J. Appl. Polym. Sci. 2003, 92, 2357–2362. [Google Scholar]
  25. Taha, M.; Perrut, V.; Roche, A.A.; Pascault, J.P. Synthesis, by reactive extrusion, of high molar mass epoxy prepolymers containing rubber preformed particles. J. Appl. Polym. Sci. 1997, 65, 2447–2456. [Google Scholar]
  26. Cassagnau, P.; Taha, M. The concept of conversion distribution in reactive processing. J. Appl. Polym. Sci. 1996, 10, 1765–1771. [Google Scholar]
  27. Chalamet, Y.; Taha, M. In-line residence time distribution of dicarboxylic acid oligomers/dioxazoline chain extension by reactive extrusion. Polym. Eng. Sci. 1999, 39, 347–355. [Google Scholar]
  28. Chalamet, Y.; Taha, M.; Berzin, F.; Vergnes, B. Carboxyl terminated polyamide 12 chain extension by reactive extrusion using a dioxazoline coupling agent. Part II: Effects of extrusion conditions. Polym. Eng. Sci. 2002, 42, 2317–2327. [Google Scholar]
  29. Taha, M.; Frerejean, V. Morphology development of LDPE-PS blend compatibilization. J. Appl. Polym. Sci. 1996, 61, 969–979. [Google Scholar]
  30. Boutevin, B.; Pietrasanta, Y.; Taha, M. Influence of graft copolymers P (E-g-MMA) on the mechanical properties of PE-PVC alloys. Polym. Bull. 1985, 14, 25–30. [Google Scholar]
  31. Bonardi, C.; Boutevin, B.; Pietrasanta, Y.; Taha, M. Synthèse et copolymérisation avec 1′acrylamide de macromonomères d'acrylate de dodécyle. Macromol. Chem. Phys. 1985, 186, 261–271. [Google Scholar]
  32. Boutevin, B.; Pietrasanta, Y.; Taha, M. Synthèse de copolymères greffés à base de polyéthylène 1. Eur. Polym. J. 1984, 20, 1131–1135. [Google Scholar]
  33. Boutevin, B.; Pietrasanta, Y.; Taha, M. Télomères monofonctionnels du chlorure de vinyle, 3. Cinétique par catalyse rédox. Macromol. Chem. Phys. 1982, 183, 2985–2993. [Google Scholar]

Share and Cite

MDPI and ACS Style

Touhtouh, S.; Becquart, F.; Pillon, C.; Taha, M. Effect of Compatibilization on Poly-ε-Caprolactone Grafting onto Poly(ethylene-co-vinyl alcohol). Polymers 2011, 3, 1734-1749. https://doi.org/10.3390/polym3041734

AMA Style

Touhtouh S, Becquart F, Pillon C, Taha M. Effect of Compatibilization on Poly-ε-Caprolactone Grafting onto Poly(ethylene-co-vinyl alcohol). Polymers. 2011; 3(4):1734-1749. https://doi.org/10.3390/polym3041734

Chicago/Turabian Style

Touhtouh, Samira, Frederic Becquart, Caroline Pillon, and Mohamed Taha. 2011. "Effect of Compatibilization on Poly-ε-Caprolactone Grafting onto Poly(ethylene-co-vinyl alcohol)" Polymers 3, no. 4: 1734-1749. https://doi.org/10.3390/polym3041734

APA Style

Touhtouh, S., Becquart, F., Pillon, C., & Taha, M. (2011). Effect of Compatibilization on Poly-ε-Caprolactone Grafting onto Poly(ethylene-co-vinyl alcohol). Polymers, 3(4), 1734-1749. https://doi.org/10.3390/polym3041734

Article Metrics

Back to TopTop