Tröger’s Base Polyimide Membranes with Enhanced Mechanical Robustness for Gas Separation
Abstract
1. Introduction
2. Materials and Methods
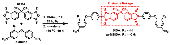
2.1. Synthesis of Bisimide Diamine Monomers
2.2. Preparation of Tröger’s Base-Based Polyimides (TBPIs)
2.3. Preparation of Polyimide Membranes
3. Results and Discussion
3.1. Structural Characterization
3.2. Thermal Properties of the Two Membranes
3.3. Mechanical Properties of the Two Membranes
3.4. Microporosity of the Two Membranes
3.5. Gas Separation Properties
4. Conclusions
Supplementary Materials
Author Contributions
Funding
Institutional Review Board Statement
Data Availability Statement
Acknowledgments
Conflicts of Interest
References
- Xu, X.; Dong, J.; Li, X.; Zhao, X.; Zhang, Q. Synthesis of polyimides containing Tröger's base and triphenylmethane moieties with a tunable fractional free volume for CO2 separation. Polym. Chem. 2022, 13, 5545–5556. [Google Scholar] [CrossRef]
- Park Ho, B.; Kamcev, J.; Robeson Lloyd, M.; Elimelech, M.; Freeman Benny, D. Maximizing the right stuff: The trade-off between membrane permeability and selectivity. Science 2017, 356, eaab0530. [Google Scholar] [CrossRef] [PubMed]
- D’Alessandro, D.M.; Smit, B.; Long, J.R. Carbon dioxide capture: Prospects for new materials. Angew. Chem. Int. Edit. 2010, 49, 6058–6082. [Google Scholar] [CrossRef] [PubMed]
- Tin, P.S.; Chung, T.S.; Liu, Y.; Wang, R.; Liu, S.L.; Pramoda, K.P. Effects of cross-linking modification on gas separation performance of Matrimid membranes. J. Membr. Sci. 2003, 225, 77–90. [Google Scholar] [CrossRef]
- Budd, P.M.; Ghanem, B.S.; Makhseed, S.; McKeown, N.B.; Msayib, K.J.; Tattershall, C.E. Polymers of intrinsic microporosity (PIMs): Robust, solution-processable, organic nanoporous materials. Chem. Commun. 2004, 2, 230–231. [Google Scholar] [CrossRef]
- Bernardo, P.; Drioli, E.; Golemme, G. Membrane gas separation: A review/state of the art. Ind. Eng. Chem. Res. 2009, 48, 4638–4663. [Google Scholar] [CrossRef]
- Xiao, Y.; Lei, X.; Xue, S.; Lian, R.; Xiong, G.; Xin, X.; Wang, D.; Zhang, Q. Mechanically strong, thermally stable gas barrier polyimide membranes derived from carbon nanotube-based nanofluids. ACS Appl. Mater. Inter. 2021, 13, 56530–56543. [Google Scholar] [CrossRef]
- Sanders, D.F.; Smith, Z.P.; Guo, R.; Robeson, L.M.; McGrath, J.E.; Paul, D.R.; Freeman, B.D. Energy-efficient polymeric gas separation membranes for a sustainable future: A review. Polymer 2013, 54, 4729–4761. [Google Scholar] [CrossRef]
- Robeson, L.M. Correlation of separation factor versus permeability for polymeric membranes. J. Membr. Sci. 1991, 62, 165–185. [Google Scholar] [CrossRef]
- Robeson, L.M. The upper bound revisited. J. Membr. Sci. 2008, 320, 390–400. [Google Scholar] [CrossRef]
- Swaidan, R.; Ghanem, B.; Pinnau, I. Fine-tuned intrinsically ultramicroporous polymers redefine the permeability/selectivity upper bounds of membrane-based air and hydrogen separations. ACS Macro Lett. 2015, 4, 947–951. [Google Scholar] [CrossRef]
- Li, Y.; Lu, Y.; Tian, C.; Wang, Z.; Yan, J. Intrinsically microporous polyimides derived from 2,2′-dibromo-4,4′,5,5′-bipohenyltetracarboxylic dianhydride for gas separation membranes. Polymers 2024, 16, 1198. [Google Scholar] [CrossRef]
- Low, Z.-X.; Budd, P.M.; McKeown, N.B.; Patterson, D.A. Gas permeation properties, physical aging, and its mitigation in high free volume glassy polymers. Chem. Rev. 2018, 118, 5871–5911. [Google Scholar] [CrossRef] [PubMed]
- Kim, S.; Lee, Y.M. Rigid and microporous polymers for gas separation membranes. Prog. Polym. Sci. 2015, 43, 1–32. [Google Scholar] [CrossRef]
- Park Ho, B.; Jung Chul, H.; Lee Young, M.; Hill Anita, J.; Pas Steven, J.; Mudie Stephen, T.; Van Wagner, E.; Freeman Benny, D.; Cookson David, J. Polymers with cavities tuned for fast selective transport of small molecules and ions. Science 2007, 318, 254–258. [Google Scholar] [CrossRef] [PubMed]
- Calle, M.; Lee, Y.M. Thermally Rearranged (TR) Poly(ether−benzoxazole) membranes for gas separation. Macromolecules 2011, 44, 1156–1165. [Google Scholar] [CrossRef]
- Comesaña-Gándara, B.; Calle, M.; Jo, H.J.; Hernández, A.; de la Campa, J.G.; de Abajo, J.; Lozano, A.E.; Lee, Y.M. Thermally rearranged polybenzoxazoles membranes with biphenyl moieties: Monomer isomeric effect. J. Membr. Sci. 2014, 450, 369–379. [Google Scholar] [CrossRef]
- Li, S.; Jo, H.J.; Han, S.H.; Park, C.H.; Kim, S.; Budd, P.M.; Lee, Y.M. Mechanically robust thermally rearranged (TR) polymer membranes with spirobisindane for gas separation. J. Membr. Sci. 2013, 434, 137–147. [Google Scholar] [CrossRef]
- Jo, H.J.; Soo, C.Y.; Dong, G.; Do, Y.S.; Wang, H.H.; Lee, M.J.; Quay, J.R.; Murphy, M.K.; Lee, Y.M. Thermally rearranged poly(benzoxazole-co-imide) membranes with superior mechanical strength for gas separation obtained by tuning chain rigidity. Macromolecules 2015, 48, 2194–2202. [Google Scholar] [CrossRef]
- Comesaña-Gándara, B.; Hernández, A.; de la Campa, J.G.; de Abajo, J.; Lozano, A.E.; Lee, Y.M. Thermally rearranged polybenzoxazoles and poly(benzoxazole-co-imide)s from ortho-hydroxyamine monomers for high performance gas separation membranes. J. Membr. Sci. 2015, 493, 329–339. [Google Scholar] [CrossRef]
- Carta, M.; Malpass-Evans, R.; Croad, M.; Rogan, Y.; Jansen, J.C.; Bernardo, P.; Bazzarelli, F.; McKeown, N.B. An efficient polymer molecular sieve for membrane gas separations. Science 2013, 339, 303–307. [Google Scholar] [CrossRef] [PubMed]
- Carta, M.; Croad, M.; Malpass-Evans, R.; Jansen, J.C.; Bernardo, P.; Clarizia, G.; Friess, K.; Lanč, M.; McKeown, N.B. Triptycene induced enhancement of membrane gas selectivity for microporous Tröger's base polymers. Adv. Mater. 2014, 26, 3526–3531. [Google Scholar] [CrossRef] [PubMed]
- Wang, Z.; Wang, D.; Zhang, F.; Jin, J. Tröger’s base-based microporous polyimide membranes for high-performance gas separation. ACS Macro Lett. 2014, 3, 597–601. [Google Scholar] [CrossRef] [PubMed]
- Swaidan, R.; Al-Saeedi, M.; Ghanem, B.; Litwiller, E.; Pinnau, I. Rational design of intrinsically ultramicroporous polyimides containing bridgehead-substituted triptycene for highly selective and permeable gas separation membranes. Macromolecules 2014, 47, 5104–5114. [Google Scholar] [CrossRef]
- Du, N.; Song, J.; Robertson, G.P.; Pinnau, I.; Guiver, M.D. Linear high molecular weight ladder polymer via fast polycondensation of 5,5′,6,6′-tetrahydroxy-3,3,3′,3′-tetramethylspirobisindane with 1,4-dicyanotetrafluorobenzene. Macromol. Rapid Comm. 2008, 29, 783–788. [Google Scholar] [CrossRef]
- Zhao, H.-Y.; Cao, Y.-M.; Ding, X.-L.; Zhou, M.-Q.; Liu, J.-H.; Yuan, Q. Poly(ethylene oxide) induced cross-linking modification of Matrimid membranes for selective separation of CO2. J. Membr. Sci. 2008, 320, 179–184. [Google Scholar] [CrossRef]
- Zhuang, Y.; Seong, J.G.; Do, Y.S.; Lee, W.H.; Lee, M.J.; Guiver, M.D.; Lee, Y.M. High-strength, soluble polyimide membranes incorporating Tröger’s base for gas separation. J. Membr. Sci. 2016, 504, 55–65. [Google Scholar] [CrossRef]
- Abdulhamid, M.A.; Ma, X.; Miao, X.; Pinnau, I. Synthesis and characterization of a microporous 6FDA-polyimide made from a novel carbocyclic pseudo Tröger's base diamine: Effect of bicyclic bridge on gas transport properties. Polymer 2017, 130, 182–190. [Google Scholar] [CrossRef]
- Hu, X.; Lee, W.H.; Zhao, J.; Bae, J.Y.; Kim, J.S.; Wang, Z.; Yan, J.; Zhuang, Y.; Lee, Y.M. Tröger’s base (TB)-containing polyimide membranes derived from bio-based dianhydrides for gas separations. J. Membr. Sci. 2020, 610, 118255. [Google Scholar] [CrossRef]
- Ghanem, B.S.; Swaidan, R.; Litwiller, E.; Pinnau, I. Ultra-microporous triptycene-based polyimide membranes for high-performance gas separation. Adv. Mater. 2014, 26, 3688–3692. [Google Scholar] [CrossRef]
- Didier, D.; Tylleman, B.; Lambert, N.; Vande Velde, C.M.L.; Blockhuys, F.; Collas, A.; Sergeyev, S. Functionalized analogues of Tröger’s base: Scope and limitations of a general synthetic procedure and facile, predictable method for the separation of enantiomers. Tetrahedron 2008, 64, 6252–6262. [Google Scholar] [CrossRef]
- Hu, X.; Mu, H.; Miao, J.; Lu, Y.; Wang, X.; Meng, X.; Wang, Z.; Yan, J. Synthesis and gas separation performance of intrinsically microporous polyimides derived from sterically hindered binaphthalenetetracarboxylic dianhydride. Polym. Chem. 2020, 11, 4172–4179. [Google Scholar] [CrossRef]
- Ghanem, B.; Alaslai, N.; Miao, X.; Pinnau, I. Novel 6FDA-based polyimides derived from sterically hindered Tröger’s base diamines: Synthesis and gas permeation properties. Polymer 2016, 96, 13–19. [Google Scholar] [CrossRef]
- Zhao, S.; Liao, J.; Li, D.; Wang, X.; Li, N. Blending of compatible polymer of intrinsic microporosity (PIM-1) with Tröger’s base polymer for gas separation membranes. J. Membr. Sci. 2018, 566, 77–86. [Google Scholar] [CrossRef]
- Hu, X.; He, Y.; Wang, Z.; Yan, J. Intrinsically microporous co-polyimides derived from ortho-substituted Tröger’s base diamine with a pendant tert-butyl-phenyl group and their gas separation performance. Polymer 2018, 153, 173–182. [Google Scholar] [CrossRef]
- Zhu, S.; Wang, Z.; Shi, Y.; Lai, W.; Zhang, Y.; Jin, J.; Jin, J. Benzyl-induced crosslinking of polymer membranes for highly selective CO2/CH4 separation with enhanced stability. Macromolecules 2022, 55, 6890–6900. [Google Scholar] [CrossRef]
- Zhuang, Y.; Seong, J.G.; Do, Y.S.; Jo, H.J.; Cui, Z.; Lee, J.; Lee, Y.M.; Guiver, M.D. Intrinsically microporous soluble polyimides incorporating Tröger’s base for membrane gas separation. Macromolecules 2014, 47, 3254–3262. [Google Scholar] [CrossRef]
- Zhang, Y.; Lee, W.H.; Seong, J.G.; Bae, J.Y.; Zhuang, Y.; Feng, S.; Wan, Y.; Lee, Y.M. Alicyclic segments upgrade hydrogen separation performance of intrinsically microporous polyimide membranes. J. Membr. Sci. 2020, 611, 118363. [Google Scholar] [CrossRef]
- Rodríguez, A.; Velázquez Tundidor, M.V.; Cruz, Y.; Rodríguez-González, F.E.; Aguilar-Vega, M.J.; Sulub-Sulub, R.; Ravula, S.; Bara, J.E.; Terraza, C.A.; Tundidor-Camba, A. Polyimides containing biphenyl and Tröger’s base units for gas separation membranes. ACS Appl. Polym. Mater. 2024, 6, 3342–3353. [Google Scholar] [CrossRef]
- Şen, D.; Kalıpçılar, H.; Yilmaz, L. Development of polycarbonate based zeolite 4A filled mixed matrix gas separation membranes. J. Membr. Sci. 2007, 303, 194–203. [Google Scholar] [CrossRef]
- Puleo, A.C.; Paul, D.R.; Kelley, S.S. The effect of degree of acetylation on gas sorption and transport behavior in cellulose acetate. J. Membr. Sci. 1989, 47, 301–332. [Google Scholar] [CrossRef]
- Aitken, C.L.; Koros, W.J.; Paul, D.R. Effect of structural symmetry on gas transport properties of polysulfones. Macromolecules 1992, 25, 3424–3434. [Google Scholar] [CrossRef]
- Shi, Y.; Wang, Z.; Shi, Y.; Zhu, S.; Zhang, Y.; Jin, J. Synergistic design of enhanced π–π interaction and decarboxylation cross-linking of polyimide membranes for natural gas separation. Macromolecules 2022, 55, 2970–2982. [Google Scholar] [CrossRef]
- Xiao, Y.; Lei, X.; Zhang, Z.; Chen, S.; Xiong, G.; Ma, X.; Zhang, Q. Carbazole-based polyimide membranes with hydrogen-bonding interactions for gas separation. Macromolecules 2024, 57, 5941–5957. [Google Scholar] [CrossRef]
- Bos, A.; Pünt, I.G.M.; Wessling, M.; Strathmann, H. Plasticization-resistant glassy polyimide membranes for CO2/CH4 separations. Sep. Purif. Technol. 1998, 14, 27–39. [Google Scholar] [CrossRef]
- Shao, L.; Chung, T.-S.; Goh, S.H.; Pramoda, K.P. The effects of 1,3-cyclohexanebis(methylamine) modification on gas transport and plasticization resistance of polyimide membranes. J. Membr. Sci. 2005, 267, 78–89. [Google Scholar] [CrossRef]
- Abdulhamid, M.A.; Genduso, G.; Wang, Y.; Ma, X.; Pinnau, I. Plasticization-resistant carboxyl-functionalized 6fda-polyimide of intrinsic microporosity (PIM-PI) for membrane-based gas separation. Ind. Eng. Chem. Res. 2020, 59, 5247–5256. [Google Scholar] [CrossRef]
- Zhang, M.; Deng, L.; Xiang, D.; Cao, B.; Hosseini, S.S.; Li, P. Approaches to suppress CO2-induced plasticization of polyimide membranes in gas separation applications. Processes 2019, 7, 51. [Google Scholar] [CrossRef]
- Huang, Z.; Yin, C.; Corrado, T.; Li, S.; Zhang, Q.; Guo, R. Microporous pentiptycene-based polymers with heterocyclic rings for high-performance gas separation membranes. Chem. Mater. 2022, 34, 2730–2742. [Google Scholar] [CrossRef]
- Xiao, Y.; Lei, X.; Liu, Y.; Zhang, Y.; Ma, X.; Zhang, Q. Double-decker-shaped phenyl-substituted silsesquioxane (DDSQ)-based nanocomposite polyimide membranes with tunable gas permeability and good aging resistance. Sep. Purif. Technol. 2023, 315, 123725. [Google Scholar] [CrossRef]











| Samples | Td5 (°C) | Td10 (°C) | Char Yield (w.t.%) | Tg (°C) |
|---|---|---|---|---|
| TBPI | 432 | 483 | 56.8 | 337 |
| m-MTBPI | 428 | 456 | 55.7 | 342 |
| Sample | Tensile Modulus a (GPa) | Tensile Strength (MPa) | Elongation at Break (%) | Static Toughness b (MJ/m3) |
|---|---|---|---|---|
| m-MTBPI | 2.27 ± 0.02 | 90.4 ± 1.4 | 55.9 ± 8.3 | 45.1 ± 6.6 |
| Samples | d-Spacing (Å) | Density (g/cm3) |
|---|---|---|
| TBPI | 5.66 | 1.3851 |
| m-MTBPI | 6.08 | 1.3347 |
| Samples | Permeability (Barrer) | Permselectivity (αx/y) | ||||||||||
|---|---|---|---|---|---|---|---|---|---|---|---|---|
| He | H2 | N2 | O2 | CH4 | CO2 | H2/N2 | O2/N2 | CO2/CH4 | H2/CH4 | He/CH4 | CO2/N2 | |
| TBPI | 39.5 | 37.1 | 0.63 | 3.08 | 0.32 | 13.6 | 58.9 | 4.89 | 42.6 | 115.9 | 123.4 | 21.6 |
| m-MTBPI | 59.4 | 68.3 | 1.22 | 7.00 | 0.82 | 34.5 | 56.0 | 5.74 | 42.1 | 83.3 | 72.4 | 28.3 |
| PI-TB-3 [27] | 221 | 299 | 9.5 | 42 | 6.7 | 218 | 31.4 | 4.5 | 32.7 | 44.8 | 33.0 | 22.9 |
| PI-TB-4 [27] | 37.3 | 40 | 1.3 | 3.5 | 1.0 | 13.5 | 32.1 | 2.8 | 13.5 | 40.0 | 37.3 | 10.8 |
| PI-TB-5 [27] | 43.7 | 53.8 | 1.9 | 4.9 | 1.7 | 19.6 | 28.7 | 2.6 | 11.5 | 31.6 | 25.7 | 10.5 |
| TBDA1-6FDA-PI [23] | 199 | 253 | 6.5 | 28 | 3.3 | 155 | 35.1 | 3.9 | 46.9 | 76.7 | 60.3 | 23.8 |
| TBDA2-6FDA-PI [23] | 223 | 390 | 12 | 47 | 8 | 285 | 32.5 | 4.0 | 35.6 | 48.7 | 27.9 | 23.8 |
| PIM-TB-PI-1 [39] | / | 52.05 | 1.23 | 6.31 | 0.80 | 30.69 | 42.3 | 5.1 | 38.4 | 65.1 | / | 25.0 |
| PIM-TB-PI-2 [39] | / | 122.34 | 3.05 | 12.20 | 2.44 | 59.49 | 40.1 | 4.0 | 24.4 | 50.1 | / | 19.5 |
| PI-TB-1 [37] | 376 | 607 | 31 | 119 | 27 | 457 | 19 | 3.83 | 17 | 22 | 14 | 15 |
| PI-TB-2 [37] | 86 | 134 | 2.5 | 14 | 2.1 | 55 | 53 | 5.48 | 26 | 64 | 41 | 22 |
| Polycarbonate [40] | / | 15.3 | 0.267 | 1.81 | 0.374 | 8.8 | 57.3 | 6.8 | 23.5 | 40.9 | / | 33.0 |
| Cellulose acetate [41] | / | 15.5 | 0.23 | 1.46 | 0.20 | 6.6 | 67.4 | 6.3 | 33 | 77.5 | / | 28.7 |
| Matrimid 5218 [8] | / | 18 | 0.32 | 2.1 | 0.28 | 10 | 56 | 6.6 | 36 | 64 | / | 31 |
| Polysulfone [42] | 13 | 14 | 0.25 | 1.4 | 0.25 | 5.6 | 56 | 5.6 | 22.4 | 56 | 52 | 22.4 |
| Samples | D (×10−8 cm2/s) | S (×10−2 cm3/cm3·cm·Hg−1) | ||||||
|---|---|---|---|---|---|---|---|---|
| N2 | O2 | CH4 | CO2 | N2 | O2 | CH4 | CO2 | |
| TBPI | 0.663 | 2.63 | 0.106 | 0.975 | 0.950 | 1.17 | 3.04 | 14.0 |
| m-MTBPI | 1.04 | 5.38 | 0.217 | 2.35 | 1.17 | 1.30 | 3.76 | 14.6 |
| Samples | αD | αS | αD | αS | αD | αS |
|---|---|---|---|---|---|---|
| CO2/CH4 | CO2/CH4 | O2/N2 | O2/N2 | CO2/N2 | CO2/N2 | |
| TBPI | 9.20 | 4.61 | 3.97 | 1.23 | 1.47 | 14.74 |
| m-MTBPI | 10.83 | 3.88 | 5.17 | 1.11 | 2.26 | 12.48 |
| Gas Species | Pressure | P (CO2) (Barrer) | P (CH4) (Barrer) | CO2/CH4 Selectivity |
|---|---|---|---|---|
| Pure gas | 2 bar | 34.4 | 0.820 | 42 |
| Mixed gas | 2 bar | 38.7 | 0.773 | 50 |
| 5 bar | 30.2 | 0.656 | 46 | |
| 10 bar | 27.3 | 0.660 | 41 | |
| 15 bar | 25.9 | 0.721 | 36 | |
| 20 bar | 25.0 | 0.764 | 33 |
Disclaimer/Publisher’s Note: The statements, opinions and data contained in all publications are solely those of the individual author(s) and contributor(s) and not of MDPI and/or the editor(s). MDPI and/or the editor(s) disclaim responsibility for any injury to people or property resulting from any ideas, methods, instructions or products referred to in the content. |
© 2025 by the authors. Licensee MDPI, Basel, Switzerland. This article is an open access article distributed under the terms and conditions of the Creative Commons Attribution (CC BY) license (https://creativecommons.org/licenses/by/4.0/).
Share and Cite
Lei, X.; Zhang, Z.; Xiao, Y.; Yu, Q.; Liu, Y.; Ma, X.; Zhang, Q. Tröger’s Base Polyimide Membranes with Enhanced Mechanical Robustness for Gas Separation. Polymers 2025, 17, 524. https://doi.org/10.3390/polym17040524
Lei X, Zhang Z, Xiao Y, Yu Q, Liu Y, Ma X, Zhang Q. Tröger’s Base Polyimide Membranes with Enhanced Mechanical Robustness for Gas Separation. Polymers. 2025; 17(4):524. https://doi.org/10.3390/polym17040524
Chicago/Turabian StyleLei, Xingfeng, Zixiang Zhang, Yuyang Xiao, Qinyu Yu, Yewei Liu, Xiaohua Ma, and Qiuyu Zhang. 2025. "Tröger’s Base Polyimide Membranes with Enhanced Mechanical Robustness for Gas Separation" Polymers 17, no. 4: 524. https://doi.org/10.3390/polym17040524
APA StyleLei, X., Zhang, Z., Xiao, Y., Yu, Q., Liu, Y., Ma, X., & Zhang, Q. (2025). Tröger’s Base Polyimide Membranes with Enhanced Mechanical Robustness for Gas Separation. Polymers, 17(4), 524. https://doi.org/10.3390/polym17040524

