Development of Biopolymer Polylactic Acid–Cellulose Acetate–Silicon Dioxide Nanocomposite Membranes for Multifunctional Protective Textiles
Abstract
1. Introduction
2. Materials and Methods
Characterization and Measurements
3. Results and Discussion
3.1. Morphological Analysis
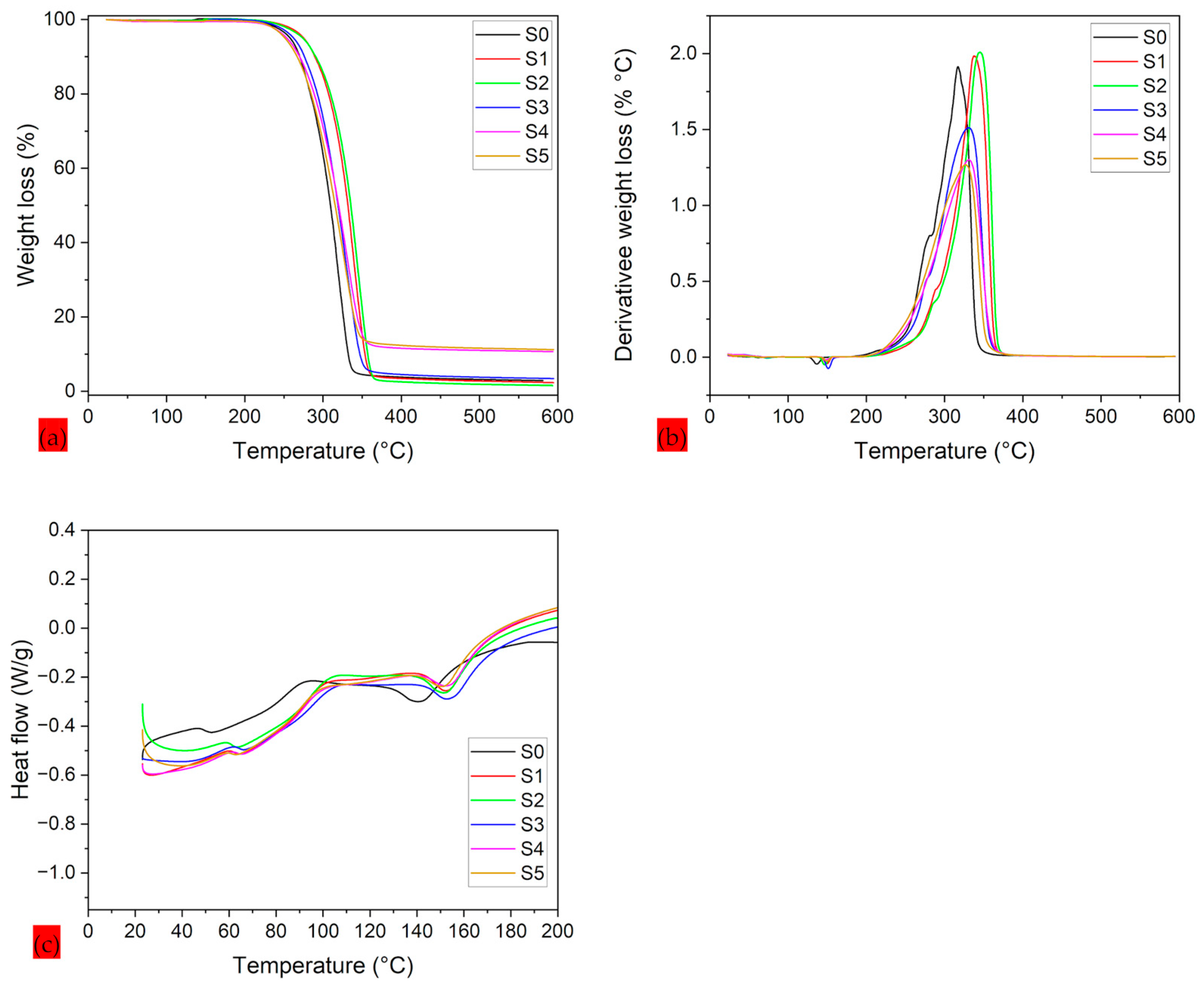
3.2. Thermal Analysis
3.3. X-Ray Diffraction (XRD)
3.4. FT–IR Analysis
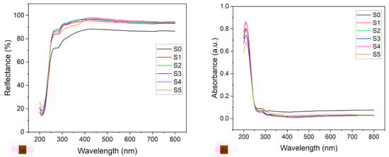
3.5. Ultraviolet–Visible Spectroscopy
3.6. Hydrophobic Analysis
3.7. Hydrostatic Pressure Resistance
3.8. Tensile Test
4. Conclusions
Author Contributions
Funding
Institutional Review Board Statement
Data Availability Statement
Conflicts of Interest
References
- Baji, A.; Agarwal, K.; Oopath, S.V. Emerging developments in the use of electrospun fibers and membranes for protective clothing applications. Polymers 2020, 12, 492. [Google Scholar] [CrossRef]
- Zhou, W.; Gong, X.; Li, Y.; Si, Y.; Zhang, S.; Yu, J.; Ding, B. Environmentally friendly waterborne polyurethane nanofibrous membranes by emulsion electrospinning for waterproof and breathable textiles. Chem. Eng. J. 2022, 427, 130925. [Google Scholar] [CrossRef]
- Gu, Y.; Wu, J.; Hu, M.; Pi, H.; Wang, R.; Zhang, X. Polylactic acid based Janus membranes with asymmetric wettability for directional moisture transport with enhanced UV protective capabilities. RSC Adv. 2022, 12, 32–41. [Google Scholar] [CrossRef] [PubMed]
- Raza, A.; Li, Y.; Sheng, J.; Yu, J.; Ding, B. Protective clothing based on electrospun nanofibrous membranes. In Electrospun Nanofibers for Energy and Environmental Applications; Springer: Berlin/Heidelberg, Germany, 2014; pp. 355–369. [Google Scholar]
- Jin, C.; Gong, X.; Jiao, W.; Yin, X.; Yu, J.; Zhang, S.; Ding, B. Superhydrophobic polyvinylidene fluoride nanofibrous membranes with stable hierarchical structures for protective textiles. Compos. Commun. 2023, 38, 101500. [Google Scholar] [CrossRef]
- Zhao, J.; Wang, X.; Liu, L.; Yu, J.; Ding, B. Human skin-like, robust waterproof, and highly breathable fibrous membranes with short perfluorobutyl chains for eco-friendly protective textiles. ACS Appl. Mater. Interfaces 2018, 10, 30887–30894. [Google Scholar] [CrossRef] [PubMed]
- Vatanpour, V.; Dehqan, A.; Paziresh, S.; Zinadini, S.; Zinatizadeh, A.A.; Koyuncu, I. Polylactic acid in the fabrication of separation membranes: A review. Sep. Purif. Technol. 2022, 296, 121433. [Google Scholar] [CrossRef]
- Wang, W.; Feng, L.; Song, B.; Wang, L.; Shao, R.; Xia, Y.; Liu, D.; Li, T.; Liu, S.; Xu, Z.; et al. Fabrication and application of superhydrophobic nonwovens: A review. Mater. Today Chem. 2022, 26, 101227. [Google Scholar] [CrossRef]
- Zhao, J.; Zhu, W.; Wang, X.; Liu, L.; Yu, J.; Ding, B. Fluorine-free waterborne coating for environmentally friendly, robustly water-resistant, and highly breathable fibrous textiles. ACS Nano 2019, 14, 1045–1054. [Google Scholar] [CrossRef]
- Zhu, W.; Zhao, J.; Wang, X.; Liu, X.; Yu, J.; Ding, B. Facile fabrication of fluorine-free breathable poly (methylhydrosiloxane)/polyurethane fibrous membranes with enhanced water-resistant capability. J. Colloid Interface Sci. 2019, 556, 541–548. [Google Scholar] [CrossRef]
- Lo, J.S.C.; Daoud, W.; Tso, C.Y.; Lee, H.H.; Firdous, I.; Deka, B.J.; Lin, C.S.K. Optimization of polylactic acid-based medical textiles via electrospinning for healthcare apparel and personal protective equipment. Sustain. Chem. Pharm. 2022, 30, 100891. [Google Scholar] [CrossRef]
- Alam, A.M.; Ewaldz, E.; Xiang, C.; Qu, W.; Bai, X. Tunable wettability of biodegradable multilayer sandwich-structured electrospun nanofibrous membranes. Polymers 2020, 12, 2092. [Google Scholar] [CrossRef]
- Al-Abduljabbar, A.; Farooq, I. Electrospun polymer nanofibers: Processing, properties, and applications. Polymers 2022, 15, 65. [Google Scholar] [CrossRef]
- Nuraje, N.; Khan, W.S.; Lei, Y.; Ceylan, M.; Asmatulu, R. Superhydrophobic electrospun nanofibers. J. Mater. Chem. A 2013, 1, 1929–1946. [Google Scholar] [CrossRef]
- Hassegawa, M.; Karlberg, A.; Hertzberg, M.; Verkerk, P.J. Innovative forest products in the circular bioeconomy. Open Res. Eur. 2022, 2, 19. [Google Scholar] [CrossRef] [PubMed]
- Feng, J.; Zeng, Y.; Li, Z.; Huang, G.; Liang, D.; Zhou, E.; Zhang, C.; Dan, L.; Mo, L. Research progress of fully biodegradable and antimicrobial materials applied in personal protective equipment. Mega J. Case Rep 2022, 8, 293–304. [Google Scholar]
- Eang, C.; Nim, B.; Sreearunothai, P.; Petchsuk, A.; Opaprakasit, P. Chemical upcycling of polylactide (PLA) and its use in fabricating PLA-based super-hydrophobic and oleophilic electrospun nanofibers for oil absorption and oil/water separation. New J. Chem. 2022, 46, 14933–14943. [Google Scholar] [CrossRef]
- Sharma, D.; Satapathy, B.K. Optimization and physical performance evaluation of electrospun nanofibrous mats of PLA, PCL and their blends. J. Ind. Text. 2022, 51 (Suppl. S4), 6640S–6665S. [Google Scholar] [CrossRef]
- Farkas, N.I.; Marincaș, L.; Barabás, R.; Bizo, L.; Ilea, A.; Turdean, G.L.; Toșa, M.; Cadar, O.; Barbu-Tudoran, L. Preparation and characterization of doxycycline-loaded electrospun PLA/HAP nanofibers as a drug delivery system. Materials 2022, 15, 2105. [Google Scholar] [CrossRef]
- Magiera, A.; Markowski, J.; Menaszek, E.; Pilch, J.; Blazewicz, S. PLA-based hybrid and composite electrospun fibrous scaffolds as potential materials for tissue engineering. J. Nanomater. 2017, 2017, 9246802. [Google Scholar] [CrossRef]
- Gugutkov, D.; Gustavsson, J.; Cantini, M.; Salmeron-Sánchez, M.; Altankov, G. Electrospun fibrinogen–PLA nanofibres for vascular tissue engineering. J. Tissue Eng. Regen. Med. 2017, 11, 2774–2784. [Google Scholar] [CrossRef] [PubMed]
- Selatile, M.K.; Ray, S.S.; Ojijo, V.; Sadiku, R. Recent developments in polymeric electrospun nanofibrous membranes for seawater desalination. RSC Adv. 2018, 8, 37915–37938. [Google Scholar] [CrossRef]
- Wu, J.H.; Hu, T.G.; Wang, H.; Zong, M.H.; Wu, H.; Wen, P. Electrospinning of PLA nanofibers: Recent advances and its potential application for food packaging. J. Agric. Food Chem. 2022, 70, 8207–8221. [Google Scholar] [CrossRef]
- He, H.; Gao, M.; Illés, B.; Molnar, K. 3D printed and electrospun, transparent, hierarchical polylactic acid mask nanoporous filter. Int. J. Bioprinting 2020, 6, 278. [Google Scholar] [CrossRef]
- Pisani, S.; Dorati, R.; Conti, B.; Modena, T.; Bruni, G.; Genta, I. Design of copolymer PLA-PCL electrospun matrix for biomedical applications. React. Funct. Polym. 2018, 124, 77–89. [Google Scholar] [CrossRef]
- Qiao, T.; Song, P.; Guo, H.; Song, X.; Zhang, B.; Chen, X. Reinforced electrospun PLLA fiber membrane via chemical crosslinking. Eur. Polym. J. 2016, 74, 101–108. [Google Scholar] [CrossRef]
- Naseri-Nosar, M.; Salehi, M.; Hojjati-Emami, S. Cellulose acetate/poly lactic acid coaxial wet-electrospun scaffold containing citalopram-loaded gelatin nanocarriers for neural tissue engineering applications. Int. J. Biol. Macromol. 2017, 103, 701–708. [Google Scholar] [CrossRef] [PubMed]
- Hou, J.Z.; Sun, X.P.; Zhang, W.X.; Li, L.L.; Teng, H. Preparation and characterization of electrospun fibers based on poly (L-lactic acid)/cellulose acetate. Chin. J. Polym. Sci. 2012, 30, 916–922. [Google Scholar] [CrossRef]
- Kuzmenko, V.; Kalogeropoulos, T.; Thunberg, J.; Johannesson, S.; Hägg, D.; Enoksson, P.; Gatenholm, P. Enhanced growth of neural networks on conductive cellulose-derived nanofibrous scaffolds. Mater. Sci. Eng. C 2016, 58, 14–23. [Google Scholar] [CrossRef]
- Mahović Poljaček, S.; Priselac, D.; Tomašegović, T.; Leskovac, M.; Šoster, A.; Stanković Elesini, U. Quantitative Analysis of Morphology and Surface Properties of Poly (lactic acid)/Poly (ε-caprolactone)/Hydrophilic Nano-Silica Blends. Polymers 2024, 16, 1739. [Google Scholar] [CrossRef]
- Bustamante-Torres, M.; Romero-Fierro, D.; Arcentales-Vera, B.; Pardo, S.; Bucio, E. Interaction between filler and polymeric matrix in nanocomposites: Magnetic approach and applications. Polymers 2021, 13, 2998. [Google Scholar] [CrossRef]
- Hao, W.; Zhong, Y.; Yang, Q.; Ke, C.; Lu, Y.; Wang, W.; Yang, W. Superhydrophobic and breathable polydimethylsiloxane/nano-SiO2@ polylactic acid electrospun membrane with core-sheath fiber structure. Prog. Org. Coat. 2024, 187, 108126. [Google Scholar] [CrossRef]
- Yang, Z.; Ma, Y.; Jia, S.; Zhang, C.; Li, P.; Zhang, Y.; Li, Q. 3D-printed flexible phase-change nonwoven fabrics toward multifunctional clothing. ACS Appl. Mater. Interfaces 2022, 14, 7283–7291. [Google Scholar] [CrossRef]
- Lee, S. Developing UV-protective textiles based on electrospun zinc oxide nanocomposite fibers. Fibers Polym. 2009, 10, 295–301. [Google Scholar] [CrossRef]
- Ryu, Y.S.; Kim, I.S.; Kim, S.H. Effect of modified ZnO nanoparticle on the properties of polylactide ultrafine fibers. J. Appl. Polym. Sci. 2019, 136, 47446. [Google Scholar] [CrossRef]
- Zhao, J.; Zhang, T.; Li, Y.; Huang, L.; Tang, Y. Fluorine-free, highly durable waterproof and breathable fibrous membrane with self-clean performance. Nanomaterials 2023, 13, 516. [Google Scholar] [CrossRef]
- Farooq, I.; Al-Abduljabbar, A. Efficient Production and Experimental Analysis of Bio-Based PLA-CA Composite Membranes via Electrospinning for Enhanced Mechanical Performance and Thermal Stability. Polymers 2025, 17, 1118. [Google Scholar] [CrossRef]
- Gu, H.; Li, G.; Li, P.; Liu, H.; Chadyagondo, T.T.; Li, N.; Xiong, J. Superhydrophobic and breathable SiO2/polyurethane porous membrane for durable water repellent application and oil-water separation. Appl. Surf. Sci. 2020, 512, 144837. [Google Scholar] [CrossRef]
- Sencadas, V.; Costa, C.M.; Botelho, G.; Caparrós, C.; Ribeiro, C.; Gómez-Ribelles, J.L.; Lanceros-Mendez, S. Thermal properties of electrospun poly (lactic acid) membranes. J. Macromol. Sci. Part B 2012, 51, 411–424. [Google Scholar] [CrossRef]
- Aijaz, M.O.; Abdus Samad, U.; Alnaser, I.A.; Siddiqui, M.I.H.; Assaifan, A.K.; Karim, M.R. PBAT/PLA-based electrospun nanofibrous protective clothes with superhydrophobicity, permeability, and thermal insulation characteristics for individuals with disabilities. Polymers 2024, 16, 2469. [Google Scholar] [CrossRef]
- Soliman, T.S.; Vshivkov, S.A. Effect of Fe nanoparticles on the structure and optical properties of polyvinyl alcohol nanocomposite films. J. Non-Cryst. Solids 2019, 519, 119452. [Google Scholar] [CrossRef]
- Mo, J.; Wang, Y.; Wang, J.; Zhao, J.; Ke, Y.; Han, S.; Gan, F.; Wang, L.; Ma, C. Hydrophobic/oleophilic polylactic acid electrospun fibrous membranes with the silicone semi-interpenetrated networks for oil–water separation. J. Mater. Sci. 2022, 57, 16048–16063. [Google Scholar] [CrossRef]
- Asghar, G.; Dong, X.; Chae, S.; Saqlain, S.; Oh, S.; Choi, K.H.; Jeon, J.; Woo, C.; Kim, T.Y.; Ahn, J.; et al. Synthesis of TiO2 nanoparticle-embedded SiO2 microspheres for UV protection applications. Cryst. Growth Des. 2022, 23, 256–262. [Google Scholar] [CrossRef]
- Ye, B.; Jia, C.; Li, Z.; Li, L.; Zhao, Q.; Wang, J.; Wu, H. Solution-blow spun PLA/SiO2 nanofiber membranes toward high efficiency oil/water separation. J. Appl. Polym. Sci. 2020, 137, 49103. [Google Scholar] [CrossRef]
- Shuai, C.; Yang, F.; Shuai, Y.; Peng, S.; Chen, S.; Deng, Y.; Feng, P. Silicon dioxide nanoparticles decorated on graphene oxide nanosheets and their application in poly (L-lactic acid) scaffold. J. Adv. Res. 2023, 48, 175–190. [Google Scholar] [CrossRef]
- Bazbouz, M.B.; Stylios, G.K. The tensile properties of electrospun nylon 6 single nanofibers. J. Polym. Sci. Part B Polym. Phys. 2010, 48, 1719–1731. [Google Scholar] [CrossRef]
- Hang, F.; Lu, D.; Bailey, R.J.; Jimenez-Palomar, I.; Stachewicz, U.; Cortes-Ballesteros, B.; Davies, M.; Zech, M.; Bödefeld, C.; Barber, A.H. In situ tensile testing of nanofibers by combining atomic force microscopy and scanningelectron microscopy. Nanotechnology 2011, 22, 365708. [Google Scholar] [CrossRef] [PubMed]
- Liu, Y.; Wei, H.; Wang, Z.; Li, Q.; Tian, N. Simultaneous enhancement of strength and toughness of PLA induced by miscibility variation with PVA. Polymers 2018, 10, 1178. [Google Scholar] [CrossRef] [PubMed]
- Alharbi, H.F.; Luqman, M.; Fouad, H.; Khalil, K.A.; Alharthi, N.H. Viscoelastic behavior of core-shell structured nanofibers of PLA and PVA produced by coaxial electrospinning. Polym. Test. 2018, 67, 136–143. [Google Scholar] [CrossRef]
- Dehnou, K.H.; Norouzi, G.S.; Majidipour, M. A review: Studying the effect of graphene nanoparticles on mechanical, physical and thermal properties of polylactic acid polymer. RSC Adv. 2023, 13, 3976–4006. [Google Scholar] [CrossRef]
- Jalalah, M.; Ahmad, A.; Saleem, A.; Qadir, M.B.; Khaliq, Z.; Khan, M.Q.; Nazir, A.; Faisal, M.; Alsaiari, M.; Irfan, M.; et al. Electrospun nanofiber/textile supported composite membranes with improved mechanical performance for biomedical applications. Membranes 2022, 12, 1158. [Google Scholar] [CrossRef]













| Electrospun Composite Membrane Code | PLA and CA Concentration (v/v) | SiO2 Concentration (w/w)% |
|---|---|---|
| S0 | 0 | |
| S1 | 0.5 | |
| S2 | PLA 95–CA 5 | 1.5 |
| S3 | 3 | |
| S4 | 5 | |
| S5 | 7 |
| Specimen | (°C) | (°C) | (°C) | (°C) | (°C) |
|---|---|---|---|---|---|
| S0 | 298.9 | 322.3 | 329.6 | 61.3 | 144.2 |
| S1 | 308.1 | 331.8 | 337.6 | 59.3 | 153.1 |
| S2 | 313.6 | 337.1 | 345.6 | 59.2 | 153.5 |
| S3 | 285.9 | 318.9 | 328.9 | 59.3 | 151.4 |
| S4 | 287.9 | 322.7 | 327.9 | 59.2 | 151.8 |
| S5 | 284.6 | 320.8 | 325.8 | 58.8 | 151.9 |
Disclaimer/Publisher’s Note: The statements, opinions and data contained in all publications are solely those of the individual author(s) and contributor(s) and not of MDPI and/or the editor(s). MDPI and/or the editor(s) disclaim responsibility for any injury to people or property resulting from any ideas, methods, instructions or products referred to in the content. |
© 2025 by the authors. Licensee MDPI, Basel, Switzerland. This article is an open access article distributed under the terms and conditions of the Creative Commons Attribution (CC BY) license (https://creativecommons.org/licenses/by/4.0/).
Share and Cite
Farooq, I.; Al-Abduljabbar, A.; Alnaser, I.A. Development of Biopolymer Polylactic Acid–Cellulose Acetate–Silicon Dioxide Nanocomposite Membranes for Multifunctional Protective Textiles. Polymers 2025, 17, 2237. https://doi.org/10.3390/polym17162237
Farooq I, Al-Abduljabbar A, Alnaser IA. Development of Biopolymer Polylactic Acid–Cellulose Acetate–Silicon Dioxide Nanocomposite Membranes for Multifunctional Protective Textiles. Polymers. 2025; 17(16):2237. https://doi.org/10.3390/polym17162237
Chicago/Turabian StyleFarooq, Irfan, Abdulhamid Al-Abduljabbar, and Ibrahim A. Alnaser. 2025. "Development of Biopolymer Polylactic Acid–Cellulose Acetate–Silicon Dioxide Nanocomposite Membranes for Multifunctional Protective Textiles" Polymers 17, no. 16: 2237. https://doi.org/10.3390/polym17162237
APA StyleFarooq, I., Al-Abduljabbar, A., & Alnaser, I. A. (2025). Development of Biopolymer Polylactic Acid–Cellulose Acetate–Silicon Dioxide Nanocomposite Membranes for Multifunctional Protective Textiles. Polymers, 17(16), 2237. https://doi.org/10.3390/polym17162237

