Olive Industry Solid Waste-Based Biosorbent: Synthesis and Application in Wastewater Purification
Abstract
:1. Introduction
2. Materials and Methods
2.1. Material
2.2. Methods
2.2.1. Characterization
2.2.2. Purification of Olive Industry Solid Waste
2.2.3. Soxhlet Extraction
2.2.4. Carboxymethylation of OISW (CMOISW)
2.2.5. Thermal Curing
2.2.6. Carboxyl Content of CMOISW
2.2.7. Water Solubility of CMOISW
2.2.8. Wastewater Purification
2.2.9. Adsorption
2.2.10. Isotherm
2.2.11. Adsorption Kinetics
3. Results
3.1. Synthesis of Carboxymethylated OISW
3.2. Adsorption Process
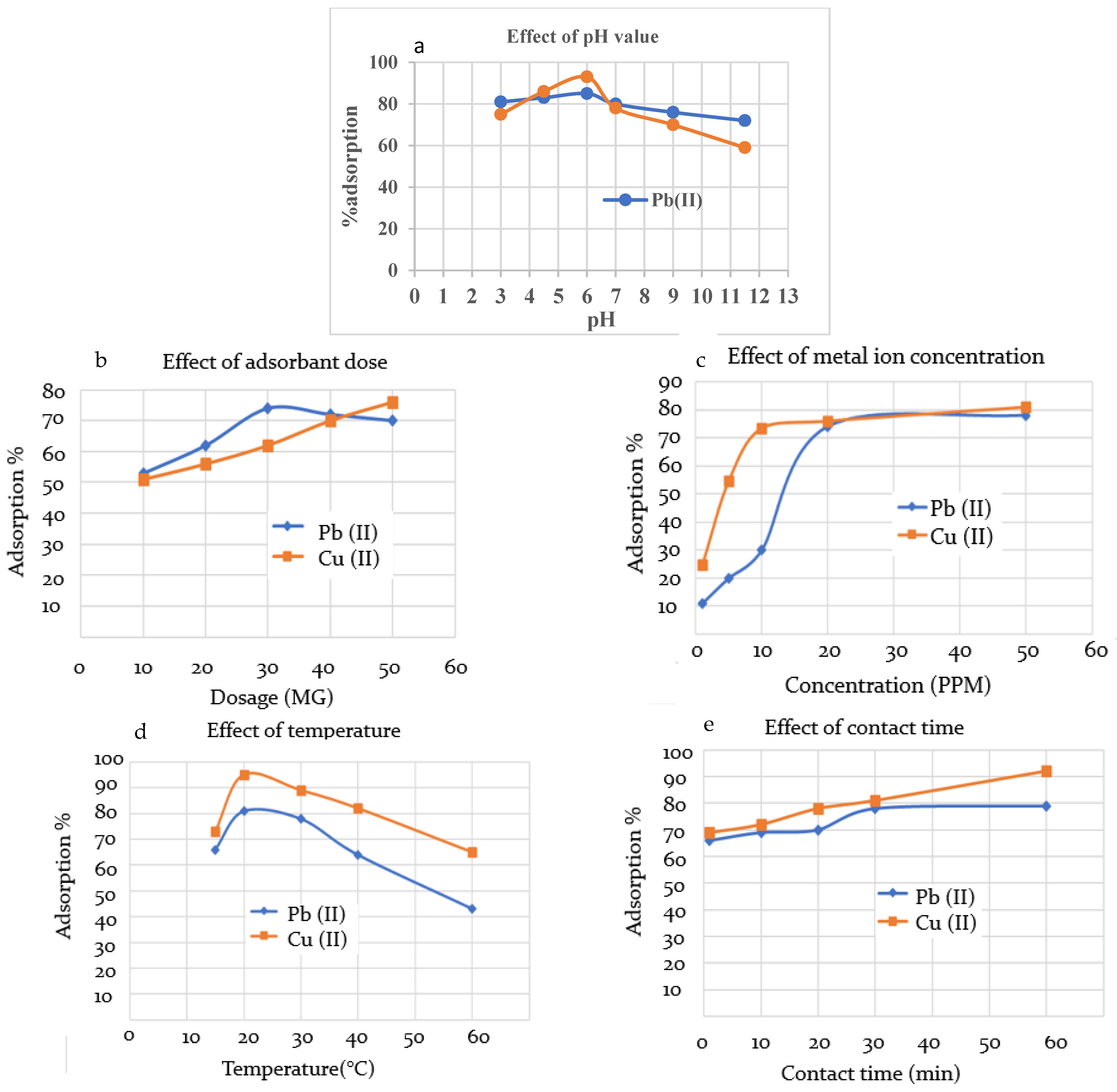
Effects of Various Parameters
Solution pH
Adsorbent Dose
Metal Ion Initial Concentration
Temperature
Mixing Time
3.3. Wastewater Purification from Toxic Metal Ions
3.4. Adsorption Mechanism
Isotherm
3.5. Kinetics of Pb(II) and Cu(II) Ion Adsorption
3.6. Thermodynamics study
4. Conclusions
Author Contributions
Funding
Institutional Review Board Statement
Data Availability Statement
Acknowledgments
Conflicts of Interest
References
- Azbar, N.; Bayram, A.; Filibeli, A.; Muezzinoglu, A.; Sengul, F.; Ozer, A. A review of waste management options in olive oil production. Crit. Rev. Environ. Sci. Technol. 2004, 34, 209–247. [Google Scholar] [CrossRef]
- Ayrilmis, N.; Buyuksari, U. Utilization of olive mill sludge in the manufacture of fiberboard. Bioresource 2010, 5, 1859–1867. [Google Scholar]
- Ayrilmis, N.; Buyuksari, U. Utilization if olive mill sludge in manufacture of lignocellulosic/polypropylene composite. J. Mater. Sci. 2010, 45, 1136–1342. [Google Scholar] [CrossRef]
- Abu-Zreig, M.; Al-Widyan, M. Influence of olive mills solid waste on soil hydraulic properties. Commun. Soil Sci. Plant Anal. 2002, 33, 505–517. [Google Scholar] [CrossRef]
- Alburquerque, J.A.; Gonzales, J.; García, D.; Cegarra, J. Effects of a compost made from the solid by-product (‘‘alperujo’’) of the two-phase centrifugation system for olive oil extraction and cotton gin waste on growth and nutrient content of ryegrass (Lolium perenne L.). Bioresour. Technol. 2007, 98, 940–945. [Google Scholar] [CrossRef]
- Sellami, F.; Jarboui, R.; Hachicha, S.; Medhioub, K.; Ammar, E. Co-composting of oil exhausted olive-cake, poultry manure and industrial residues of agro-food activity for soil amendment. Bioresour. Technol. 2008, 99, 1177–1188. [Google Scholar] [CrossRef] [PubMed]
- Sampedro, I.; Giubilei, M.; Cajthaml, T.; Federici, E.; Federici, F.; Petruccioli, M.; D’annibale, A. Short-term impact of dry olive mill residue addition to soil on the resident Microbiota. Bioresour. Technol. 2009, 100, 6098–6106. [Google Scholar] [CrossRef]
- Shabtay, A.; Hadar, Y.; Eitam, H.; Brosh, A.; Orlov, A.; Tadmor, Y.; Izhaki, I.; Kerem, Z. The potential of Pleurotus-treated olive mill solid waste as cattle feed. Bioresour. Technol. 2009, 100, 6457–6464. [Google Scholar] [CrossRef]
- Giannoutsou, E.P.; Meintanis, C.; Karagouni, A.D. Identification of yeast strains isolated from a two-phase decanter system olive oil waste and investigation of their ability for its fermentation. Bioresour. Technol. 2000, 93, 301–306. [Google Scholar] [CrossRef]
- Aviani, I.; Laor, Y.; Medina, S.; Krassnovsky, A.; Raviv, M. Co-composting of solid and liquid olive mill wastes: Management aspects and the horticultural value of the resulting composts. Bioresour. Technol. 2010, 101, 6699–6706. [Google Scholar] [CrossRef]
- Kalmis, E.; Azbar, N.; Yıldız, H.; Kalyoncu, F. Feasibility of using olive mill effluent (OME) as a wetting agent during the cultivation of oyster mushroom, Pleurotus ostreatus, on wheat straw. Bioresour. Technol. 2008, 99, 164–169. [Google Scholar] [CrossRef] [PubMed]
- Zabaniotou, A.; Stavropoulos, G.; Skoulou, V. Activated carbon from olive kernels in a two-stage process: Industrial improvement. Bioresour. Technol. 2008, 99, 320–326. [Google Scholar] [CrossRef]
- Abu-Ashour, J.; Abu Qdais, H.; Al Widyan, M. Estimation of animal and olive solid wastes in Jordan and their potential as a supplementary energy source: An overview. Renew. Sustain. Energy Rev. 2010, 14, 2227–2231. [Google Scholar] [CrossRef]
- Cuevas, M.; Sánchez, S.; Bravo, V. Juan Francisco García, Jaime Baeza, Carolina Parra, Juanita Freer. Determination of optimal pre-treatment conditions for ethanol production from olive-pruning debris by simultaneous saccharification and fermentation. Fuel 2010, 89, 2891–2896. [Google Scholar] [CrossRef]
- Martinez-Garcia, G.; Bachmann, R.T.; Williams, C.J.; Burgoyne, A.; Edyvean, R.G.J. Olive oil waste as a biosorbent for heavy metals. Int. Biodeterior. Biodegrad. 2006, 58, 231–238. [Google Scholar] [CrossRef]
- Sampedro, I.; D’Annibale, A.; Ocampo, J.A.; Stazi, S.R. Inmaculada García-Romera. Solid-state cultures of Fusarium oxysporum transform aromatic components of olive-mill dry residue and reduce its phytotoxicity. Bioresour. Technol. 2006, 98, 3547–3554. [Google Scholar] [CrossRef] [PubMed]
- Gedon, S.; Fengl, T. Cellulose derivatives esters In Kirk–Othmer Encyclopedia of Chemical Technology, 3rd ed.; Grayson, M., Eckroth, D., Eds.; Wiley: New York, NY, USA, 1993; Volume 5, pp. 118–143. [Google Scholar]
- Heinze, T.; Liebert, T. Chemical characteristics of cellulose acetate In Cellulose Acetates: Properties and Applications; Rustemeyer, P., Ed.; Weinham: Germany, Wile, 2004; pp. 167–238. [Google Scholar]
- Majewicz, T.G.; Padlas, T.T. Cellulose acetate and triacetate fiber. In Kirk–Othmer Encyclopedia of Chemical Technology, 3rd ed.; Grayson, M., Eckroth, D., Eds.; Wiley: New York, NY, USA, 1979; Volume 5, pp. 89–117. [Google Scholar]
- Serad, G.H. Cellulose derivatives, ethers In Kirk–Othmer Encyclopedia of Chemical Technology, 3rd ed.; Grayson, M., Eckroth, D., Eds.; Wiley: New York, NY, USA, 1979; Volume 5, pp. 143–163. [Google Scholar]
- Calihan, C.D. Cellulose derivatives, polymers with a future in cellulose technology research. In American Chemical Society Symposium Series No. 10; Turball, A.F., Ed.; ACS Publications: Washington, DC, USA, 1987. [Google Scholar]
- Amin, M.N.; Shahjehan, M.D. Production of cellulose acetate from jute sticks. Park J. Sci. Ind. Res. 1999, 42, 377–379. [Google Scholar]
- Umoren, S.A.; Umoudoh, A.J.; Akpabio, U.D. Conversion of agricultural waste to cellulose derivatives. Bull. Pure Appl. Sci. 2004, 23, 9–13. [Google Scholar]
- Duran, A.; Soylak, M.; Tuncel, S.A. Poly(vinyl pyridine-poly ethylene glycol methacrylate-ethylene glycol dimethacrylate) beads for heavy metal removal. J. Hazard. Mater. 2008, 155, 114–120. [Google Scholar] [CrossRef]
- Song, X.; Li, C.; Xu, R.; Wang, K. Molecular-Ion-Imprinted Chitosan Hydrogels for the Selective Adsorption of Silver(I) in Aqueous Solution. Ind. Eng. Chem. Res. 2012, 51, 11261–11265. [Google Scholar] [CrossRef]
- Sikder, M.T.; Mihara, Y.; Islam, M.S.; Saito, T.; Tanaka, S.; Kurasaki, M. Preparation and characterization of chitosan– carboxymethyl-β-cyclodextrin entrapped nanozero-valent iron composite for Cu (II) and Cr (IV) removal from wastewater. Chem. Eng. J. 2014, 236, 378–387. [Google Scholar] [CrossRef]
- Allouche, F.-N.; Guibal, E.; Mameri, N. Preparation of a new chitosan-based material and its application for mercury sorption. Colloids Surf. Physicochem. Eng. Asp. 2014, 446, 224–232. [Google Scholar] [CrossRef]
- Liu, D.; Li, Z.; Zhu, Y.; Li, Z.; Kumar, R. Recycled chitosan nanofibril as an effective Cu (II), Pb (II) and Cd (II) ionic chelating agent: Adsorption and desorption performance. Carbohydr. Polym. 2014, 111, 469–476. [Google Scholar] [CrossRef] [PubMed]
- Kyzas, G.Z.; Siafaka, P.I.; Lambropoulou, D.A.; Lazaridis, N.K.; Bikiaris, D.N. Poly (itaconic acid)-Grafted Chitosan Adsorbents with Different Cross-Linking for Pb (II) and Cd (II) Uptake. Langmuir 2014, 30, 120–131. [Google Scholar] [CrossRef]
- Heidari, A.; Younesi, H.; Mehraban, Z.; Heikkinen, H. Selective adsorption of Pb (II), Cd (II), and Ni (II) ions from aqueous solution using chitosan–MAA nanoparticles. Int. J. Biol. Macromol. 2013, 61, 251–263. [Google Scholar] [CrossRef]
- Alqadami, A.A.; Naushad, M.; ALOthman, Z.A.; Alsuhybani, M.; Algamdi, M. Excellent adsorptive performance of a new nanocomposite for removal of toxic Pb (II) from aqueous environment: Adsorption mechanism and modeling analysis. J. Hazard. Mater. 2020, 389, 121896. [Google Scholar] [CrossRef]
- Sen, T.K. Air, Gas, and Water Pollution Control Using Industrial and Agricultural Solid Wastes Adsorbents; CRC Press: Boca Raton, FL, USA, 2017. [Google Scholar]
- Afroze, S.; Sen, T.K. A review on heavy metal ions and dye adsorption from water by agricultural solid waste adsorbents. Water Air Soil Pollut. 2018, 229, 1–50. [Google Scholar] [CrossRef]
- Demirbas, A. Heavy metal adsorption onto agro-based waste materials: A review. J. Hazard. Mater. 2008, 157, 220–229. [Google Scholar] [CrossRef]
- Mo, J.; Yang, Q.; Zhang, N.; Zhang, W.; Zheng, Y.; Zhang, Z. A review on agro-industrial waste (AIW) derived adsorbents for water and wastewater treatment. J. Environ. Manage. 2018, 227, 395–405. [Google Scholar] [CrossRef]
- Şenol, Z.M.; Gül, Ü.D.; Gurbanov, R.; Şimşek, S. Optimization the removal of lead ions by fungi: Explanation of the mycosorption mechanism. J. Environ. Chem. Eng. 2021, 9, 104760. [Google Scholar] [CrossRef]
- Şenol, Z.M.; Gül, Ü.D.; Şimşek, S. Assessment of Pb2+ removal capacity of lichen (Evernia prunastri): Application of adsorption kinetic, isotherm models, and thermodynamics. Environ. Sci. Pollut. Res. 2019, 26, 27002–27013. [Google Scholar] [CrossRef]
- Jodeh, S.; Hamed, O.; Melhem, A.; Salghi, R.; Jodeh, D.; Azzaoui, K.; Benmassaoud, Y.; Murtada, K. Magnetic nanocellulose from olive industry solid waste for the effective removal of methylene blue from wastewater. Environ. Sci. Pollut. Res. 2018, 25, 22060–22074. [Google Scholar] [CrossRef]
- Chakraborty, R.; Asthana, A.; Singh, A.K.; Jain, B.; Susan, A.B.H. Adsorption of heavy metal ions by various low-cost adsorbents: A review. Int. J. Environ. Anal. Chem. 2022, 102, 342–379. [Google Scholar] [CrossRef]
- Karnitz, O., Jr.; Gurgel, L.V.A.; De Melo, J.C.P.; Botaro, V.R.; Melo, T.M.S.; de Freitas Gil, R.P.; Gil, L.F. Adsorption of heavy metal ion from aqueous single metal solution by chemically modified sugarcane bagasse. Bioresour. Technol. 2007, 98, 1291–1297. [Google Scholar] [CrossRef]
- Doan, H.; Lohi, A.; Dang, A.; Dang-Vu, T. Removal of Zn+ 2 and Ni+ 2 by adsorption in a fixed bed of wheat straw. Process Saf. Environ. Prot. 2008, 86, 259–267. [Google Scholar] [CrossRef]
- Acar, F.N.; Eren, Z. Removal of Cu (II) ions by activated poplar sawdust (Samsun Clone) from aqueous solutions. J. Hazard. Mater. 2006, 137, 909–914. [Google Scholar] [CrossRef]
- Vieira, M.; de Almeida Neto, A.; Da Silva, M.; Carneiro, C.; Melo Filho, M. Adsorption of lead and copper ions from aqueous effluents on rice husk ash in a dynamic system. Braz. J. Chem. Eng. 2014, 31, 519–529. [Google Scholar] [CrossRef]
- Hamed, O.A.; Foad, Y.; Hamed, E.M.; Al-Hajj, N. Cellulose powder from olive industry solid waste. BioResources 2012, 7, 4190–4201. [Google Scholar]
- Hamed, O.A.; Jodeh, S.; Al-Hajj, N.; Hamed, E.M.; Abo-Obeid, A.; Fouad, Y. Cellulose acetate from biomass waste of olive industry. J. Wood Sci. 2015, 61, 45–52. [Google Scholar] [CrossRef]
- Hong, H.-J.; Lim, J.S.; Hwang, J.Y.; Kim, M.; Jeong, H.S.; Park, M.S. Carboxymethlyated cellulose nanofibrils (CMCNFs) embedded in polyurethane foam as a modular adsorbent of heavy metal ions. Carbohydr. Polym. 2018, 195, 136–142. [Google Scholar] [CrossRef]
- ASTM. Standard Test Methods for Sodium Carboxymethylcellulose; Document CK-G06 Edition, 05: D-1439-03; ASTM International: West Conshohocken, PA, USA, 2005. [Google Scholar]
- Kumari, S.; Chauhan, G.S.; Ahn, J.H. Novel cellulose nanowhiskers-based polyurethane foam for rapid and persistent removal of methylene blue from its aqueous solutions. J. Chem. Eng. 2016, 304, 728–736. [Google Scholar] [CrossRef]
- Zhao, Y.; Truhlar, D.G. The M06 suite of density functionals for main group thermochemistry, thermochemical kinetics, noncovalent interactions, excited states, and transition elements: Two new functionals and systematic testing of four M06-class functionals and 12 other functionals. Theor. Chem. Acc. 2008, 120, 215–241. [Google Scholar]
- Ben Hadj Ayed, M.; Osmani, T.; Ssaoui, N.; Berisha, A.; Oujia, B.; Ghalla, H. Structures and relative stabilities of Na+ Nen (n = 1–16) clusters via pairwise and DFT calculations. Theor. Chem. Acc. 2019, 138, 1–12. [Google Scholar] [CrossRef]
- Mardirossian, N.; Head-Gordon, M. Thirty years of density functional theory in computational chemistry: An overview and extensive assessment of 200 density functionals. Mol. Phys. 2017, 115, 2315–2372. [Google Scholar] [CrossRef]
- Inada, Y.; Orita, H. Efficiency of numerical basis sets for predicting the binding energies of hydrogen bonded complexes: Evidence of small basis set superposition error compared to Gaussian basis sets. J. Comput. Chem. 2008, 29, 225–232. [Google Scholar] [CrossRef]
- Klamt, A. COSMO-RS: From Quantum Chemistry to Fluid Phase Thermodynamics and Drug Design; Elsevier: Amsterdam, Netherlands, 2005. [Google Scholar]
- Liu, L.; Luo, X.; Ding, L.; Luo, S. Application of nanotechnology in the removal of heavy metal from water. In Nanomaterials for the Removal of Pollutants and Resource Reutilization; Elsevier: Amsterdam, The Netherlands, 2019; pp. 83–147. [Google Scholar]
- Marczewski, A.W.; Seczkowska, M.; Deryło-Marczewska, A.; Blachnio, M. Adsorption equilibrium and kinetics of selected phenoxyacid pesticides on activated carbon: Effect of temperature. Adsorption 2016, 22, 777–790. [Google Scholar] [CrossRef]
- Weißpflog, J.; Gündel, A.; Vehlow, D.; Steinbach, C.; Müller, M.; Boldt, R.; Schwarz, S.; Schwarz, D. Solubility and selectivity effects of the anion on the adsorption of different heavy metal ions onto chitosan. Molecules 2020, 25, 2482. [Google Scholar] [CrossRef]
- Mészáros; Varga, I.; Gilányi, T. Adsorption of poly (ethyleneimine) on silica surfaces: Effect of pH on the reversibility of adsorption. Langmuir 2004, 20, 5026–5029. [Google Scholar] [CrossRef]
- Hamed, O.; Abu Lail, B.; Deghles, A.; Qasem, B.; Azzaoui, K.; Abu Obied, A.; Algarra, M.; Jodeh, S. Synthesis of a cross-linked cellulose-based amine polymer and its application in wastewater purification. Environ. Sci. Pollut. Res. Vol. 2019, 26, 28080–28091. [Google Scholar] [CrossRef]











| Metal Ions | Initial Concentration | Adsorption Efficiency of CMOISW | |
|---|---|---|---|
| (ppm) | |||
| Final Concentration | %Removal | ||
| Ag | 0.019 | 0.001 | 94% |
| Al | 7.668 | 3.094 | 59% |
| As | 0.624 | 0.360 | 42% |
| B | 11.330 | 7.131 | 37% |
| Bi | 7.176 | 0.527 | 92% |
| Cr | 1.538 | 0.741 | 51% |
| Cu | 14.774 | 0.923 | 93% |
| Fe | 23.753 | 16.67 | 29% |
| Mo | 0.515 | 0.192 | 62% |
| Na | 3.885 | 1.487 | 61% |
| Ni | 0.484 | 0.308 | 36% |
| Pb | 11.805 | 1.550 | 87% |
| Te | 0.547 | 0.047 | 91% |
| Metal Ions | Pb(II) | Cu(II) |
|---|---|---|
| Langmuir isotherm | ||
| Q0 (mg/g) | 2.1584 | 2.0312 |
| KL (L/mg) | 0.098 | 0.1325 |
| R2 | 0.795 | 0.8735 |
| Freundlich isotherm | ||
| 1/n | 0.846 | 0.6095 |
| KF (L/mg) | 8.6639 | 9.2269 |
| R2 | 0.9543 | 0.995 |
| Metal Ions | Pb(II) | Cu(II) | |
|---|---|---|---|
| Pseudo-first-order kinetic model | |||
| K1 (g/mg.min) | 0.664 | 0.769 | |
| Qcal (mg/g) | 12.395 | 12.477 | |
| R2 | 0.916 | 0.903 | |
| Pseudo-second-order model for adsorption of Pb (II) and Cu (II) ions onto CMOISW | |||
| K2 (g/mg.min) | 0.244 | 0.749 | |
| Qcal (mg/g) | 5.170 | 3.717 | |
| R2 | 0.991 | 0.993 | |
| Parameters explain the intraparticle diffusion of Pb(II) and Cu(II) ions onto CMOISW | |||
| Kid | 27.133 | 22.013 | |
| Z | 6.081 | 12.668 | |
| R2 | 0.836 | 0.867 | |
| Thermodynamic parameters for the adsorption of Pb(II) and Cu(II) ions onto CMOISW | |||
| Cu(II) | Pb(II) | ||
| ∆G° (KJ/mol) | 298 K | −16.657 | −18.421 |
| 313 K | −17.496 | −19.349 | |
| 323 K | −18.056 | −19.967 | |
| ∆H° (KJ/mol) | 9.387 | 11.517 | |
| ∆S° (J/K.mol) | 55.930 | 61.855 | |
| Liquid film diffusion model | |||
| Kdf | 2.275 | 2.3671 | |
| R2 | 0.9036 | 0.9198 | |
Disclaimer/Publisher’s Note: The statements, opinions and data contained in all publications are solely those of the individual author(s) and contributor(s) and not of MDPI and/or the editor(s). MDPI and/or the editor(s) disclaim responsibility for any injury to people or property resulting from any ideas, methods, instructions or products referred to in the content. |
© 2023 by the authors. Licensee MDPI, Basel, Switzerland. This article is an open access article distributed under the terms and conditions of the Creative Commons Attribution (CC BY) license (https://creativecommons.org/licenses/by/4.0/).
Share and Cite
Salahat, A.; Hamed, O.; Deghles, A.; Azzaoui, K.; Qrareya, H.; Assali, M.; Mansour, W.; Jodeh, S.; Hacıosmanoğlu, G.G.; Can, Z.S.; et al. Olive Industry Solid Waste-Based Biosorbent: Synthesis and Application in Wastewater Purification. Polymers 2023, 15, 797. https://doi.org/10.3390/polym15040797
Salahat A, Hamed O, Deghles A, Azzaoui K, Qrareya H, Assali M, Mansour W, Jodeh S, Hacıosmanoğlu GG, Can ZS, et al. Olive Industry Solid Waste-Based Biosorbent: Synthesis and Application in Wastewater Purification. Polymers. 2023; 15(4):797. https://doi.org/10.3390/polym15040797
Chicago/Turabian StyleSalahat, Angham, Othman Hamed, Abdalhadi Deghles, Khalil Azzaoui, Hisham Qrareya, Mohyeddin Assali, Waseem Mansour, Shehdeh Jodeh, Gül Gülenay Hacıosmanoğlu, Zehra Semra Can, and et al. 2023. "Olive Industry Solid Waste-Based Biosorbent: Synthesis and Application in Wastewater Purification" Polymers 15, no. 4: 797. https://doi.org/10.3390/polym15040797
APA StyleSalahat, A., Hamed, O., Deghles, A., Azzaoui, K., Qrareya, H., Assali, M., Mansour, W., Jodeh, S., Hacıosmanoğlu, G. G., Can, Z. S., Hammouti, B., Nandiyanto, A. B. D., Ayerdi-Gotor, A., & Rhazi, L. (2023). Olive Industry Solid Waste-Based Biosorbent: Synthesis and Application in Wastewater Purification. Polymers, 15(4), 797. https://doi.org/10.3390/polym15040797

