Structural, Thermal, Rheological, and Morphological Characterization of the Starches of Sweet and Bitter Native Potatoes Grown in the Andean Region
Abstract
:1. Introduction
2. Materials and Methods
2.1. Materials
2.2. Starch Extraction
2.3. Physical and Physicochemical Properties
2.4. Structural Morphology
2.5. Thermal and Rheological Properties
3. Results
3.1. Starch Extraction
3.2. Physical and Physicochemical Properties
3.3. Morphology and Granule Size
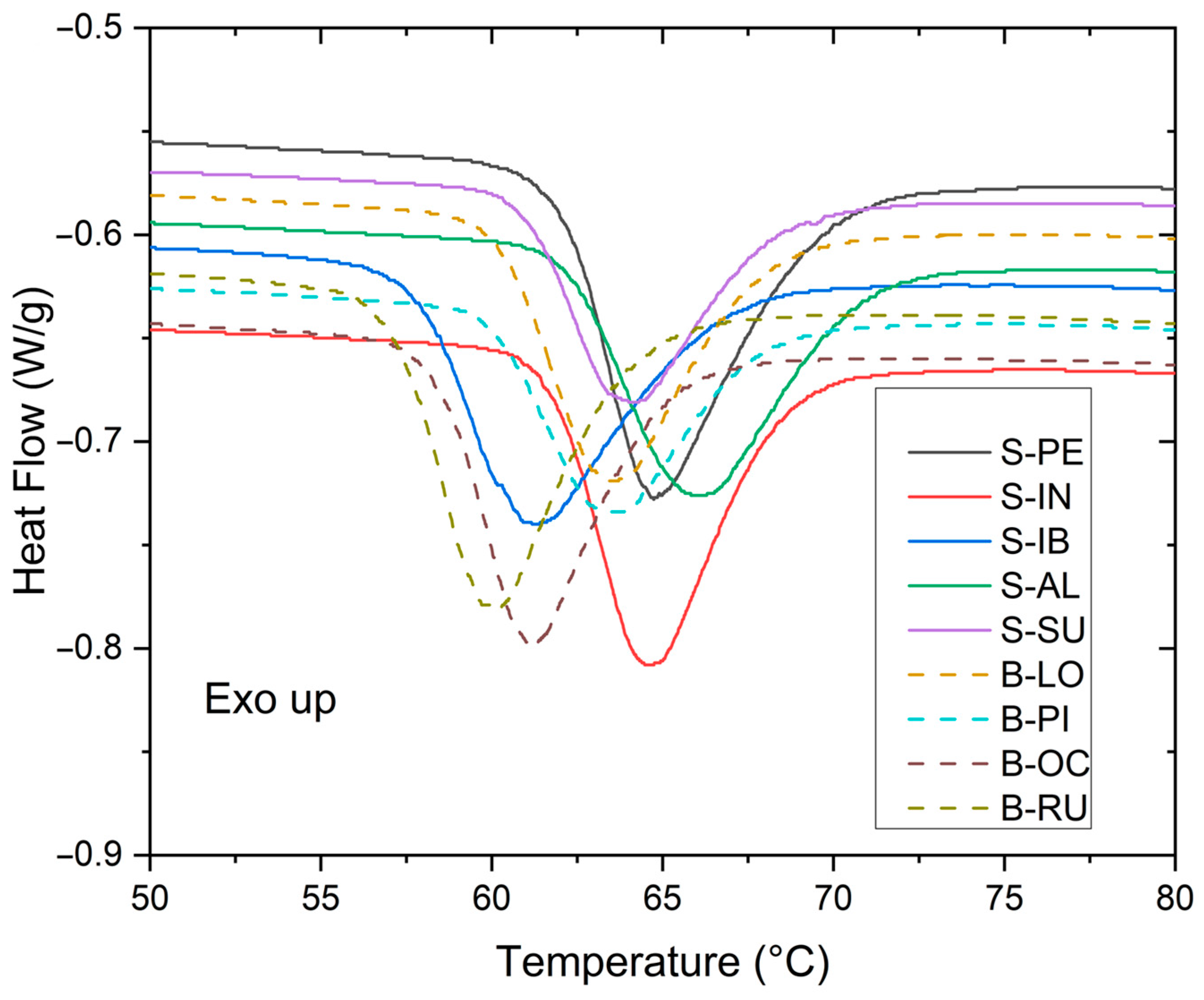
3.4. Thermal and Rheological Properties
3.5. Rheological Properties
4. Discussion
4.1. Physical and Physicochemical Properties
4.2. Structural and Morphological Properties
4.3. Thermal and Rheological Properties
5. Conclusions
Author Contributions
Funding
Institutional Review Board Statement
Data Availability Statement
Conflicts of Interest
References
- Grados, D.; García, S.; Schrevens, E. Assessing the potato yield gap in the Peruvian Central Andes. Agric. Syst. 2020, 181, 102817. [Google Scholar] [CrossRef]
- Cahuana Quispe, R.; Arcos Pineda, J. Variedades Nativas y Mejoradas de Papa en Puno; INIA: Lima, Peru, 2022; 120p. [Google Scholar]
- Yoshikawa, K.; Apaza, F. Unfrozen state by the supercooling of chuño for traditional agriculture in altiplano andes. Environ. Sustain. Indic. 2020, 8, 100063. [Google Scholar] [CrossRef]
- Biwer, M.E.; Melton, M.A. Starch granule evidence for the presence of chuño at the Middle Horizon (A.D. 600–1000) site of Quilcapampa La Antigua, Peru. J. Archaeol. Sci. Rep. 2022, 45, 103604. [Google Scholar] [CrossRef]
- Li, J.; Yang, N.; Tang, J.; Gui, Y.; Zhu, Y.; Guo, L.; Cui, B. The characterization of structural, thermal, pasting and gel properties of the blends of laccase- and tyrosinase-treated potato protein and starch. LWT 2022, 153, 112463. [Google Scholar] [CrossRef]
- Martínez, P.; Peña, F.; Bello-pérez, L.A.; Núñez-santiago, C.; Yee-madeira, H.; Velezmoro, C. Physicochemical, functional and morphological characterization of starches isolated from three native potatoes of the Andean region. Food Chem. X 2019, 2, 100030. [Google Scholar] [CrossRef]
- Zhang, B.; Murtaza, A.; Iqbal, A.; Zhang, J.; Bai, T.; Ma, W.; Xu, X.; Pan, S.; Hu, W. Comparative study on nutrient composition and antioxidant capacity of potato based on geographical and climatic factors. Food Biosci. 2022, 46, 101536. [Google Scholar] [CrossRef]
- Oyeyinka, S.A.; Singh, S.; Amonsou, E.O. A review on structural, digestibility and physicochemical properties of legume starch-lipid complexes. Food Chem. 2021, 349, 129165. [Google Scholar] [CrossRef]
- Makroo, H.A.; Naqash, S.; Saxena, J.; Sharma, S.; Majid, D.; Dar, B.N. Recovery and characteristics of starches from unconventional sources and their potential applications: A review. Appl. Food Res. 2021, 1, 100001. [Google Scholar] [CrossRef]
- Dobosz, A.; Sikora, M.; Krystyjan, M.; Lach, R.; Borczak, B. Influence of xanthan gum on the short- and long-term retrogradation of potato starches of various amylose content. Food Hydrocoll. 2020, 102, 105618. [Google Scholar] [CrossRef]
- Mary, S.K.; Koshy, R.R.; Arunima, R.; Thomas, S.; Pothen, L.A. A review of recent advances in starch-based materials: Bionanocomposites, pH sensitive films, aerogels and carbon dots. Carbohydr. Polym. Technol. Appl. 2022, 3, 100190. [Google Scholar] [CrossRef]
- Jingyi, Y.; Reddy, C.K.; Fan, Z.; Xu, B. Physicochemical and structural properties of starches from non-traditional sources in China. Food Sci. Hum. Wellness 2023, 12, 416–423. [Google Scholar] [CrossRef]
- Thieme, M.; Hochmuth, A.; Ilse, T.E.; Cuesta-Seijo, J.A.; Stoma, S.; Meier, R.; Nørrelykke, S.F.; Pedas, P.R.; Braumann, I.; Zeeman, S.C. Detecting variation in starch granule size and morphology by high-throughput microscopy and flow cytometry. Carbohydr. Polym. 2023, 299, 120169. [Google Scholar] [CrossRef] [PubMed]
- Singh, J.; Mccarthy, O.J.; Singh, H.; Moughan, P.J. Low temperature post-harvest storage of New Zealand Taewa (Maori potato): Effects on starch physico-chemical and functional characteristics. Food Chem. 2008, 106, 583–596. [Google Scholar] [CrossRef]
- Hoover, R.; Ratnayake, W.S. Starch characteristics of black bean, chick pea, lentil, navy bean and pinto bean cultivars grown in Canada. Food Chem. 2002, 78, 489–498. [Google Scholar] [CrossRef]
- Akhila, P.P.; Sunooj, K.V.; Aaliya, B.; Navaf, M.; Sudheesh, C.; Yadav, D.N.; Khan, M.A.; Mir, S.A.; George, J. Morphological, physicochemical, functional, pasting, thermal properties and digestibility of hausa potato (Plectranthus rotundifolius) flour and starch. Appl. Food Res. 2022, 2, 100193. [Google Scholar] [CrossRef]
- Juhász, R.; Salgó, A. Pasting behavior of amylose, amylopectin and their mixtures as determined by RVA curves and first derivatives. Starch/Staerke 2008, 60, 70–78. [Google Scholar] [CrossRef]
- Barrera, V.; Tapia, C.; Monteros, A. Raíces y Tubérculos Andinos: Alternativas Para la Conservación y Uso Sostenible en el Ecuador; INIAP: Riobamba, Ecuador, 2004. [Google Scholar]
- Falade, K.O.; Christopher, A.S. Physical, functional, pasting and thermal properties of flours and starches of six Nigerian rice cultivars. Food Hydrocoll. 2015, 44, 478–490. [Google Scholar] [CrossRef]
- Zárate-Polanco, L.M.; Ramírez-Suárez, L.M.; Otálora-Santamaría, N.A.; Prieto, L.; Garnica-Holguín, A.M.; Cerón-Lasso, M.S.; Argüelles, J.H. Extracción y caracterización de almidón nativo de clones promisorios de papa criolla (Solanum tuberosum, Grupo Phureja). Rev. Latinoam. Papa 2014, 18, 1–24. [Google Scholar] [CrossRef]
- Navaf, M.; Sunooj, K.V.; Aaliya, B.; Sudheesh, C.; George, J. Physico-chemical, functional, morphological, thermal properties and digestibility of Talipot palm (Corypha umbraculifera L.) flour and starch grown in Malabar region of South India. J. Food Meas. Charact. 2020, 14, 1601–1613. [Google Scholar] [CrossRef]
- Daudt, R.M.; Avena-Bustillos, R.J.; Williams, T.; Wood, D.F.; Külkamp-Guerreiro, I.C.; Marczak, L.D.F.; McHugh, T. Comparative study on properties of edible films based on pinhão (Araucaria angustifolia) starch and flour. Food Hydrocoll. 2016, 60, 279–287. [Google Scholar] [CrossRef]
- Kaur, P.; Kaur, K.; Basha, S.J.; Kennedy, J.F. Current trends in the preparation, characterization and applications of oat starch—A review. Int. J. Biol. Macromol. 2022, 212, 172–181. [Google Scholar] [CrossRef]
- Abegunde, O.K.; Mu, T.H.; Chen, J.W.; Deng, F.M. Physicochemical characterization of sweet potato starches popularly used in Chinese starch industry. Food Hydrocoll. 2013, 33, 169–177. [Google Scholar] [CrossRef]
- Sanchez-González, J.A.; Echeverria, C.; Lescano, L.; Linares, G.; Arteaga-Miñano, H.L.; Soriano-Colchado, J.; Barraza-Jáuregui, G. Physico-chemical, thermal and rheological characteristics of starch isolated from four commercial potatoes cultivars. Sci. Agropecu. 2019, 10, 63–71. [Google Scholar] [CrossRef]
- Medina, J.A.; Salas, J.C. Caracterización morfológica del granulo de almidón nativo: Apariencia, forma, tamaño y su distribución. Rev. Ing. 2007, 27, 56–62. [Google Scholar] [CrossRef]
- Singh, J.; McCarthy, O.J.; Singh, H.; Moughan, P.J.; Kaur, L. Morphological, thermal and rheological characterization of starch isolated from New Zealand Kamo Kamo (Cucurbita pepo) fruit—A novel source. Carbohydr. Polym. 2007, 67, 233–244. [Google Scholar] [CrossRef]
- Singh, N.; Inouchi, N.; Nishinari, K. Morphological, structural, thermal, and rheological characteristics of starches separated from apples of different cultivars. J. Agric. Food Chem. 2005, 53, 10193–10199. [Google Scholar] [CrossRef]
- Beninca, C.; Colman, T.A.D.; Lacerda, L.G.; Da Silva Carvalho Filho, M.A.; Demiate, I.M.; Bannach, G.; Schnitzler, E. Thermal, rheological, and structural behaviors of natural and modified cassava starch granules, with sodium hypochlorite solutions. J. Therm. Anal. Calorim. 2013, 111, 2217–2222. [Google Scholar] [CrossRef]
- Liao, L.; Zhang, F.-L.; Lin, W.-J.; Li, Z.-F.; Yang, J.-Y.; Park, K.H.; Ni, L.; Liu, P. Gluten-starch interactions in wheat gluten during carboxylic acid deamidation upon hydrothermal treatment. Food Chem. 2019, 283, 111–122. [Google Scholar] [CrossRef] [PubMed]
- Bao, J.; Bergman, C.J. The functionality of rice starch. In Starch in Food: Structure, Function and Applications; Woodhead Publishing Limited: London, UK, 2004; pp. 258–294. [Google Scholar] [CrossRef]
- Coventry, D.R.; Poswal, R.S.; Yadav, A.; Gupta, R.K.; Gill, S.C.; Chhokar, R.S.; Kumar, V.; Sharma, R.; Kumar, A.; Mehta, A.; et al. Effect of tillage and nutrient management on wheat productivity and quality in Haryana, India. Field Crops Res. 2011, 123, 234–240. [Google Scholar] [CrossRef]
- Guo, M.; Wang, G. Future development of whey protein production. In Whey Protein Production, Chemistry, Functionality, and Applications; Wiley: Hoboken, NJ, USA, 2019; pp. 251–260. [Google Scholar] [CrossRef]
- Mbougueng, P.D.; Tenin, D.; Scher, J.; Tchiégang, C. Influence of acetylation on physicochemical, functional and thermal properties of potato and cassava starches. J. Food Eng. 2012, 108, 320–326. [Google Scholar] [CrossRef]
- Garcia, E.L. Composição dos Tubérculos, Extração e Caracterização de Amidos de Diferentes Cultivares de Batata. Master’s Thesis, Faculdade de Ciências Agronômicas, Universidade Estadual Paulista, Botucatu, Brazil, 2013; 82p. [Google Scholar]
- Adamovicz, J.; Alberton, C.; Oliveira, C. Análise térmica, estrutural e reológica do amido de batata com adição de hidrocolóides. In Proceedings of the IX Congresso Brasileiro de Análise Térmica e Calorimetria, 2014, Serra Negra, Brazil, 9–12 November 2014; Anais Eletrônicos. Abratec: Serra Negra, Brazil, 2014. [Google Scholar]
- Liu, Q.; Tarn, R.; Lynch, D.; Skjodt, N.M. Physicochemical properties of dry matter and starch from potatoes grown in Canada. Food Chem. 2007, 105, 897–907. [Google Scholar] [CrossRef]
- Tester, R.F.; Morrison, W.R. Swelling and Gelatinization of Cereal Starches. I. Effects of Amylopectin, Amylose- and Lipids. Cereal Chem. 1990, 67, 551–557. Available online: https://www.cerealsgrains.org/publications/cc/backissues/1990/Documents/67_551.pdf (accessed on 1 May 2022).






| Native Potato Variety | Mass of Potato (kg) | Mass of Starch (kg) | Shrinkage (kg) | Performance (%) |
|---|---|---|---|---|
| Sweet | ||||
| (S-IN) | 10.67 ± 0.17 | 1.60 ± 0.09 | 9.07 ± 0.10 | 14.99 ± 0.64 |
| (S-IB) | 10.64 ± 0.03 | 1.08 ± 0.01 | 9.56 ± 0.04 | 10.15 ± 0.12 |
| (S-PE) | 10.25 ± 0.38 | 0.97 ± 0.01 | 9.26 ± 0.37 | 9.63 ± 0.31 |
| (S-AL) | 10.64 ± 0.32 | 1.09 ± 0.32 | 9.56 ± 0.32 | 10.22 ± 0.32 |
| (S-SU) | 10.54 ± 0.31 | 1.03 ± 0.02 | 9.51 ± 0.30 | 9.77 ± 0.13 |
| Bitter | ||||
| (B-LO) | 10.79 ± 0.12 | 0.70 ± 0.01 | 10.09 ± 0.12 | 6.52 ± 0.09 |
| (B-PI) | 11.09 ± 0.20 | 0.81 ± 0.01 | 10.28 ± 0.20 | 7.28 ± 0.16 |
| (B-OC) | 11.30 ± 0.35 | 0.88 ± 0.01 | 10.42 ± 0.34 | 7.79 ± 0.17 |
| (B-RU) | 10.74 ± 0.13 | 0.82 ± 0.03 | 9.92 ± 0.11 | 7.63 ± 0.16 |
| Native Potato Varieties | Moisture | Carbohydrates | Protein | Fat | Ash |
|---|---|---|---|---|---|
| Sweet | |||||
| (S-IN) | 9.36 ± 0.08 | 99.11 ± 0.03 | 0.56 ± 0.02 | 0.01 ± 0.01 | 0.317 ± 0.03 |
| (S-IB) | 9.68 ± 0.52 | 99.15 ± 0.02 | 0.58 ± 0.03 | 0.013 ± 0.01 | 0.25 ± 0.01 |
| (S-PE) | 9.56 ± 0.12 | 99.22 ± 0.05 | 0.526 ± 0.04 | 0.01 ± 0.01 | 0.247 ± 0.02 |
| (S-AL) | 9.64 ± 0.23 | 99.22 ± 0.03 | 0.53 ± 0.03 | 0.00 ± 0.01 | 0.24 ± 0.01 |
| (S-SU) | 9.93 ± 0.15 | 99.21 ± 0.02 | 0.537 ± 0.02 | 0.01 ± 0.01 | 0.24 ± 0.01 |
| Bitter | |||||
| (B-LO) | 10.31 ± 0.08 | 98.99 ± 0.07 | 0.73 ± 0.06 | 0.04 ± 0.01 | 0.23 ± 0.02 |
| (B-PI) | 10.23 ± 0.01 | 99.01 ± 0.02 | 0.67 ± 0.01 | 0.06 ± 0.02 | 0.26 ± 0.01 |
| (B-OC) | 9.29 ± 0.31 | 99 ± 0.03 | 0.776 ± 0.03 | 0.00 ± 0.01 | 0.22 ± 0.01 |
| (B-RU) | 10.15 ± 0.12 | 99.10 ± 0.02 | 0.66 ± 0.01 | 0.00 ± 0.01 | 0.23 ± 0.01 |
| Potato Variety | Amylose | Amylopectin |
|---|---|---|
| Sweet | ||
| (S-IN) | 30.33 ± 0.15 | 69.67 ± 0.15 |
| (S-IB) | 28.20 ± 0.10 | 71.80 ± 0.10 |
| (S-PE) | 28.40 ± 0.10 | 71.60 ± 0.10 |
| (S-AL) | 27.77 ± 0.15 | 72.23 ± 0.15 |
| (S-SU) | 28.73 ± 0.15 | 71.26 ± 0.15 |
| Bitter | ||
| (B-LO) | 24.50 ± 0.30 | 75.50 ± 0.30 |
| (B-PI) | 23.70 ± 0.10 | 76.30 ± 0.10 |
| (B-OC) | 23.60 ± 0.10 | 76.40 ± 0.10 |
| (B-RU) | 23.60 ± 0.10 | 76.40 ± 0.10 |
| Variety | Ti (°C) | Tp (°C) | Tc (°C) | ∆T (°C) | ∆h (J/g) |
|---|---|---|---|---|---|
| Sweet | |||||
| (S-IN) | 61.77 ± 0.14 A | 64.66 ± 0.23 AB | 73.02 ± 0.5 AB | 11.25 ± 0.77 ABC | 4.91 ± 0.96 A |
| (S-IB) | 57.96 ± 0.16 CD | 61.3 ± 0.26 D | 71.61 ± 1.09 BC | 13.65 ± 1.58 AB | 3.97 ± 0.63 A |
| (S-PE) | 62.07 ± 0.18 A | 65.73 ± 0.33 A | 76.2 ± 0.73 A | 14.14 ± 0.79 A | 4.91 ± 1.11 A |
| (S-AL) | 60.78 ± 0.10 B | 63.79 ± 0.27 BC | 71.97 ± 0.25 BC | 11.19 ± 0.45 ABC | 4.05 ± 1.44 A |
| (S-SU) | 61.96 ± 0.15 A | 64.56 ± 0.33 B | 71.38 ± 0.83 BC | 9.42 ± 1.24 C | 5.08 ± 0.72 A |
| Bitter | |||||
| (B-LO) | 60.06 ± 0.17 B | 63.36 ± 0.19 C | 72.47 ± 0.17 BC | 12.42 ± 0.01 ABC | 4.43 ± 0.45 A |
| (B-PI) | 60.37 ± 0.24 B | 63.87 ± 0.20 BC | 69.82 ± 0.53 CD | 9.46 ± 0.47 C | 4.34 ± 10 A |
| (B-OC) | 58.59 ± 0.15 C | 61.3 ± 0.10 D | 69.42 ± 0.98 CD | 10.82 ± 1.19 BC | 3.95 ± 0.15 A |
| (B-RU) | 57.4 ± 0.16 D | 60.33 ± 0.16 D | 68.04 ± 0.44 D | 10.65 ± 0.49 C | 4.32 ± 0.69 A |
| Varieties | Symbol (Unit) | SG | PV | PT | RF | BV | FV |
|---|---|---|---|---|---|---|---|
| Sweet | |||||||
| S-IN | T (°C) | 67.3 ± 0.1 B | - | 95.3 ± 0.2 B | - | - | - |
| μ (mPa·s) | 9.3 ± 0.4 B | 4078.3 ± 75.1 E | 4066.3 ± 109.1 C | 2034 ± 111.1 B | 2144.3 ± 130.2 E | 4851 ± 128.7 BC | |
| t (min) | 2.7 ± 0 A | 4.5 ± 0.1 B | 5 ± 0 C | 10.1 ± 0 B | - | - | |
| S-IB | T (°C) | 64.9 ± 0.1 E | - | 95.4 ± 0.2 B | - | - | - |
| μ (mPa·s) | 9.6 ± 0.3 B | 6158 ± 59.4 A | 5604.7 ± 46.7 A | 1818.3 ± 48.8 D | 4339.3 ± 60.2 A | 4070.3 ± 87.1 E | |
| t (min) | 2.4 ± 0 DE | 3.7 ± 0.2 CD | 5 ± 0 C | 10.1 ± 0 B | - | - | |
| S-PE | T (°C) | 65.4 ± 0.1 D | 95.5 ± 0.2 B | - | - | - | |
| μ (mPa·s) | 9.6 ± 0.5 B | 5323.3 ± 65.1 C | 4982.7 ± 96.9 B | 1943.7 ± 58.3 CD | 3380 ± 7.9 D | 4456 ± 66.1 D | |
| t (min) | 2.4 ± 0 D | 4.1 ± 0.3 C | 5 ± 0 C | 10.1 ± 0 B | |||
| S-AL | T (°C) | 68.1 ± 0 A | - | 95.4 ± 0.1 B | - | - | - |
| μ (mPa·s) | 68.1 ± 0 A | 677.9 ± 17.3 F | 505.8 ± 7.1 D | 181.3 ± 1.6 G | 496.6 ± 17.5 F | 305.2 ± 3.2 H | |
| t (min) | 2.6 ± 0 A | 3.5 ± 0 DEF | 5 ± 0 C | 10.8 ± 0.1 A | - | - | |
| S-SU | T (°C) | 67.3 ± 0.1 B | - | 95.4 ± 0 B | - | - | - |
| μ (mPa·s) | 9.4 ± 0.3 B | 5865.3 ± 166 AB | 5364.3 ± 134.4 A | 2006 ± 9.8 BCD | 3859.7 ± 157.3 BC | 4640 ± 145.4 CD | |
| t (min) | 2.6 ± 0 B | 3.7 ± 0 DE | 5 ± 0 C | 10.1 ± 0 B | - | - | |
| Bitter | |||||||
| B-LO | T (°C) | 66.8 ± 0.1 C | - | 96.1 ± 0.1 A | - | - | - |
| μ (mPa·s) | 9.8 ± 0.4 B | 4721.3 ± 26.3 D | 4721.3 ± 26.3 B | 2610.3 ± 69.2 A | 2111 ± 42.5 E | 6007.7 ± 60.4 E | |
| t (min) | 2.5 ± 0 C | 5.8 ± 0.1 A | 5.8 ± 0.1 A | 10.1 ± 0 B | - | - | |
| B-PI | T (°C) | 67 ± 0.1 C | - | 96 ± 0 A | - | - | - |
| μ (mPa·s) | 10.2 ± 0.3 B | 5735.7 ± 272.4 B | 5527.7 ± 207.3 A | 2201 ± 48.8 B | 3534.3 ± 225 CD | 4975.3 ± 19.7 B | |
| t (min) | 2.6 ± 0 BC | 3.9 ± 0.2 CD | 5.4 ± 0 B | 10.1 ± 0 B | - | - | |
| B-OC | T (°C) | 64.7 ± 0.2 E | 95.4 ± 0.1 B | - | - | - | |
| μ (mPa·s) | 9.2 ± 0.2 B | 5647.3 ± 67 BC | 4698.3 ± 71.6 B | 1233.3 ± 22.9 F | 4414 ± 68.8 A | 2808.3 ± 17.4 G | |
| t (min) | 2.4 ± 0 E | 3.2 ± 0.1 F | 5 ± 0 C | 10.1 ± 0 B | - | ||
| B-RU | T (°C) | 63.7 ± 0.2 F | - | 95.3 ± 0.1 B | - | - | - |
| μ (mPa·s) | 9.4 ± 0.8 B | 5488.3 ± 226.6 BC | 4340.3 ± 105.5 C | 1504 ± 144.1 E | 3984.7 ± 139.1 B | 3264.3 ± 83.7 F | |
| t (min) | 2.3 ± 0 F | 3.3 ± 0 EF | 5 ± 0 C | 10.1 ± 0 B | - | - | |
Disclaimer/Publisher’s Note: The statements, opinions and data contained in all publications are solely those of the individual author(s) and contributor(s) and not of MDPI and/or the editor(s). MDPI and/or the editor(s) disclaim responsibility for any injury to people or property resulting from any ideas, methods, instructions or products referred to in the content. |
© 2023 by the authors. Licensee MDPI, Basel, Switzerland. This article is an open access article distributed under the terms and conditions of the Creative Commons Attribution (CC BY) license (https://creativecommons.org/licenses/by/4.0/).
Share and Cite
Luque-Vilca, O.M.; Pampa-Quispe, N.B.; Pumacahua-Ramos, A.; Pilco-Quesada, S.; Cabel Moscoso, D.J.; Choque-Rivera, T.J. Structural, Thermal, Rheological, and Morphological Characterization of the Starches of Sweet and Bitter Native Potatoes Grown in the Andean Region. Polymers 2023, 15, 4417. https://doi.org/10.3390/polym15224417
Luque-Vilca OM, Pampa-Quispe NB, Pumacahua-Ramos A, Pilco-Quesada S, Cabel Moscoso DJ, Choque-Rivera TJ. Structural, Thermal, Rheological, and Morphological Characterization of the Starches of Sweet and Bitter Native Potatoes Grown in the Andean Region. Polymers. 2023; 15(22):4417. https://doi.org/10.3390/polym15224417
Chicago/Turabian StyleLuque-Vilca, Olivia Magaly, Noe Benjamin Pampa-Quispe, Augusto Pumacahua-Ramos, Silvia Pilco-Quesada, Domingo Jesús Cabel Moscoso, and Tania Jakeline Choque-Rivera. 2023. "Structural, Thermal, Rheological, and Morphological Characterization of the Starches of Sweet and Bitter Native Potatoes Grown in the Andean Region" Polymers 15, no. 22: 4417. https://doi.org/10.3390/polym15224417
APA StyleLuque-Vilca, O. M., Pampa-Quispe, N. B., Pumacahua-Ramos, A., Pilco-Quesada, S., Cabel Moscoso, D. J., & Choque-Rivera, T. J. (2023). Structural, Thermal, Rheological, and Morphological Characterization of the Starches of Sweet and Bitter Native Potatoes Grown in the Andean Region. Polymers, 15(22), 4417. https://doi.org/10.3390/polym15224417

