Tailoring Thermal and Electrical Properties of Jeffamine Segmented Polyetherimide Composite Films Containing BaTiO3 particles
Abstract
1. Introduction
2. Materials and Methods
2.1. Materials
2.2. Synthesis of PEIs (1–3)
2.3. Preparation of the Composites PEI-3 (10–30%)
2.4. Measurements
3. Results and Discussion
3.1. Structural and Morphological Characterization of PEIs (1–3) and PEI-3 (10–30%)
3.2. Thermal Properties
3.2.1. Influence of the Test Atmosphere on Thermal Stability of PEIs (1–3) and PEI-3-20% BaTiO3 Composite
3.2.2. Influence of the Test Atmosphere on the Degradation Mechanism of the PEIs (1–3) and PEI-3-20%
3.3. Wettability and Determination of Surface Energy Parameters
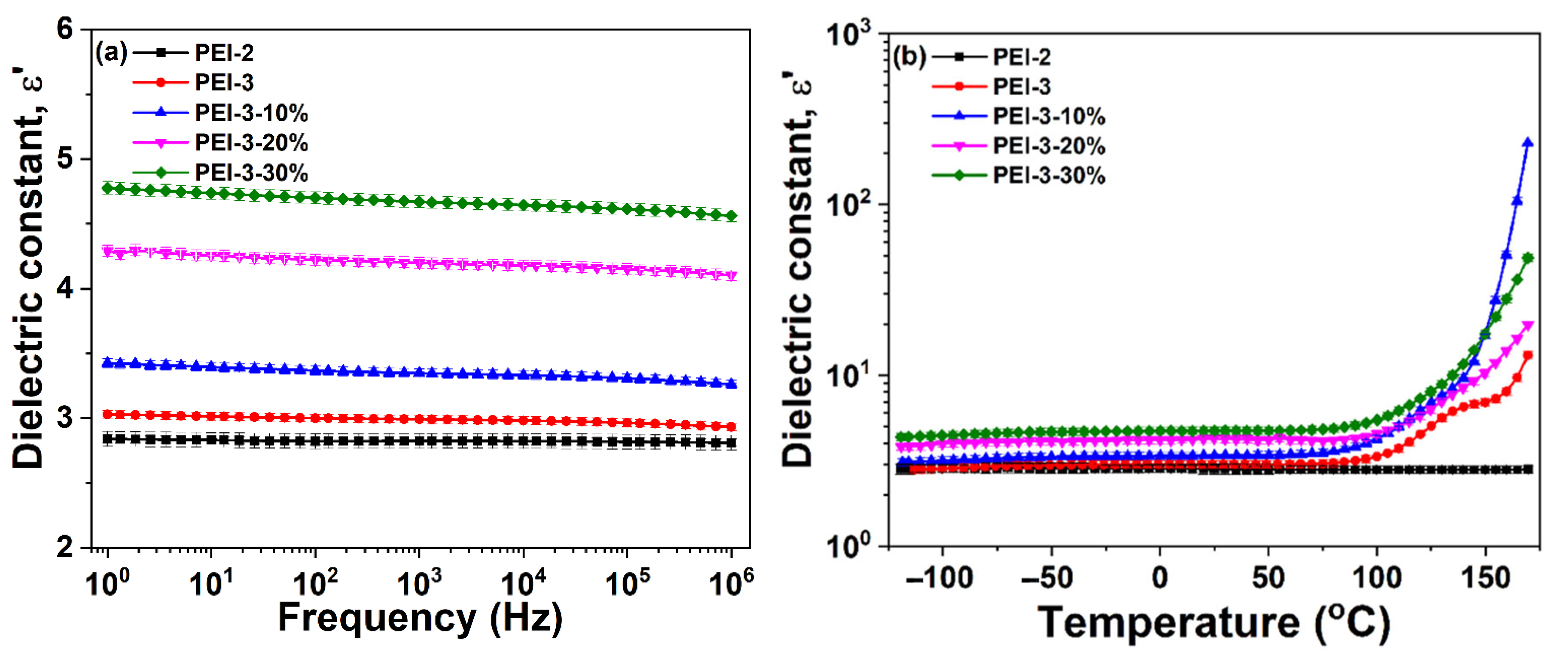
3.4. Dielectric Spectroscopy Measurements
4. Conclusions
Supplementary Materials
Author Contributions
Funding
Institutional Review Board Statement
Informed Consent Statement
Data Availability Statement
Conflicts of Interest
References
- Wu, Z.; He, J.; Yang, H.; Yang, S. Progress in Aromatic Polyimide Films for Electronic Applications: Preparation, Structure and Properties. Polymers 2022, 14, 1269. [Google Scholar] [CrossRef] [PubMed]
- Ghosh, M.K.; Mittal, K.L. Polyimides: Fundamentals and Applications, 1st ed.; Marcel Dekker: New York, NY, USA, 1996; pp. 759–814. [Google Scholar]
- Richardson, R.R.; Miller, J.A.; Reichert, W.M. Polyimides as biomaterials: Preliminary biocompatibility testing. Biomaterials 1993, 14, 627–635. [Google Scholar] [CrossRef]
- Sroog, C.E. Polyimides. Prog. Polym. Sci. 1991, 16, 561–694. [Google Scholar] [CrossRef]
- Liaw, D.-J.; Wang, K.-L.; Huang, Y.-C.; Lee, K.-R.; Lai, J.-Y.; Ha, C.-S. Advanced polyimide materials: Syntheses, physical properties and applications. Prog. Polym. Sci. 2012, 37, 907–974. [Google Scholar] [CrossRef]
- De Abajo, J.; de la Campa, J.G. Processable Aromatic Polyimides. In Progress in Polyimide Chemistry I; Kricheldorf, H.R., Ed.; Springer: Berlin/Heidelberg, Germany, 1999; pp. 23–59. [Google Scholar]
- Lisa, G.; Hamciuc, C.; Hamciuc, E.; Tudorachi, N. Thermal and thermo-oxidative stability and probable degradation mechanism of some polyetherimides. J. Anal. Appl. Pyrolysis 2016, 118, 144–154. [Google Scholar] [CrossRef]
- Butnaru, I.; Chiriac, A.-P.; Tugui, C.; Asandulesa, M.; Damaceanu, M.-D. The synergistic effect of nitrile and jeffamine structural elements towards stretchable and high-k neat polyimide materials. Mater. Chem. Front. 2021, 5, 7558–7579. [Google Scholar] [CrossRef]
- Jankowski, A.; Grabiec, E.; Nocoń-Szmajda, K.; Marcinkowski, A.; Janeczek, H.; Wolińska-Grabczyk, A. Polyimide-Based Membrane Materials for CO(2) Separation: A Comparison of Segmented and Aromatic (Co)polyimides. Membranes 2021, 11, 274. [Google Scholar] [CrossRef]
- Luo, S.; Stevens, K.A.; Park, J.S.; Moon, J.D.; Liu, Q.; Freeman, B.D.; Guo, R. Highly CO2-Selective Gas Separation Membranes Based on Segmented Copolymers of Poly(Ethylene oxide) Reinforced with Pentiptycene-Containing Polyimide Hard Segments. ACS Appl. Mater. Interfaces 2016, 8, 2306–2317. [Google Scholar] [CrossRef]
- Eastmond, G.C.; Gibas, M.; Pacynko, W.F.; Paprotny, J. Grafted and segmented hydrophilic polyimides for microfiltration membranes: Part I. Synthesis and characterisation. J. Membr. Sci. 2002, 207, 29–41. [Google Scholar] [CrossRef]
- Hernández, G.; Casado, N.; Coste, R.; Shanmukaraj, D.; Rubatat, L.; Armand, M.; Mecerreyes, D. Redox-active polyimide–polyether block copolymers as electrode materials for lithium batteries. RSC Adv. 2015, 5, 17096–17103. [Google Scholar] [CrossRef]
- Lo, T.-Y.; Wang, Y.-J.; Liu, D.-M.; Whang, W.-T. Surface characteristics and biofunctionality of a novel high-performance, hydrophilic Jeffamine-added fluoro-containing polyimide for biomedical applications. J. Polym. Res. 2015, 22, 4. [Google Scholar] [CrossRef]
- Hamciuc, C.; Vlad-Bubulac, T.; Bercea, M.; Suflet, D.M.; Doroftei, F.; Rîmbu, C.M.; Enache, A.A.; Kalvachev, Y.; Todorova, T.; Butnaru, M.; et al. Electrospun Copoly(ether imide) Nanofibers Doped with Silver-Loaded Zeolite as Materials for Biomedical Applications. ACS Appl. Polym. Mater. 2022, 4, 6080–6091. [Google Scholar] [CrossRef]
- Kitahara, Y.; Takahashi, S.; Fujii, T. Thermal analysis of polyethylene glycol: Evolved gas analysis with ion attachment mass spectrometry. Chemosphere 2012, 88, 663–669. [Google Scholar] [CrossRef] [PubMed]
- Voorhees, K.J.; Baugh, S.F.; Stevenson, D.N. An investigation of the thermal degradation of poly(ethylene glycol). J. Anal. Appl. Pyrolysis 1994, 30, 47–57. [Google Scholar] [CrossRef]
- Lattimer, R.P. Mass spectral analysis of low-temperature pyrolysis products from poly(ethylene glycol). J. Anal. Appl. Pyrolysis 2000, 56, 61–78. [Google Scholar] [CrossRef]
- Lisa, G.; Hamciuc, C.; Hamciuc, E.; Tudorachi, N. Thermal degradation study of some poly(arylene ether nitrile)s by TG/MS/FTIR analysis. Polym. Test. 2019, 75, 220–228. [Google Scholar] [CrossRef]
- Lisa, G.; Ipate, A.-M.; Hamciuc, C.; Tudorachi, N. Thermal and thermo-oxidative degradation of some heterocyclic aromatic polyethers containing phenylquinoxaline and/or 1,3,4-oxadiazole rings. J. Anal. Appl. Pyrolysis 2015, 112, 37–47. [Google Scholar] [CrossRef]
- Hamciuc, C.; Lisa, G.; Hamciuc, E.; Tudorachi, N. Thermal decomposition study of some polyimide-polydimethylsiloxane copolymers. J. Anal. Appl. Pyrolysis 2018, 129, 204–214. [Google Scholar] [CrossRef]
- Lin, C.-Y.; Kuo, D.-H.; Sie, F.-R.; Cheng, J.-Y.; Liou, G.-S. Preparation and characterization of organosoluble polyimide/BaTiO3 composite films with mechanical- and chemical-treated ceramic fillers. Polym. J. 2012, 44, 1131–1137. [Google Scholar] [CrossRef]
- Yue, S.; Wan, B.; Liu, Y.; Zhang, Q. Significantly enhanced dielectric constant and energy storage properties in polyimide/reduced BaTiO3 composite films with excellent thermal stability. RSC Adv. 2019, 9, 7706–7717. [Google Scholar] [CrossRef]
- Zaghloul, M.M.Y.; Zaghloul, M.Y.M.; Zaghloul, M.M.Y. Experimental and modeling analysis of mechanical-electrical behaviors of polypropylene composites filled with graphite and MWCNT fillers. Polym. Test. 2017, 63, 467–474. [Google Scholar] [CrossRef]
- Hamciuc, C.; Asandulesa, M.; Hamciuc, E.; Roman, T.; Olariu, M.A.; Pui, A. Novel Polyimide/Copper-Nickel Ferrite Composites with Tunable Magnetic and Dielectric Properties. Polymers 2021, 13, 1646. [Google Scholar] [CrossRef] [PubMed]
- Hamciuc, C.; Vlad-Bubulac, T.; Serbezeanu, D.; Macsim, A.-M.; Lisa, G.; Anghel, I.; Şofran, I.-E. Effects of Phosphorus and Boron Compounds on Thermal Stability and Flame Retardancy Properties of Epoxy Composites. Polymers 2022, 14, 4005. [Google Scholar] [CrossRef] [PubMed]
- Dang, Z.-M.; Lin, Y.-Q.; Xu, H.-P.; Shi, C.-Y.; Li, S.-T.; Bai, J. Fabrication and Dielectric Characterization of Advanced BaTiO3/Polyimide Nanocomposite Films with High Thermal Stability. Adv. Funct. Mater. 2008, 18, 1509–1517. [Google Scholar] [CrossRef]
- Xie, S.-H.; Zhu, B.-K.; Wei, X.-Z.; Xu, Z.-K.; Xu, Y.-Y. Polyimide/BaTiO3 composites with controllable dielectric properties. Compos. Part A Appl. Sci. Manuf. 2005, 36, 1152–1157. [Google Scholar] [CrossRef]
- Fischer, P.J.A.R. Surface Chemistry of Solid and Liquid Interfaces. Appl. Rheol. 2007, 17, 129. [Google Scholar] [CrossRef]
- Sanches, N.B.; Cassu, S.N.; Dutra, R.d.C.L. TG/FT-IR characterization of additives typically employed in EPDM formulations. Polímeros 2015, 25, 247–255. [Google Scholar] [CrossRef]
- Huang, L.; Shi, Y.; Jin, X.; Wu, Z.; Li, F.; Cheng, Z.D.S. Thermal degradation of organo-soluble polyimides. Sci. China Ser. B Chem. 1999, 42, 316–325. [Google Scholar] [CrossRef]
- Lu, X.; Wang, X.; Li, Q.; Huang, X.; Han, S.; Wang, G. A ReaxFF-based molecular dynamics study of the pyrolysis mechanism of polyimide. Polym. Degrad. Stab. 2015, 114, 72–80. [Google Scholar] [CrossRef]
- Yang, J.; Chen, H.; Zhao, W.; Zhou, J. TG–FTIR-MS study of pyrolysis products evolving from peat. J. Anal. Appl. Pyrolysis 2016, 117, 296–309. [Google Scholar] [CrossRef]
- Alshehri, S.M.; Ahamad, T. Thermal degradation and evolved gas analysis of N,N′-bis(2 hydroxyethyl) linseed amide (BHLA) during pyrolysis and combustion. J. Therm. Anal. Calorim. 2013, 114, 1029–1037. [Google Scholar] [CrossRef]
- Hamciuc, C.; Lisa, G.; Hamciuc, E.; Epure, E.-L.; Tudorachi, N. Thermal behavior study and degradation mechanism by TG/MS/FTIR technique of some poly(aryl ether ether ketone)s. J. Anal. Appl. Pyrolysis 2020, 150, 104877. [Google Scholar] [CrossRef]
- Song, L.X.; Guo, X.Q.; Du, F.Y.; Bai, L. Thermal degradation comparison of polypropylene glycol and its complex with β-cyclodextrin. Polym. Degrad. Stab. 2010, 95, 508–515. [Google Scholar] [CrossRef]
- Voorhees, K.J.; Baugh, S.F.; Stevenson, D.N. The thermal degradation of poly(ethylene glycol)/poly(vinyl alcohol) binder in alumina ceramics. Thermochim. Acta 1996, 274, 187–207. [Google Scholar] [CrossRef]
- Hiltz, J.A. Analytical pyrolysis gas chromatography/mass spectrometry (py-GC/MS) of poly(ether urethane)s, poly(ether urea)s and poly(ether urethane-urea)s. J. Anal. Appl. Pyrolysis 2015, 113, 248–258. [Google Scholar] [CrossRef]
- Lai, W.-C.; Liau, W.-B. Thermo-oxidative degradation of poly(ethylene glycol)/poly(l-lactic acid) blends. Polymer 2003, 44, 8103–8109. [Google Scholar] [CrossRef]
- Hamciuc, C.; Hamciuc, E.; Vlad-Bubulac, T.; Vlad, S.; Asandulesa, M.; Wolinska-Grabczyk, A. Silica-containing polyetherimide hybrid films based on methyltriethoxysilane as precursor of inorganic network. Polym. Test. 2016, 52, 94–103. [Google Scholar] [CrossRef]
- Larsson, O.; Said, E.; Berggren, M.; Crispin, X. Insulator Polarization Mechanisms in Polyelectrolyte-Gated Organic Field-Effect Transistors. Adv. Funct. Mater. 2009, 19, 3334–3341. [Google Scholar] [CrossRef]
- Asandulesa, M.; Kostromin, S.; Podshivalov, A.; Tameev, A.; Bronnikov, S. Relaxation processes in a polymer composite for bulk heterojunction: A dielectric spectroscopy study. Polymer 2020, 203, 122785. [Google Scholar] [CrossRef]















| Sample | Tonset (Nitrogen) 1 (°C) | Tonset (Air) 1 (°C) | Char yield in Nitrogen at 650 °C (%) | Char Yield in Air at 650 °C (%) | Tg2 (°C) |
|---|---|---|---|---|---|
| PEI-1 | 394 | 389 | 16.90 | 12.22 | nd |
| PEI-2 | 460 | 418 | 53.78 | 51.85 | 158 |
| PEI-3 | 403 | 371 | 39.38 | 26.49 | 100 |
| PEI-3-20% | 395 | 367 | 49.16 | 24.22 | 96 |
| Sample | Contact Angle (o) | Wa (mN/m) | γSV (mN/m) | γpSV (mN/m) | γdSV (mN/m) | γSL (mN/m) | ||
|---|---|---|---|---|---|---|---|---|
| W | EG | W | EG | |||||
| PEI-2 | 61.78 | 43.35 | 107.22 | 82.90 | 39.48 | 27.62 | 11.85 | 5.05 |
| PEI-3 | 49.89 | 51.80 | 119.69 | 77.68 | 61.42 | 60.59 | 0.83 | 14.52 |
| PEI-3-10% | 62.91 | 34.18 | 105.94 | 87.70 | 40.42 | 19.77 | 20.65 | 7.27 |
| PEI-3-20% | 55.99 | 33.01 | 113.51 | 88.25 | 44.26 | 30.27 | 13.98 | 3.54 |
| PEI-3-30% | 13.37 | 25.24 | 143.62 | 91.41 | 92.17 | 91.62 | 0.54 | 21.34 |
Publisher’s Note: MDPI stays neutral with regard to jurisdictional claims in published maps and institutional affiliations. |
© 2022 by the authors. Licensee MDPI, Basel, Switzerland. This article is an open access article distributed under the terms and conditions of the Creative Commons Attribution (CC BY) license (https://creativecommons.org/licenses/by/4.0/).
Share and Cite
Hamciuc, C.; Lisa, G.; Serbezeanu, D.; Grădinaru, L.M.; Asăndulesa, M.; Tudorachi, N.; Vlad-Bubulac, T. Tailoring Thermal and Electrical Properties of Jeffamine Segmented Polyetherimide Composite Films Containing BaTiO3 particles. Polymers 2022, 14, 4715. https://doi.org/10.3390/polym14214715
Hamciuc C, Lisa G, Serbezeanu D, Grădinaru LM, Asăndulesa M, Tudorachi N, Vlad-Bubulac T. Tailoring Thermal and Electrical Properties of Jeffamine Segmented Polyetherimide Composite Films Containing BaTiO3 particles. Polymers. 2022; 14(21):4715. https://doi.org/10.3390/polym14214715
Chicago/Turabian StyleHamciuc, Corneliu, Gabriela Lisa, Diana Serbezeanu, Luiza Mădălina Grădinaru, Mihai Asăndulesa, Niță Tudorachi, and Tăchiță Vlad-Bubulac. 2022. "Tailoring Thermal and Electrical Properties of Jeffamine Segmented Polyetherimide Composite Films Containing BaTiO3 particles" Polymers 14, no. 21: 4715. https://doi.org/10.3390/polym14214715
APA StyleHamciuc, C., Lisa, G., Serbezeanu, D., Grădinaru, L. M., Asăndulesa, M., Tudorachi, N., & Vlad-Bubulac, T. (2022). Tailoring Thermal and Electrical Properties of Jeffamine Segmented Polyetherimide Composite Films Containing BaTiO3 particles. Polymers, 14(21), 4715. https://doi.org/10.3390/polym14214715

