Blending Modification of Alicyclic Resin and Bisphenol A Epoxy Resin to Enhance Salt Aging Resistance for Composite Core Rods
Abstract
1. Introduction
2. Materials and Methods
2.1. Materials
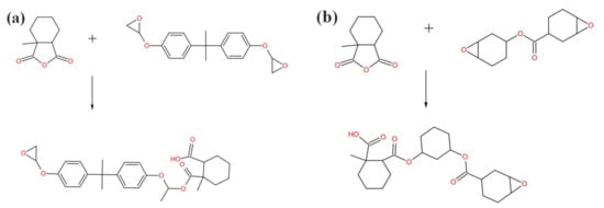
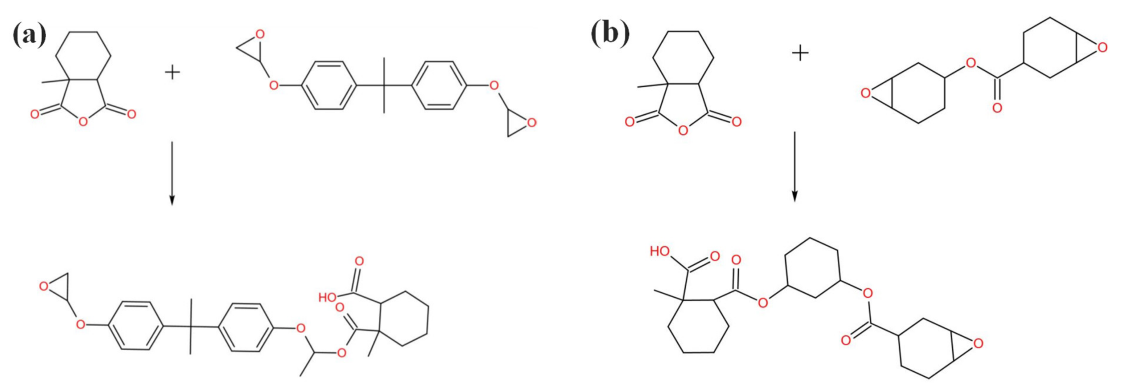
2.2. The Preparation of Samples
2.3. Media Aging
2.4. Performance Test Method
2.4.1. Dielectric Loss
2.4.2. Leakage Current Test
2.4.3. Power Frequency Breakdown
2.4.4. FTIR Analysis
2.4.5. Dynamic Mechanical Analysis
2.4.6. Thermogravimetric Analysis
3. Results and Discussion
3.1. Analysis of the Influence of Salt Aging on Electrical Properties
3.1.1. Dielectric Loss
3.1.2. Leakage Current
3.1.3. Breakdown Field Strength
3.2. FTIR Analysis
3.3. Dynamic Mechanical Analysis (DMA)
3.4. Thermogravimetric Analysis
4. Conclusions
Author Contributions
Funding
Institutional Review Board Statement
Informed Consent Statement
Data Availability Statement
Conflicts of Interest
References
- Liang, X.D.; Gao, Y.F. Study on decay-like fracture of composite insulator: Part I—The principal character, definition and criterion of decay-like fracture. Proc. CSEE 2016, 36, 4778–4786. [Google Scholar] [CrossRef]
- Gao, Y.F.; Liang, X.D. Study on decay-like fracture of composite insulator, part II: Experimental simulation and preventive method discussion of decay-like fracture. Proc. CSEE 2016, 36, 5070–5077. [Google Scholar] [CrossRef]
- Kumar, S.; Krishnan, S.; Samal, S.K.; Mohanty, S.; Nayak, S.K. Toughening of Petroleum Based (DGEBA) Epoxy Resins with Various Renewable Resources Based Flexible Chains for High Performance Applications: A Review. Ind. Eng. Chem. Res. 2018, 57, 2711–2726. [Google Scholar] [CrossRef]
- Wang, Y.Q.; Zeng, Z.; Gao, M.; Huang, Z.Y. Hygrothermal aging characteristics of silicone-modified aging-resistant epoxy resin insulating material. Polymers 2021, 13, 2145. [Google Scholar] [CrossRef] [PubMed]
- Li, W.; Tian, H.; Hou, B. Corrosion performance of epoxy coatings modified by nanoparticulate SiO2. Mater. Corros. 2012, 63, 44–53. [Google Scholar] [CrossRef]
- Mehrabian, N.; Dariani, A.A.S. Anticorrosive performance of epoxy/modified clay nanocomposites. Polym. Compos. 2017, 39, E2134–E2142. [Google Scholar] [CrossRef]
- Bifulco, A.; Parida, D.; Salmeia, K.A.; Nazir, R.; Lehner, S.; Stämpfli, R.; Markus, H.; Malucelli, G.; Branda, F.; Gaan, S. Fire and mechanical properties of DGEBA-based epoxy resin cured with a cycloaliphatic hardener: Combined action of silica, melamine and DOPO-derivative. Mater. Des. 2020, 193, 108862. [Google Scholar] [CrossRef]
- Awad, S.A.; Mahini, S.S.; Tucker, S.J.; Fellows, C.M. Evaluation of the performance of microcrystalline cellulose in retarding degradation of two epoxy resin systems. Int. J. Polym. Anal. Charact. 2019, 24, 150–168. [Google Scholar] [CrossRef]
- Awad, S.A.; Mahini, S.S.; Fellows, C.M. Modification of the resistance of two epoxy resins to accelerated weathering using calcium sulfate as a photostabilizer. J. Macromol. Sci. Part A Pure Appl. Chem. 2019, 56, 316–326. [Google Scholar] [CrossRef]
- Jiao, Z.; Wang, C.; Yang, Q.; Wang, X. Preparation and characterization of UV-curable urethane acrylate oligomers modified with cycloaliphatic epoxide resin. J. Coat. Technol. Res. 2018, 15, 251–258. [Google Scholar] [CrossRef]
- He, S.B.; Chen, Y.; Cui, B.Y.; Xia, Y.; Liu, Y.; Lei, Q.Q. Study on blend modification of bisphenol A/alicyclic epoxy resin. Insul. Mater. 2016, 49, 11–15. [Google Scholar] [CrossRef]
- Moghtadernejad, S.; Barjasteh, E.; Johnson, Z.; Stolpe, T.; Banuelos, J. Effect of thermo-oxidative aging on surface characteristics of benzoxazine and epoxy copolymer. J. Appl. Polym. Sci. 2021, 138, 50211. [Google Scholar] [CrossRef]
- Jain, P.; Choudhary, V.; Varma, I. Effect of structure on thermal behaviour of epoxy resins. Eur. Polym. J. 2003, 39, 181–187. [Google Scholar] [CrossRef]
- Tang, C.; Liu, W. Synthesis of cationic UV-curable methacrylate copolymers and properties of the cured films of their composites with alicyclic epoxy resin. J. Appl. Polym. Sci. 2012, 123, 1724–1731. [Google Scholar] [CrossRef]
- Wang, Z.H.; Fang, G.Q.; He, J.J.; Yang, H.X.; Yang, S.Y. Semi-aromatic thermosetting polyimide resins containing alicyclic units for achieving low melt viscosity and low dielectric constant. React. Funct. Polym. 2020, 146, 104411. [Google Scholar] [CrossRef]
- Zhi, X.X.; Bi, H.S.; Gao, Y.S.; Liu, J.G.; Chen, J.; Gao, K.Y.; Zhang, X.M. Preparation and characterization of novel preimidized semi-alicyclic polyimide alignment layers with low curing temperature and high voltage holding ratio for TFT-LCDs. Chem. Lett. 2019, 48, 654–657. [Google Scholar] [CrossRef]
- Patel, H.S.; Patel, B.K.; Patel, K.B.; Desai, S.N. Surface coating studies of alkyd-castor oil-epoxy resin condensate-ketone resin blends. Int. J. Polym. Mater. 2010, 59, 25–32. [Google Scholar] [CrossRef]
- Yang, J.; Mao, X.; Du, L.; Wu, B.; Zhang, F.; Hu, W.; Tang, X. Thermally stabilized bismaleimide-triazine resin composites for 10-GHz level high-frequency application. High Perform. Polym. 2018, 30, 833–839. [Google Scholar] [CrossRef]
- Liu, Y.P.; Li, L.; Liu, H.C.; Zhang, M.J.; Liu, A.J.; Liu, L.; Tang, L.; Wang, G.L.; Zhou, S.S. Hollow polymeric microsphere-filled silicone-modified epoxy as an internally insulated material for composite cross-arm applications. Compos. Sci. Technol. 2020, 200, 108418. [Google Scholar] [CrossRef]
- Cao, M.; Ruizhi, C.; Ge, Q.; Jiang, S.; Zhai, L.; Jiang, S. Preparation and properties of epoxy-modified tung oil waterborne insulation varnish. J. Appl. Polym. Sci. 2015, 132, 42755. [Google Scholar] [CrossRef]
- Meng, F.Y.; Song, M.; Wei, Y.X.; Wang, Y.L. The contribution of oxygen-containing functional groups to the gas-phase adsorption of volatile organic compounds with different polarities onto lignin-derived activated carbon fibers. Environ. Sci. Pollut. Res. 2019, 26, 7195–7204. [Google Scholar] [CrossRef] [PubMed]
- Sarker, M.; Hadigheh, S.A.; Dias-da-Costa, D. A performance-based characterisation of CFRP composite deterioration using active infrared thermography. Compos. Struct. 2020, 241, 112134. [Google Scholar] [CrossRef]
- Delor-Jestin, F.; Drouin, D.; Cheval, P.Y.; Lacoste, J. Thermal and photochemical ageing of epoxy resin–Influence of curing agents. Polym. Degrad. Stabil. 2006, 91, 1247–1255. [Google Scholar] [CrossRef]
- Zhang, W.Q.; Yin, L.; Zhao, M.; Tan, Z.Y.; Li, G.Y. Rapid and non-destructive quality verification of epoxy resin product using ATR-FTIR spectroscopy coupled with chemometric methods. Microchem. J. 2021, 168, 106397. [Google Scholar] [CrossRef]
- Davies, P.; Le Gac, P.Y.; Le Gall, M. Influence of sea water aging on the mechanical behaviour of acrylic matrix composites. Appl. Compos. Mater. 2017, 24, 97–111. [Google Scholar] [CrossRef]
- Matykiewicz, D.; Barczewski, M.; Knapski, D.; Skorczewska, K. Hybrid effects of basalt fibers and basalt powder on thermomechanical properties of epoxy composites. Compos. Part B Eng. 2017, 125, 157–164. [Google Scholar] [CrossRef]
- Kim, T.; Park, C. Morphological, thermal and dynamic mechanical properties of polyurethane product with various contents of acrylic polyol. Elastom. Compos. 2013, 48, 276–281. [Google Scholar] [CrossRef][Green Version]
- Yu, Q.; Chen, P.; Gao, Y.; Ma, K.M.; Lu, C.; Xiong, X.H. Effects of electron irradiation in space environment on thermal and mechanical properties of carbon fiber/bismaleimide composite. Nucl. Instrum. Meth. B 2014, 336, 158–162. [Google Scholar] [CrossRef]
- Saw, S.K.; Sarkhel, G.; Choudhury, A. Effect of layering pattern on the physical, mechanical, and thermal properties of jute/bagasse hybrid fiber-reinforced epoxy novolac composites. Polym. Compos. 2012, 33, 1824–1831. [Google Scholar] [CrossRef]
- Lu, M.; Tang, X.; Feng, X.; Yang, J.; Liu, K.; Lei, Z. Effect of salt spray aging on properties of epoxy resin for wind turbine blade. Fiber Reinf. Plast./Compos. 2012, 1, 44–47. [Google Scholar] [CrossRef]
- Kumagal, S.; Yoshimura, N. Impacts of thermal aging and water absorption on the surface electrical and chemical properties of cycloaliphatic epoxy resin. IEEE Trans. Dielectr. Electr. Insul. 2000, 7, 424–431. [Google Scholar] [CrossRef]
- Yoon, S.-H.; Hwang, Y.-E.; Kim, J.; Yoon, H.-J.; Kessler, M. Durability of Carbon/Epoxy Composites for Train Carbody under Salt Water Environment. J. Korean Soc. Railw. 2008, 11, 357–363. [Google Scholar]
- Sukur, E.F.; Onal, G. Long-term salt-water durability of GNPs reinforced basalt-epoxy multiscale composites for marine applications. Tribol. Int. 2021, 158, 106910. [Google Scholar] [CrossRef]









| Samples | DGEBA (g) | 2021P (g) | MHHPA (g) | DMP-30 (g) |
|---|---|---|---|---|
| 0% 2021P/DGEBA | 100 | 0 | 75 | 0.525 |
| 10% 2021P/DGEBA | 90 | 10 | 77.5 | 0.533 |
| 20% 2021P/DGEBA | 80 | 20 | 80 | 0.54 |
| IR Bands (cm−1) | Assignment |
|---|---|
| 3500 | O−H stretching |
| 2963 | Stretching C−H of methyl |
| 2926 | Stretching C−H of methylene |
| 2870 | Stretching C−H of methyne |
| 1730 | Carboxy C=O |
| 1608, 1581, 1509 | Stretching C=C of aromatic rings |
| 1459, 1383 | Bending C−H of methyl |
| 1361 | Deformation CH3 of C− (CH3)2 |
| 1280~1100 | Stretching C−O−C of esters |
| 1250~1190 | Stretching C−C of alkanes |
| 1181 | Stretching C−O−C of aromatic |
| 1036 | Stretching C−O−C of ethers |
| 915 | Stretching C−O of oxirane group |
| 827 | Shear C−H |
Publisher’s Note: MDPI stays neutral with regard to jurisdictional claims in published maps and institutional affiliations. |
© 2022 by the authors. Licensee MDPI, Basel, Switzerland. This article is an open access article distributed under the terms and conditions of the Creative Commons Attribution (CC BY) license (https://creativecommons.org/licenses/by/4.0/).
Share and Cite
Liu, Y.; Wang, W.; Liu, H.; Zhang, M.; Liu, J.; Qi, J. Blending Modification of Alicyclic Resin and Bisphenol A Epoxy Resin to Enhance Salt Aging Resistance for Composite Core Rods. Polymers 2022, 14, 2394. https://doi.org/10.3390/polym14122394
Liu Y, Wang W, Liu H, Zhang M, Liu J, Qi J. Blending Modification of Alicyclic Resin and Bisphenol A Epoxy Resin to Enhance Salt Aging Resistance for Composite Core Rods. Polymers. 2022; 14(12):2394. https://doi.org/10.3390/polym14122394
Chicago/Turabian StyleLiu, Yunpeng, Wanxian Wang, Hechen Liu, Mingjia Zhang, Jie Liu, and Junwei Qi. 2022. "Blending Modification of Alicyclic Resin and Bisphenol A Epoxy Resin to Enhance Salt Aging Resistance for Composite Core Rods" Polymers 14, no. 12: 2394. https://doi.org/10.3390/polym14122394
APA StyleLiu, Y., Wang, W., Liu, H., Zhang, M., Liu, J., & Qi, J. (2022). Blending Modification of Alicyclic Resin and Bisphenol A Epoxy Resin to Enhance Salt Aging Resistance for Composite Core Rods. Polymers, 14(12), 2394. https://doi.org/10.3390/polym14122394

