Synthesis, Properties, and Enzymatic Hydrolysis of Poly(lactic acid)-co-Poly(propylene adipate) Block Copolymers Prepared by Reactive Extrusion
Abstract
1. Introduction
2. Materials and Methods
2.1. Materials
2.2. Synthesis of Aliphatic Polyesters
2.2.1. Synthesis of Poly(propylene adipate) (PPAd)
2.2.2. Synthesis of Poly(l-lactide)-co-poly(propylene adipate) Copolymers
2.2.3. Characterization
3. Results and Discussion
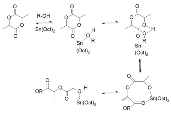
3.1. Synthesis of PLA-co-PPAd Copolymers
3.2. Spectroscopic Characterization
3.3. Molecular Weight Determination
3.4. Scanning Electron Microscopy (SEM)
3.5. Thermal Properties and Crystallinity
3.6. Tensile Properties
3.7. Water Contact Angle and Enzymatic Hydrolysis
4. Conclusions
Supplementary Materials
Author Contributions
Funding
Institutional Review Board Statement
Informed Consent Statement
Data Availability Statement
Acknowledgments
Conflicts of Interest
References
- Borrelle, S.B.; Ringma, J.; Lavender Law, K.; Monnahan, C.C.; Lebreton, L.; McGivern, A.; Murphy, E.; Jambeck, J.; Leonard, G.H.; Hilleary, M.A.; et al. Predicted Growth in Plastic Waste Exceeds Efforts to Mitigate Plastic Pollution. Science 2020, 369, 1515–1518. [Google Scholar] [CrossRef]
- Kumar, M.; Chen, H.; Sarsaiya, S.; Qin, S.; Liu, H.; Awasthi, M.K.; Kumar, S.; Singh, L.; Zhang, Z.; Bolan, N.S.; et al. Current Research Trends on Micro- and Nano-Plastics as an Emerging Threat to Global Environment: A Review. J. Hazard. Mater. 2021, 409, 124967. [Google Scholar] [CrossRef]
- Garcia, J.M.; Robertson, M.L. The Future of Plastics Recycling. Science 2017, 358, 870–872. [Google Scholar] [CrossRef] [PubMed]
- Roy, P.; Mohanty, A.K.; Wagner, A.; Sharif, S.; Khalil, H.; Misra, M. Impacts of COVID-19 Outbreak on the Municipal Solid Waste Management: Now and beyond the Pandemic. ACS Environ. Au 2021, 1, 32–45. [Google Scholar] [CrossRef]
- European Comission Plastics. Available online: https://ec.europa.eu/environment/topics/plastics (accessed on 3 September 2021).
- Pellis, A.; Malinconico, M.; Guarneri, A.; Gardossi, L. Renewable Polymers and Plastics: Performance beyond the Green. New Biotechnol. 2021, 60, 146–158. [Google Scholar] [CrossRef]
- Zhang, Q.; Song, M.; Xu, Y.; Wang, W.; Wang, Z.; Zhang, L. Bio-Based Polyesters: Recent Progress and Future Prospects. Prog. Polym. Sci. 2021, 120, 101430. [Google Scholar] [CrossRef]
- Amulya, K.; Katakojwala, R.; Ramakrishna, S.; Venkata Mohan, S. Low Carbon Biodegradable Polymer Matrices for Sustainable Future. Compos. Part C Open Access 2021, 4, 100111. [Google Scholar] [CrossRef]
- Chinthapalli, R.; Skoczinski, P.; Carus, M.; Baltus, W.; De Guzman, D.; Käb, H.; Raschka, A.; Ravenstijn, J. Biobased Building Blocks and Polymers—Global Capacities, Production and Trends, 2018–2023. Ind. Biotechnol. 2019, 15, 237–241. [Google Scholar] [CrossRef]
- Barron, A.; Sparks, T.D. Commercial Marine-Degradable Polymers for Flexible Packaging. iScience 2020, 23, 101353. [Google Scholar] [CrossRef] [PubMed]
- Bioplastics, E. Bioplastics Market Data. Available online: https://www.european-bioplastics.org/market/ (accessed on 3 September 2021).
- Raquez, J.M.; Ramy-Ratiarison, R.; Murariu, M.; Dubois, P. Reactive Extrusion of PLA-Based Materials: From Synthesis to Reactive Melt-Blending. RSC Polym. Chem. Ser. 2015, 12, 101. [Google Scholar]
- Jem, K.J.; Tan, B. The Development and Challenges of Poly (Lactic Acid) and Poly (Glycolic Acid). Adv. Ind. Eng. Polym. Res. 2020, 3, 60–70. [Google Scholar] [CrossRef]
- Farrington, D.W.; Lunt, J.; Davies, S.; Blackburn, R.S. Poly(lactic acid) fibers (PLA). In Polyesters and Polyamides; Deopura, B.L., Alagirusamy, R., Joshi, M., Gupta, B.B.T.-P.P., Eds.; Woodhead Publishing: Sawston, UK, 2008; pp. 140–170. ISBN 9781845692988. [Google Scholar]
- Balla, E.; Daniilidis, V.; Karlioti, G.; Kalamas, T.; Stefanidou, M.; Bikiaris, N.D.; Vlachopoulos, A.; Koumentakou, I.; Bikiaris, D.N. Poly(Lactic Acid): A Versatile Biobased Polymer for the Future with Multifunctional Properties-from Monomer Synthesis, Polymerization Techniques and Molecular Weight Increase to PLA Applications. Polymers 2021, 13, 1822. [Google Scholar] [CrossRef]
- Raquez, J.M.; Habibi, Y.; Murariu, M.; Dubois, P. Polylactide (PLA)-Based Nanocomposites. Prog. Polym. Sci. 2013, 38, 1504–1542. [Google Scholar] [CrossRef]
- Masutani, K.; Kimura, Y. PLA Synthesis. from the Monomer to the Polymer. In Poly(lactic acid) Science and Technology: Processing, Properties, Additives and Applications; Masutani, K., Kimura, Y., Eds.; The Royal Society of Chemistry: London, UK, 2014; pp. 1–26. ISBN 978-1-78262-480-6. [Google Scholar] [CrossRef]
- Ramot, Y.; Haim-Zada, M.; Domb, A.J.; Nyska, A. Biocompatibility and Safety of PLA and Its Copolymers. Adv. Drug Deliv. Rev. 2016, 107, 153–162. [Google Scholar] [CrossRef]
- Martin, O.; Avérous, L. Poly(Lactic Acid): Plasticization and Properties of Biodegradable Multiphase Systems. Polymer 2001, 42, 6209–6219. [Google Scholar] [CrossRef]
- Murariu, M.; Dubois, P. PLA Composites: From Production to Properties. Adv. Drug Deliv. Rev. 2016, 107, 17–46. [Google Scholar] [CrossRef] [PubMed]
- Xiao, R.Z.; Zeng, Z.W.; Zhou, G.L.; Wang, J.J.; Li, F.Z.; Wang, A.M. Recent Advances in PEG-PLA Block Copolymer Nanoparticles. Int. J. Nanomed. 2010, 5, 1057–1065. [Google Scholar] [CrossRef]
- Zhang, K.; Tang, X.; Zhang, J.; Lu, W.; Lin, X.; Zhang, Y.; Tian, B.; Yang, H.; He, H. PEG-PLGA Copolymers: Their Structure and Structure-Influenced Drug Delivery Applications. J. Control. Release 2014, 183, 77–86. [Google Scholar] [CrossRef]
- Stevels, W.M.; Bernard, A.; Van De Witte, P.; Dijkstra, P.J.; Feijen, J. Block Copolymers of Poly(L-Lactide) and Poly(ε-Caprolactone) or Poly(Ethylene Glycol) Prepared by Reactive Extrusion. J. Appl. Polym. Sci. 1996, 62, 1295–1301. [Google Scholar] [CrossRef][Green Version]
- Jacobs, C.; Dubois, P.; Jerome, R.; Teyssie, P. Macromolecular Engineering of Polylactones and Polylactides. 5. Synthesis and Characterization of Diblock Copolymers Based on Poly-e-Caprolactone and Poly(L,L or D,L)Lactide by Aluminum Alkoxides. Macromolecules 1991, 24, 3027–3034. [Google Scholar] [CrossRef]
- Supthanyakul, R.; Kaabbuathong, N.; Chirachanchai, S. Poly(L-Lactide-b-Butylene Succinate-b-L-Lactide) Triblock Copolymer: A Multi-Functional Additive for PLA/PBS Blend with a Key Performance on Film Clarity. Polym. Degrad. Stab. 2017, 142, 160–168. [Google Scholar] [CrossRef]
- Chrysafi, I.; Pavlidou, E.; Christodoulou, E.; Vourlias, G.; Klonos, P.A.; Kyritsis, A.; Bikiaris, D.N. Effects of Poly(Hexylene Succinate) Amount on the Crystallization and Molecular Mobility of Poly(Lactic Acid) Copolymers. Thermochim. Acta 2021, 698, 178883. [Google Scholar] [CrossRef]
- Müller, A.J.; Avila, M.; Saenz, G.; Salazar, J. Crystallization of PLA-Based Materials. In Poly(lactic acid) Science and Technology: Processing, Properties, Additives and Applications; Masutani, K., Kimura, Y., Eds.; The Royal Society of Chemistry: London, UK, 2014; pp. 66–98. ISBN 978-1-78262-480-6. [Google Scholar] [CrossRef]
- Polen, T.; Spelberg, M.; Bott, M. Toward Biotechnological Production of Adipic Acid and Precursors from Biorenewables. J. Biotechnol. 2013, 167, 75–84. [Google Scholar] [CrossRef]
- Unlu, S.; Niu, W.; ar Demirel, Y. Bio-Based Adipic Acid Production: Feasibility Analysis Using a Multi-Criteria Decision Matrix. Biofuels Bioprod. Biorefining 2020, 14, 794–807. [Google Scholar] [CrossRef]
- Skoog, E.; Shin, J.H.; Saez-Jimenez, V.; Mapelli, V.; Olsson, L. Biobased Adipic Acid—The Challenge of Developing the Production Host. Biotechnol. Adv. 2018, 36, 2248–2263. [Google Scholar] [CrossRef]
- Jian, J.; Xiangbin, Z.; Xianbo, H. An Overview on Synthesis, Properties and Applications of Poly(Butylene-Adipate-Co-Terephthalate)–PBAT. Adv. Ind. Eng. Polym. Res. 2020, 3, 19–26. [Google Scholar] [CrossRef]
- Zorba, T.; Chrissafis, K.; Paraskevopoulos, K.M.; Bikiaris, D.N. Synthesis, Characterization and Thermal Degradation Mechanism of Three Poly(Alkylene Adipate)s: Comparative Study. Polym. Degrad. Stab. 2007, 92, 222–230. [Google Scholar] [CrossRef]
- Soccio, M.; Lotti, N.; Finelli, L.; Gazzano, M.; Munari, A. Aliphatic Poly(Propylene Dicarboxylate)s: Effect of Chain Length on Thermal Properties and Crystallization Kinetics. Polymer 2007, 48, 3125–3136. [Google Scholar] [CrossRef]
- Kumar, S.; Rohindra, D.; Lata, R.; Kuboyama, K.; Ougizawa, T. Structural Changes in Poly(Trimethylene Adipate) and Poly(Trimethylene Succinate) During Melt Crystallization Studied Using In Situ Infrared Spectroscopy. Appl. Spectrosc. 2017, 71, 2488–2496. [Google Scholar] [CrossRef]
- Jacobsen, S.; Fritz, H.G.; Degée, P.; Dubois, P.; Jérôme, R. Continuous Reactive Extrusion Polymerisation of L-Lactide—An Engineering View. In Proceedings of the Macromolecular Symposia; WILEY-VCH Verlag GmbH & Co. KGaA: Weinheim, Germany, 2000; Volume 153, pp. 261–273. [Google Scholar]
- Jacobsen, S.; Fritz, H.G.; Degée, P.; Dubois, P.; Jérôme, R. Single-Step Reactive Extrusion of PLLA in a Corotating Twin-Screw Extruder Promoted by 2-Ethylhexanoic Acid Tin(II) Salt and Triphenylphosphine. Polymer 2000, 41, 3395–3403. [Google Scholar] [CrossRef]
- Degée, P.; Dubois, P.; Jérôme, R.; Jacobsen, S.; Fritz, H.G. New Catalysis for Fast Bulk Ring-Opening Polymerization of Lactide Monomers. In Macromolecular Symposia; WILEY-VCH Verlag GmbH & Co. KGaA: Weinheim, Germany, 1999; Volume 144, pp. 289–302. [Google Scholar] [CrossRef]
- Degé, P.H.; Dubois, P.H.; Jacobsen, S.; Fritz, H.G.; Jérome, R. Beneficial Effect of Triphenylphosphine on the Bulk Polymerization of L, L-Lactide Promoted by 2-Ethyihexanoic Acid Tin (II) Salt. J. Polym. Sci. Part A Polym. Chem. 1999, 37, 2413–2420. [Google Scholar] [CrossRef]
- Ramy-Ratiarison, R.; Lison, V.; Raquez, J.-M.; Duquesne, E.; Dubois, P. Synthesis of Melt-Processable PLA-Based Stereocomplexes through a Sustainable Melt-Approach. Green Chem. 2014, 16, 1759–1763. [Google Scholar] [CrossRef]
- Gallos, A.; Fontaine, G.; Bourbigot, S. Reactive Extrusion of Stereocomplexed Poly-L,D-Lactides: Processing, Characterization, and Properties. Macromol. Mater. Eng. 2013, 298, 1016–1023. [Google Scholar] [CrossRef]
- Jacobsen, S.; Degée, P.; Fritz, H.G.; Dubois, P.; Jérôme, R. Polylactide (PLA)—A New Way of Production. Polym. Eng. Sci. 1999, 39, 1311–1319. [Google Scholar] [CrossRef]
- Karavelidis, V.; Bikiaris, D.; Avgoustakis, K. New Thermosensitive Nanoparticles Prepared by Biocompatible Pegylated Aliphatic Polyester Block Copolymers for Local Cancer Treatment. J. Pharm. Pharmacol. 2015, 67, 215–230. [Google Scholar] [CrossRef]
- Karavelidis, V.; Giliopoulos, D.; Karavas, E.; Bikiaris, D. Nanoencapsulation of a Water Soluble Drug in Biocompatible Polyesters. Effect of Polyesters Melting Point and Glass Transition Temperature on Drug Release Behavior. Eur. J. Pharm. Sci. 2010, 41, 636–643. [Google Scholar] [CrossRef] [PubMed]
- Bikiaris, D.N.; Papageorgiou, G.Z.; Achilias, D.S. Synthesis and comparative biodegradability studies of three poly (alkylene succinate)s. Polym. Deg. And Stab. 2006, 91, 31–43. [Google Scholar] [CrossRef]
- Grigora, M.E.; Terzopoulou, Z.; Tsongas, K.; Klonos, P.; Kalafatakis, N.; Bikiaris, D.N.; Kyritsis, A.; Tzetzis, D. Influence of Reactive Chain Extension on the Properties of 3d Printed Poly(Lactic Acid) Constructs. Polymers 2021, 13, 1381. [Google Scholar] [CrossRef]
- Mysiukiewicz, O.; Barczewski, M.; Skórczewska, K.; Matykiewicz, D. Correlation between Processing Parameters and Degradation of Different Polylactide Grades during Twin-Screw Extrusion. Polymers 2020, 12, 1333. [Google Scholar] [CrossRef]
- Nanaki, S.; Viziridou, A.; Zamboulis, A.; Kostoglou, M.; Papageorgiou, G.Z.; Bikiaris, D.N. New Biodegradable Poly(l-Lactide)-Block-Poly(Propylene Adipate) Copolymer Microparticles for Long-Acting Injectables of Naltrexone Drug. Polymers 2020, 12, 852. [Google Scholar] [CrossRef]
- Hu, Y.; Daoud, W.A.; Cheuk, K.K.L.; Lin, C.S.K. Newly Developed Techniques on Polycondensation, Ring-Opening Polymerization and Polymer Modification: Focus on Poly(Lactic Acid). Materials 2016, 9, 133. [Google Scholar] [CrossRef]
- Sin, L.T.; Tueen, B.S. Synthesis and Production of Poly(Lactic Acid). In Polylactic Acid; Sin, L.T., Tueen, B.S.B.T.-P.A., Second, E., Eds.; William Andrew Publishing: Norwich, NY, USA, 2019; pp. 53–95. ISBN 978-0-12-814472-5. [Google Scholar]
- Henton, D.E.; Gruber, P.; Lunt, J.; Randall, J. Polylactic acid technology. In Natural Fibers, Biopolymers, and Biocomposites; CRC Press: Boca Raton, FL, USA, 2005; Volume 16, pp. 527–577. ISBN 9780203508206. [Google Scholar]
- Nanaki, S.; Barmpalexis, P.; Iatrou, A.; Christodoulou, E.; Kostoglou, M.; Bikiaris, D.N. Risperidone Controlled Release Microspheres Based on Poly(Lactic Acid)-Poly(Propylene Adipate) Novel Polymer Blends Appropriate for Long Acting Injectable Formulations. Pharmaceutics 2018, 10, 130. [Google Scholar] [CrossRef]
- Soccio, M.; Lotti, N.; Finelli, L.; Gazzano, M.; Munari, A. Miscibility of Biodegradable Poly(Propylene Succinate)/Poly(Propylene Adipate) Blends: Effect of the Transesterification Reactions. Eur. Polym. J. 2009, 45, 3236–3248. [Google Scholar] [CrossRef]
- Bikiaris, D.; Nanaki. Pantopoulos Synthesis of Biocompatible Poly(ε-Caprolactone)-Block-Poly(Propylene Adipate) Copolymers Appropriate for Drug Nanoencapsulation in the Form of Core-Shell Nanoparticles. Int. J. Nanomed. 2011, 6, 2981. [Google Scholar] [CrossRef][Green Version]
- di Lorenzo, M.L. The Crystallization and Melting Processes of Poly (L-lactic Acid). Macromol. Symp. 2006, 234, 176–183. [Google Scholar] [CrossRef]
- di Lorenzo, M.L. Crystallization Behavior of Poly (L-Lactic Acid). Eur. Polym. J. 2005, 41, 569–575. [Google Scholar] [CrossRef]
- Tarani, E.; Črešnar, K.P.; Zemljič, L.F.; Chrissafis, K.; Papageorgiou, G.Z.; Lambropoulou, D.; Zamboulis, A.; Bikiaris, D.N.; Terzopoulou, Z. Cold Crystallization Kinetics and Thermal Degradation of PLA Composites with Metal Oxide Nanofillers. Appl. Sci. 2021, 11, 3004. [Google Scholar] [CrossRef]
- Nanaki, S.G.; Papageorgiou, G.Z.; Bikiaris, D.N. Crystallization of Novel Poly (∊-Caprolactone)-Block-Poly (Propylene Adipate) Copolymers. J. Therm. Anal. Calorim. 2012, 108, 633–645. [Google Scholar] [CrossRef]
- Bikiaris, D.N.; Papageorgiou, G.Z.; Giliopoulos, D.J.; Stergiou, C.A. Correlation between Chemical and Solid-State Structures and Enzymatic Hydrolysis in Novel Biodegradable Polyesters. The Case of Poly (Propylene Alkanedicarboxylate) s. Macromol. Biosci. 2008, 8, 728–740. [Google Scholar] [CrossRef]
- Papageorgiou, G.Z.; Bikiaris, D.N. Crystallization and Melting Behavior of Three Biodegradable Poly(Alkylene Succinates). A Comparative Study. Polymer 2005, 46, 12081–12092. [Google Scholar] [CrossRef]
- Zhang, J.; Tashiro, K.; Tsuji, H.; Domb, A.J. Disorder-to-Order Phase Transition and Multiple Melting Behavior of Poly (L-Lactide) Investigated by Simultaneous Measurements of WAXD and DSC. Macromolecules 2008, 41, 1352–1357. [Google Scholar] [CrossRef]
- Burzic, I.; Pretschuh, C.; Kaineder, D.; Eder, G.; Smilek, J.; Másilko, J.; Kateryna, W. Impact Modification of PLA Using Biobased Biodegradable PHA Biopolymers. Eur. Polym. J. 2019, 114, 32–38. [Google Scholar] [CrossRef]
- Tokiwa, Y.; Calabia, B.P. Biodegradability and Biodegradation of Poly (Lactide). Appl. Microbiol. Biotechnol. 2006, 72, 244–251. [Google Scholar] [CrossRef]
- Gigli, M.; Quartinello, F.; Soccio, M.; Pellis, A.; Lotti, N.; Guebitz, G.M.; Licoccia, S.; Munari, A. Enzymatic Hydrolysis of Poly(1,4-Butylene 2,5-Thiophenedicarboxylate) (PBTF) and Poly(1,4-Butylene 2,5-Furandicarboxylate) (PBF) Films: A Comparison of Mechanisms. Environ. Int. 2019, 130, 104852. [Google Scholar] [CrossRef]
- Horie, K.; Barón, M.; Fox, R.B.; He, J.; Hess, M.; Kahovec, J.; Kitayama, T.; Kubisa, P.; Maréchal, E.; Mormann, W. Definitions of Terms Relating to Reactions of Polymers and to Functional Polymeric Materials (IUPAC Recommendations 2003). Pure Appl. Chem. 2004, 76, 889–906. [Google Scholar] [CrossRef]
- European Commision. Bio-Based, Biodegradable and Compostable Plastics. Available online: https://ec.europa.eu/environment/topics/plastics/bio-based-biodegradable-and-compostable-plastics (accessed on 10 September 2021).
- Yekta-Fard, M.; Ponter, A.B. Factors Affecting the Wettability of Polymer Surfaces. J. Adhes. Sci. Technol. 1992, 6, 253–277. [Google Scholar] [CrossRef]
- Bitinis, N.; Verdejo, R.; Maya, E.M.; Espuche, E.; Cassagnau, P.; Lopez-Manchado, M.A. Physicochemical Properties of Organoclay Filled Polylactic Acid/Natural Rubber Blend Bionanocomposites. Compos. Sci. Technol. 2012, 72, 305–313. [Google Scholar] [CrossRef]














| Sample Name |
|---|
| PLA 180 |
| PLA-PPAd 95/5 180 |
| PLA-PPAd 85/15 180 |
| PLA-PPAd 75/25 180 |
| PLA 190 |
| PLA-PPAd 95/5 190 |
| Temperature | 180 °C | 190 °C | ||||
|---|---|---|---|---|---|---|
| Sample | PLA | PLA-PPAd 95/05 | PLA-PPAd 85/15 | PLA-PPAd 75/25 | PLA | PLA-PPAd 95/05 |
| Unreacted lactide (%) | 5.8 | 5.8 | 7.1 | 6.7 | 5.6 | 5.8 |
| PLA-PPAd ratio | - | 94/06 | 84/16 | 74/26 | - | 94/06 |
| Sample | PDI | |||
|---|---|---|---|---|
| PLA 180 | 75,600 | 119,700 | 103,500 | 1.58 |
| PLA-PPAd 95/5 180 | 63,300 | 94,100 | 88,800 | 1.48 |
| PLA-PPAd 85/15 180 | 41,200 | 55,000 | 54,800 | 1.33 |
| PLA-PPAd 75/25 180 | 29,400 | 39,300 | 38,500 | 1.34 |
| PLA 190 | 103,400 | 161,300 | 134,200 | 1.56 |
| PLA-PPAd 95/5 190 | 60,100 | 88,200 | 80,300 | 1.46 |
| PPAd | 6300 | 11,340 | 10,800 | 1.8 |
| Sample | Tensile Stress at Break | Stress at Yield | Elongation | Young’s Modulus |
|---|---|---|---|---|
| MPa | MPa | % | MPa | |
| PLA-PPAd 85/15 | 14.8 ± 1.4 | 12.3 ± 1 | 109.1 ± 45.9 | 391.8 ± 50.1 |
| PLA-PPAd 75/25 | 7.3 ± 1.1 | - | 15.4 ± 1.8 | 218.3 ± 28.1 |
Publisher’s Note: MDPI stays neutral with regard to jurisdictional claims in published maps and institutional affiliations. |
© 2021 by the authors. Licensee MDPI, Basel, Switzerland. This article is an open access article distributed under the terms and conditions of the Creative Commons Attribution (CC BY) license (https://creativecommons.org/licenses/by/4.0/).
Share and Cite
Terzopoulou, Z.; Zamboulis, A.; Bikiaris, D.N.; Valera, M.A.; Mangas, A. Synthesis, Properties, and Enzymatic Hydrolysis of Poly(lactic acid)-co-Poly(propylene adipate) Block Copolymers Prepared by Reactive Extrusion. Polymers 2021, 13, 4121. https://doi.org/10.3390/polym13234121
Terzopoulou Z, Zamboulis A, Bikiaris DN, Valera MA, Mangas A. Synthesis, Properties, and Enzymatic Hydrolysis of Poly(lactic acid)-co-Poly(propylene adipate) Block Copolymers Prepared by Reactive Extrusion. Polymers. 2021; 13(23):4121. https://doi.org/10.3390/polym13234121
Chicago/Turabian StyleTerzopoulou, Zoi, Alexandra Zamboulis, Dimitrios N. Bikiaris, Miguel Angel Valera, and Ana Mangas. 2021. "Synthesis, Properties, and Enzymatic Hydrolysis of Poly(lactic acid)-co-Poly(propylene adipate) Block Copolymers Prepared by Reactive Extrusion" Polymers 13, no. 23: 4121. https://doi.org/10.3390/polym13234121
APA StyleTerzopoulou, Z., Zamboulis, A., Bikiaris, D. N., Valera, M. A., & Mangas, A. (2021). Synthesis, Properties, and Enzymatic Hydrolysis of Poly(lactic acid)-co-Poly(propylene adipate) Block Copolymers Prepared by Reactive Extrusion. Polymers, 13(23), 4121. https://doi.org/10.3390/polym13234121

