Effects of Viscosities and Solution Composition on Core-Sheath Electrospun Polycaprolactone(PCL) Nanoporous Microtubes
Abstract
:1. Introduction
2. Materials and Methods
2.1. Polymer Solutions Preparation
2.2. Electrospinning Setting and Experiment Design
2.3. Post-Processing of Microtubes
2.4. Characterization of Microtubes
3. Results
3.1. Solution Viscosity Level
3.2. Characterization of Microtube Morphology
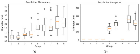
3.3. Fiber Diameter and Pore Size Analysis
4. Discussion
5. Conclusions
Author Contributions
Funding
Data Availability Statement
Acknowledgments
Conflicts of Interest
References
- Khademhosseini, A.; Langer, R. A Decade of Progress in Tissue Engineering. Nat. Protoc. 2016, 11, 1775–1781. [Google Scholar] [CrossRef]
- Zhou, Y.; Tan, G.Z. Core–Sheath Wet Electrospinning of Nanoporous Polycaprolactone Microtubes to Mimic Fenestrated Capillaries. Macromol. Mater. Eng. 2020, 305, 2000180. [Google Scholar] [CrossRef]
- Rahmati, M.; Mills, D.K.; Urbanska, A.M.; Saeb, M.R.; Venugopal, J.R.; Ramakrishna, S.; Mozafari, M. Electrospinning for Tissue Engineering Applications. Prog. Mater. Sci. 2021, 117, 100721. [Google Scholar] [CrossRef]
- Geng, M.; Zhang, Q.; Gu, J.; Yang, J.; Du, H.; Jia, Y.; Zhou, X.; He, C. Construction of a Nanofiber Network within 3D Printed Scaffolds for Vascularized Bone Regeneration. Biomater. Sci. 2021, 9, 2631–2646. [Google Scholar] [CrossRef]
- Chen, G.; Guo, J.; Nie, J.; Ma, G. Preparation, Characterization, and Application of PEO/HA Core Shell Nanofibers Based on Electric Field Induced Phase Separation during Electrospinning. Polymer 2016, 83, 12–19. [Google Scholar] [CrossRef]
- Huan, S.; Liu, G.; Han, G.; Cheng, W.; Fu, Z.; Wu, Q.; Wang, Q. Effect of Experimental Parameters on Morphological, Mechanical and Hydrophobic Properties of Electrospun Polystyrene Fibers. Materials 2015, 8, 2718–2734. [Google Scholar] [CrossRef] [Green Version]
- Colín-Orozco, J.; Zapata-Torres, M.; Rodríguez-Gattorno, G.; Pedroza-Islas, R. Properties of Poly (Ethylene Oxide)/Whey Protein Isolate Nanofibers Prepared by Electrospinning. Food Biophys. 2015, 10, 134–144. [Google Scholar] [CrossRef]
- Zhou, Y.; Sooriyaarachchi, D.; Tan, G.Z. Fabrication of Nanopores Polylactic Acid Microtubes by Core-Sheath Electrospinning for Capillary Vascularization. Biomimetics 2021, 6, 15. [Google Scholar] [CrossRef] [PubMed]
- Simões, M.C.R.; Cragg, S.M.; Barbu, E.; De Sousa, F.B. The Potential of Electrospun Poly(Methyl Methacrylate)/Polycaprolactone Core–Sheath Fibers for Drug Delivery Applications. J. Mater. Sci. 2019, 54, 5712–5725. [Google Scholar] [CrossRef] [Green Version]
- Al-Enizi, A.M.; Zagho, M.M.; Elzatahry, A.A. Polymer-Based Electrospun Nanofibers for Biomedical Applications. Nanomaterials 2018, 8, 259. [Google Scholar] [CrossRef] [PubMed] [Green Version]
- Villarreal-Gómez, L.J.; Cornejo-Bravo, J.M.; Vera-Graziano, R.; Grande, D. Electrospinning as a Powerful Technique for Biomedical Applications: A Critically Selected Survey. J. Biomater. Sci. Polym. Ed. 2016, 27, 157–176. [Google Scholar] [CrossRef]
- Teo, W.-E.; Inai, R.; Ramakrishna, S. Technological Advances in Electrospinning of Nanofibers. Sci. Technol. Adv. Mater. 2011. [Google Scholar] [CrossRef] [Green Version]
- Pant, B.; Park, M.; Park, S.-J. Drug Delivery Applications of Core-Sheath Nanofibers Prepared by Coaxial Electrospinning: A Review. Pharmaceutics 2019, 11, 305. [Google Scholar] [CrossRef] [Green Version]
- Zhou, Y.; Qavi, I.; Tan, G.Z. Effects of Solution Viscosity on Poly(l-Lactic Acid) Porous Microtubes Fabricated by Core–Sheath Electrospinning. J. Micro Nano-Manuf. 2021, 9, 021006. [Google Scholar] [CrossRef]
- Daly, A.C.; Pitacco, P.; Nulty, J.; Cunniffe, G.M.; Kelly, D.J. 3D Printed Microchannel Networks to Direct Vascularisation during Endochondral Bone Repair. Biomaterials 2018, 162, 34–46. [Google Scholar] [CrossRef] [PubMed]
- Pimentel, C.R.; Ko, S.K.; Caviglia, C.; Wolff, A.; Emnéus, J.; Keller, S.S.; Dufva, M. Three-Dimensional Fabrication of Thick and Densely Populated Soft Constructs with Complex and Actively Perfused Channel Network. Acta Biomater. 2018, 65, 174–184. [Google Scholar] [CrossRef] [PubMed]
- Niino, T.; Hamajima, D.; Montagne, K.; Oizumi, S.; Naruke, H.; Huang, H.; Sakai, Y.; Kinoshita, H.; Fujii, T. Laser Sintering Fabrication of Three-Dimensional Tissue Engineering Scaffolds with a Flow Channel Network. Biofabrication 2011, 3, 034104. [Google Scholar] [CrossRef]
- Ouyang, L.; Yao, R.; Mao, S.; Chen, X.; Na, J.; Sun, W. Three-Dimensional Bioprinting of Embryonic Stem Cells Directs Highly Uniform Embryoid Body Formation. Biofabrication 2015, 7, 044101. [Google Scholar] [CrossRef] [PubMed]
- Li, Y.; Wang, Y.; Ye, J.; Yuan, J.; Xiao, Y. Fabrication of Poly(ε-Caprolactone)/Keratin Nanofibrous Mats as a Potential Scaffold for Vascular Tissue Engineering. Mater. Sci. Eng. C 2016, 68, 177–183. [Google Scholar] [CrossRef] [PubMed]
- Yen, K.-C.; Chen, C.-Y.; Huang, J.-Y.; Kuo, W.-T.; Lin, F.-H. Fabrication of Keratin/Fibroin Membranes by Electrospinning for Vascular Tissue Engineering. J. Mater. Chem. B 2016, 4, 237–244. [Google Scholar] [CrossRef]
- Coimbra, P.; Santos, P.; Alves, P.; Miguel, S.P.; Carvalho, M.P.; de Sá, K.D.; Correia, I.J.; Ferreira, P. Coaxial Electrospun PCL/Gelatin-MA Fibers as Scaffolds for Vascular Tissue Engineering. Colloids Surf. B Biointerfaces 2017, 159, 7–15. [Google Scholar] [CrossRef] [PubMed]
- Abdal-hay, A.; Bartnikowski, M.; Hamlet, S.; Ivanovski, S. Electrospun Biphasic Tubular Scaffold with Enhanced Mechanical Properties for Vascular Tissue Engineering. Mater. Sci. Eng. C 2018, 82, 10–18. [Google Scholar] [CrossRef]
- Duan, N.; Geng, X.; Ye, L.; Zhang, A.; Feng, Z.; Guo, L.; Gu, Y. A Vascular Tissue Engineering Scaffold with Core–Shell Structured Nano-Fibers Formed by Coaxial Electrospinning and Its Biocompatibility Evaluation. Biomed. Mater. 2016, 11, 035007. [Google Scholar] [CrossRef]
- Zhu, T.; Yu, K.; Bhutto, M.A.; Guo, X.; Shen, W.; Wang, J.; Chen, W.; El-Hamshary, H.; Al-Deyab, S.S.; Mo, X. Synthesis of RGD-Peptide Modified Poly(Ester-Urethane) Urea Electrospun Nanofibers as a Potential Application for Vascular Tissue Engineering. Chem. Eng. J. 2017, 315, 177–190. [Google Scholar] [CrossRef]
- Bolbasov, E.N.; Antonova, L.V.; Stankevich, K.S.; Ashrafov, А.; Matveeva, V.G.; Velikanova, E.A.; Khodyrevskaya, Y.I.; Kudryavtseva, Y.A.; Anissimov, Y.G.; Tverdokhlebov, S.I.; et al. The Use of Magnetron Sputtering for the Deposition of Thin Titanium Coatings on the Surface of Bioresorbable Electrospun Fibrous Scaffolds for Vascular Tissue Engineering: A Pilot Study. Appl. Surf. Sci. 2017, 398, 63–72. [Google Scholar] [CrossRef]
- Gugutkov, D.; Gustavsson, J.; Cantini, M.; Salmeron-Sánchez, M.; Altankov, G. Electrospun Fibrinogen–PLA Nanofibres for Vascular Tissue Engineering. J. Tissue Eng. Regen. Med. 2017, 11, 2774–2784. [Google Scholar] [CrossRef] [PubMed] [Green Version]
- Tan, G.Z.; Zhou, Y. Tunable 3D Nanofiber Architecture of Polycaprolactone by Divergence Electrospinning for Potential Tissue Engineering Applications. Nano-Micro Lett. 2018, 10, 73. [Google Scholar] [CrossRef] [PubMed] [Green Version]
- Zaman, M.A.U.; Sooriyaarachchi, D.; Zhou, Y.-G.; Tan, G.Z.; Du, D.-P. Modeling the Density Gradient of 3D Nanofiber Scaffolds Fabricated by Divergence Electrospinning. Adv. Manuf. 2021, 9, 414–429. [Google Scholar] [CrossRef]
- Zhou, Y.; Hu, Z.; Du, D.; Tan, G.Z. The Effects of Collector Geometry on the Internal Structure of the 3D Nanofiber Scaffold Fabricated by Divergent Electrospinning. Int. J. Adv. Manuf. Technol. 2019, 100, 3045–3054. [Google Scholar] [CrossRef]
- Zhou, Y.; Mahurubin, S.; Sooriyaarachchi, D.; Tan, G.Z. The Effect of Nanoclays on Nanofiber Density Gradient in 3D Scaffolds Fabricated By Divergence Electrospinning. Procedia Manuf. 2019, 34, 110–117. [Google Scholar] [CrossRef]
- Zhou, Y.; Tan, G.Z. Generation of 3D Nanofiber Structure by Divergence Electrospinning for Tissue Engineering Scaffold. In Proceedings of the International Manufacturing Science and Engineering Conference, College Station, TX, USA, 24 September 2018; Volume 51357. [Google Scholar]
- Li, D.; Xia, Y. Direct Fabrication of Composite and Ceramic Hollow Nanofibers by Electrospinning. Nano Lett. 2004, 4, 933–938. [Google Scholar] [CrossRef]
- Loscertales, I.G.; Barrero, A.; Márquez, M.; Spretz, R.; Velarde-Ortiz, R.; Larsen, G. Electrically Forced Coaxial Nanojets for One-Step Hollow Nanofiber Design. J. Am. Chem. Soc. 2004, 126, 5376–5377j. [Google Scholar] [CrossRef]
- Chen, W.; Wang, C.; Gao, Y.; Wu, Y.; Wu, G.; Shi, X.; Du, Y.; Deng, H. Incorporating Chitin Derived Glucosamine Sulfate into Nanofibers via Coaxial Electrospinning for Cartilage Regeneration. Carbohydr. Polym. 2020, 229, 115544. [Google Scholar] [CrossRef] [PubMed]
- Liu, S.; Yu, B.; Li, F.; Ji, Y.; Zhang, T. Coaxial Electrospinning Route to Prepare Au-Loading SnO2 Hollow Microtubes for Non-Enzymatic Detection of H2O2. Electrochim. Acta 2014, 141, 161–166. [Google Scholar] [CrossRef]
- Srivastava, Y.; Loscertales, I.; Marquez, M.; Thorsen, T. Electrospinning of Hollow and Core/Sheath Nanofibers Using a Microfluidic Manifold. Microfluid. Nanofluidics 2008, 4, 245–250. [Google Scholar] [CrossRef]
- Nakielski, P.; Pawłowska, S.; Pierini, F.; Liwińska, W.; Hejduk, P.; Zembrzycki, K.; Zabost, E.; Kowalewski, T.A. Hydrogel Nanofilaments via Core-Shell Electrospinning. PLoS ONE 2015, 10, e0129816. [Google Scholar]
- Lu, Y.; Huang, J.; Yu, G.; Cardenas, R.; Wei, S.; Wujcik, E.K.; Guo, Z. Coaxial Electrospun Fibers: Applications in Drug Delivery and Tissue Engineering. WIREs Nanomed. Nanobiotechnol. 2016, 8, 654–677. [Google Scholar] [CrossRef] [PubMed]
- Cao, S.; Hu, B.; Liu, H. Fabrication of Nano-Porous Structured Polylactide (PLLA) Fibers through Electrospinning. Acta Polym. Sin. 2010, 10, 1193–1198. [Google Scholar] [CrossRef]
- Megelski, S.; Stephens, J.S.; Chase, D.B.; Rabolt, J.F. Micro- and Nanostructured Surface Morphology on Electrospun Polymer Fibers. Macromolecules 2002, 35, 8456–8466. [Google Scholar] [CrossRef]
- Katsogiannis, K.A.G.; Vladisavljević, G.T.; Georgiadou, S. Porous Electrospun Polycaprolactone (PCL) Fibres by Phase Separation. Eur. Polym. J. 2015, 69, 284–295. [Google Scholar] [CrossRef] [Green Version]
- Nguyen, T.T.T.; Ghosh, C.; Hwang, S.-G.; Chanunpanich, N.; Park, J.S. Porous Core/Sheath Composite Nanofibers Fabricated by Coaxial Electrospinning as a Potential Mat for Drug Release System. Int. J. Pharm. 2012, 439, 296–306. [Google Scholar] [CrossRef]
- Huang, C.; Thomas, N.L. Fabricating Porous Poly(Lactic Acid) Fibres via Electrospinning. Eur. Polym. J. 2018, 99, 464–476. [Google Scholar] [CrossRef] [Green Version]
- Li, R.; Cheng, Z.; Yu, X.; Wang, S.; Han, Z.; Kang, L. Preparation of Antibacterial PCL/PVP-AgNP Janus Nanofibers by Uniaxial Electrospinning. Mater. Lett. 2019, 254, 206–209. [Google Scholar] [CrossRef]
- Erencia, M.; Cano, F.; Tornero, J.A.; Fernandes, M.M.; Tzanov, T.; Macanás, J.; Carrillo, F. Electrospinning of Gelatin Fibers Using Solutions with Low Acetic Acid Concentration: Effect of Solvent Composition on Both Diameter of Electrospun Fibers and Cytotoxicity. J. Appl. Polym. Sci. 2015, 132. [Google Scholar] [CrossRef] [Green Version]
- Wang, R.; Liu, Y.; Li, B.; Hsiao, B.S.; Chu, B. Electrospun Nanofibrous Membranes for High Flux Microfiltration. J. Membr. Sci. 2012, 392–393, 167–174. [Google Scholar] [CrossRef]
- Semnani, D.; Naghashzargar, E.; Hadjianfar, M.; Manshadi, F.; Mohammadi, S.; Karbasi, S.; Effaty, F. Evaluation of PCL/Chitosan Electrospun Nanofibers for Liver Tissue Engineering. Int. J. Polym. Mater. Polym. Biomater. 2016, 66, 149–157. [Google Scholar] [CrossRef]







| Group Number | Sheath | Core | Viscosity (Sheath) (mPa·s) | Viscosity (Core) (mPa·s) |
|---|---|---|---|---|
| 1 | 7% PCL 1 | 8% PEO 1 | 63 | 69 |
| 2 | 7% PCL/8% PEO (3:1) | 8% PEO | 63 | 69 |
| 3 | 7% PCL/8% PEO (1:1) | 8% PEO | 63 | 69 |
| 4 | 10% PCL | 12% PEO | 237 | 237 |
| 5 | 10% PCL/12% PEO (3:1) | 12% PEO | 237 | 237 |
| 6 | 10% PCL/12% PEO (1:1) | 12% PEO | 237 | 237 |
| 7 | 15% PCL | 17.5% PEO | 1077 | 1066 |
| 8 | 15% PCL/17.5% PEO (3:1) | 17.5% PEO | 1077 | 1066 |
| 9 | 15% PCL/17.5% PEO (1:1) | 17.5% PEO | 1077 | 1066 |
| Group | Average Diameter (Tube)/µm | Standard Deviation (Tube)/µm | Average Diameter (Pore)/nm | Standard Deviation (Pore)/nm |
|---|---|---|---|---|
| 1 | 0.517 | 0.309 | - | - |
| 2 | 0.472 | 0.201 | - | - |
| 3 | 0.824 | 0.274 | - | - |
| 4 | 1.023 | 0.597 | - | - |
| 5 | 1.593 | 0.513 | 138.533 | 34.653 |
| 6 | 1.575 | 0.611 | 196.467 | 34.961 |
| 7 | 1.764 | 0.836 | - | - |
| 8 | 2.141 | 0.884 | 252.033 | 68.442 |
| 9 | 2.183 | 0.824 | 217.567 | 53.553 |
| Source | DF | Adj SS | Adj MS | F-Value | p-Value |
|---|---|---|---|---|---|
| Viscosity | 2 | 91.782 | 45.891 | 117.060 | 0.000 |
| Ratio | 2 | 8.612 | 4.306 | 10.980 | 0.000 |
| Viscosity × Ratio | 4 | 3.062 | 0.7655 | 1.98 | 0.098 |
| Source | DF | Adj SS | Adj MS | F-Value | p-Value |
|---|---|---|---|---|---|
| Viscosity | 1 | 135879 | 135879 | 52.670 | 0.000 |
| Ratio | 1 | 4130 | 4130 | 1.600 | 0.208 |
| Viscosity × Ratio | 1 | 64033 | 64033 | 24.820 | 0.820 |
Publisher’s Note: MDPI stays neutral with regard to jurisdictional claims in published maps and institutional affiliations. |
© 2021 by the authors. Licensee MDPI, Basel, Switzerland. This article is an open access article distributed under the terms and conditions of the Creative Commons Attribution (CC BY) license (https://creativecommons.org/licenses/by/4.0/).
Share and Cite
Chen, Y.; Tan, G.Z.; Zhou, Y. Effects of Viscosities and Solution Composition on Core-Sheath Electrospun Polycaprolactone(PCL) Nanoporous Microtubes. Polymers 2021, 13, 3650. https://doi.org/10.3390/polym13213650
Chen Y, Tan GZ, Zhou Y. Effects of Viscosities and Solution Composition on Core-Sheath Electrospun Polycaprolactone(PCL) Nanoporous Microtubes. Polymers. 2021; 13(21):3650. https://doi.org/10.3390/polym13213650
Chicago/Turabian StyleChen, Yan, George Z. Tan, and Yingge Zhou. 2021. "Effects of Viscosities and Solution Composition on Core-Sheath Electrospun Polycaprolactone(PCL) Nanoporous Microtubes" Polymers 13, no. 21: 3650. https://doi.org/10.3390/polym13213650
APA StyleChen, Y., Tan, G. Z., & Zhou, Y. (2021). Effects of Viscosities and Solution Composition on Core-Sheath Electrospun Polycaprolactone(PCL) Nanoporous Microtubes. Polymers, 13(21), 3650. https://doi.org/10.3390/polym13213650

