Comparative Studies of CPEs Modified with Distinctive Metal Nanoparticle-Decorated Electroactive Polyimide for the Detection of UA
Abstract
1. Introduction
2. Materials and Methods
2.1. Synthesis of Amino-Capped Aniline Tetramer (ACAT)
2.2. Synthesis of EPI
2.3. Preparation of EPIS, EPIP, and EPIG
2.4. Electrochemical Cyclic Voltammetry of EPI, EPIS, EPIP, and EPIG
2.5. Electrochemical Sensing of UA
3. Results
3.1. Characterization of ACAT
3.2. Characterization of EPAA and EPI
3.3. Structural and Morphological Characterization of EPIS, EPIP, and EPIG
3.3.1. X-ray Diffraction (XRD)
3.3.2. X-ray Photoelectron Spectroscopy (XPS)
3.3.3. Transmission Electron Microscopy (TEM)
3.4. Redox Capability of Materials Measured by Electrochemical CV Studies
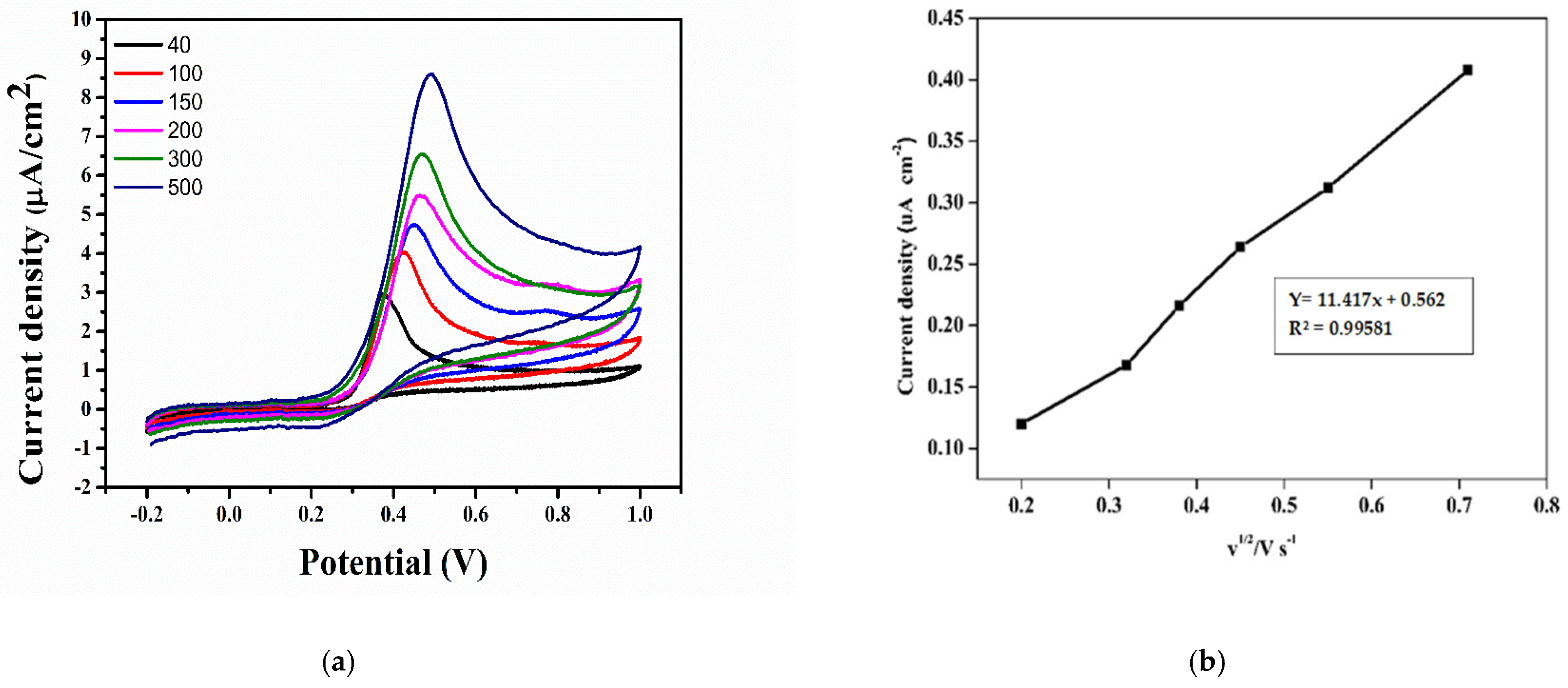
3.5. Kinetic Parameters Study of CPE Modified with EPIG
3.6. Electrochemical Sensing of UA
3.7. Differential Pulse Voltammetric Responses for Tertiary Mixtures of AA, UA, and DA
4. Conclusions
Author Contributions
Funding
Institutional Review Board Statement
Informed Consent Statement
Data Availability Statement
Conflicts of Interest
References
- Hu, L.; Deng, L.; Alsaiari, S.; Zhang, D.; Khashab, N.M. Light-on Sensing of Antioxidants Using Gold Nanoclusters. Anal. Chem. 2014, 86, 4989–4994. [Google Scholar] [CrossRef]
- Bi, H.; Fernandes, A.C.; Cardoso, S.; Freitas, P. Interference-blind microfluidic sensor for ascorbic acid determination by UV/vis spectroscopy. Sens. Actuators B Chem. 2016, 224, 668–675. [Google Scholar] [CrossRef]
- Keeley, G.P.; McEvoy, N.; Nolan, H.; Holzinger, M.; Cosnier, S.; Duesberg, G.S. Electroanalytical Sensing Properties of Pristine and Functionalized Multilayer Graphene. Chem. Mater. 2014, 26, 1807–1812. [Google Scholar] [CrossRef]
- Lou, C.; Liu, W.; Liu, X. Quantitative analysis of arsenic speciation in guano and ornithogenic sediments using microwave-assisted extraction followed by high-performance liquid chromatography coupled to hydride generation atomic fluorescence spectrometry. J. Chromatogr. B 2014, 969, 29–34. [Google Scholar] [CrossRef]
- Xia, N.; Liu, L.; Wu, R.; Liu, H.; Li, S.J.; Hao, Y. Ascorbic acid-triggered electrochemical–chemical–chemical redox cycling for design of enzyme-amplified electrochemical biosensors on self-assembled monolayer-covered gold electrodes. J. Electroanal. Chem. 2014, 731, 78–83. [Google Scholar] [CrossRef]
- Manohara Reddy, Y.V.; Sravani, B.; Agarwal, S.; Gupta, V.K.; Madhavi, G. Electrochemical sensor for detection of uric acid in the presence of ascorbic acid and dopamine using the poly(DPA)/SiO2@Fe3O4 modified carbon paste electrode. J. Electroanal. Chem. 2018, 820, 168–175. [Google Scholar] [CrossRef]
- Hsine, Z.; Bizid, S.; Mlika, R.; Sauriat-Dorizon, H.; Said, A.H.; Youssoufi, H.K. Nanocomposite Based on Poly (para-phenylene)/Chemical Reduced Graphene Oxide as a Platform for Simultaneous Detection of Ascorbic Acid, Dopamine and Uric Acid. Sensors 2020, 20, 1256. [Google Scholar] [CrossRef]
- Micić, D.; Šljukić, B.; Zujovic, Z.; Travas-Sejdic, J.; Ćirić-Marjanović, G. Electrocatalytic Activity of Carbonized Nanostructured Polyanilines for Oxidation Reactions: Sensing of Nitrite Ions and Ascorbic Acid. Electrochim. Acta 2014, 120, 147–158. [Google Scholar]
- Pakapongpan, S.; Mensing, J.P.; Phokharatkul, D.; Lomas, T.; Tuantranont, A. Highly selective electrochemical sensor for ascorbic acid based on a novel hybrid graphene-copper phthalocyanine-polyaniline nanocomposites. Electrochim. Acta 2014, 133, 294–301. [Google Scholar] [CrossRef]
- Sk, M.M.; Yue, C.Y. Synthesis of polyaniline nanotubes using the self-assembly behavior of vitamin C: A mechanistic study and application in electrochemical supercapacitors. J. Mater. Chem. A 2014, 2, 2830–2838. [Google Scholar] [CrossRef]
- Xue, C.; Wang, X.; Zhu, W.; Han, Q.; Zhu, C.; Hong, J.; Zhou, X.; Jiang, H. Electrochemical serotonin sensing interface based on double-layered membrane of reduced graphene oxide/polyaniline nanocomposites and molecularly imprinted polymers embedded with gold nanoparticles. Sens. Actuators B Chem. 2014, 196, 57–63. [Google Scholar] [CrossRef]
- Rana, U.; Paul, N.D.; Mondal, S.; Chakraborty, C.; Malik, S. Water soluble polyaniline coated electrode: A simple and nimble electrochemical approach for ascorbic acid detection. Synth. Met. 2014, 192, 43–49. [Google Scholar] [CrossRef]
- Iyyappan, E.; Samuel Justin, S.J.; Wilson, P.; Palanippan, A. Nanoscale Hydroxyapatite for Electrochemical Sensing of Uric Acid: Roles of Mesopore Volume and Surface Acidity. ACS Appl. Nano Mater. 2020, 3, 7761–7773. [Google Scholar] [CrossRef]
- Zhou, C.; Shi, Y.; Luo, J.; Zhang, L.; Xiao, D. Diameter-controlled synthesis of polyaniline microtubes and their electrocatalytic oxidation of ascorbic acid. J. Mater. Chem. 2014, 2, 4122–4129. [Google Scholar] [CrossRef]
- Wu, T.; Wang, L.Y.; Du, S.; Guo, W.J.; Pei, M.S. Micro/nanostructures of PANI obtained in the presence of water soluble polymers and their electrochemical sensing properties. RSC Adv. 2015, 5, 69067–69074. [Google Scholar] [CrossRef]
- Lakshmi, D.; Whitcombe, M.J.; Davis, F.; Sharma, P.S.; Prasad, B.B. Electrochemical Detection of Uric Acid in Mixed and Clinical Samples: A Review. Electroanalysis 2011, 23, 305–320. [Google Scholar] [CrossRef]
- Li, X.; Tian, A.; Wang, Q.; Huang, D.; Fan, S.; Wu, H.; Zhang, H. An Electrochemical Sensor Based on Platinum Nanoparticles and Mesoporous Carbon Composites for Selective Analysis of Dopamine. Int. J. Electrochem. Sci. 2019, 14, 1082–1091. [Google Scholar] [CrossRef]
- Ramanavicius, S.; Ramanavicius, A. Conducting Polymers in the Design of Biosensors and Biofuel Cells. Polymers 2021, 13, 49. [Google Scholar] [CrossRef]
- Plausinaitis, D.; Sinkevicius, L.; Samukaite-Bubniene, U.; Ratautaite, V.; Ramanavicius, A. Evaluation of electrochemical quartz crystal microbalance based sensor modified by uric acid-imprinted polypyrrole. Talanta 2020, 220, 121414. [Google Scholar] [CrossRef]
- Minta, M.; González, Z.; Wiench, P.; Gryglewicz, S.; Gryglewicz, G. N-Doped Reduced Graphene Oxide/Gold Nanoparticles Composite as an Improved Sensing Platform for Simultaneous Detection of Dopamine, Ascorbic Acid, and Uric Acid. Sensors 2020, 20, 4427. [Google Scholar] [CrossRef]
- Shen, X.; Ju, F.; Li, G.; Ma, L. Smartphone-Based Electrochemical Potentiostat Detection System Using PEDOT: PSS/Chitosan/Graphene Modified Screen-Printed Electrodes for Dopamine Detection. Sensors 2020, 20, 2781. [Google Scholar] [CrossRef]
- Anan, W.K.; Wanich, A.O.; Sriprachuabwong, C.; Karuwan, C.; Tuantranont, A.; Wisitsorall, A.; Srituravanich, W.; Pimpim, A. Disposable paper-based electrochemical sensor utilizing inkjet-printed Polyaniline modified screen-printed carbon electrode for Ascorbic acid detection. J. Electroanal. Chem. 2012, 685, 72–78. [Google Scholar] [CrossRef]
- Rwei, S.P.; Lee, Y.H.; Shiu, J.W.; Sasikumar, R.; Shyr, U.T. Characterization of Solvent-Treated PEDOT:PSS Thin Films with Enhanced Conductivities. Polymers 2019, 11, 134. [Google Scholar] [CrossRef]
- Kalakodimi, R.P.; Nookala, M. Electrooxidation of Ascorbic Acid on a Polyaniline-Deposited Nickel Electrode: Surface Modification of a Non-Platinum Metal for an Electrooxidative Analysis. Anal. Chem. 2002, 74, 5531–5537. [Google Scholar] [CrossRef]
- Selvolini, G.; Lazzarini, C.; Marrazza, G. Electrochemical Nanocomposite Single-Use Sensor for Dopamine Detection. Sensors 2019, 19, 3097. [Google Scholar] [CrossRef]
- Guo, B.; Finne-Wistrand, A.; Albertsson, A.C. Universal Two-Step Approach to Degradable and Electroactive Block Copolymers and Networks from Combined Ring-Opening Polymerization and Post-Functionalization via Oxidative Coupling Reactions. Macromolecules 2011, 44, 5227–5236. [Google Scholar] [CrossRef]
- Chao, D.; Zhang, J.; Liu, X.; Lu, X.; Wang, C.; Zhang, W.; Wei, Y. Synthesis of novel poly(amic acid) and polyimide with oligoaniline in the main chain and their thermal, electrochemical, and dielectric properties. Polymer 2010, 51, 4518–4524. [Google Scholar] [CrossRef]
- Arukula, R.; Thota, A.R.; Rao, C.R.K.; Narayan, R.; Sreedhar, B. Novel electrically conducting polyurethanes with oligoanilines: Synthesis, conductivity, and electrochemical properties. J. Appl. Polym. Sci. 2014, 131, 40794. [Google Scholar] [CrossRef]
- Hardy, J.G.; Mouser, D.J.; Arroyo-Curras, N.; Geissler, S.; Chow, J.K.; Nguy, L.; Kim, J.M.; Schmidt, C.E. Biodegradable electroactive polymers for electrochemically-triggered drug delivery. J. Mater. Chem. B 2014, 2, 6809–6822. [Google Scholar] [CrossRef]
- Qu, G.; Li, F.; Berda, E.B.; Chi, M.; Liu, X.; Wang, C.; Chao, D. Electroactive polyurea bearing oligoaniline pendants: Electrochromicand anticorrosive properties. Polymer 2015, 58, 60–66. [Google Scholar] [CrossRef]
- Udeh, C.U.; Fey, N.; Faul, C.F.J. Functional block-like structures from electroactive tetra(aniline) oligomers. J. Mater. Chem. 2011, 21, 18137–18153. [Google Scholar] [CrossRef]
- Wei, Z.; Faul, C.F.J. Aniline Oligomers–Architecture, Function and New opportunities for Nanostructured Materials. Macromol. Rapid Commun. 2008, 29, 280. [Google Scholar] [CrossRef]
- Jia, X.; Chao, D.; Liu, H.; He, L.; Zheng, T.; Bian, X.; Wang, C. Synthesis and properties of novel electroactive poly(amic acid) and polyimide copolymers bearing pendant oligoaniline-groups. Polym. Chem. 2011, 2, 1300–1306. [Google Scholar] [CrossRef]
- Chao, D.; Jia, X.; Tuten, B.; Wang, C.; Berda, E.B. Controlled folding of a novel electroactive polyolefin via multiple sequential orthogonal intra-chain interactions. Chem. Commun. 2013, 49, 4178. [Google Scholar] [CrossRef]
- Chao, D.; He, L.; Berda, E.B.; Wang, W.; Jia, X.; Wang, C. Multifunctional hyperbranched polyamide: Synthesis and properties. Polymer 2013, 54, 3223–3229. [Google Scholar] [CrossRef]
- Bibi, A.; Huang, C.H.; Lan, Y.X.; Chen, K.Y.; Ji, W.F.; Yeh, J.M.; Santiago, K.S.J. Effect of Surface Morphology of Electro-spun EPAA Coatings on the H2S Sensing Performance of Corresponding Interdigitated Electrode. Electrochem. Soc. 2020, 167, 117510. [Google Scholar] [CrossRef]
- Huang, L.; Hu, J.; Lang, L.; Wang, X.; Zhang, P.; Jing, X.; Wang, X.; Chen, X.; Lelkes, P.I.; MacDiarmid, A.G.; et al. Synthesis and characterization of electroactive and biodegradable ABA block copolymer of polylactide and aniline pentamer. Biomaterials 2007, 28, 1741. [Google Scholar] [CrossRef]
- Anantharaj, V.; Wang, L.Y.; Canteenwala, T.; Chiang, L.Y. Synthesis of starburst hexa(oligoanilinated) C60 using hexanitro[60]fullerene as a precursor. J. Chem. Soc. Perkin Trans. 1999, 1, 3357. [Google Scholar] [CrossRef]
- Wang, Z.Y.; Yang, C.; Gao, J.P.; Lin, J.; Meng, S.X.; Wei, Y.; Li, S. Electroactive Polyimides Derived from Amino-Terminated Aniline Trimer. Macromolecules 1988, 31, 2702–2704. [Google Scholar] [CrossRef]
- Chao, D.; Ma, C.; Lu, X.; Cui, L.; Mao, H.; Zhang, W.; Wei, Y. Design, synthesis and characterization of novel electroactive polyamide with amine-capped aniline pentamer in the main chain via oxidative coupling polymerization. J. Appl. Polym. Sci. 2007, 104, 1603. [Google Scholar] [CrossRef]
- Han, D.H.; Yang, L.P.; Zhang, X.F.; Pan, C.Y. Synthesis and characterization of polystyrene-b-tetraaniline stars from polystyrene stars with surface reactive groups prepared by RAFT polymerization. Eur. Polym. J. 2007, 43, 3873–3881. [Google Scholar] [CrossRef]
- Liu, Y.; Hu, J.; Zhuang, X.; Zhang, P.; Chen, X.; Wei, Y.; Wang, X. Preparation and Characterization of Biodegradable and Electroactive Polymer Blend Materials Based on mPEG/Tetraaniline and PLLA. Macromol. Biosci. 2011, 11, 806. [Google Scholar] [CrossRef]
- Chao, D.; Jia, X.; Liu, H.; He, L.; Cui, L.; Wang, C.; Berda, E.B. Novel electroactive poly(arylene ether sulfone) copolymers containing pendant oligoaniline groups: Synthesis and properties. J. Polym. Sci. A Polym. Chem. 2011, 49, 1605. [Google Scholar] [CrossRef]
- Chen, R.; Benicewicz, B.C. Preparation and Properties of Poly(methacrylamide)s Containing Oligoaniline Side Chains. Macromolecules 2003, 36, 6333. [Google Scholar] [CrossRef]
- Liu, S.; Kaizheng, Z.T.; Zhang, Y.; Zhu, Y.; Xu, T.X. Synthesis and electrical conductivity of poly(methacrylamide) (PMAA) with fixed length oligoaniline as side chains. Mater. Lett. 2005, 59, 3715. [Google Scholar] [CrossRef]
- Ji, W.F.; Chu, C.M.; Hsu, S.C.; Lu, Y.D.; Yu, Y.C.; Santiago, K.S.; Yeh, J.M. Synthesis and characterization of organo-soluble aniline oligomer-based electroactive doped with gold nanoparticles, and application to electrochemical sensing of ascorbic acid. Polymer 2017, 128, 218–228. [Google Scholar] [CrossRef]
- Chang, K.C.; Chu, C.M.; Chang, C.H.; Cheng, H.T.; Hsu, S.C.; Lan, C.C.; Chen, H.H.; Peng, Y.Y.; Yeh, J.M. Photoisomerization of electroactive polyimide/multiwalled carbon nanotube composites on the effect of electrochemical sensing for ascorbic acid. Polym. Int. 2015, 64, 373–382. [Google Scholar] [CrossRef]
- Weng, C.J.; Jhou, Y.S.; Chen, Y.L.; Feng, C.F.; Chang, C.H.; Chen, S.W.; Yeh, J.M.; Yen, W. Intrinsically electroactive polyimide microspheres fabricated by electrospraying technology for ascorbic acid detection. J. Mater. Chem. 2011, 21, 15666–15672. [Google Scholar] [CrossRef]
- Yeh, L.C.; Huang, T.C.; Lin, Y.J.; Lai, G.H.; Yang, T.I.; Lo, A.Y.; Yeh, J.M. Electroactive polyamide modified carbon paste electrode for the determination of ascorbic acid. Int. J. Green Energy 2016, 13, 1334–1341. [Google Scholar] [CrossRef]
- Huang, T.S.; Yeh, L.C.; Huang, H.Y.; Nian, Z.Y.; Yeh, Y.C.; Chou, Y.C.; Yeh, J.M.; Tsai, M.H. The use of a carbon paste electrode mixed with multiwalled carbon nanotube/electroactive polyimide composites as an electrode for sensing ascorbic acid. Polym. Chem. 2014, 5, 630–637. [Google Scholar] [CrossRef]
- Yeh, L.C.; Huang, T.C.; Huang, Y.P.; Huang, H.Y.; Chen, H.H.; Yang, T.I.; Yeh, J.M. Synthesis electroactive polyurea with aniline-pentamer-based in the main chain and its application in electrochemical sensor. Electrochim. Acta 2013, 94, 300–306. [Google Scholar] [CrossRef]
- Yeh, L.C.; Huang, T.C.; Lai, F.Y.; Lai, G.H.; Lo, A.Y.; Hsu, S.C.; Yang, T.I.; Yeh, J.M. Synthesis of electroactive polyazomethine and its application in electrochromic property and electrochemical sensor. Surf. Coat. Technol. 2016, 303, 154–161. [Google Scholar] [CrossRef]
- Huang, T.C.; Yeh, L.C.; Lai, G.H.; Lai, F.Y.; Yang, T.I.; Huang, Y.J.; Lo, A.Y.; Yeh, J.M. Electroactive polyurea/CNT composite-based electrode for detection of vitamin C. Express Polym. Lett. 2016, 10, 450–461. [Google Scholar] [CrossRef]
- Weng, C.J.; Hsu, P.H.; Hsu, S.C.; Chang, C.H.; Hung, W.I.; Wu, P.S.; Yeh, J.M. Synthesis of electroactive mesoporous gold–organosilica nanocomposite materials via a sol–gel process with non-surfactant templates and the electroanalysis of ascorbic acid. J. Mater. Chem. B 2013, 1, 4893–4991. [Google Scholar] [CrossRef] [PubMed]
- Tsai, M.H.; Lu, S.H.; Lai, Y.H.; Lai, G.H.; Dizon, G.V.; Yang, T.-I.; Lin, Y.J.; Chou, Y.C. Novel ascorbic acid sensor prepared from gold/aniline-pentamer-based electroactive polyamide composites. Express Polym. Lett. 2018, 12, 71–81. [Google Scholar] [CrossRef]
- Devasena, S.; Meenakshi, S.; Sayeekannan, R.; Pandian, K. In-situ functionalization of aniline oligomer onto layered graphene sheet and study of its application on electrochemical detection of ascorbic acid in food samples. Nanosyst. Phys. Chem. Math. 2016, 7, 774–779. [Google Scholar] [CrossRef][Green Version]
- Han, B.; Pan, M.; Liu, X.; Liu, J.; Cui, T.; Chen, Q. Electrochemical Detection for Uric Acid Based on β-Lactoglobulin-Functionalized Multiwall Carbon Nanotubes Synthesis with PtNPs Nanocomposite. Materials 2019, 12, 214. [Google Scholar] [CrossRef]
- Guo, S.; Wang, E. Synthesis and electrochemical applications of gold nanoparticles. Anal. Chim. Acta 2007, 598, 181–192. [Google Scholar] [CrossRef]
- Income, K.; Ratnarathorn, N.; Khamchaiyo, N.; Srisuvo, C.; Ruckthong, L.; Dungchai, W. Disposable Nonenzymatic Uric Acid and Creatinine Sensors Using PAD Coupled with Screen-Printed Reduced Graphene Oxide-Gold Nanocomposites. Int. J. Anal. Chem. 2019, 3457247. [Google Scholar]
- Shams, N.; Lim, H.N.; Hajian, R.; Yusof, N.A.; Abdullah, J.; Sulaiman, Y.; Ibrahim, I.; Huang, N.M. Electrochemical sensor based on gold nanoparticles/ethylenediamine-reduced graphene oxide for trace determination of fenitrothion in water. RSC Adv. 2016, 6, 89430–89439. [Google Scholar] [CrossRef]
- Yang, Z.; Qi, C.; Zheng, X.; Zheng, J. Facile synthesis of silver nanoparticle-decorated graphene oxide nanocomposites and their application for electrochemical sensing. New J. Chem. 2015, 39, 9358–9362. [Google Scholar] [CrossRef]
- Chang, K.C.; Lu, H.I.; Peng, C.W.; Lai, M.C.; Hsu, S.C.; Hsu, M.S.; Tsai, Y.K.; Chang, C.H.; Hung, W.I.; Wei, Y.; et al. Nanocasting Technique to Prepare Lotus-leaf-like Superhydrophobic Electroactive Polyimide as Advanced Anticorrosive Coatings. ACS Appl. Mater. Interfaces 2013, 5, 1460–1467. [Google Scholar] [CrossRef] [PubMed]
- Różalska, I.; Kułyk, P.; Kulszewicz Bajer, I. Linear 1,4-coupled oligoanilines of defined length: Preparation and spectroscopic properties. New J. Chem. 2004, 28, 1235–1243. [Google Scholar]
- Weng, C.J.; Huang, K.Y.; Jhuo, Y.S.; Chen, Y.L.; Feng, C.F.; Cho Ming, C.; Yeh, J.M. Electroactive PI sphere generated by electrospraying. Polym. Int. 2012, 61, 205–212. [Google Scholar] [CrossRef]
- Krishnamurthy, S.; Esterle, A.; Sharma, N.C.; Sahi, S.V. Yucca-derived synthesis of gold nanomaterial and their catalytic potential. Nanoscale Res. lett. 2014, 9, 627. [Google Scholar] [CrossRef]
- Shameli, K.; Ahmad, M.B.; Zamanian, A.; Sanpour, P.; Shabanzadeh, P.; Abdollahi, Y.; Zargar, M. Green biosynthesis of silver nanoparticles using Curcuma longa tuber powder. Int. J. Nanomed. 2012, 7, 5603–5610. [Google Scholar] [CrossRef]
- Zhang, Z.; Zhang, X.; Xin, Z.; Deng, M.; Wen, Y.; Song, Y. Synthesis of monodisperse silver nanoparticles for ink-jet printed flexible electronics. Nanotechnology 2011, 22, 425601. [Google Scholar] [CrossRef]
- Zhang, G.; Yang, D.; Sacher, E. X-ray Photoelectron Spectroscopic Analysis of Pt Nanoparticles on Highly Oriented Pyrolytic Graphite, Using Symmetric Component Line Shapes. J. Phys. Chem. C. 2007, 111, 565–570. [Google Scholar] [CrossRef]
- Bard, A.J.; Faulkner, J.L.R. Electrochemical Methods: Fundamentals and Applications, 2nd ed.; Wiley: New York, NY, USA, 2001; ISBN 978-0-471-04372-0. [Google Scholar]
- Shi, W.; Liu, C.; Song, Y.; Lin, N.; Zhou, S.; Cai, X. An ascorbic acid amperometric sensor using over-oxidized polypyrrole and palladium nanoparticles composites. Biosens. Bioelectron. 2012, 38, 100–106. [Google Scholar] [CrossRef]
- Fu, L.; Zheng, Y.; Wang, A.; Cai, W.; Deng, B.; Zhang, Z. An Electrochemical Sensor Based on Reduced Graphene Oxide and ZnO Nanorods-Modified Glassy Carbon Electrode for Uric Acid Detection. Arab. J. Sci. Eng. 2015. [Google Scholar] [CrossRef]
- Fua, L.; Wangd, A.; Laic, G.; Sua, W.; Malherbeb, F.; Yue, J.; Line, C.T.; Yu, A. Defects regulating of graphene ink for electrochemical determination of ascorbic acid, dopamine and uric acid. Talanta 2017, 180, 248–253. [Google Scholar] [CrossRef] [PubMed]
- Chikere, C.O.; Faisal, N.H.; Lin, P.K.; Fernandez, C. Interaction between Amorphous Zirconia Nanoparticles and Graphite: Electrochemical Applications for Gallic Acid Sensing Using Carbon Paste Electrodes in Wine. Nanomaterials 2020, 10, 537. [Google Scholar] [CrossRef] [PubMed]
- Chikere, C.O.; Hobben, E.; Faisal, N.H.; Lin, P.K.; Fernandez, C. Electroanalytical determination of gallic acid in red and white wine samples using cobalt oxide nanoparticles-modified carbon-paste electrodes. Microchem. J. 2021, 160, 105668. [Google Scholar] [CrossRef]
- Habibi, B.; Pezhhan, H.; Pournaghi-Azar, M.H. Voltammetric and amperometric determination of uric acid at a carbon-ceramic electrode modified with multi walled carbon nanotubes. Microchim. Acta 2010, 169, 313. [Google Scholar] [CrossRef]
- Yan, J.; Liu, S.; Zhang, Z.; He, G.; Zhou, P.; Liang, H.; Tian, L.; Zhou, X.; Jiang, H. Simultaneous electrochemical detection of ascorbic acid, dopamine and uric acid based on graphene anchored with Pd–Pt nanoparticles. Colloid Surf. B 2013, 111, 392. [Google Scholar] [CrossRef]
- Zhou, Y.; Zhang, H.; Xie, H.; Chen, B.; Zhang, L.; Zheng, X.; Jia, P. A novel sensor based on LaPO4 nanowires modified electrode for sensitive simultaneous determination of dopamine and uric acid. Electrochim. Acta 2012, 75, 360–365. [Google Scholar] [CrossRef]
- Manivel, P.; Dhakshnamoorthy, M.; Balamurugan, A.; Ponpandian, N.; Mangalaraj, D.; Viswanathan, C. Conducting polyaniline-graphene oxide fibrous nanocomposites: Preparation, characterization and simultaneous electrochemical detection of ascorbic acid, dopamine and uric acid. RSC Adv. 2013, 3, 14428–14437. [Google Scholar] [CrossRef]
- Anu Prathap, M.U.; Srivastava, R. Tailoring properties of polyaniline for simultaneous determination of a quaternary mixture of ascorbic acid, dopamine, uric acid, and tryptophan. Sens. Actuators B Chem. 2013, 177, 239–250. [Google Scholar] [CrossRef]
- Chikere, C.O.; Faisal, N.H.; Lin, P.K.T.; Fernandez, C. Zinc oxide nanoparticles modified-carbon paste electrode used for the electrochemical determination of Gallic acid. J. Phys. Conf. Ser. 2019, 1310, 012008. [Google Scholar] [CrossRef]












| Materials/Electrode Type | Analyte | Sensitivity (µA·µM−1) | Limit of Detection (LOD)(µM) | Linear Dynamic Range (LDR)(μM) | Reference |
|---|---|---|---|---|---|
| RGO/ZnO/GCE [66] | UA | 0.31 | 1–800 | [71] | |
| G-30 [67] | UA | 17.8 | 5–1000 | [72] | |
| ZnO NPs/CPE [68] | GA | 0.124 | 1–1000 | [73] | |
| CoO NPs/CPE | GA | 1.52 | 100–10,000 | [74] | |
| CCE/MWCNT | UA | 1.5 | 1.4 | 0.5–10.0 | [75] |
| CPE/MWCNT/α-CD | UA | 0.325 | 5 | 5.0–40 | [76] |
| LaPO4/CPE | UA | 0.9 | 2.7–24 | [77] | |
| PANI/GO fibers | UA | 0.2 | 2–18 | [78] | |
| Fe-Meso-PANI | UA | 0.2621 | 5.3 | 100–300 | [79] |
| EPI/CPE | UA | 0.34 | 3.81 | 5–15 | This work |
| EPIS/CPE | UA | 0.47 | 4.33 | 5–20 | This work |
| EPIP/CPE | UA | 0.83 | 2.60 | 5–20 | This work |
| EPIG/CPE | UA | 1.53 | 0.78 | 5–50 | This work |
Publisher’s Note: MDPI stays neutral with regard to jurisdictional claims in published maps and institutional affiliations. |
© 2021 by the authors. Licensee MDPI, Basel, Switzerland. This article is an open access article distributed under the terms and conditions of the Creative Commons Attribution (CC BY) license (http://creativecommons.org/licenses/by/4.0/).
Share and Cite
Bibi, A.; Hsu, S.-C.; Ji, W.-F.; Cho, Y.-C.; Santiago, K.S.; Yeh, J.-M. Comparative Studies of CPEs Modified with Distinctive Metal Nanoparticle-Decorated Electroactive Polyimide for the Detection of UA. Polymers 2021, 13, 252. https://doi.org/10.3390/polym13020252
Bibi A, Hsu S-C, Ji W-F, Cho Y-C, Santiago KS, Yeh J-M. Comparative Studies of CPEs Modified with Distinctive Metal Nanoparticle-Decorated Electroactive Polyimide for the Detection of UA. Polymers. 2021; 13(2):252. https://doi.org/10.3390/polym13020252
Chicago/Turabian StyleBibi, Aamna, Sheng-Chieh Hsu, Wei-Fu Ji, Yi-Chi Cho, Karen S. Santiago, and Jui-Ming Yeh. 2021. "Comparative Studies of CPEs Modified with Distinctive Metal Nanoparticle-Decorated Electroactive Polyimide for the Detection of UA" Polymers 13, no. 2: 252. https://doi.org/10.3390/polym13020252
APA StyleBibi, A., Hsu, S.-C., Ji, W.-F., Cho, Y.-C., Santiago, K. S., & Yeh, J.-M. (2021). Comparative Studies of CPEs Modified with Distinctive Metal Nanoparticle-Decorated Electroactive Polyimide for the Detection of UA. Polymers, 13(2), 252. https://doi.org/10.3390/polym13020252

