Nanocomposite Materials Based on TMDCs WS2 Modified Poly(l-Lactic Acid)/Poly(Vinylidene Fluoride) Polymer Blends
Abstract
:1. Introduction
2. Experimental Section
2.1. Materials and Processing
2.2. Characterization Studies
3. Results
3.1. Morphology
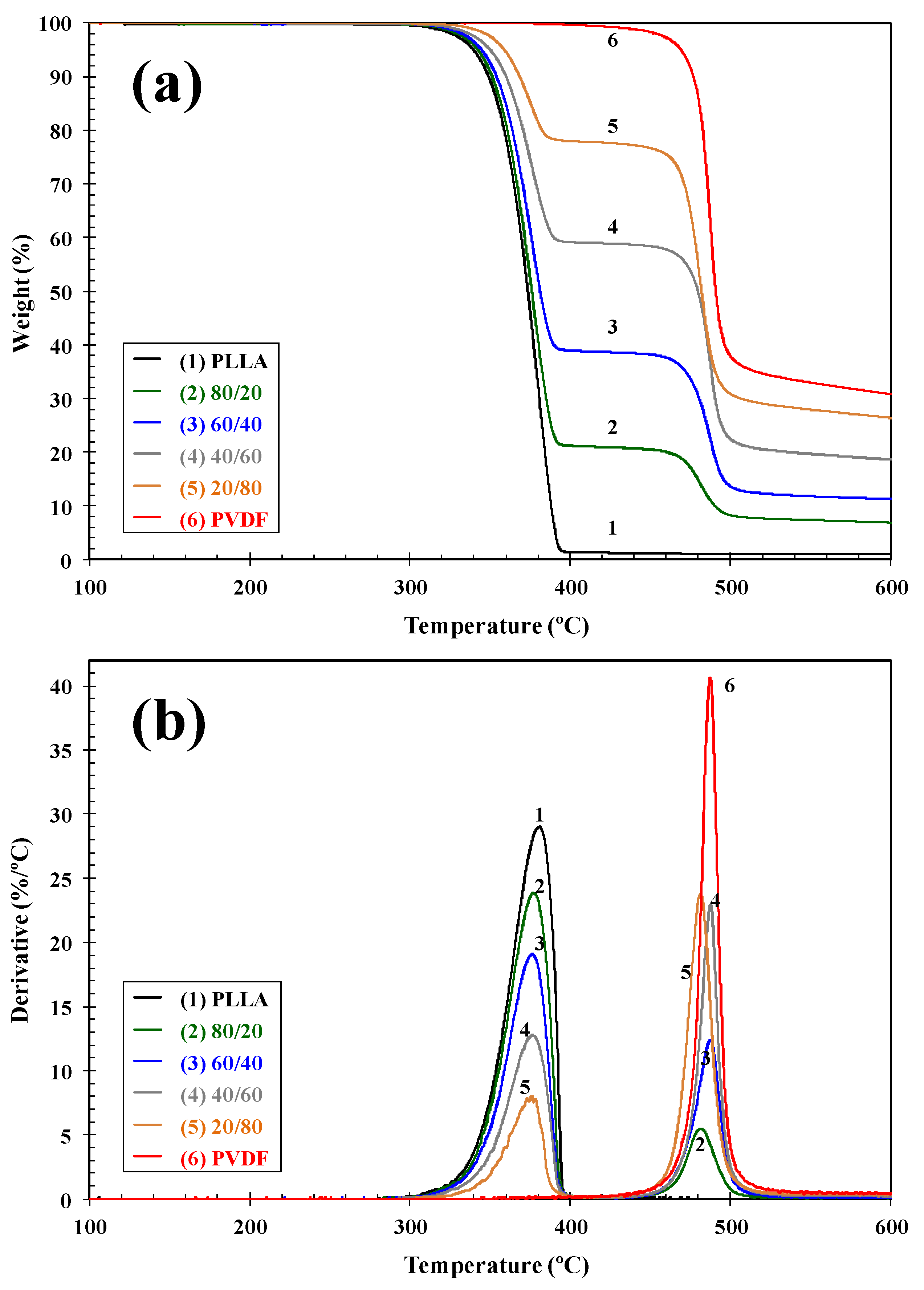
3.2. Thermal Stability
3.3. Crystallization Behavior
3.4. Melting Behavior
3.5. Dynamic Mechanical Analysis
4. Conclusions
Funding
Institutional Review Board Statement
Informed Consent Statement
Data Availability Statement
Acknowledgments
Conflicts of Interest
References
- Drumright, R.E.; Gruber, P.R.; Henton, D.E. Polylactic acid technology. Adv. Mater. 2000, 12, 1841–1846. [Google Scholar] [CrossRef]
- Sinclair, R.G. The case for the polylactic acid as a commodity packaging plastic. Pure Appl. Chem. A 1996, 33, 585–597. [Google Scholar] [CrossRef]
- Lim, L.T.; Auras, R.; Rubino, M. Processing technologies for poly(lactic acid). Prog. Polym. Sci. 2008, 33, 820–852. [Google Scholar] [CrossRef]
- Rhim, J.W.; Mohanty, A.K.; Singh, S.P.; Ng, P.K.W. Effect of the processing methods on the performance of polylactide films: Thermocompression versus solvent casting. J. Appl. Polym. Sci. 2006, 101, 3736–3742. [Google Scholar] [CrossRef]
- Pan, P.; Shan, G.; Bao, Y. Enhanced nucleation and crystallization of poly(l-lactic acid) by immiscible blending with poly(vinylidene fluoride). Ind. Eng. Chem. Res. 2014, 53, 3148–3156. [Google Scholar] [CrossRef]
- Anderson, K.S.; Hillmyer, M.A. The influence of block copolymer microstructure on the toughness of compatibilized polylactide/polyethylene blends. Polymer 2004, 45, 8809–8823. [Google Scholar] [CrossRef]
- Girija, B.G.; Sailaja, R.R.N.; Madras, G. Thermal degradation and mechanical properties of PET blends. Polymer 2005, 90, 147–153. [Google Scholar] [CrossRef]
- Reddy, N.; Nama, D.; Yang, Y. Polylactic acid/polypropylene polyblend fibers for better resistance to degradation. Polym. Degrad. Stab. 2008, 93, 233–241. [Google Scholar] [CrossRef]
- Rasal, R.M.; Janrkor, A.V.; Hirt, D.E. Poly(lactic acid) modifications. Prog. Polym. Sci. 2010, 35, 338–356. [Google Scholar] [CrossRef]
- Fryczkowski, R.; Fryczkowska, B.; Binias, W.; Janicki, J. Morphology of fibrous composites of PLA and PVDF. Compos. Sci. Technol. 2013, 89, 186–193. [Google Scholar] [CrossRef]
- Mazzei, R.; Smolko, E.; Tadey, D.; Gizzi, L. Radiation grafting of NIPAAm on PVDF nuclear track membranes. Nucl. Instrum. Methods B 2000, 170, 419–426. [Google Scholar] [CrossRef]
- Zheng, J.; He, A.; Li, J.; Han, C.C. Polymorphism control of poly(vinylidene fluoride) through electrospinning. Macromol. Rapid Commun. 2007, 28, 2159–2162. [Google Scholar] [CrossRef]
- Rodrigues, M.T.; Gomes, M.E.; Mano, J.F.; Reis, R.L. PVDF membranes induce cellular proliferation and differentiation in static and dynamic conditions. Mater. Sci. Forum 2008, 587, 72–76. [Google Scholar] [CrossRef]
- Chen, H.C.; Tsai, C.H.; Yang, M.C. Mechanical properties and biocompatibility of electrospun polylactide/poly(vinylidene fluoride) mats. J. Polym. Res. 2011, 18, 319–327. [Google Scholar] [CrossRef]
- Xie, Q.; Ke, K.; Jiang, W.R.; Yang, W.; Liu, Z.Y.; Xie, B.H.; Yang, M.B. Role of poly(lactic acid) in the phase transition of poly(vinylidene fluoride) under uniaxial stretching. J. Appl. Polym. Sci. 2013, 129, 1686–1696. [Google Scholar] [CrossRef]
- Zeng, J.B.; Li, K.A.; Du, A.K. Compatibilization strategies in poly(lactic acid)-based blends. RSC Adv. 2015, 5, 32546–32565. [Google Scholar] [CrossRef]
- Mohd Nurazzi, N.; Asyraf, M.R.M.; Khalina, A.; Abdullah, N.; Sabaruddin, F.A.; Kamarudin, S.H.; Ahmad, S.; Mahat, A.M.; Lee, C.L.; Aisyah, H.A.; et al. Fabrication, Functionalization, and application of carbon nanotube-reinforced polymer composite: An Overview. Polymers 2021, 13, 1047. [Google Scholar] [CrossRef]
- Yu, C.; Hu, K.; Yang, Q.; Wang, D.; Zhang, W.; Chen, G.; Kapyelata, C. Analysis of the storage stability property of carbon nanotube/recycled polyethylene-modified asphalt using molecular dynamics simulations. Polymers 2021, 13, 1658. [Google Scholar] [CrossRef] [PubMed]
- Bertolino, V.; Cavallaro, G.; Milioto, S.; Lazzara, G. Polysaccharides/halloysite nanotubes for smart bionanocomposite materials. Carbohydr. Polym. 2020, 245, 116502. [Google Scholar] [CrossRef] [PubMed]
- Lisuzzo, L.; Cavallaro, G.; Milioto, S.; Lazzara, G. Halloysite nanotubes coated by chitosan for the controlled release of khellin. Polymers 2020, 12, 1766. [Google Scholar] [CrossRef]
- Tenne, R.; Redlich, M. Recent progress in the research of inorganic fullerene-like nanoparticles and inorganic nanotubes. Chem. Soc. Rev. 2010, 39, 1423–1434. [Google Scholar] [CrossRef]
- Naffakh, M.; Díez-Pascual, A.M.; Marco, C.; Ellis, G.; Gómez-Fatou, M.A. Opportunities and challenges in the use of inorganic fullerene-like nanoparticles to produce advanced polymer nanocomposites. Prog. Polym. Sci. 2013, 38, 1163–1231. [Google Scholar] [CrossRef] [Green Version]
- Naffakh, M.; Díez-Pascual, A.M. Thermoplastic polymer nanocomposites based on inorganic fullerene-like nanoparticles and inorganic nanotubes. Inorganics 2014, 2, 291–312. [Google Scholar] [CrossRef] [Green Version]
- Rao, C.N.R.; Maitra, U.; Waghmare, U.V. Extraordinary attributes of 2-dimensional MoS2 nanosheets. Chem. Phys. Lett. 2014, 609, 172–183. [Google Scholar] [CrossRef]
- Naffakh, M.; Fernández, M.; Shuttleworth, P.S.; Garcia, A.M.; Moreno, D.A. Nanocomposite materials with poly(l-lactic acid) and transition-metal dichalcogenide nanosheets 2D-TMDCs WS2. Polymers 2020, 12, 2699. [Google Scholar] [CrossRef] [PubMed]
- Zak, A.; Sallacan Ecker, L.; Fleischer, N.; Tenne, R. Large-scale synthesis of WS2 multiwall nanotubes and their dispersion, an Update. Sens. Transducers. J. 2011, 12, 1–10. [Google Scholar]
- Lalwani, G.; Henslee, A.M.; Farshid, B.; Parmar, P.; Lin, L.; Qin, Y.X.; Kasper, F.K.; Mikos, A.G.; Sitharaman, B. Tungsten disulfide nanotubes reinforced biodegradable polymers for bone tissue engineering. Acta Biomater. 2013, 9, 8365–8373. [Google Scholar] [CrossRef] [Green Version]
- Naffakh, M.; Marco, C.; Ellis, G.; Cohen, S.R.; Laikhtman, A.; Rapoport, L.; Zak, A. Novel poly(3-hydroxybutyrate) nanocomposites containing WS2 inorganic nanotubes with improved thermal, mechanical and tribological properties. Mater. Chem. Phys. 2014, 147, 273–284. [Google Scholar] [CrossRef] [Green Version]
- Naffakh, M.; Díez-Pascual, A.M. Nanocomposite biomaterials based on poly(etherether-ketone) (PEEK) and WS2 inorganic nanotubes. J. Mater. Chem. B 2014, 2, 4509–4520. [Google Scholar] [CrossRef] [Green Version]
- Naffakh, M.; Marco, C.; Ellis, G. Development of novel melt-processable biopolymer nanocomposites based on poly(L-lactic acid) and WS2 inorganic nanotubes. CrystEngComm 2013, 16, 5062–5072. [Google Scholar] [CrossRef] [Green Version]
- Pardo, M.; Shuster-Meiseles, T.; Levin-Zaidman, S.; Rudich, A.; Rudich, Y. Low cytotoxicity of inorganic nanotubes and fullerene-like nanostructures in human bronchial epithelial cells: Relation to inflammatory gene induction and antioxidant response. Environ. Sci. Technol. 2014, 48, 3457–3466. [Google Scholar] [CrossRef] [PubMed]
- Goldman, E.B.; Zak, A.; Tenne, R.; Kartvelishvily, E.; Levin-Zaidman, S.; Neumann, Y.; Stiubea-Cohen, R.; Palmon, A.; Hovav, A.H.; Aframian, D.J. Biocompatibility of tungsten disulfide inorganic nanotubes and fullerene-like nanoparticles with salivary gland cells. Tissue Eng. Part A 2015, 21, 1013–1023. [Google Scholar] [CrossRef]
- Naffakh, M.; Diez-Pascual, A.M.; Marco, C. Polymer blend nanocomposites based on poly(L-lactic acid), polypropylene and WS2 inorganic nanotubes. RSC Adv. 2016, 6, 40033–40044. [Google Scholar] [CrossRef] [Green Version]
- Wu, D.; Zhang, Y.; Zhang, M.; Yu, W. Selective Localization of multiwalled carbon nanotubes in poly(ε-caprolactone)/polylactide blend. Biomacromolecules 2009, 10, 417–424. [Google Scholar] [CrossRef] [PubMed]
- Chen, G.X.; Chen, H.S.; Kim, E.S.; Yoon, J.S. Compatibilization-like effect of reactive organoclay on the poly(l-lactide)/poly(butylene succinate) blends. Polymer 2005, 46, 11829–11836. [Google Scholar] [CrossRef]
- Odent, J.; Habibi, Y.; Raquez, J.M.; Dubois, P. Ultra-tough polylactide-based materials synergistically designed in the presence of rubbery e-caprolactone-based copolyester and silica nanoparticles. Compos. Sci. Technol. 2013, 84, 86–91. [Google Scholar] [CrossRef]
- Monticelli, O.; Calabrese, M.; Gardella, L.; Fina, A.; Gioffredi, E. Silsesquioxanes: Novel compatibilizing agents for tuning the microstructure and properties of PLA/PCL immiscible blends. Eur. Polym. J. 2014, 58, 69–78. [Google Scholar] [CrossRef]
- Mead, W.T.; Zacharidas, A.E.; Shimada, T.; Porter, R.S. Solid state extrusion of poly(vinylidene fluoride)—1: Ram and hydrostatic extrusion. Macromolecules 1979, 12, 473–478. [Google Scholar] [CrossRef]
- Fischer, E.W.; Sterzel, H.J.; Wegner, G. Investigation of the structure of solution grown crystals of lactide copolymers by means of chemical reactions. Kolloid-Zeitschrift und Zeitschrift für Polymere 1973, 251, 980–990. [Google Scholar] [CrossRef]
- Saeidou, S.; Huneault, M.A.; Li, H.; Park, C.B. Poly(lactic acid) crystallization. Prog. Polym. Sci. 2012, 37, 1657–1677. [Google Scholar] [CrossRef]
- Pan, P.J.; Kai, W.H.; Zhu, B.; Dong, T.; Inoue, Y. Polymorphic transition in disordered poly(l-lactide) crystals induced by annealing at elevated temperatures. Macromolecules 2008, 41, 4296–4304. [Google Scholar] [CrossRef]
- Hasegawa, R.; Takahashi, Y.; Chatani, Y.; Tadokoro, H. Crystal Structures of three crystalline forms of poly(vinyldene fluoride). Polym. J. 1972, 3, 600–610. [Google Scholar] [CrossRef] [Green Version]
- Naegele, D.; Yoon, D.Y.; Broadhurst, M.G. Formation of a new crystal form (αp) of poly(viny1idene fluoride) under electric field. Macromolecules 1978, 11, 1297–1298. [Google Scholar] [CrossRef]












| Material | Ti (°C) | T10 (°C) | Tmax (°C) | Rmax (%/°C) |
|---|---|---|---|---|
| PLLA | 325.6 | 347.0 | 381.0 | 29.01 |
| 80/20 | 327.4 | 351.9 | 378.2/480.7 | 23.85/05.34 |
| 60/40 | 332.8 | 353.7 | 376.4/488.0 | 19.00/12.21 |
| 40/60 | 338.3 | 360.0 | 377.3/488.0 | 12.75/22.97 |
| 20/80 | 346.5 | 368.2 | 375.5/481.6 | 8.02/23.73 |
| PVDF | 420.9 | 453.5 | 478.4 | 40.34 |
| PLLA-INT | 325.8 | 349.0 | 377.4 | 29.39 |
| 80/20-INT | 327.4 | 351.9 | 378.0/489.2 | 22.61/05.58 |
| 60/40-INT | 330.2 | 352.0 | 377.1/485.3 | 18.39/09.34 |
| 40/60-INT | 336.4 | 358.3 | 374.8/482.0 | 13.27/14.96 |
| 20/80-INT | 344.8 | 367.1 | 371.9/476.5 | 6.95/23.86 |
| PVDF-INT | 396.6 | 437.0 | 454.5 | 17.68 |
| Material | Tc, PLLA (°C) | ∆Hc, PLLA (J/g) | Tc, PVDF (°C) | ∆Hc, PVDF (J/g) | Tcc, PLLA (°C) | ∆Hcc (J/g) | Tm (°C) | ∆Hm (J/g) |
|---|---|---|---|---|---|---|---|---|
| PLLA | 92.2 | 8.0 | - | - | 104.2 | 27.9 | 166.1 | 47.4 |
| 80/20 | 111.3 | 43.4 | 133.8 | - | - | - | 161.0/166.9 | 53.0 |
| 60/40 | 114.1 | 41.6 | 130.0 | - | - | - | 164.5/139.9 | 56.0 |
| 40/60 | 113.3 | 13.0 | 134.5 | 25.1 | - | - | 169.0 | 45.4 |
| 20/80 | 114.8 | 8.0 | 134.0 | 36.4 | - | - | 166.0/168.7 | 46.8 |
| PVDF | - | - | 133.1 | 48.4 | - | - | 166.2/169.3 | 48.9 |
| PLLA-INT | 117.6 | 49.1 | - | - | - | - | 163.9/168.3 | 52.2 |
| 80/20-INT | 112.5 | 54.6 | 130.6 | - | - | - | 164.0/169.4 | 49.2 |
| 60/40-INT | 114.5 | 23.9 | 134.3 | 4.3 | - | - | 164.2/169.2 | 54.4 |
| 40/60-INT | 109.6 | 16.7 | 134.1 | 29.0 | - | - | 166.4/170.2 | 44.4 |
| 20/80-INT | 115.0 | 5.8 | 133.3 | 37.9 | - | - | 166.4/169.0 | 48.4 |
| PVDF-INT | - | - | 134.6 | 48.0 | - | - | 169.8 | 47.2 |
| Material | E′25°C (GPa) | Tg, PVDF (°C) | Tg, PLLA (°C) |
|---|---|---|---|
| PLLA | 3127 | - | 55 |
| 80/20 | 2274 | - | 54 |
| 60/40 | 2055 | −36 | 57 |
| 40/60 | 1985 | −37 | 54 |
| 20/80 | 1776 | −38 | 50 |
| PVDF | 1560 | −37 | - |
| PLLA-INT | 3640 | - | 54 |
| 80/20-INT | 2886 | −37 | 53 |
| 60/40-INT | 2415 | −35 | 53 |
| 40/60-INT | 2293 | −39 | 56 |
| 20/80-INT | 2154 | −37 | - |
| PVDF-INT | 1923 | −37 | - |
Publisher’s Note: MDPI stays neutral with regard to jurisdictional claims in published maps and institutional affiliations. |
© 2021 by the author. Licensee MDPI, Basel, Switzerland. This article is an open access article distributed under the terms and conditions of the Creative Commons Attribution (CC BY) license (https://creativecommons.org/licenses/by/4.0/).
Share and Cite
Naffakh, M. Nanocomposite Materials Based on TMDCs WS2 Modified Poly(l-Lactic Acid)/Poly(Vinylidene Fluoride) Polymer Blends. Polymers 2021, 13, 2179. https://doi.org/10.3390/polym13132179
Naffakh M. Nanocomposite Materials Based on TMDCs WS2 Modified Poly(l-Lactic Acid)/Poly(Vinylidene Fluoride) Polymer Blends. Polymers. 2021; 13(13):2179. https://doi.org/10.3390/polym13132179
Chicago/Turabian StyleNaffakh, Mohammed. 2021. "Nanocomposite Materials Based on TMDCs WS2 Modified Poly(l-Lactic Acid)/Poly(Vinylidene Fluoride) Polymer Blends" Polymers 13, no. 13: 2179. https://doi.org/10.3390/polym13132179
APA StyleNaffakh, M. (2021). Nanocomposite Materials Based on TMDCs WS2 Modified Poly(l-Lactic Acid)/Poly(Vinylidene Fluoride) Polymer Blends. Polymers, 13(13), 2179. https://doi.org/10.3390/polym13132179

