Application of Magnetic Concentrator for Improvement in Rapid Temperature Cycling Technology
Abstract
1. Introduction
2. Materials and Methods
- Temperature T;
- Vector of the heat flux density F = −λ grad T
- Heat flux through an arbitrary closed or unclosed surface:
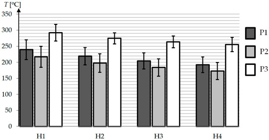
- the geometry of the heated mold: P1—steel block; P2—aluminum block + steel insert, P3—aluminum block + steel insert + magnetic concentrator
- coil distance from the heated surface H in the range from 1 mm to 4 mm (range selected so that the heating is both technologically possible and efficient): P1, P2, P3
- presence of the concentrator, number of coils: P2, P3
- number of coils from 2 to 5: P2, P3
- insert material (Table 1): P2
3. Results
4. Discussion
- The dynamics of the induction heating process closely depend on the distance of the inductor from the heated surface, the number of coils, the distance between the coils, the presence of the concentrator, and the material used for the inserts.
- Induction heating of selected cavity surfaces enables efficient and energy-saving injection process with rapid temperature changes of the injection mold where with the presence of the magnetic concentrator the temperature rise of 200 °C can be achieved in 3–4 s. Without the magnetic concentrator, the time of heating can last even 9 s.
- The distribution of the temperature on the surface of the heated block was similar for all tested geometries. The difference was visible at maximum and average temperatures, as well as uniformity of heating. As the average temperature increased, an increase in dispersion measured by standard deviation was observed.
- During testing the influence of the inductor distance from the front of the heated surface on process efficiency, the highest temperature was recorded for the smallest of the analyzed distances—1 mm. In turn, the most uniform temperature distribution on the surface was obtained in the case of a gap of 4 mm (with the increase in distance the average temperature of the heated surface and the unevenness of heating decreased).
- There were higher average temperatures observed for the solid insert (P1) than for the bimetallic insert (P2) which may mean that a larger volume of ferromagnetic material has a positive effect on temperature increase.
- The construction of the bimetallic mold allows heating only those surfaces that are responsible for molding the pieces in the injection process (mold insert made of ferromagnetic material, mold body made of paramagnetic material).
- The temperature change was measured as a function of the heating time, where the largest increase in temperature at the point was observed in the first second. In subsequent seconds the temperature increase is significantly smaller and decreases with each second, which is related to the phenomenon of heat conduction. The temperature increase is present up to the Curie temperature, where the induction heating process is stopped.
- The number of coils has a significant impact on both the average and maximum heating temperatures. An irregular relationship between the maximum temperature and the number of coils was observed. It turns out that for 2 coils a higher maximum temperature was obtained than for 3 coils.
- The use of magnetic field concentrators significantly affects the efficiency of the heating process and allows for obtaining much higher temperatures compared to the inductors without concentrators.
- The contour plots can be used to optimize process parameters to obtain proper temperature distribution at the cavity surface.
Author Contributions
Funding
Institutional Review Board Statement
Informed Consent Statement
Data Availability Statement
Conflicts of Interest
References
- Mrozek, K.; Muszyński, P.; Poszwa, P. Influence of induction heating of injection molds on reliability of electrical connectors. Ekspolatacja Niezawodn. Maint. Reliab. 2020, 22, 676–683. [Google Scholar] [CrossRef]
- Białasz, S.; Klepka, T. Simulation of the medical syringe injection moulding process. MATEC Web Conf. 2019, 252, 05016. [Google Scholar] [CrossRef]
- Klepka, T.; Zaprawa, P. The Influence of the Shape of a Polymer Wall on Selected Mechanical Properties. Appl. Mech. Mater. 2015, 791, 211–216. [Google Scholar] [CrossRef]
- Poszwa, P.; Szostak, M. Deformation simulations of plastic parts with consideration of assembly constraints. Mechanik 2017, 90, 1190–1192. [Google Scholar] [CrossRef]
- Sykutera, D.; Czyżewski, P.; Kościuszko, A.; Szewczykowski, P.; Wajer, Ł.; Bieliński, M. Monitoring of the injection and holding phases by using a modular injection mold. J. Polym. Eng. 2018, 38, 63–71. [Google Scholar] [CrossRef]
- Berger, G.R.; Gruber, D.P.; Friesenbichler, W.; Teichert, C.; Burgsteiner, M. Replication of Stochastic and Geometric Micro Structures—Aspects of Visual Appearance. Int. Polym. Process. 2011, 26, 313–322. [Google Scholar] [CrossRef]
- Mrozek, K.; Chen, S. Selective induction heating to eliminate the fundamental defects of thin-walled moldings used in electrical industry. J. Appl. Polym. Sci. 2017, 134. [Google Scholar] [CrossRef]
- Mrozek, K.; Poszwa, P.; Muszyński, P. Numerical study on the influence of Rapid Temperature Cycling (RTC) on polymer flow at maximum injection pressure. Numer. Heat Transfer Part A Appl. 2020, 77, 821–839. [Google Scholar] [CrossRef]
- Poszwa, P.; Muszyński, P.; Mrozek, K. Numerical study on the influence of RHCM on the basic parameters of filling the cavity. CIRP J. Manuf. Sci. Technol. 2020, 30, 94–104. [Google Scholar] [CrossRef]
- Xie, P.; Yang, H.; Zhao, Y.; Yu, W.; Cheng, L.; Yang, W.; Yan, H.; Tan, J. Carbide-bonded graphene coating of mold insert for rapid thermal cycling in injection molding. Appl. Therm. Eng. 2017, 122, 19–26. [Google Scholar] [CrossRef]
- Szostak, M.; Krzywdzińska, P.; Barczewski, M. MuCell® and InduMold technologies in production of high quality automotive parts from polymer materials. Polimery 2018, 63, 145–152. [Google Scholar] [CrossRef]
- Jeng, M.-C.; Chen, S.-C.; Minh, P.S.; Chang, J.-A.; Chung, C.-S. Rapid mold temperature control in injection molding by using steam heating. Int. Commun. Heat Mass Transf. 2010, 37, 1295–1304. [Google Scholar] [CrossRef]
- Li, X.-P.; Gong, N.-N.; Guan, Y.-J.; Cheng, G.-M. Thermal and stress analysis of rapid electric heating injection mold for a large LCD TV panel. Appl. Therm. Eng. 2011, 31, 3989–3995. [Google Scholar] [CrossRef]
- Wang, G.; Zhao, G.; Wang, X. Development and evaluation of a new rapid mold heating and cooling method for rapid heat cycle molding. Int. J. Heat Mass Transf. 2014, 78, 99–111. [Google Scholar] [CrossRef]
- Xiao, C.-L.; Huang, H.-X. Optimal design of heating system in rapid thermal cycling blow mold by a two-step method based on sequential quadratic programming. Int. Commun. Heat Mass Transf. 2018, 96, 114–121. [Google Scholar] [CrossRef]
- Kria, F.; Hammami, M.; Baccar, M. Conformal heating/cooling channels design in rapid heat cycle molding process. Mech. Ind. 2017, 18, 109. [Google Scholar] [CrossRef]
- Shih, S.-Y.; Nian, S.-C.; Huang, M.-S. Comparison between single- and multiple-zone induction heating of largely curved mold surfaces. Int. Commun. Heat Mass Transf. 2016, 75, 24–35. [Google Scholar] [CrossRef]
- Mrozek, K. Simulation Study of Induction Heating of Multi-Metallic Injection Moulds. Int. J. Simul. Model. 2018, 17, 220–230. [Google Scholar] [CrossRef]
- Nian, S.-C.; Huang, M.-S.; Tsai, T.-H. Enhancement of induction heating efficiency on injection mold surface using a novel magnetic shielding method. Int. Commun. Heat Mass Transf. 2014, 50, 52–60. [Google Scholar] [CrossRef]
- Bociąga, E. Wpływ temperatury formy wtryskowej i prędkości wtryskiwania na wybrane właściwości wyprasek polietylenowych. Polimery 2000, 11–12, 830–836. [Google Scholar]
- Bociąga, E.; Kaptacz, S.; Duda, P.; Rudawska, A. The influence of the type of polypropylene and the length of the flow path on the structure and properties of injection molded parts with the weld lines. Polym. Eng. Sci. 2019, 59, 1710–1718. [Google Scholar] [CrossRef]
- Wu, C.-H.; Liang, W.-J. Effects of geometry and injection-molding parameters on weld-line strength. Polym. Eng. Sci. 2005, 45, 1021–1030. [Google Scholar] [CrossRef]
- Chen, C.-S.; Chen, T.-J.; Chien, R.-D.; Chen, S.-C. Investigation on the weldline strength of thin-wall injection molded ABS parts. Int. Commun. Heat Mass Transf. 2007, 34, 448–455. [Google Scholar] [CrossRef]
- Meister, S.; Seefried, A.; Drummer, D. Replication quality of micro structures in injection moulded thin wall parts using rapid tooling moulds. Microsyst. Technol. 2016, 22, 687–698. [Google Scholar] [CrossRef]
- Chen, S.-C.; Jong, W.-R.; Chang, J.-A. Dynamic mold surface temperature control using induction heating and its effects on the surface appearance of weld line. J. Appl. Polym. Sci. 2006, 101, 1174–1180. [Google Scholar] [CrossRef]
- Gim, J.; Han, E.; Rhee, B.; Friesenbichler, W.; Gruber, D.P. Causes of the Gloss Transition Defect on High-Gloss Injection-Molded Surfaces. Polymers 2020, 12, 2100. [Google Scholar] [CrossRef] [PubMed]
- Liparoti, S.; Speranza, V.; Titomanlio, G.; Pantani, R. Effect of Rapid Mold Heating on the Structure and Performance of Injection-Molded Polypropylene. Polymers 2020, 12, 341. [Google Scholar] [CrossRef] [PubMed]
- Huang, P.-W.; Peng, H.-S.; Choong, W.-H. Mold-Face Heating Mechanism, Overflow-Well Design, and Their Effect on Surface Weldline and Tensile Strength of Long-Glass-Fiber-Reinforced Polypropylene Injection Molding. Polymers 2020, 12, 2474. [Google Scholar] [CrossRef] [PubMed]
- Fluxtrol. Available online: www.fluxtrol.com (accessed on 2 October 2020).
- Abbaszadeh, M.; Dehghan, M.; Khodadadian, A.; Noii, N.; Heitzinger, C.; Wick, T. A reduced-order variational multiscale interpolating element free Galerkin technique based on proper orthogonal decomposition for solving Navier–Stokes equations coupled with a heat transfer equation: Nonstationary incompressible Boussinesq equations. J. Comput. Phys. 2020. [Google Scholar] [CrossRef]
- Khodadadian, A.; Noii, N.; Parvizi, M.; Abbaszadeh, M.; Wick, T.; Heitzinger, C. A Bayesian estimation method for variational phase-field fracture problems. Comput. Mech. 2020, 66, 827–849. [Google Scholar] [CrossRef] [PubMed]
- Khodadadian, A.; Parvizi, M.; Heitzinger, C. An adaptive multilevel Monte Carlo algorithm for the stochastic drift–diffusion–Poisson system. Comput. Methods Appl. Mech. Eng. 2020, 368, 113163. [Google Scholar] [CrossRef]
- Guerrier, P.; Tosello, G.; Nielsen, K.K.; Hattel, J.H. Three-dimensional numerical modeling of an induction heated injection molding tool with flow visualization. Int. J. Adv. Manuf. Technol. 2015, 85, 643–660. [Google Scholar] [CrossRef]















| Material | Steel1.2343 | Aluminum 7075 | Fluxtrol A | Copper | Water | Air |
|---|---|---|---|---|---|---|
| Permeability μr | 55 | 1 | 130 | 1 | 1 | 1 |
| Electrical conductivity σ | 107 | 3 × 107 | 5 × 10−5 | 5.6 × 107 | 2 × 10−4 | 5 × 10−15 |
| Thermal conductivity K | 45 | 150 | 23 | 380 | 0.58 | 0.025 |
| Density ρ | 7.8 | 2.7 | 6.6 | 8.7 | 1 | 0.001 |
| Specific heat C | 460 | 850 | 430 | 380 | 4190 | 1005 |
| Parameter | Value |
|---|---|
| Current I [A]: | 1420 |
| Initial temperature [°C]: | 50 |
| Frequency [kHz]: | 22 |
| Heating time t [s]: | 10 |
| Distance from cavity surface H [mm] | 1 |
| Number of coils n [-] | 5 |
| Basic geometry P [-] | P2 type |
| Length of measured distance [mm] | 70 total, symmetrically from the center of the part |
Publisher’s Note: MDPI stays neutral with regard to jurisdictional claims in published maps and institutional affiliations. |
© 2020 by the authors. Licensee MDPI, Basel, Switzerland. This article is an open access article distributed under the terms and conditions of the Creative Commons Attribution (CC BY) license (http://creativecommons.org/licenses/by/4.0/).
Share and Cite
Mrozek, K.; Muszyński, P.; Poszwa, P. Application of Magnetic Concentrator for Improvement in Rapid Temperature Cycling Technology. Polymers 2021, 13, 91. https://doi.org/10.3390/polym13010091
Mrozek K, Muszyński P, Poszwa P. Application of Magnetic Concentrator for Improvement in Rapid Temperature Cycling Technology. Polymers. 2021; 13(1):91. https://doi.org/10.3390/polym13010091
Chicago/Turabian StyleMrozek, Krzysztof, Paweł Muszyński, and Przemysław Poszwa. 2021. "Application of Magnetic Concentrator for Improvement in Rapid Temperature Cycling Technology" Polymers 13, no. 1: 91. https://doi.org/10.3390/polym13010091
APA StyleMrozek, K., Muszyński, P., & Poszwa, P. (2021). Application of Magnetic Concentrator for Improvement in Rapid Temperature Cycling Technology. Polymers, 13(1), 91. https://doi.org/10.3390/polym13010091

