Macromolecular Engineering by Applying Concurrent Reactions with ATRP
Abstract
1. Introduction
2. Concurrent Reactions Used Together with ATRP
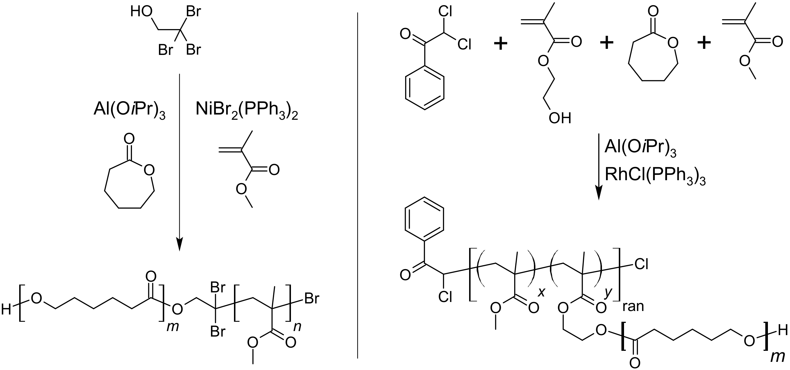
2.1. Concurrent ATRP and ROP
2.2. Concurrent ATRP and ROMP
2.3. Concurrent ATRP and RAFT
2.4. Concurrent ATRP and ATRA Step-Growth Polymerization
2.5. Concurrent ATRP and CuAAC Click Chemistry
2.6. Concurrent ATRP and Side Group Modification
3. Future Research Directions
4. Summary
Author Contributions
Funding
Conflicts of Interest
References
- Matyjaszewski, K. Macromolecular engineering: From rational design through precise macromolecular synthesis and processing to targeted macroscopic material properties. Prog. Polym. Sci. 2005, 30, 858–875. [Google Scholar] [CrossRef]
- Lutz, J.F.; Lehn, J.M.; Meijer, E.W.; Matyjaszewski, K. From precision polymers to complex materials and systems. Nat. Rev. Mater. 2016, 1, 16024. [Google Scholar] [CrossRef]
- Hadjichristidis, N.; Iatrou, H.; Pitsikalis, M.; Mays, J. Macromolecular architectures by living and controlled/living polymerizations. Prog. Polym. Sci. 2006, 31, 1068–1132. [Google Scholar] [CrossRef]
- Iha, R.K.; Wooley, K.L.; Nyström, A.M.; Burke, D.J.; Kade, M.J.; Hawker, C.J. Applications of Orthogonal “Click” Chemistries in the Synthesis of Functional Soft Materials. Chem. Rev. 2009, 109, 5620–5686. [Google Scholar] [CrossRef]
- De Greef, T.F.A.; Smulders, M.M.J.; Wolffs, M.; Schenning, A.P.H.J.; Sijbesma, R.P.; Meijer, E.W. Supramolecular Polymerization. Chem. Rev. 2009, 109, 5687–5754. [Google Scholar] [CrossRef]
- Yang, L.; Tan, X.; Wang, Z.; Zhang, X. Supramolecular Polymers: Historical Development, Preparation, Characterization, and Functions. Chem. Rev. 2015, 115, 7196–7239. [Google Scholar] [CrossRef]
- Li, S.L.; Xiao, T.; Lin, C.; Wang, L. Advanced supramolecular polymers constructed by orthogonal self-assembly. Chem. Soc. Rev. 2012, 41, 5950. [Google Scholar] [CrossRef]
- Lu, Y.; Lin, J.; Wang, L.; Zhang, L.; Cai, C. Self-Assembly of Copolymer Micelles: Higher-Level Assembly for Constructing Hierarchical Structure. Chem. Rev. 2020, 120, 4111–4140. [Google Scholar] [CrossRef]
- Matyjaszewski, K.; Xia, J. Atom Transfer Radical Polymerization. Chem. Rev. 2001, 101, 2921–2990. [Google Scholar] [CrossRef]
- Kamigaito, M.; Ando, T.; Sawamoto, M. Metal-Catalyzed Living Radical Polymerization. Chem. Rev. 2001, 101, 3689–3746. [Google Scholar] [CrossRef]
- Tsarevsky, N.V.; Matyjaszewski, K. “Green” Atom Transfer Radical Polymerization: From Process Design to Preparation of Well-Defined Environmentally Friendly Polymeric Materials. Chem. Rev. 2007, 107, 2270–2299. [Google Scholar] [CrossRef] [PubMed]
- Ouchi, M.; Terashima, T.; Sawamoto, M. Transition Metal-Catalyzed Living Radical Polymerization: Toward Perfection in Catalysis and Precision Polymer Synthesis. Chem. Rev. 2009, 109, 4963–5050. [Google Scholar] [CrossRef] [PubMed]
- Braunecker, W.A.; Matyjaszewski, K. Controlled/living radical polymerization: Features, developments, and perspectives. Prog. Polym. Sci. 2007, 32, 93–146. [Google Scholar] [CrossRef]
- Coessens, V.; Pintauer, T.; Matyjaszewski, K. Functional polymers by atom transfer radical polymerization. Prog. Polym. Sci. 2001, 26, 337–377. [Google Scholar] [CrossRef]
- Matyjaszewski, K.; Tsarevsky, N.V. Nanostructured functional materials prepared by atom transfer radical polymerization. Nat. Chem. 2009, 1, 276–288. [Google Scholar] [CrossRef]
- Matyjaszewski, K.; Tsarevsky, N.V. Macromolecular Engineering by Atom Transfer Radical Polymerization. J. Am. Chem. Soc. 2014, 136, 6513–6533. [Google Scholar] [CrossRef]
- Yagci, Y.; Atilla Tasdelen, M. Mechanistic transformations involving living and controlled/living polymerization methods. Prog. Polym. Sci. 2006, 31, 1133–1170. [Google Scholar] [CrossRef]
- Bernaerts, K.V.; Du Prez, F.E. Dual/heterofunctional initiators for the combination of mechanistically distinct polymerization techniques. Prog. Polym. Sci. 2006, 31, 671–722. [Google Scholar] [CrossRef]
- Golas, P.L.; Matyjaszewski, K. Marrying click chemistry with polymerization: Expanding the scope of polymeric materials. Chem. Soc. Rev. 2010, 39, 1338–1354. [Google Scholar] [CrossRef]
- Pearson, S.; Thomas, C.S.; Guerrero-Santos, R.; D’Agosto, F. Opportunities for dual RDRP agents in synthesizing novel polymeric materials. Polym. Chem. 2017, 8, 4916–4946. [Google Scholar] [CrossRef]
- Di Lena, F.; Matyjaszewski, K. Transition metal catalysts for controlled radical polymerization. Prog. Polym. Sci. 2010, 35, 959–1021. [Google Scholar] [CrossRef]
- Wang, Y.; Zhong, M.; Zhang, Y.; Magenau, A.J.D.; Matyjaszewski, K. Halogen Conservation in Atom Transfer Radical Polymerization. Macromolecules 2012, 45, 8929–8932. [Google Scholar] [CrossRef]
- Jakubowski, W.; Matyjaszewski, K. Activators Regenerated by Electron Transfer for Atom-Transfer Radical Polymerization of (Meth)acrylates and Related Block Copolymers. Angew. Chem. Int. Ed. 2006, 45, 4482–4486. [Google Scholar] [CrossRef]
- Wang, Y.; Zhang, Y.; Parker, B.; Matyjaszewski, K. ATRP of MMA with ppm Levels of Iron Catalyst. Macromolecules 2011, 44, 4022–4025. [Google Scholar] [CrossRef]
- Matyjaszewski, K.; Jakubowski, W.; Min, K.; Tang, W.; Huang, J.; Braunecker, W.A.; Tsarevsky, N.V. Diminishing catalyst concentration in atom transfer radical polymerization with reducing agents. Proc. Natl. Acad. Sci. USA 2006, 103, 15309–15314. [Google Scholar] [CrossRef]
- Mukumoto, K.; Wang, Y.; Matyjaszewski, K. Iron-Based ICAR ATRP of Styrene with ppm Amounts of FeIIIBr3 and 1, 1′-Azobis(cyclohexanecarbonitrile). ACS Macro Lett. 2012, 1, 599–602. [Google Scholar] [CrossRef]
- Zhang, Y.; Wang, Y.; Matyjaszewski, K. ATRP of Methyl Acrylate with Metallic Zinc, Magnesium, and Iron as Reducing Agents and Supplemental Activators. Macromolecules 2011, 44, 683–685. [Google Scholar] [CrossRef]
- Konkolewicz, D.; Wang, Y.; Zhong, M.; Krys, P.; Isse, A.A.; Gennaro, A.; Matyjaszewski, K. Reversible-Deactivation Radical Polymerization in the Presence of Metallic Copper. A Critical Assessment of the SARA ATRP and SET-LRP Mechanisms. Macromolecules 2013, 46, 8749–8772. [Google Scholar] [CrossRef]
- Konkolewicz, D.; Wang, Y.; Krys, P.; Zhong, M.; Isse, A.A.; Gennaro, A.; Matyjaszewski, K. SARA ATRP or SET-LRP. End of controversy? Polym. Chem. 2014, 5, 4409. [Google Scholar] [CrossRef]
- Magenau, A.J.D.; Strandwitz, N.C.; Gennaro, A.; Matyjaszewski, K. Electrochemically Mediated Atom Transfer Radical Polymerization. Science 2011, 332, 81–84. [Google Scholar] [CrossRef]
- Chmielarz, P.; Fantin, M.; Park, S.; Isse, A.A.; Gennaro, A.; Magenau, A.J.; Sobkowiak, A.; Matyjaszewski, K. Electrochemically mediated atom transfer radical polymerization (eATRP). Prog. Polym. Sci. 2017, 69, 47–78. [Google Scholar] [CrossRef]
- Chen, M.; Zhong, M.; Johnson, J.A. Light-Controlled Radical Polymerization: Mechanisms, Methods, and Applications. Chem. Rev. 2016, 116, 10167–10211. [Google Scholar] [CrossRef] [PubMed]
- Mohapatra, H.; Kleiman, M.; Esser-Kahn, A.P. Mechanically controlled radical polymerization initiated by ultrasound. Nat. Chem. 2016, 9, 135–139. [Google Scholar] [CrossRef]
- Pan, X.; Fantin, M.; Yuan, F.; Matyjaszewski, K. Externally controlled atom transfer radical polymerization. Chem. Soc. Rev. 2018, 47, 5457–5490. [Google Scholar] [CrossRef]
- Penczek, S.; Cypryk, M.; Duda, A.; Kubisa, P.; Słomkowski, S. Living ring-opening polymerizations of heterocyclic monomers. Prog. Polym. Sci. 2007, 32, 247–282. [Google Scholar] [CrossRef]
- Bielawski, C.W.; Grubbs, R.H. Living ring-opening metathesis polymerization. Prog. Polym. Sci. 2007, 32, 1–29. [Google Scholar] [CrossRef]
- Moad, G.; Rizzardo, E.; Thang, S.H. Living Radical Polymerization by the RAFT Process. Aust. J. Chem. 2005, 58, 379. [Google Scholar] [CrossRef]
- Moad, G.; Rizzardo, E.; Thang, S.H. Living Radical Polymerization by the RAFT Process—A First Update. Aust. J. Chem. 2006, 59, 669. [Google Scholar] [CrossRef]
- Moad, G.; Rizzardo, E.; Thang, S.H. Living Radical Polymerization by the RAFT Process—A Second Update. Aust. J. Chem. 2009, 62, 1402. [Google Scholar] [CrossRef]
- Moad, G.; Rizzardo, E.; Thang, S.H. Living Radical Polymerization by the RAFT Process—A Third Update. Aust. J. Chem. 2012, 65, 985. [Google Scholar] [CrossRef]
- Pintauer, T.; Matyjaszewski, K. Atom transfer radical addition and polymerization reactions catalyzed by ppm amounts of copper complexes. Chem. Soc. Rev. 2008, 37, 1087–1097. [Google Scholar] [CrossRef] [PubMed]
- Meldal, M.; Tomøe, C.W. Cu-catalyzed azide—Alkyne cycloaddition. Chem. Rev. 2008, 108, 2952–3015. [Google Scholar] [CrossRef] [PubMed]
- Ouchi, M.; Terashima, T.; Sawamoto, M. Precision Control of Radical Polymerization via Transition Metal Catalysis: From Dormant Species to Designed Catalysts for Precision Functional Polymers. Acc. Chem. Res. 2008, 41, 1120–1132. [Google Scholar] [CrossRef] [PubMed]
- Mecerreyes, D.; Moineau, G.; Dubois, P.; Jérôme, R.; Hedrick, J.L.; Hawker, C.J.; Malmström, E.E.; Trollsas, M. Simultaneous Dual Living Polymerizations: A Novel One-Step Approach to Block and Graft Copolymers. Angew. Chemie Int. Ed. 1998, 37, 1274–1276. [Google Scholar] [CrossRef]
- Hawker, C.J.; Hedrick, J.L.; Malmström, E.E.; Trollsås, M.; Mecerreyes, D.; Moineau, G.; Dubois, P.; Jérôme, R. Dual Living Free Radical and Ring Opening Polymerizations from a Double-Headed Initiator. Macromolecules 1998, 31, 213–219. [Google Scholar] [CrossRef]
- Degirmenci, M.; Gokkaya, C.; Durgun, M. One-step synthesis of a mid-chain functional macrophotoinitiator of a polystyrene-poly(ε-caprolactone) diblock copolymer via simultaneous ATRP and ROP using a dual-functional photoinitiator. Polym. J. 2015, 48, 139–145. [Google Scholar] [CrossRef]
- Aydogan, C.; Kutahya, C.; Allushi, A.; Yilmaz, G.; Yagci, Y. Block copolymer synthesis in one shot: Concurrent metal-free ATRP and ROP processes under sunlight. Polym. Chem. 2017, 8, 2899–2903. [Google Scholar] [CrossRef]
- Mecerreyes, D.; Trollsås, M.; Hedrick, J.L. ABC BCD Polymerization: A Self-Condensing Vinyl and Cyclic Ester Polymerization by Combination Free-Radical and Ring-Opening Techniques. Macromolecules 1999, 32, 8753–8759. [Google Scholar] [CrossRef]
- Bielawski, C.W.; Louie, J.; Grubbs, R.H. Tandem Catalysis: Three Mechanistically Distinct Reactions from a Single Ruthenium Complex. J. Am. Chem. Soc. 2000, 122, 12872–12873. [Google Scholar] [CrossRef]
- Airaud, C.; Ibarboure, E.; Gaillard, C.; Héroguez, V. Nanostructured polymer composite nanoparticles synthesized in a single step via simultaneous ROMP and ATRP under microemulsion conditions. J. Polym. Sci. Part A Polym. Chem. 2009, 47, 4014–4027. [Google Scholar] [CrossRef]
- Quémener, D.; Bousquet, A.; Héroguez, V.; Gnanou, Y. Hybrid Polymer Particles by Tandem Ring-Opening Metathesis and Atom Transfer Radical Polymerizations in Aqueous Miniemulsion. Macromolecules 2006, 39, 5589–5591. [Google Scholar] [CrossRef]
- Kwak, Y.; Matyjaszewski, K. Effect of Initiator and Ligand Structures on ATRP of Styrene and Methyl Methacrylate Initiated by Alkyl Dithiocarbamate. Macromolecules 2008, 41, 6627–6635. [Google Scholar] [CrossRef]
- Kwak, Y.; NicolaŸ, R.; Matyjaszewski, K. Synergistic Interaction Between ATRP and RAFT: Taking the Best of Each World. Aust. J. Chem. 2009, 62, 1384. [Google Scholar] [CrossRef]
- Kwak, Y.; NicolaŸ, R.; Matyjaszewski, K. Concurrent ATRP/RAFT of Styrene and Methyl Methacrylate with Dithioesters Catalyzed by Copper(I) Complexes. Macromolecules 2008, 41, 6602–6604. [Google Scholar] [CrossRef]
- NicolaŸ, R.; Kwak, Y.; Matyjaszewski, K. A Green Route to Well-Defined High-Molecular-Weight (Co)polymers Using ARGET ATRP with Alkyl Pseudohalides and Copper Catalysis. Angew. Chemie Int. Ed. 2010, 49, 541–544. [Google Scholar] [CrossRef]
- Wang, Y.; Fantin, M.; Matyjaszewski, K. Synergy between Electrochemical ATRP and RAFT for Polymerization at Low Copper Loading. Macromol. Rapid Commun. 2018, 39, 1800221. [Google Scholar] [CrossRef]
- Pan, J.; Miao, J.; Zhang, L.; Si, Z.; Zhang, C.; Cheng, Z.; Zhu, X. Iron-mediated (dual) concurrent ATRP–RAFT polymerization of water-soluble poly(ethylene glycol) monomethyl ether methacrylate. Polym. Chem. 2013, 4, 5664. [Google Scholar] [CrossRef]
- Kwak, Y.; NicolaŸ, R.; Matyjaszewski, K. A Simple and Efficient Synthesis of RAFT Chain Transfer Agents via Atom Transfer Radical Addition—Fragmentation. Macromolecules 2009, 42, 3738–3742. [Google Scholar] [CrossRef]
- Liu, X.H.; Zhang, Q.Y.; Di, W.L.; Zhang, Y.G.; Ding, C. A novel copper catalyst containing a hydroxyl functional group: A facile strategy to prepare block copolymers of vinyl monomer and ϵ-caprolactone via tandem reverse ATRP and ROP. Polym. Chem. 2017, 8, 4752–4760. [Google Scholar] [CrossRef]
- Mizutani, M.; Satoh, K.; Kamigaito, M. Metal-Catalyzed Radical Polyaddition for Aliphatic Polyesters via Evolution of Atom Transfer Radical Addition into Step-Growth Polymerization. Macromolecules 2009, 42, 472–480. [Google Scholar] [CrossRef]
- Mizutani, M.; Satoh, K.; Kamigaito, M. Metal-catalyzed simultaneous chain- and step-growth radical polymerization: Marriage of vinyl polymers and polyesters. J. Am. Chem. Soc. 2010, 132, 7498–7507. [Google Scholar] [CrossRef] [PubMed]
- Mizuntani, M.; Satoh, K.; Kamigaito, M. Degradable poly(N-isopropylacrylamide) with tunable thermosensitivity by simultaneous chain-and step-growth radical polymerization. Macromolecules 2011, 44, 2382–2386. [Google Scholar] [CrossRef]
- Mizutani, M.; Palermo, E.F.; Thoma, L.M.; Satoh, K.; Kamigaito, M.; Kuroda, K. Design and synthesis of self-degradable antibacterial polymers by simultaneous chain- and step-growth radical copolymerization. Biomacromolecules 2012, 13, 1554–1563. [Google Scholar] [CrossRef] [PubMed]
- Cheng, C.; Bai, X.; Zhang, X.; Chen, M.; Huang, Q.; Hu, Z.; Tu, Y. Facile synthesis of block copolymers from a cinnamate derivative by combination of AGET ATRP and click chemistry. Macromol. Res. 2014, 22, 1306–1311. [Google Scholar] [CrossRef]
- Xue, W.; Wang, J.; Wen, M.; Chen, G.; Zhang, W. Integration of CuAAC Polymerization and Controlled Radical Polymerization into Electron Transfer Mediated “Click-Radical” Concurrent Polymerization. Macromol. Rapid Commun. 2017, 38, 1600733. [Google Scholar] [CrossRef]
- Han, D.; Tong, X.; Zhao, Y. One-Pot Synthesis of Brush Diblock Copolymers through Simultaneous ATRP and Click Coupling. Macromolecules 2011, 44, 5531–5536. [Google Scholar] [CrossRef]
- Xu, B.; Feng, C.; Huang, X. A versatile platform for precise synthesis of asymmetric molecular brush in one shot. Nat. Commun. 2017, 8, 333. [Google Scholar] [CrossRef]
- Zhang, W.; Xue, W.; Ming, W.; Weng, Y.; Chen, G.; Haddleton, D.M. Regenerable-Catalyst-Aided, Opened to Air and Sunlight-Driven “CuAAC&ATRP” Concurrent Reaction for Sequence-Controlled Copolymer. Macromol. Rapid Commun. 2017, 38, 1700511. [Google Scholar] [CrossRef]
- Zhu, H.; Chen, G.; Zhang, Z.; Zhou, N.; Zhang, W.; Zhu, X. Fe(0) powder-catalyzed one-pot reaction: Concurrent living radical polymerization and click chemistry for topological polymers. Polym. Chem. 2015, 6, 4794–4800. [Google Scholar] [CrossRef]
- Yao, F.; Xu, L.; Fu, G.D.; Lin, B. Sliding-Graft Interpenetrating Polymer Networks from Simultaneous “Click Chemistry” and Atom Transfer Radical Polymerization. Macromolecules 2010, 43, 9761–9770. [Google Scholar] [CrossRef]
- Qin, A.; Lam, J.W.Y.; Tang, B.Z. Click polymerization. Chem. Soc. Rev. 2010, 39, 2522. [Google Scholar] [CrossRef] [PubMed]
- Fenyves, R.; Schmutz, M.; Horner, I.J.; Bright, F.V.; Rzayev, J. Aqueous Self-Assembly of Giant Bottlebrush Block Copolymer Surfactants as Shape-Tunable Building Blocks. J. Am. Chem. Soc. 2014, 136, 7762–7770. [Google Scholar] [CrossRef] [PubMed]
- Fu, C.; Tao, L.; Zhang, Y.; Li, S.; Wei, Y. Combining chemoenzymatic monomer transformation with ATRP: A facile “one-pot” approach to functional polymers. Chem. Commun. 2012, 48, 9062. [Google Scholar] [CrossRef] [PubMed]
- Fu, C.; Zhu, C.; Wang, S.; Liu, H.; Zhang, Y.; Guo, H.; Tao, L.; Wei, Y. One-pot synthesis of optically active polymervia concurrent cooperation of enzymatic resolution and living radical polymerization. Polym. Chem. 2013, 4, 264–267. [Google Scholar] [CrossRef]
- Nakatani, K.; Terashima, T.; Sawamoto, M. Concurrent tandem living radical polymerization: Gradient copolymers via in situ monomer transformation with alcohols. J. Am. Chem. Soc. 2009, 131, 13600–13601. [Google Scholar] [CrossRef]
- Nakatani, K.; Ogura, Y.; Koda, Y.; Terashima, T.; Sawamoto, M. Sequence-Regulated Copolymers via Tandem Catalysis of Living Radical Polymerization and In Situ Transesterification. J. Am. Chem. Soc. 2012, 134, 4373–4383. [Google Scholar] [CrossRef] [PubMed]















© 2020 by the authors. Licensee MDPI, Basel, Switzerland. This article is an open access article distributed under the terms and conditions of the Creative Commons Attribution (CC BY) license (http://creativecommons.org/licenses/by/4.0/).
Share and Cite
Wang, Y.; Nguyen, M.; Gildersleeve, A.J. Macromolecular Engineering by Applying Concurrent Reactions with ATRP. Polymers 2020, 12, 1706. https://doi.org/10.3390/polym12081706
Wang Y, Nguyen M, Gildersleeve AJ. Macromolecular Engineering by Applying Concurrent Reactions with ATRP. Polymers. 2020; 12(8):1706. https://doi.org/10.3390/polym12081706
Chicago/Turabian StyleWang, Yu, Mary Nguyen, and Amanda J. Gildersleeve. 2020. "Macromolecular Engineering by Applying Concurrent Reactions with ATRP" Polymers 12, no. 8: 1706. https://doi.org/10.3390/polym12081706
APA StyleWang, Y., Nguyen, M., & Gildersleeve, A. J. (2020). Macromolecular Engineering by Applying Concurrent Reactions with ATRP. Polymers, 12(8), 1706. https://doi.org/10.3390/polym12081706

