In Situ Preparation of Crosslinked Polymer Electrolytes for Lithium Ion Batteries: A Comparison of Monomer Systems
Abstract
1. Introduction
2. Materials and Methods
2.1. Materials
2.2. Synthesis of Butyl Vinylimidazolium Iodide
2.3. Synthesis of Acrylic Imidazolium Bromide ILs
2.4. Exchange of Halogen Ions by TFSI
2.5. Preparation of Polymerized and Crosslinked PIL Films
2.6. Methods
2.7. Cell Preparation and Electrochemical Characterization
3. Results and Discussion
3.1. Structural Variations in the PIL Networks
3.2. Monitoring of the Monomer Conversion in the Crosslinking Free Radical Photopolymerization by Raman Microscopy
3.3. Glass Transition Temperatures
3.4. Thermal Decomposition Behavior
3.5. Determination of the Crosslink Density of the Networks by Rheology
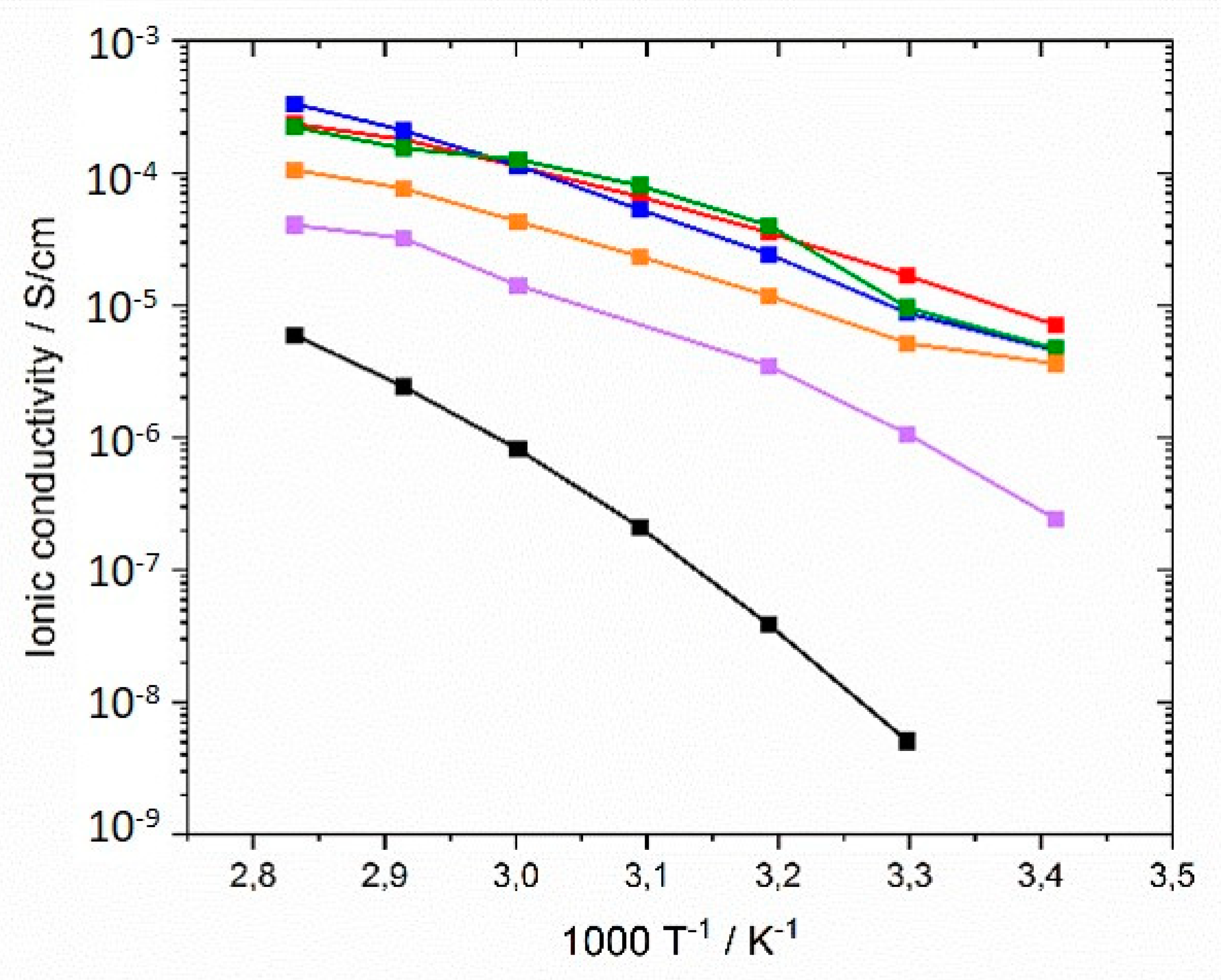
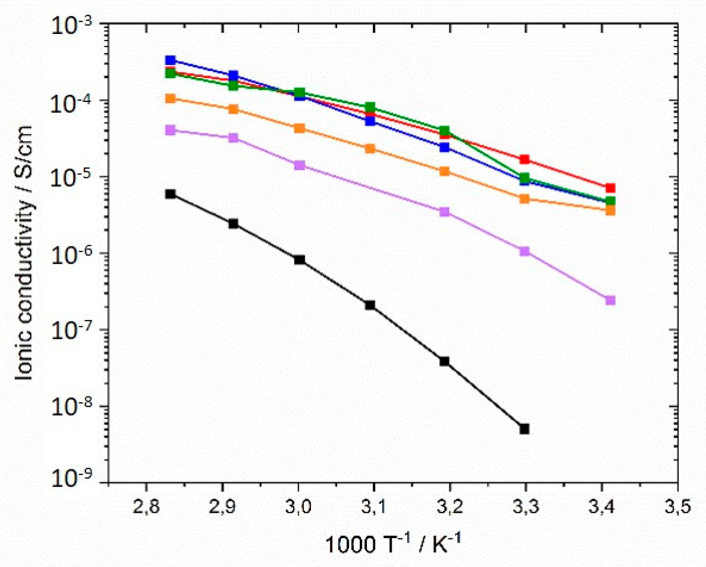
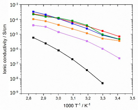
3.6. Ionic Conductivity of the PIL Networks
3.6.1. GI Networks
3.6.2. Influence of Spacer Length in GII and GIII Networks
3.6.3. Influence of N-alkyl Length in Generation II Monomers
3.6.4. Influences of Crosslinker Type and Content Compared to Linear Homopolymers
3.6.5. Influence of Conducting Salt
3.7. Lithium Plating-Stripping Experiments
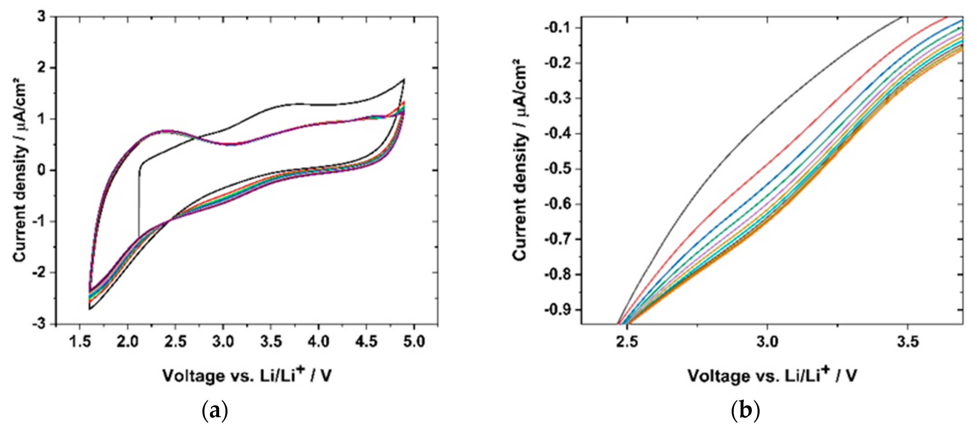
3.8. Voltage Stability
4. Conclusions
Supplementary Materials
Author Contributions
Funding
Acknowledgments
Conflicts of Interest
References
- Scrosati, B.; Garche, J. Lithium batteries: Status, prospects and future. J. Power Sources 2010, 195, 2419–2430. [Google Scholar] [CrossRef]
- Passerini, S.; Scrosati, B. Lithium and Lithium-Ion Batteries: Challenges and Prospects. Interface Mag. 2016, 25, 85–87. [Google Scholar] [CrossRef]
- Larcher, D.; Tarascon, J.M. Towards greener and more sustainable batteries for electrical energy storage. Nat. Chem. 2015, 7, 19–29. [Google Scholar] [CrossRef] [PubMed]
- Tarascon, J.M.; Armand, M. Issues and challenges facing rechargeable lithium batteries. Nature 2001, 414, 359–367. [Google Scholar] [CrossRef]
- Blomgren, G.E. The Development and Future of Lithium Ion Batteries. J. Elexctrochem. Soc. 2017, 164, 5019–5025. [Google Scholar] [CrossRef]
- Nitta, N.; Wu, F.; Lee, J.T.; Yushin, G. Li-ion battery materials: Present and future. Biochem. Pharmacol. 2015, 18, 252–264. [Google Scholar] [CrossRef]
- Kalhoff, J.; Eshetu, G.G.; Bresser, D.; Passerini, S. Safer electrolytes for lithium-ion batteries: State of the art and perspectives. ChemSusChem 2015, 8, 2154–2175. [Google Scholar] [CrossRef]
- Balducci, A.; Jeong, S.S.; Kim, G.T.; Passerini, S.; Winter, M.; Schmuck, M.; Appetecchi, G.B.; Marcilla, R.; Mecerreyes, D.; Barsukov, V.; et al. Development of safe, green and high performance ionic liquids-based batteries (ILLIBATT project). J. Power Sources 2011, 196, 9719–9730. [Google Scholar] [CrossRef]
- Schütter, C.; Husch, T.; Viswanathan, V.; Passerini, S.; Balducci, A.; Korth, M. Rational design of new electrolyte materials for electrochemical double layer capacitors. J. Power Sources 2016, 326, 541–548. [Google Scholar] [CrossRef]
- Murugan, R.; Thangadurai, V.; Weppner, W. Fast lithium ion conduction in garnet-type Li7La3Zr2O12. Angew. Chem.-Int. Ed. 2007, 46, 7778–7781. [Google Scholar] [CrossRef] [PubMed]
- Stephan, A.M. Review on gel polymer electrolytes for lithium batteries. Eur. Polym. J. 2006, 42, 21–42. [Google Scholar] [CrossRef]
- Pont, A.L.; Marcilla, R.; De Meatza, I.; Grande, H.; Mecerreyes, D. Pyrrolidinium-based polymeric ionic liquids as mechanically and electrochemically stable polymer electrolytes. J. Power Sources 2009, 188, 558–563. [Google Scholar] [CrossRef]
- Zhang, R.; Hashemi, N.; Ashuri, M.; Montazami, R. Advanced gel polymer electrolyte for lithium-ion polymer batteries. In Proceedings of the ASME 2013 7th International Conference on Energy Sustainability and the ASME 2013 11th International Conference on Fuel Cell Science, Engineering and Technology, Minneapolis, MN, USA, 14 July 2013. [Google Scholar]
- Varzi, A.; Raccichini, R.; Passerini, S.; Scrosati, B. Challenges and prospects of the role of solid electrolytes in the revitalization of lithium metal batteries. J. Mater. Chem. A 2016, 4, 17251–17259. [Google Scholar] [CrossRef]
- Moretti, A.; Jeong, S.; Giffin, G.A.; Jeremias, S.; Passerini, S. Li-doped N-methoxyethyl-N-methylpyrrolidinium fluorosulfonyl- (trifluoromethanesulfonyl)imide as electrolyte for reliable lithium ion batteries. J. Power Sources 2014, 269, 645–650. [Google Scholar] [CrossRef]
- Eshetu, G.G.; Diemant, T.; Grugeon, S.; Behm, R.J.; Laruelle, S.; Armand, M.; Passerini, S. In-Depth Interfacial Chemistry and Reactivity Focused Investigation of Lithium-Imide- and Lithium-Imidazole-Based Electrolytes. ACS Appl. Mater. Interfaces 2016, 8, 16087–16100. [Google Scholar] [CrossRef]
- Moreno, M.; Simonetti, E.; Appetecchi, G.B.; Carewska, M.; Montanino, M.; Kim, G.-T.; Loeffler, N.; Passerini, S. Ionic Liquid Electrolytes for Safer Lithium Batteries. J. Electrochem. Soc. 2017, 164, A6026–A6031. [Google Scholar] [CrossRef]
- MacFarlane, D.R.; Forsyth, M.; Howlett, P.C.; Kar, M.; Passerini, S.; Pringle, J.M.; Ohno, H.; Watanabe, M.; Yan, F.; Zheng, W.; et al. Ionic liquids and their solid-state analogues as materials for energy generation and storage. Nat. Rev. Mater. 2016, 1, 1–15. [Google Scholar] [CrossRef]
- Neale, A.R.; Schütter, C.; Wilde, P.; Goodrich, P.; Hardacre, C.; Passerini, S.; Balducci, A.; Jacquemin, J. Physical-Chemical Characterization of Binary Mixtures of 1-Butyl-1-methylpyrrolidinium Bis{(trifluoromethyl)sulfonyl}imide and Aliphatic Nitrile Solvents as Potential Electrolytes for Electrochemical Energy Storage Applications. J. Chem. Eng. Data 2017, 62, 376–390. [Google Scholar] [CrossRef]
- Osada, I.; De Vries, H.; Scrosati, B.; Passerini, S. Ionic-Liquid-Based Polymer Electrolytes for Battery Applications. Angew. Chem.-Int. Ed. 2016, 55, 500–513. [Google Scholar] [CrossRef]
- Armand, M.; Endres, F.; MacFarlane, D.R.; Ohno, H.; Scrosati, B. Ionic-liquid materials for the electrochemical challenges of the future. Nat. Mater. 2009, 8, 621–629. [Google Scholar] [CrossRef]
- Gerbaldi, C.; Nair, J.R.; Ahmad, S.; Meligrana, G.; Bongiovanni, R.; Bodoardo, S.; Penazzi, N. UV-cured polymer electrolytes encompassing hydrophobic room temperature ionic liquid for lithium batteries. J. Power Sources 2010, 195, 1706–1713. [Google Scholar] [CrossRef]
- Zaitsau, D.H.; Yermalayeu, A.V.; Emel’Yanenko, V.N.; Heintz, A.; Verevkin, S.P.; Schick, C.; Berdzinski, S.; Strehmel, V. Structure-property relationships in ILs: Vaporization enthalpies of pyrrolidinium based ionic liquids. J. Mol. Liq. 2013, 192, 171–176. [Google Scholar] [CrossRef]
- Ahrenberg, M.; Beck, M.; Neise, C.; Keßler, O.; Kragl, U.; Verevkin, S.P.; Schick, C. Vapor pressure of ionic liquids at low temperatures from AC-chip-calorimetry. Phys. Chem. Chem. Phys. 2016, 18, 21381–21390. [Google Scholar] [CrossRef] [PubMed]
- Quartarone, E.; Mustarelli, P. Electrolytes for solid-state lithium rechargeable batteries: Recent advances and perspectives. Chem. Soc. Rev. 2011, 40, 2525–2540. [Google Scholar] [CrossRef]
- Liu, F.-Q.; Wang, W.-P.; Yin, Y.-X.; Zhang, S.-F.; Shi, J.-L.; Wang, L.; Zhang, X.-D.; Zheng, Y.; Zhou, J.-J.; Li, L.; et al. Upgrading traditional liquid electrolyte via in situ gelation for future lithium metal batteries. Sci. Adv. 2018, 4, eaat5383. [Google Scholar] [CrossRef]
- Wang, S.; Hou, S.; Kuo, P.; Teng, H. Poly(ethylene oxide)-co-Poly(propylene oxide)-Based Gel Electrolyte with High Ionic Conductivity and Mechanical Integrity for Lithium-Ion Batteries. ACS Appl. Mater. Interfaces 2013, 5, 8477–8485. [Google Scholar] [CrossRef] [PubMed]
- Fergus, J.W. Ceramic and polymeric solid electrolytes for lithium-ion batteries. J. Power Sources 2010, 195, 4554–4569. [Google Scholar] [CrossRef]
- Merz, S.; Jakes, P.; Taranenko, S.; Eichel, R.-A.; Granwehr, J.; Kumar, V.; Reddy, R.R.; Kumar, B.V.N.P.; Avadhani, C.V.; Ganapathy, S.; et al. Improved lithium ion dynamics in crosslinked PMMA gel polymer electrolyte. Phys. Chem. Chem. Phys. 2019, 21, 4481–4490. [Google Scholar]
- Shaplov, A.S.; Vlasov, P.S.; Armand, M.; Lozinskaya, E.I.; Ponkratov, D.O.; Malyshkina, I.A.; Vidal, F.; Okatova, O.V.; Pavlov, G.M.; Wandrey, C.; et al. Design and synthesis of new anionic “polymeric ionic liquids” with high charge delocalization. Polym. Chem. 2011, 2, 2609–2618. [Google Scholar] [CrossRef]
- Eshetu, G.G.; Mecerreyes, D.; Forsyth, M.; Zhang, H.; Armand, M. Polymeric ionic liquids for lithium-based rechargeable batteries. Mol. Syst. Des. Eng. 2019, 4, 294–309. [Google Scholar] [CrossRef]
- Mecerreyes, D. Polymeric ionic liquids: Broadening the properties and applications of polyelectrolytes. Prog. Polym. Sci. 2011, 36, 1629–1648. [Google Scholar] [CrossRef]
- Von Zamory, J.; Giffin, G.A.; Jeremias, S.; Castiglione, F.; Mele, A.; Paillard, E.; Passerini, S. Influence of oligo(ethylene oxide) substituents on pyrrolidinium-based ionic liquid properties, Li+ solvation and transport. Phys. Chem. Chem. Phys. 2016, 18, 21539–21547. [Google Scholar] [CrossRef] [PubMed]
- Li, M.; Dong, S.; Fang, S.; Yang, L.; Hirano, S.I.; Hu, J.; Huang, X. Polymeric ionic liquid membranes as electrolytes for lithium battery applications. J. Appl. Electrochem. 2012, 42, 851–856. [Google Scholar] [CrossRef]
- Yin, K.; Zhang, Z.; Yang, L.; Hirano, S.I. An imidazolium-based polymerized ionic liquid via novel synthetic strategy as polymer electrolytes for lithium ion batteries. J. Power Sources 2014, 258, 150–154. [Google Scholar] [CrossRef]
- Iacob, C.; Matsumoto, A.; Brennan, M.; Liu, H.; Paddison, S.J.; Urakawa, O.; Inoue, T.; Sangoro, J.; Runt, J. Polymerized Ionic Liquids: Correlation of Ionic Conductivity with Nanoscale Morphology and Counterion Volume. ACS Macro Lett. 2017, 6, 941–946. [Google Scholar] [CrossRef]
- Delhorbe, V.; Bresser, D.; Mendil-Jakani, H.; Rannou, P.; Bernard, L.; Gutel, T.; Lyonnard, S.; Picard, L. Unveiling the Ion Conduction Mechanism in Imidazolium-Based Poly(ionic liquids): A Comprehensive Investigation of the Structure-to-Transport Interplay. Macromolecules 2017, 50, 4309–4321. [Google Scholar] [CrossRef]
- Aguesse, F.; Manalastas, W.; Buannic, L.; Del Amo, J.M.L.; Singh, G.; Llordés, A.; Kilner, J. Investigating the dendritic growth during full cell cycling of garnet electrolyte in direct contact with Li metal. ACS Appl. Mater. Interfaces 2017, 9, 3808–3816. [Google Scholar] [CrossRef]
- Pervez, S.A.; Cambaz, M.A.; Thangadurai, V.; Fichtner, M. Interface in Solid-State Li Battery: Challenges, Progress and Outlook. ACS Appl. Mater. Interfaces 2019, 11, acsami.9b02675. [Google Scholar] [CrossRef]
- Chiappone, A.; Nair, J.R.; Gerbaldi, C.; Bongiovanni, R.; Zeno, E. Nanoscale microfibrillated cellulose reinforced truly-solid polymer electrolytes for flexible, safe and sustainable lithium-based batteries. Cellulose 2013, 20, 2439–2449. [Google Scholar] [CrossRef]
- Souquet, J.L.; Duclot, M. Thin film lithium batteries. Solid State Ion. 2002, 148, 375–379. [Google Scholar] [CrossRef]
- Gunday, S.T.; Cevik, E.; Yusuf, A.; Bozkurt, A. Fabrication of Al2O3/IL-Based Nanocomposite Polymer Electrolytes for Supercapacitor Application. ChemistrySelect 2019, 4, 5880–5887. [Google Scholar] [CrossRef]
- Gunday, S.T.; Cevik, E.; Yusuf, A.; Bozkurt, A. Synthesis, characterization and supercapacitor application of ionic liquid incorporated nanocomposites based on SPSU/Silicon dioxide. J. Phys. Chem. Solids 2020, 137, 109209. [Google Scholar] [CrossRef]
- Park, M.; Zhang, X.; Chung, M.; Less, G.B.; Sastry, A.M. A review of conduction phenomena in Li-ion batteries. J. Power Sources 2010, 195, 7904–7929. [Google Scholar] [CrossRef]
- Lopez, J.; Mackanic, D.G.; Cui, Y.; Bao, Z. Designing polymers for advanced battery chemistries. Nat. Rev. Mater. 2019, 4, 312–330. [Google Scholar] [CrossRef]
- Park, M.J. Confinement-entitled morphology and ion transport in ion-containing polymers. Mol. Syst. Des. Eng. 2019, 4, 239–251. [Google Scholar] [CrossRef]
- Schauser, N.S.; Seshadri, R.; Segalman, R.A. Multivalent ion conduction in solid polymer systems. Mol. Syst. Des. Eng. 2019, 4, 263–279. [Google Scholar] [CrossRef]
- Ketkar, P.M.; Shen, K.H.; Hall, L.M.; Epps, T.H. Charging toward improved lithium-ion polymer electrolytes: Exploiting synergistic experimental and computational approaches to facilitate materials design. Mol. Syst. Des. Eng. 2019, 4, 223–238. [Google Scholar] [CrossRef]
- Yuan, J.; Antonietti, M. Poly(ionic liquid)s: Polymers expanding classical property profiles. Polymer 2011, 52, 1469–1482. [Google Scholar] [CrossRef]
- Yuan, J.; Mecerreyes, D.; Antonietti, M. Poly(ionic liquid)s: An update. Prog. Polym. Sci. 2013, 38, 1009–1036. [Google Scholar] [CrossRef]
- Shaplov, A.S.; Ponkratov, D.O.; Vlasov, P.S.; Lozinskaya, E.I.; Komarova, L.I.; Malyshkina, I.A.; Vidal, F.; Nguyen, G.T.M.; Armand, M.; Wandrey, C.; et al. Synthesis and properties of polymeric analogs of ionic liquids. Polym. Sci.-Ser. B 2013, 55, 122–138. [Google Scholar] [CrossRef]
- Ye, Y.S.; Rick, J.; Hwang, B.J. Ionic liquid polymer electrolytes. J. Mater. Chem. A 2013, 1, 2719–2743. [Google Scholar] [CrossRef]
- Kuray, P.; Noda, T.; Matsumoto, A.; Iacob, C.; Inoue, T.; Hickner, M.A.; Runt, J. Ion Transport in Pendant and Backbone Polymerized Ionic Liquids. Macromolecules 2019, 52, 6438–6448. [Google Scholar] [CrossRef]
- Ganesan, V. Ion transport in polymeric ionic liquids: Recent developments and open questions. Mol. Syst. Des. Eng. 2019, 4, 280–293. [Google Scholar] [CrossRef]
- Wang, P.H.; Wang, T.L.; Lin, W.C.; Lin, H.Y.; Lee, M.H.; Yang, C.H. Crosslinked polymer ionic liquid/ionic liquid blends prepared by photopolymerization as solid-state electrolytes in supercapacitors. Nanomaterials 2018, 8, 225. [Google Scholar] [CrossRef]
- Shen, C.; Zhao, Q.; Evans, C.M. Ion specific, odd-even glass transition temperatures and conductivities in precise network polymerized ionic liquids. Mol. Syst. Des. Eng. 2019, 4, 332–341. [Google Scholar] [CrossRef]
- Shaplov, A.S.; Ponkratov, D.O.; Vlasov, P.S.; Lozinskaya, E.I.; Malyshkina, I.A.; Vidal, F.; Aubert, P.H.; Armand, M.; Vygodskii, Y.S. Solid-state electrolytes based on ionic network polymers. Polym. Sci.-Ser. B 2014, 56, 164–177. [Google Scholar] [CrossRef]
- Cordella, D.; Kermagoret, A.; Debuigne, A.; Jéroîme, C.; Mecerreyes, D.; Isik, M.; Taton, D.; Detrembleur, C. All Poly(ionic liquid)-Based Block Copolymers by Sequential Controlled Radical Copolymerization of Vinylimidazolium Monomers. Macromolecules 2015, 48, 5230–5243. [Google Scholar] [CrossRef]
- Appetecchi, G.B.; Kim, G.T.; Montanino, M.; Carewska, M.; Marcilla, R.; Mecerreyes, D.; De Meatza, I. Ternary polymer electrolytes containing pyrrolidinium-based polymeric ionic liquids for lithium batteries. J. Power Sources 2010, 195, 3668–3675. [Google Scholar] [CrossRef]
- Sangoro, J.R.; Iacob, C.; Agapov, A.L.; Wang, Y.; Berdzinski, S.; Rexhausen, H.; Strehmel, V.; Friedrich, C.; Sokolov, A.P.; Kremer, F. Decoupling of ionic conductivity from structural dynamics in polymerized ionic liquids. Soft Matter 2014, 10, 3536–3540. [Google Scholar] [CrossRef]
- Li, M.; Wang, L.; Yang, B.; Du, T.; Zhang, Y. Facile preparation of polymer electrolytes based on the polymerized ionic liquid poly((4-vinylbenzyl)trimethylammonium bis(trifluoromethanesulfonylimide)) for lithium secondary batteries. Electrochim. Acta 2014, 123, 296–302. [Google Scholar] [CrossRef]
- Ohno, H.; Yoshizawa, M.; Ogihara, W. Development of new class of ion conductive polymers based on ionic liquids. Electrochim. Acta 2004, 50, 255–261. [Google Scholar] [CrossRef]
- Yoshizawa, M.; Ohno, H. Synthesis of molten salt-type polymer brush and effect of brush structure on the ionic conductivity. Electrochim. Acta 2001, 46, 1723–1728. [Google Scholar] [CrossRef]
- Yoshizawa, M.; Ogihara, W.; Ohno, H. Novel polymer electrolytes prepared by copolymerization of ionic liquid monomers. Polym. Adv. Technol. 2002, 13, 589–594. [Google Scholar] [CrossRef]
- Shaplov, A.S.; Ponkratov, D.O.; Vygodskii, Y.S. Poly(ionic liquid)s: Synthesis, properties, and application. Polym. Sci.-Ser. B 2016, 58, 73–142. [Google Scholar] [CrossRef]
- Nilsson-Hallén, J.; Ahlström, B.; Marczewski, M.; Johansson, P. Ionic liquids: A simple model to predict ion conductivity based on DFT derived physical parameters. Front. Chem. 2019, 7, 1–6. [Google Scholar] [CrossRef]
- Yamashita, A.; Yoshio, M.; Shimizu, S.; Ichikawa, T.; Ohno, H.; Kato, T. Columnar nanostructured polymer films containing ionic liquids in supramolecular one-dimensional nanochannels. J. Polym. Sci. Part A Polym. Chem. 2015, 53, 366–371. [Google Scholar] [CrossRef]
- Gerbaldi, C.; Nair, J.R.; Meligrana, G.; Bongiovanni, R.; Bodoardo, S.; Penazzi, N. UV-curable siloxane-acrylate gel-copolymer electrolytes for lithium-based battery applications. Electrochim. Acta 2010, 55, 1460–1467. [Google Scholar] [CrossRef]
- Nair, J.R.; Gerbaldi, C.; Destro, M.; Bongiovanni, R.; Penazzi, N. Methacrylic-based solid polymer electrolyte membranes for lithium-based batteries by a rapid UV-curing process. React. Funct. Polym. 2011, 71, 409–416. [Google Scholar] [CrossRef]
- Porthault, H.; Piana, G.; Cesbron, M.; Armel, V.; Bazin, A.; Franger, S.; Oukassi, S. Photo-Initiated Cross-Linking of a Methacrylate/Ionic Liquid Based Gel Polymer Electrolyte: Effect of the Curing Sequence on the Electrochemical Properties. J. Phys. Chem. C 2019, 123, 18171–18179. [Google Scholar] [CrossRef]
- Catel, Y.; Fischer, U.K.; Moszner, N. Monomers for adhesive polymers, 13.1 Synthesis, radical photopolymerization and adhesive properties of polymerizable 2-substituted 1,3-propylidenediphosphonic acids. Des. Monomers Polym. 2014, 17, 286–299. [Google Scholar] [CrossRef]
- Moszner, N.; Salz, U. Chemical aspects of self-etching enamel—Dentin adhesives: A systematic review. Dental Mat. 2005, 21, 895–910. [Google Scholar] [CrossRef] [PubMed]
- Von Zamory, J.; Bedu, M.; Fantini, S.; Passerini, S.; Paillard, E. Polymeric ionic liquid nanoparticles as binder for composite Li-ion electrodes. J. Power Sources 2013, 240, 745–752. [Google Scholar] [CrossRef]
- Heinrich, G.; Straube, E.; Helmis, G. Rubber elasticity of polymer networks: Theories. Adv. Polym. Sci. 2005, 85, 33–87. [Google Scholar]
- Mooney, M. A theory of large elastic deformation. J. Appl. Phys. 1940, 11, 582–592. [Google Scholar] [CrossRef]
- Gu, Y.; Zhao, J.; Johnson, J.A. Polymer Networks: From Plastics and Gels to Porous Frameworks. Angew. Chem.-Int. Ed. 2020, 59, 5022–5049. [Google Scholar] [CrossRef]
- Ben Ammar, N.E.; Saied, T.; Barbouche, M.; Hosni, F.; Hamzaoui, A.H.; Şen, M. A comparative study between three different methods of hydrogel network characterization: Effect of composition on the crosslinking properties using sol–gel, rheological and mechanical analyses. Polym. Bull. 2017, 75, 1–17. [Google Scholar] [CrossRef]
- Pavlinec, J.; Moszner, N. Photocured polymer networks based on multifunctional beta-ketoesters and acrylates. J. Appl. Polym. Sci. 1997, 65, 165–178. [Google Scholar] [CrossRef]
- Whitley, J.W.; Jeffrey Horne, W.; Danielsen, S.P.O.; Shannon, M.S.; Marshall, J.E.; Hayward, S.H.; Gaddis, C.J.; Bara, J.E. Enhanced photopolymerization rate & conversion of 1-vinylimidazole in the presence of lithium bistriflimide. Eur. Polym. J. 2014, 60, 92–97. [Google Scholar]
- Elias, H.G. An Introduction to Polymer Science; Chapter 3.2 Transitions and Relaxations; Wiley: Weinheim, Germany, 1997; ISBN 978-3-527-28790-1. [Google Scholar]
- Jansen, J.C. Glass Transition Temperature (Tg). In Encyclopedia of Membranes; Drioli, E., Giorno, L., Eds.; Springer: Berlin/Heidelberg, Germany, 2015. [Google Scholar]
- Marcilla, R.; Blazquez, J.A.; Fernandez, R.; Grande, H.; Pomposo, J.A.; Mecerreyes, D. Synthesis of novel polycations using the chemistry of ionic liquids. Macromol. Chem. Phys. 2005, 206, 299–304. [Google Scholar] [CrossRef]
- Langer, F.; Palagonia, M.S.; Bardenhagen, I.; Glenneberg, J.; La Mantia, F.; Kun, R. Impedance Spectroscopy Analysis of the Lithium Ion Transport through the Li7La3Zr2O12/P(EO)20 Li Interface. J. Electrochem. Soc. 2017, 164, A2298–A2303. [Google Scholar] [CrossRef]
- Xiao, W.; Wang, Z.; Zhang, Y.; Fang, R.; Yuan, Z.; Miao, C.; Yan, X.; Jiang, Y. Enhanced performance of P(VDF-HFP)-based composite polymer electrolytes doped with organic-inorganic hybrid particles PMMA-ZrO2 for lithium ion batteries. J. Power Sources 2018, 382, 128–134. [Google Scholar] [CrossRef]
- Xiao, W.; Miao, C.; Yin, X.; Zheng, Y.; Tian, M.; Li, H.; Mei, P. Effect of urea as pore-forming agent on properties of poly(vinylidene fluoride-co-hexafluoropropylene)-based gel polymer electrolyte. J. Power Sources 2014, 252, 14–20. [Google Scholar] [CrossRef]
- Huber, B.; Rossrucker, L.; Sundermeyer, J.; Roling, B. Ion transport properties of ionic liquid-based polyelectrolytes. Solid State Ion. 2013, 247–248, 15–21. [Google Scholar] [CrossRef]
- Lassègues, J.C.; Grondin, J.; Aupetit, C.; Johansson, P. Spectroscopic identification of the lithium ion transporting species in LiTFSI-doped ionic liquids. J. Phys. Chem. A 2009, 113, 305–314. [Google Scholar] [CrossRef]
- Johansson, P.; Jacobsson, P. Ion pairs in polymer electrolytes revisited: An ab initio study. J. Phys. Chem. A 2001, 105, 8504–8509. [Google Scholar] [CrossRef]
- Johansson, P. Electronic structure calculations on lithium battery electrolyte salts. Phys. Chem. Chem. Phys. 2007, 9, 1493–1498. [Google Scholar] [CrossRef]
- Chen, Z.; Kim, G.T.; Wang, Z.; Bresser, D.; Qin, B.; Geiger, D.; Kaiser, U.; Wang, X.; Shen, Z.X.; Passerini, S. 4-V flexible all-solid-state lithium polymer batteries. Nano Energy 2019, 64, 103986. [Google Scholar] [CrossRef]
- Elia, G.A.; Ulissi, U.; Jeong, S.; Passerini, S.; Hassoun, J. Exceptional long-life performance of lithium-ion batteries using ionic liquid-based electrolytes. Energy Environ. Sci. 2016, 9, 3210–3220. [Google Scholar] [CrossRef]


















| Sample | DSC Tg (°C) | TGA T5% a (°C) | TGA Tmax b (°C) | TGA Residue at 800 °C (wt.%) |
|---|---|---|---|---|
| LiTFSI | - | 369 | 413 | 7.8 |
| GI-P(VImC4 TFSI) | 19 | 357 | 416 | 5.1 |
| GI-P(VImC4 TFSI-BAAP)95:5 | 32 | 344 | 406 | 4.0 |
| GI-P(VImC4 TFSI-BAAP)95:5 + LiTFSI (10 mol%) | 25 | 347 | 409 | 5.2 |
| GII-P(AAC6ImC1 TFSI-BAAP)95:5 | −29 | 368 | 405 | 7.1 |
| GII-P(AAC6ImC2 TFSI-BAAP)95:5 | −32 | 382 | 408 | 6.4 |
| GII-P(AAC6ImC4 TFSI-BAAP)95:5 | −41 | 363 | 400 | 5.8 |
| GII-P(AAC6ImC6 TFSI-BAAP)95:5 | −35 | 374 | 405 | 5.1 |
| GII-P(AAC9ImC4 TFSI-BAAP)95:5 | −40 | 376 | 405 | 5.5 |
| GII-P(AAC12ImC4 TFSI-BAAP)95:5 | −42 | 347 | 408 | 5.2 |
| GII-P(AAC6ImC1 TFSI-BAAP)95:5 + LiTFSI (10 mol%) | −32 | 370 | 407 | 6.4 |
| GII-P(AAC6ImC2 TFSI-BAAP)95:5 + LiTFSI (10 mol%) | −36 | 380 | 412 | 5.7 |
| GII-P(AAC6ImC4 TFSI-BAAP)95:5 + LiTFSI (10 mol%) | −41 | 357 | 406 | 5.3 |
| GII-P(AAC6ImC6 TFSI-BAAP)95:5 + LiTFSI (10 mol%) | −36 | 372 | 410 | 4.9 |
| GII-P(AAC9ImC4 TFSI-BAAP)95:5 + LiTFSI (10 mol%) | −42 | 375 | 411 | 3.6 |
| GII-P(AAC12ImC4 TFSI-BAAP)95:5 + LiTFSI (10 mol%) | −44 | 378 | 426 | 3.3 |
| GIII-P(VImC6ImC1TFSI2-BAAP)95:5 | −6 | 385 | 463 | 0.8 |
| GIII-P(VImC6ImC4 TFSI2-BAAP)95:5 | −13 | 398 | 463 | 6.3 |
| GIII-P(VImC12ImC1TFSI2-BAAP)95:5 | −24 | 384 | 448 | 3.4 |
| GIII-P(VImC12ImC4TFSI2-BAAP)95:5 | −31 | 385 | 446 | 4.4 |
| Entry | BAAP Content (mol%) | LiTFSI Content (mol%) | Tg,DSC (°C) | G′60 °C (Pa) | νeff (mol·m3) | L (nm) | Tg,tanδ (°C) |
|---|---|---|---|---|---|---|---|
| 1 a) | 0 | 0 | −44 | 5.60 × 104 | 60.7 | 4.35 | −23 |
| 2 a) | 0 | 10 | 4.20 × 104 | 249.3 | 2.71 | −21 | |
| 3 | 5 | 0 | −41 | 2.30 × 105 | 249.3 | 2.71 | −20 |
| 4 | 10 | 0 | −39 | 1.01 × 106 | 1095.0 | 1.66 | −16 |
| 5 | 5 | 10 | −41 | 2.00 × 105 | 216.8 | 2.84 | −20 |
| 6 | 10 | 10 | 4.20 × 105 | 455.3 | 2.22 | −19 | |
| 7 | 5 | 20 | 1.90 × 105 | 206.0 | 2.89 | −20 | |
| 8 | 5 | 30 | 2.09 × 105 | 226.6 | 2.80 | −21 | |
| 9 | 5 | 10 | −41 | 2.68 × 105 | 290.5 | 2.58 | −21 |
| Current Density | Specific Conductivity (2nd Cycle) (S·cm−1) | Specific Conductivity (10th Cycle) (S·cm−1) | Ionic Bulk Conductivity (Calculated from EIS, Figure 10) (S·cm−1) |
|---|---|---|---|
| 1.27 μA cm−2 | 8.09 × 10−8 | 1.54 × 10−7 | 5.3 × 10−6 |
| −1.27 μA cm−2 | 9.04 × 10−7 | 1.18 × 10−6 | 5.3 × 10−6 |
| 12.7 μA cm−2 | 6.15 × 10−8 | 6.68 × 10−8 | 5.3 × 10−6 |
| −12.7 μA cm−2 | 5.30 × 10−8 | 5.12 × 10−8 | 5.3 × 10−6 |
© 2020 by the authors. Licensee MDPI, Basel, Switzerland. This article is an open access article distributed under the terms and conditions of the Creative Commons Attribution (CC BY) license (http://creativecommons.org/licenses/by/4.0/).
Share and Cite
Röchow, E.T.; Coeler, M.; Pospiech, D.; Kobsch, O.; Mechtaeva, E.; Vogel, R.; Voit, B.; Nikolowski, K.; Wolter, M. In Situ Preparation of Crosslinked Polymer Electrolytes for Lithium Ion Batteries: A Comparison of Monomer Systems. Polymers 2020, 12, 1707. https://doi.org/10.3390/polym12081707
Röchow ET, Coeler M, Pospiech D, Kobsch O, Mechtaeva E, Vogel R, Voit B, Nikolowski K, Wolter M. In Situ Preparation of Crosslinked Polymer Electrolytes for Lithium Ion Batteries: A Comparison of Monomer Systems. Polymers. 2020; 12(8):1707. https://doi.org/10.3390/polym12081707
Chicago/Turabian StyleRöchow, Eike T., Matthias Coeler, Doris Pospiech, Oliver Kobsch, Elizaveta Mechtaeva, Roland Vogel, Brigitte Voit, Kristian Nikolowski, and Mareike Wolter. 2020. "In Situ Preparation of Crosslinked Polymer Electrolytes for Lithium Ion Batteries: A Comparison of Monomer Systems" Polymers 12, no. 8: 1707. https://doi.org/10.3390/polym12081707
APA StyleRöchow, E. T., Coeler, M., Pospiech, D., Kobsch, O., Mechtaeva, E., Vogel, R., Voit, B., Nikolowski, K., & Wolter, M. (2020). In Situ Preparation of Crosslinked Polymer Electrolytes for Lithium Ion Batteries: A Comparison of Monomer Systems. Polymers, 12(8), 1707. https://doi.org/10.3390/polym12081707

