Low Dielectric Constant Polyimide Obtained by Four Kinds of Irradiation Sources
Abstract
1. Introduction
2. Experimental Section
2.1. Materials and Equipment
2.2. Experimental Parameter
2.3. Characterizations
3. Results
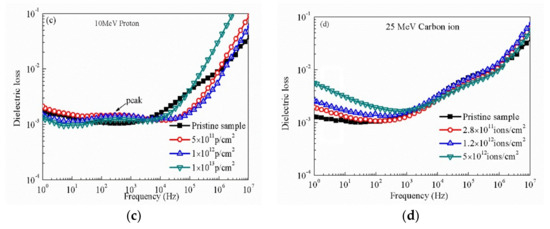
3.1. Dielectric Constant Analysis
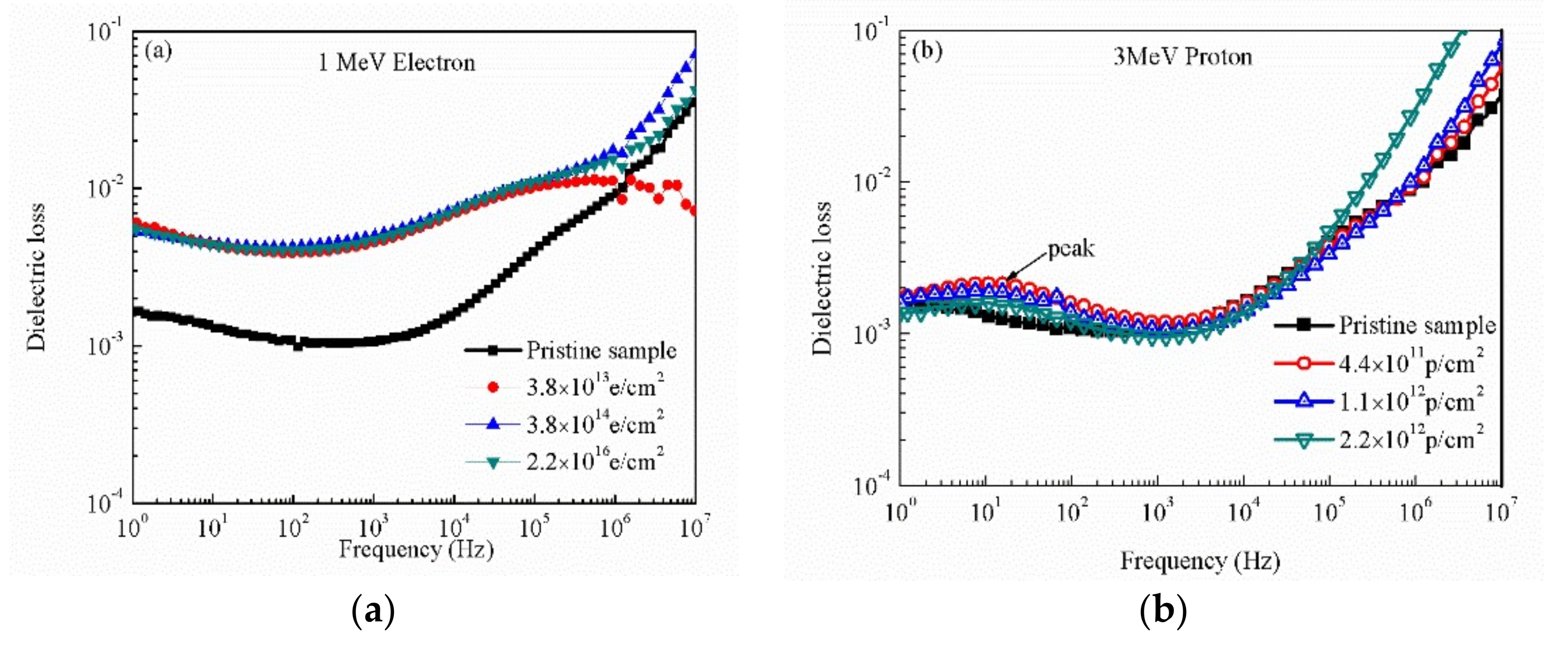
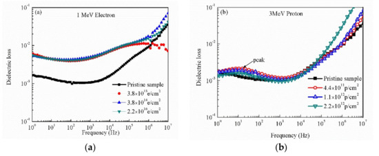
3.2. Dielectric Loss and Resistance Analysis
3.3. XPS Analysis
3.4. FT-IR Analysis
3.5. EPR Analysis
3.6. Mechanical Property Analysis
4. Discussion
5. Conclusions
Author Contributions
Funding
Conflicts of Interest
References
- Vesely, D.; Finch, D.S.; Cooley, G.E. Electrical properties of polymers modified by electron beam irradiation. Polymer 1988, 1402–1406. [Google Scholar] [CrossRef]
- Yawson, B.N.; Noh, Y. Recent Progress on High-capacitance polymer gate dielectrics for flexible low-voltage transistors. Adv. Funct. Mater. 2018, 28, 1802201. [Google Scholar]
- Constantinou, I.; Yi, X.; Shewmon, N.T.; Klump, E.D.; Peng, C.; Garakyaraghi, S.; Kin Lo, C.; Reynolds, J.R.; Castellano, F.N.; So, F. Effect of polymer-fullerene interaction on the dielectric properties of the blend. Adv. Energy Mater. 2017, 7, 1601947. [Google Scholar] [CrossRef]
- Wu, T.; Dong, J.; Gan, F.; Fang, Y.; Zhao, X.; Zhang, Q. Low dielectric constant and moisture-resistant polyimide aerogels containing trifluoromethyl pendent groups. Appl. Surf. Sci. 2018, 440, 595–605. [Google Scholar] [CrossRef]
- Yin, X.; Feng, Y.; Zhao, Q.; Li, Y.; Li, S.; Dong, H.; Hu, W.; Feng, W. Highly transparent, strong, and flexible fluorographene/fluorinated polyimide nanocomposite films with low dielectric constant. J. Mater. Chem. C 2018, 6, 6378. [Google Scholar] [CrossRef]
- Chen, X.; Huang, H.; Shu, X.; Liu, S.; Zhao, J. Preparation and properties of a novel graphene fluoroxide/polyimide nanocomposite film with a low dielectric constant. RSC Adv. 2017, 7, 1956–1965. [Google Scholar] [CrossRef]
- Lee, H.J.; Kim, J.; Kwon, O.; Lee, H.J.; Kwak, J.H.; Kim, J.M.; Lee, S.S.; Kim, Y.; Kim, D.-Y.; Jo, J.Y. Low coercive field of polymer ferroelectric via x-ray induced phase transition. Appl. Phys. Lett. 2015, 107, 262902. [Google Scholar] [CrossRef]
- Bonardd, S.; Alegria, A.; Saldias, C.; Leiva, A.; Kortaberria, G. Polyitaconates: A new family of “all-polymer” dielectrics. ACS Appl. Mater. Interfaces 2018, 10, 38476–38492. [Google Scholar] [CrossRef]
- Neese, B.; Chu, B.; Lu, S.; Wang, Y.; Furman, E.; Zhnag, Q.M. Large electrocaloric effect in ferroelectric polymers near room temperature. Science 2008, 3211, 821–823. [Google Scholar] [CrossRef]
- Ismaiilova, R.S.; Magerramov, A.M.; Kuliev, M.M.; Akhundova, G.A. Electrical conductivity and dielectric permittivity of γ-irradiated nanocomposites based on ultrahigh-molecular-weight polyethylene filled with α-SiO2. Surf. Eng. Appl. Electrochem. 2018, 54, 6–11. [Google Scholar] [CrossRef]
- Atta, A.; Lotfy, S.; Abdeltwab, E. Dielectric properties of irradiated polymer/multiwalled carbon nanotube and its amino functionalized form. J. Appl. Polym. Sci. 2018, 135, 46647. [Google Scholar]
- Jaschin, P.W.; Bhimireddi, R.; Varma, K.B.R. Enhanced dielectric properties of LaNiO3/BaTiO3/PVDF: A three-phase percolative polymer nanocrystal composite. ACS Appl. Mater. Interfaces 2018, 10, 27278–27286. [Google Scholar]
- Mackova, A.; Havra´nek, V.; Švorčík, V.; Djourelov, N.; Suzuki, T. Degradation of PET, PEEK and PI induced by irradiation with 150 keV Ar+ and 1.76 MeV He+ ions. Nuclear Instrum. Methods Phys. Res. B 2005, 240, 245–249. [Google Scholar]
- Ismail, N.H.; Mustapha, M.; Ismail, H.; Kamarol Jamil, M.; Hairaldin, S.C. Effect of Electron Beam Irradiation on Dielectric Properties, Morphology and Melt Rheology of Linear Low Density Polyethylene/Silicone Rubber-Based Thermoplastic Elastomer Nanocomposites. Polym. Eng. Sci. 2018, E135–E144. [Google Scholar]
- Abdelrahman, M.M.; Osman, M.; Hashhash, A. Electrical properties of irradiated PVA film by using ion/electron beam. Prog. Theor. Exp. Phys. 2016, 2016, 023G01. [Google Scholar]
- Mariania, M.; Ravasioa, U.; Varolia, V.; Consolati, G.; Faucitano, A.; Buttafava, A. Gamma irradiation of polyester films. Radiat. Phys. Chem. 2007, 76, 1385–1389. [Google Scholar]
- Raghu, S.; Kilarkaje, S.; Sanjeev, G.; Nagaraja, G.K.; Devendrappa, H. Effect of electron beam irradiation on polymer electrolytes: Change in morphology, crystallinity, dielectric constant and AC conductivity with dose. Radiat. Phys. Chem. 2014, 98, 124–131. [Google Scholar]
- Raghu, S.; Archana, K.; Sharanappa, C.; Ganesh, S.; Devendrappa, H. Electron beam and gamma ray irradiated polymer electrolyte films: Dielectric properties. J. Radiat. Res. Appl. Sci. 2016, 9, 117–124. [Google Scholar]
- Raghu, S.; Subramanya, K.; Sharanappa, C. The Change in Dielectric Constant, AC Conductivity and Optical Band Gaps of Polymer Electrolyte Film: Gamma Irradiation. Solid State Phys. AIP Conf. Proc. 2014, 1591, 1272–1274. [Google Scholar]
- Qureshi, A.; Singh, N.L.; Rakshit, A.K.; Singh, F.; Avasthi, D.K. Swift heavy ion induced modification in polyimide films. Surf. Coat. Technol. 2007, 201, 8308–8311. [Google Scholar]
- Quamara, J.; Garg, M.; Prabhavathi, T. Effect of high-energy heavy ion irradiation on dielectric relaxation behaviour of kapton-H polyimide. Thin Solid Films 2004, 449, 242–247. [Google Scholar] [CrossRef]
- Tkachenkoa, I.; Kononevichb, Y.; Kobzara, Y.; Purikova, O.; Yakovlev, Y.; Yakovlev, I.; Muzafarov, A.; Shevchenko, A. Low dielectric constant silica-containing cross-linked organic-inorganic materials based on fluorinated poly(arylene ether)s. Polymer 2018, 157, 131–138. [Google Scholar] [CrossRef]
- Dutta, N.J.; Mohanty, S.R.; Buzarbaruah, N.; Ranjan, M.; Rawat, R.S. Self-organized nanostructure formation on the graphite surface induced by helium ion irradiation. Phys. Lett. A 2018, 382, 1601–1608. [Google Scholar] [CrossRef]
- Naseem, S. Structural Optimization of SrMnO3 to Study Electro-Magnetic Characteristics. Master’s Thesis, University of the Punjab, Lahore, Pakistan. No. SSP-1308 Session 2013–2015.
- Yue, L.; Wu, Y.; Sun, C.; Xiao, J.; Shi, Y.; Ma, J.; He, S. Investigation on the radiation induced conductivity of space-applied polyimide under cyclic electron irradiation. Nucl. Instrum. Methods Phys. Res., Sect. B 2012, 291, 17–21. [Google Scholar] [CrossRef]












| Irradiation Energy | Fluence (cm−2) | Chemical Bond | Binding Energy (eV) | Proportion (%) |
|---|---|---|---|---|
| Pristine Polyimide | C–C | 284.5 | 60.4 | |
| C–N | 285.5 | 20.1 | ||
| C–O | 286.3 | 6.8 | ||
| C=O | 288.4 | 12.7 | ||
| 3 MeV Proton | 2.2 × 1012 | C–C | 284.5 | 65.7 |
| C–N | 285.5 | 16.8 | ||
| C–O | 286.5 | 7.5 | ||
| C=O | 288.5 | 10.0 | ||
| 25 MeV Carbon ion 5.0 × 1012 | C–C | 284.5 | 71.6 | |
| C–N | 285.5 | 11.4 | ||
| C–O | 286.5 | 7.3 | ||
| C=O | 288.5 | 9.7 | ||
| Irradiation Energy | Fluence (cm−2) | Chemical Bond | Binding Energy (eV) | Proportion (%) |
|---|---|---|---|---|
| Pristine Polyimide | C=O | 532 | 74.1 | |
| C–O | 533.2 | 25.9 | ||
| 3 MeV Proton | 2.2 × 1012 | C=O | 532 | 71.1 |
| C–O | 533.2 | 28.9 | ||
| 25 MeV Carbon ion | 5.0 × 1012 | C=O | 532 | 70.6 |
| C–O | 533.2 | 29.4 | ||
| Bond | α// | αꞱ | αm |
|---|---|---|---|
| C–N | 0.58 | 0.84 | 0.75 |
| C–H | 0.79 | 0.58 | 0.65 |
| C–C | 1.88 | 0.02 | 0.64 |
| C–O | 2.25 | 0.48 | 1.07 |
| C=O | 2.00 | 0.75 | 1.20 |
| Bond | μ (10−30/CM) |
|---|---|
| C–N | 0.40 |
| C–H | 0.74 |
| C–C | 0.00 |
| C–O | 2.30 |
| C=O | 0.73 |
© 2020 by the authors. Licensee MDPI, Basel, Switzerland. This article is an open access article distributed under the terms and conditions of the Creative Commons Attribution (CC BY) license (http://creativecommons.org/licenses/by/4.0/).
Share and Cite
Li, H.; Yang, J.; Dong, S.; Tian, F.; Li, X. Low Dielectric Constant Polyimide Obtained by Four Kinds of Irradiation Sources. Polymers 2020, 12, 879. https://doi.org/10.3390/polym12040879
Li H, Yang J, Dong S, Tian F, Li X. Low Dielectric Constant Polyimide Obtained by Four Kinds of Irradiation Sources. Polymers. 2020; 12(4):879. https://doi.org/10.3390/polym12040879
Chicago/Turabian StyleLi, Hongxia, Jianqun Yang, Shangli Dong, Feng Tian, and Xingji Li. 2020. "Low Dielectric Constant Polyimide Obtained by Four Kinds of Irradiation Sources" Polymers 12, no. 4: 879. https://doi.org/10.3390/polym12040879
APA StyleLi, H., Yang, J., Dong, S., Tian, F., & Li, X. (2020). Low Dielectric Constant Polyimide Obtained by Four Kinds of Irradiation Sources. Polymers, 12(4), 879. https://doi.org/10.3390/polym12040879

