A Tough and Mildew-Proof Soybean-Based Adhesive Inspired by Mussel and Algae
Abstract
1. Introduction
2. Experimental
2.1. Materials
2.2. Preparation and Characterization of Soybean Meal and Blood Meal-Based Adhesive
2.3. Preparation of Three-Layered Plywood
2.4. Characterization of Soybean Meal and Blood Meal-Based Adhesive
2.5. Adhesive Performance Test
3. Results and Discussion
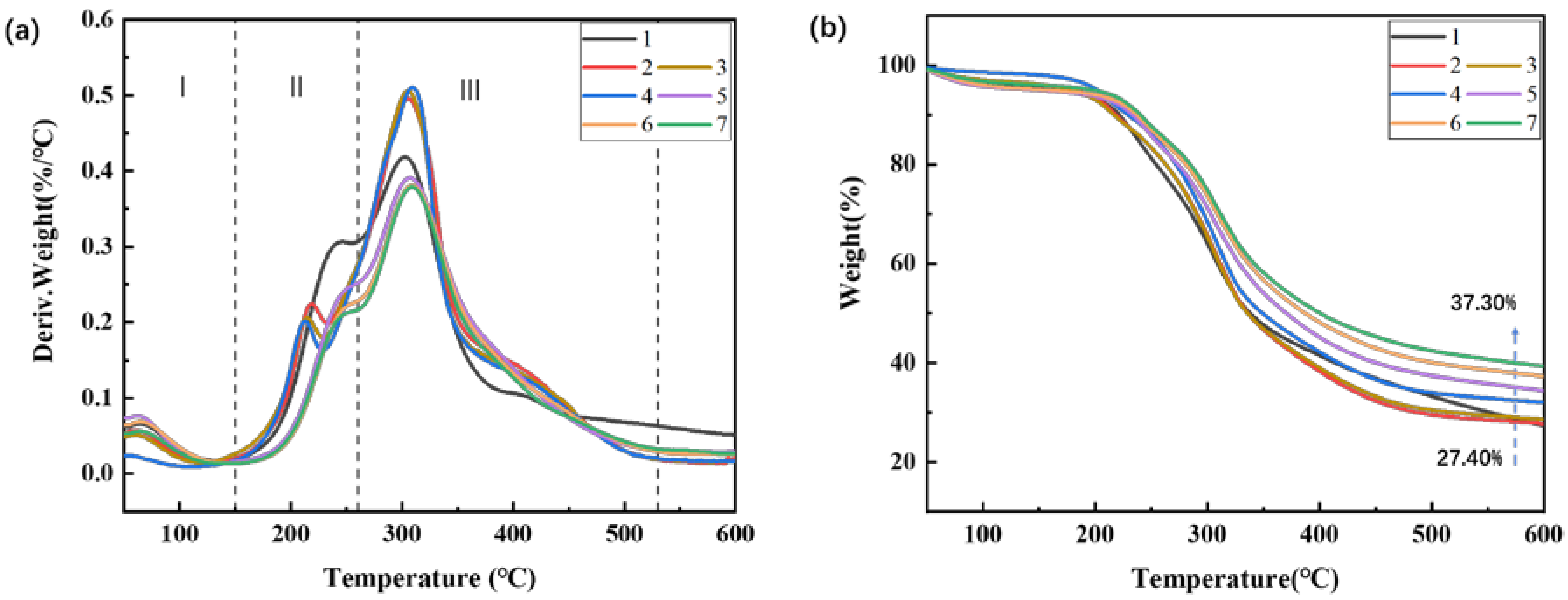
3.1. Design, Synthesis, and Characterization of Soybean Meal and Blood Meal-Based Adhesive
3.2. Performances of the Soybean Meal and Blood Meal-Based Adhesive
3.3. Water Resistance
3.4. Mold Resistance
4. Conclusions
Supplementary Materials
Author Contributions
Funding
Conflicts of Interest
References
- Bandara, N.; Esparza, Y.; Wu, J. Graphite oxide improves adhesion and water resistance of canola protein-graphite oxide hybrid adhesive. Sci. Rep. 2017, 7, 11538. [Google Scholar] [CrossRef]
- Zhang, J.; Liu, L.; Jiang, Y.; Shah, F.; Xu, Y.; Wang, Q. High-moisture extrusion of peanut protein-/carrageenan/sodium alginate/wheat starch mixtures: Effect of different exogenous polysaccharides on the process forming a fibrous structure. Food Hydrocoll. 2020, 99, 105311. [Google Scholar] [CrossRef]
- Wei, B.; Zhao, Y.; Wei, Y.; Yao, J.; Chen, X.; Shao, Z. Morphology and properties of a new biodegradable material prepared from zein and poly(butylene adipate-terephthalate) by reactive blending. ACS Omega 2019, 4, 5609–5616. [Google Scholar] [CrossRef] [PubMed]
- Jiménez-Rosado, M.; Zarate-Ramírez, L.S.; Romero, A.; Bengoechea, C.; Partal, P.; Guerrero, A. Bioplastics based on wheat gluten processed by extrusion. J. Clean. Prod. 2019, 239, 117994. [Google Scholar] [CrossRef]
- Song, F.; Tang, D.L.; Wang, X.L.; Wang, Y.Z. Biodegradable soy protein isolate-based materials: A review. Biomacromolecules 2011, 12, 3369–3380. [Google Scholar] [CrossRef]
- Wang, Z.; Zhao, S.; Pang, H.; Zhang, W.; Zhang, S.; Li, J. Developing eco-friendly high-strength soy adhesives with improved ductility through multiphase core–shell hyperbranched polysiloxane. ACS Sustain. Chem. Eng. 2019, 7, 7784–7794. [Google Scholar] [CrossRef]
- Zhou, X.; Su, J.; Wang, C.; Fang, C.; He, X.; Lei, W.; Zhang, C.; Huang, Z. Design, preparation and measurement of protein/CNTs hybrids: A concise review. J. Mater. Sci. Technol. 2020. [Google Scholar] [CrossRef]
- Luo, J.; Li, X.; Zhang, H.; Gao, Q.; Li, J. Properties of a soybean meal-based plywood adhesive modified by a commercial epoxy resin. Int. J. Adhes. Adhes. 2016, 71, 99–104. [Google Scholar] [CrossRef]
- Zhao, S.; Wang, Z.; Kang, H.; Li, J.; Zhang, S.; Han, C.; Huang, A. Fully bio-based soybean adhesive in situ cross-linked by interactive network skeleton from plant oil-anchored fiber. Ind. Crops Prod. 2018, 122, 366–374. [Google Scholar] [CrossRef]
- Gui, C. Preparation of water-resistant adhesives from soy flour with less water-soluble components for wood bonding. Pigment Resin Technol. 2017, 46, 253–258. [Google Scholar] [CrossRef]
- Kang, H.; Song, X.; Wang, Z.; Zhang, W.; Zhang, S.; Li, J. High-performance and fully renewable soy protein isolate-based film from microcrystalline cellulose via bio-inspired poly(dopamine) surface modification. ACS Sustain. Chem. Eng. 2016, 4, 4354–4360. [Google Scholar] [CrossRef]
- Cheng, H.N.; Ford, C.; Dowd, M.K.; He, Z. Soy and cottonseed protein blends as wood adhesives. Ind. Crops Prod. 2016, 85, 324–330. [Google Scholar] [CrossRef]
- Luo, J.; Li, L.; Luo, J.; Li, X.; Li, K.; Gao, Q. A High solid content bioadhesive derived from soybean meal and egg white: Preparation and properties. J. Polym. Environ. 2016, 25, 948–959. [Google Scholar] [CrossRef]
- Romani, V.P.; Prentice-Hernández, C.; Martins, V.G. Active and sustainable materials from rice starch, fish protein and oregano essential oil for food packaging. Ind Crops Prod. 2017, 97, 268–274. [Google Scholar] [CrossRef]
- Yang, I.; Kuo, M.; Myers, D.J.; Pu, A. Comparison of protein-based adhesive resins for wood composites. J. Wood Sci. 2006, 52, 503–508. [Google Scholar] [CrossRef]
- Verbeek, C.J.R.; van den Berg, L.E. Development of proteinous bioplastics using bloodmeal. J. Polym. Environ. 2010, 19, 1–10. [Google Scholar] [CrossRef]
- Garcia, R.A.; Phillips, J.G. Physical distribution and characteristics of meat and bone meal protein. Am. Soc. Agric. Biol. Eng. 2008, 084011. [Google Scholar] [CrossRef]
- Adhikari, B.B.; Chae, M.; Bressler, D.C. Utilization of slaughterhouse waste in value-added applications: Recent advances in the development of wood adhesives. Polymers 2018, 10, 176. [Google Scholar] [CrossRef]
- Zhang, Y.; Banks, C.J. Co-digestion of the mechanically recovered organic fraction of municipal solid waste with slaughterhouse wastes. Biochem. Eng. J. 2012, 68, 129–137. [Google Scholar] [CrossRef]
- Kaur, S.; Narayanan, A.; Dalvi, S.; Liu, Q.; Joy, A.; Dhinojwala, A. Direct observation of the interplay of catechol binding and polymer hydrophobicity in a mussel-inspired elastomeric adhesive. ACS Cent. Sci. 2018, 4, 1420–1429. [Google Scholar] [CrossRef]
- Bitton, R.; Ben-Yehuda, M.; Davidovich, M.; Balazs, Y.; Potin, P.; Delage, L.; Colin, C.; Bianco-Peled, H. Structure of algal-born phenolic polymeric adhesives. Macromol. Biosci. 2006, 6, 737–746. [Google Scholar] [CrossRef] [PubMed]
- Sever, M.J.; Weisser, J.T.; Monahan, J.; Srinivasan, S.; Wilker, J.J. Metal-mediated cross-linking in the generation of a marine-mussel adhesive. Angew. Chem. Int. Ed. Engl. 2004, 43, 448–450. [Google Scholar] [CrossRef] [PubMed]
- Monahan, J.W.; Jonathan, J. Cross-Linking the protein precursor of marine mussel adhesives: Bulk measurements and reagents for curing. Langmuir 2004, 20, 3724–3729. [Google Scholar] [CrossRef] [PubMed]
- Cholewinski, A.; Yang, F.; Zhao, B. Algae–mussel-inspired hydrogel composite glue for underwater bonding. Mater. Horiz. 2019, 6, 285–293. [Google Scholar] [CrossRef]
- Degtyar, E.; Harrington, M.J.; Politi, Y.; Fratzl, P. The mechanical role of metal ions in biogenic protein-based materials. Angew. Chem. Int. Ed. Engl. 2014, 53, 12026–12044. [Google Scholar] [CrossRef]
- Pizzi, A.; Mittal, K.L. Handbook of Adhesive Technology; CRC Press: New York, NY, USA, 2003. [Google Scholar]
- Gunasekaran, S.; Lin, H. Glue from Islaughterhouse Animal Blood. US8092584B2, 10 January 2012. [Google Scholar]
- Zhang, Y.; Zhang, M.; Chen, M.; Luo, J.; Li, X.; Gao, Q.; Li, J. Preparation and characterization of a soy protein-based high-performance adhesive with a hyperbranched cross-linked structure. Chem. Eng. J. 2018, 354, 1032–1041. [Google Scholar] [CrossRef]
- Eslah, F.; Jonoobi, M.; Faezipour, M.; Afsharpour, M.; Enayati, A.A. Preparation and development of a chemically modified bio-adhesive derived from soybean flour protein. Int.J. Adhes. Adhes. 2016, 71, 48–54. [Google Scholar] [CrossRef]
- Liu, X.; Wang, K.; Gu, W.; Li, F.; Li, J.; Zhang, S. Reinforcement of interfacial and bonding strength of soybean meal-based adhesive via kenaf fiber–CaCO3 anchored N-cyclohexyl-2-benzothiazole sulfenamide. Compos. Part B Eng. 2018, 155, 204–211. [Google Scholar] [CrossRef]
- Zhao, S.; Xing, F.; Wang, Z.; Kang, H.; Zhang, S.; Li, J. High bonding strength and boiling water resistance of soy protein-based adhesives via organosilicon-acrylate microemulsion and epoxy synergistic interfacial enhancement. J. Appl. Polym. Sci. 2018, 135, 46061. [Google Scholar] [CrossRef]
- Li, F.; Ye, Q.; Gao, Q.; Chen, H.; Shi, S.Q.; Zhou, W.; Li, X.; Xia, C.; Li, J. Facile fabrication of self-healable and antibacterial soy protein-based films with high mechanical strength. ACS Appl. Mater. Interfaces 2019, 11, 16107–16116. [Google Scholar] [CrossRef]
- Zhang, W.; Sun, H.; Zhu, C.; Wan, K.; Zhang, Y.; Fang, Z.; Ai, Z. Mechanical and water-resistant properties of rice straw fiberboard bonded with chemically-modified soy protein adhesive. RSC Adv. 2018, 8, 15188–15195. [Google Scholar] [CrossRef]
- Li, J.; Luo, J.; Li, X.; Yi, Z.; Gao, Q.; Li, J. Soybean meal-based wood adhesive enhanced by ethylene glycol diglycidyl ether and diethylenetriamine. Ind. Crops Prod. 2015, 74, 613–618. [Google Scholar] [CrossRef]
- Fapeng, W.; Jifu, W.; Chunpeng, W.; Fuxiang, C.; Xiaohuan, L.; Jiuyin, P. Fabrication of soybean protein-acrylate composite mini-emulsion toward wood adhesive. Eur. J. Wood Wood Prod. 2017, 76, 305–313. [Google Scholar] [CrossRef]
- Tous, L.; Ruseckaite, R.A.; Ciannamea, E.M. Sustainable hot-melt adhesives based on soybean protein isolate and polycaprolactone. Ind. Crops Prod. 2019, 135, 153–158. [Google Scholar] [CrossRef]
- Kang, H.; Wang, Z.; Wang, Y.; Zhao, S.; Zhang, S.; Li, J. Development of mainly plant protein-derived plywood bioadhesives via soy protein isolate fiber self-reinforced soybean meal composites. Ind. Crops Prod. 2019, 133, 10–17. [Google Scholar] [CrossRef]
- Zheng, P.; Lin, Q.; Li, F.; Ou, Y.; Chen, N. Development and characterization of a defatted soy flour-based bio-adhesive crosslinked by 1,2,3,4-butanetetracarboxylic acid. Int. J. Adhes. Adhes. 2017, 78, 148–154. [Google Scholar] [CrossRef]
- Dorishetty, P.; Balu, R.; Sreekumar, A.; de Campo, L.; Mata, J.P.; Choudhury, N.R.; Dutta, N.K. Robust and tunable hybrid hydrogels from photo-cross-linked soy protein isolate and regenerated silk fibroin. ACS Sustain. Chem. Eng. 2019, 7, 9257–9271. [Google Scholar] [CrossRef]
- Yue, L.; Meng, Z.; Yi, Z.; Gao, Q.; Mao, A.; Li, J. Effects of different denaturants on properties and performance of soy protein-based adhesive. Polymers 2019, 11, 1262. [Google Scholar] [CrossRef]
- Lorenz, L.; Frihart, C.R.; Wescott, J.M. Chromatographic Analysis of the reaction of soy flour with formaldehyde and phenol for wood adhesives. J. Am. Oil Chem. Soc. 2007, 84, 769–776. [Google Scholar] [CrossRef]
- Lin, Q.; Chen, N.; Bian, L.; Fan, M. Development and mechanism characterization of high performance soy-based bio-adhesives. Int. J. Adhes. Adhes. 2012, 34, 11–16. [Google Scholar] [CrossRef]
- Li, K.; Chen, H.; Li, Y.; Li, J.; He, J. Endogenous Cu and Zn nanocluster-regulated soy protein isolate films: Excellent hydrophobicity and flexibility. RSC Adv. 2015, 5, 66543–66548. [Google Scholar] [CrossRef]
- Liu, D.; Chen, H.; Chang, P.R.; Wu, Q.; Li, K.; Guan, L. Biomimetic soy protein nanocomposites with calcium carbonate crystalline arrays for use as wood adhesive. Bioresour. Technol. 2010, 101, 6235–6241. [Google Scholar] [CrossRef] [PubMed]
- Li, A.; Jia, Y.; Sun, S.; Xu, Y.; Minsky, B.B.; Stuart, M.A.C.; Colfen, H.; von Klitzing, R.; Guo, X. Mineral-enhanced polyacrylic acid hydrogel as an oyster-inspired organic-inorganic hybrid adhesive. ACS Appl. Mater. Interfaces 2018, 10, 10471–10479. [Google Scholar] [CrossRef] [PubMed]
- Wu, Z.; Lei, H.; Du, G. Disruption of soy-based adhesive treated by Ca(OH)2 and NaOH. J. Adhes. Sci. Technol. 2013, 27, 2226–2232. [Google Scholar] [CrossRef]
- Holten-Andersen, N.; Fantner, G.E.; Hohlbauch, S.; Waite, J.H.; Zok, F.W. Protective coatings on extensible biofibres. Nat. Mater. 2007, 6, 669–672. [Google Scholar] [CrossRef]
- Bar-On, B.; Barth, F.G.; Fratzl, P.; Politi, Y. Multiscale structural gradients enhance the biomechanical functionality of the spider fang. Nat. Commun. 2014, 5, 3894. [Google Scholar] [CrossRef]
- Xie, T.; Ding, J.; Han, X.; Jia, H.; Yang, Y.; Liang, S.; Wang, W.; Liu, W.; Wang, W. Wound dressing change facilitated by spraying zinc ions. Mater. Horiz. 2019. [Google Scholar] [CrossRef]









| Sample | Soybean Meal (g) | Water (g) | HDE (g) | Blood Meal(g) | ZnCl2 (g) | |
|---|---|---|---|---|---|---|
| Adhesive I | formulation 1 | 25 (33 wt %) a | 50 | 2.25 (3 wt %) | - | - |
| Adhesive II | formulation 2 | 25 | 50 | 2.25 | - | 0.75 (1 wt %) |
| formulation 3 | 25 | 50 | 2.25 | - | 1.125 (1.5 wt %) | |
| formulation 4 | 25 | 50 | 2.25 | - | 1.5 (2 wt %) | |
| Adhesive III | formulation 5 | 15 (20 wt %) | 50 | 2.25 | 10 (13 wt %) | 0.75 (1 wt %) |
| formulation 6 | 15 | 50 | 2.25 | 10 | 1.125 (1.5 wt %) | |
| formulation 7 | 15 | 50 | 2.25 | 10 | 1.5 (2 wt %) |
| Sample | MSI (%) | MSII (%) | MSIII (%) | Mr (%) | Tmax III (°C) |
|---|---|---|---|---|---|
| formulation 1 | 4.70 | 17.02 | 50.90 | 27.40 | 301.43 |
| formulation 2 | 3.94 | 15.28 | 53.03 | 27.74 | 305.48 |
| formulation 3 | 3.82 | 15.40 | 52.15 | 28.63 | 305.24 |
| formulation 4 | 1.97 | 14.41 | 51.56 | 32.06 | 308.84 |
| formulation 5 | 5.01 | 11.70 | 48.90 | 34.39 | 305.97 |
| formulation 6 | 4.87 | 10.41 | 47.42 | 37.30 | 307.90 |
| formulation 7 | 3.99 | 10.38 | 46.30 | 39.32 | 307.99 |
| Sample | Solid Content (%) | Moisture Uptake (%) |
|---|---|---|
| formulation 1 | 30.90 | 14.61 |
| formulation 2 | 32.94 | 17.84 |
| formulation 3 | 34.01 | 17.46 |
| formulation 4 | 32.00 | 20.27 |
| formulation 5 | 32.58 | 14.57 |
| formulation 6 | 34.31 | 11.86 |
| formulation 7 | 32.33 | 15.15 |
© 2020 by the authors. Licensee MDPI, Basel, Switzerland. This article is an open access article distributed under the terms and conditions of the Creative Commons Attribution (CC BY) license (http://creativecommons.org/licenses/by/4.0/).
Share and Cite
Bai, Y.; Liu, X.; Shi, S.Q.; Li, J. A Tough and Mildew-Proof Soybean-Based Adhesive Inspired by Mussel and Algae. Polymers 2020, 12, 756. https://doi.org/10.3390/polym12040756
Bai Y, Liu X, Shi SQ, Li J. A Tough and Mildew-Proof Soybean-Based Adhesive Inspired by Mussel and Algae. Polymers. 2020; 12(4):756. https://doi.org/10.3390/polym12040756
Chicago/Turabian StyleBai, Yue, Xiaorong Liu, Sheldon Q. Shi, and Jianzhang Li. 2020. "A Tough and Mildew-Proof Soybean-Based Adhesive Inspired by Mussel and Algae" Polymers 12, no. 4: 756. https://doi.org/10.3390/polym12040756
APA StyleBai, Y., Liu, X., Shi, S. Q., & Li, J. (2020). A Tough and Mildew-Proof Soybean-Based Adhesive Inspired by Mussel and Algae. Polymers, 12(4), 756. https://doi.org/10.3390/polym12040756
