Hydroxypropylsulfonation/Caproylation of Cornstarch to Enhance Its Adhesion to PLA Fibers for PLA Sizing
Abstract
:1. Introduction
2. Experimental
2.1. Materials
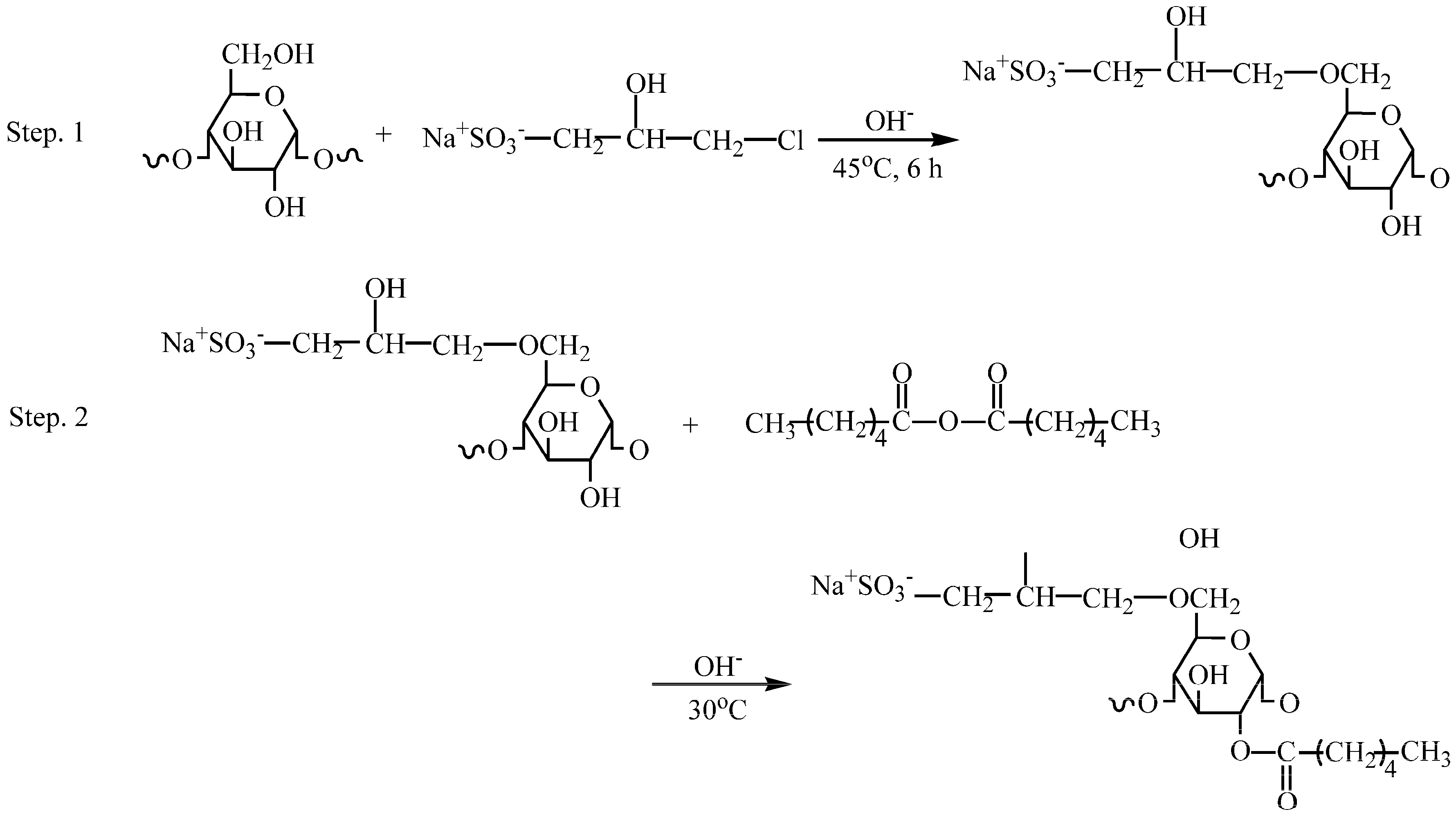
2.2. Preparation of HCS
2.3. Characterization of HCS
2.3.1. Measurement of DS
2.3.2. Fourier Transform Infrared (FTIR) Spectroscopy Analysis
2.3.3. Scanning Electron Microscopy (SEM) Analysis
2.3.4. Apparent Viscosity and Viscosity Stability
2.3.5. Surface Tension
2.4. Adhesion of Starch Samples to PLA Fibers
2.5. Preparation and Property Measurement of the Films
3. Results and Discussion
3.1. Characterization Analysis
3.2. Impact of Hydroxypropylsulfonation/Caproylation
3.2.1. Impact on Apparent Viscosity and Its Stability
3.2.2. Impact on Adhesion
4. Conclusions
Author Contributions
Acknowledgments
Conflicts of Interest
Abbreviations
| polylactic acid | PLA |
| hydroxypropylsulfonated and caproylated corn starch | HCS |
| degree of substitution | DS |
| acid-converted corn starch | ACS |
| 3-chloro-2-hydroxy-1-propanesulfonic acid sodium salt | CHPS-Na |
| caproic anhydride | CA |
| Scanning electron microscopy | SEM |
| hydroxypropylsulfonated starch | HS |
| 3-propanesulfonic-2-hydroxy | PSH |
| Fourier transform infra-red | FTIR |
| X-ray diffraction | XRD |
| relative humidity | RH |
References
- Ramaraj, B. Crosslinked poly(vinyl alcohol) and starch composite films. II. Physicomechanical, thermal properties and swelling studies. J. Appl. Polym. Sci. 2007, 103, 909–916. [Google Scholar] [CrossRef]
- Waterschoot, J.; Gomand, S.V.; Fierens, E.; Delcour, J.A. Starch blends and their physicochemical properties. Starch Stärke 2015, 67, 1–13. [Google Scholar] [CrossRef]
- Cano, A.; Fortunati, E.; Cháfer, M.; Kenny, J.M.; Chiralt, A.; González-Martínez, C. Properties and ageing behaviour of pea starch films as affected by blend with poly(vinyl alcohol). Food Hydrocoll. 2015, 48, 84–93. [Google Scholar] [CrossRef]
- Chen, J.; Liu, C.; Chen, Y.; Chen, Y.; Chang, P.R. Comparative study on the films of poly(vinyl alcohol)/pea starch nanocrystals and poly(vinyl alcohol)/native pea starch. Carbohydr. Polym. 2008, 73, 8–17. [Google Scholar] [CrossRef]
- Xu, J.Y.; Krietemeyer, E.F.; Finkenstadt, V.L.; Solaiman, D.; Ashby, R.D.; Garcia, R.A. Preparation of starch-poly-glutamic acid graft copolymers by microwave irradiation and the characterization of their properties. Carbohydr. Polym. 2016, 140, 233–237. [Google Scholar] [CrossRef] [PubMed]
- Yao, K.H.; Cai, J.; Liu, M.; Yu, Y.; Xiong, H.G.; Tang, S.W.; Ding, S.Y. Structure and properties of starch/PVA/nano-SiO2, hybrid films. Carbohydr. Polym. 2011, 86, 1784–1789. [Google Scholar] [CrossRef]
- Maran, J.P.; Sivakumar, V.; Sridhar, R.; Immanuel, V.P. Development of model for mechanical properties of tapioca starch based edible films. Ind. Crop. Prod. 2013, 42, 159–168. [Google Scholar] [CrossRef]
- Mali, S.; Grossmann, M.V.E.; García, M.A.; Martino, M.N.; Zaritzky, N.E. Mechanical and thermal properties of yam starch films. Food Hydrocoll. 2005, 19, 157–164. [Google Scholar] [CrossRef]
- Zhou, Y.Y. Theory of Textile Warp Sizes; China Textile& Apparel Press: Beijing, China, 2004; pp. 115–260. (In Chinese) [Google Scholar]
- Davidson, V.J.; Paton, D.; Diosady, L.L.; Larocque, G.J. Degradation of wheat starch in a single-screw extruder: Characteristics of extruded starch polymers. J. Food Sci. 1984, 49, 453–458. [Google Scholar] [CrossRef]
- Zhu, Z.F.; Cheng, Z.Q. Effect of inorganic phosphates on the adhesion of mono-phosphorylated cornstarch to fibers. Starch Stärke 2008, 60, 315–320. [Google Scholar] [CrossRef]
- Zhu, Z.F.; Cao, S.J. Modifications to improve the adhesion of crosslinked starch sizes to fiber substrates. Text. Res. J. 2004, 74, 253–258. [Google Scholar] [CrossRef]
- Behera, B.K.; Gupta, R.; Mishra, R. Comparative analysis of mechanical properties of size film. I. Performance of individual size materials. Fibers Polym. 2008, 9, 481–488. [Google Scholar] [CrossRef]
- Li, W.; Xu, Z.Z.; Wang, Z.Q.; Xing, J. One-step quaternization/hydroxypropylsulfonation to improve paste stability, adhesion and film properties of oxidized starch. Polymers 2018, 10, 1110. [Google Scholar] [CrossRef] [PubMed]
- Zhu, Z.F.; Liu, Z.J.; Li, M.L.; Xu, D.S.; Li, C.L. Mono-phosphorylation of cornstarch to improve the properties of wool yarns sized at reduced temperature. J. Appl. Polym. Sci. 2013, 127, 127–135. [Google Scholar] [CrossRef]
- Beliakova, M.K.; Aly, A.A.; Abdel-Mohdy, F.A. Grafting of poly(methacrylic acid) on starch and poly (vinyl alcohol). Starch Stärke 2004, 56, 407–412. [Google Scholar] [CrossRef]
- Meshram, M.W.; Patil, V.V.; Mhaske, S.T.; Thorat, B.N. Graft copolymers of starch and its application in textiles. Carbohydr. Polym. 2009, 75, 71–78. [Google Scholar] [CrossRef]
- Choi, S.G.; Kerr, W.L. Effects of chemical modification of wheat starch on molecular mobility as studied by pulsed 1H NMR. LWT-Food Sci. Technol. 2003, 36, 105–112. [Google Scholar] [CrossRef]
- John, M.J.; Anandjiwala, R.; Oksman, K.; Mathew, A.P. Melt-spun polylactic acid fibers: Effect of cellulose nanowhiskers on processing and properties. J. Appl. Polym. Sci. 2012, 127, 274–281. [Google Scholar] [CrossRef]
- Li, W.; Wu, J.; Guo, Y.; Lu, Y.H. Impact of hydroxypropylsulfonation on adhesion-to-fibers and film properties of corn starch. J. Text. Inst. 2019. [Google Scholar] [CrossRef]
- Zhu, Z.F.; Wang, M. Effects of starch maleation and sulfosuccination on the adhesion of starch to cotton and polyester fibers. J. Adhes. Sci. Technol. 2014, 28, 935–949. [Google Scholar] [CrossRef]
- Bikerman, J.J.; Marshall, D.W. Adhesiveness of polyethylene mixture. J. Appl. Polym. Sci. 1963, 7, 1031–1040. [Google Scholar] [CrossRef]
- Bello-Pérez, L.A.; Bello-Flores, C.A.; Nunez-Santiago, M.D.C.; Coronel-Aguilera, C.P.; Alvarez-Ramirez, J. Effect of the degree of substitution of octenyl succinic anhydride-banana starch on emulsion stability. Carbohydr. Polym. 2015, 132, 17–24. [Google Scholar] [CrossRef] [PubMed]
- Zhu, Z.F.; Zhuo, R.X. Controlled release of carboxylic-containing herbicides by starch-g-poly(butyl acrylate). J. Appl. Polym. Sci. 2001, 81, 1535–1543. [Google Scholar] [CrossRef]
- Zhu, Z.F.; Chen, P.H. Carbamoyl ethylation of starch for enhancing the adhesion capacity to fibers. J. Appl. Polym. Sci. 2007, 106, 2763–2768. [Google Scholar] [CrossRef]
- El-Rehim, H.A.A.; Diaa, D.A. Radiation-induced eco-compatible sulfonated starch/acrylic acid graft copolymers for sucrose hydrolysis. Carbohydr. Polym. 2012, 87, 1905–1912. [Google Scholar] [CrossRef]
- Bismark, S.; Zhu, Z.F. Amphipathic starch with phosphate and octenylsuccinate substituents for strong adhesion to cotton in warp sizing. Fibers Polym. 2018, 19, 1850–1860. [Google Scholar] [CrossRef]
- Li, W.; Xu, Z.Z.; Wang, Z.Q.; Liu, X.H.; Li, C.L.; Ruan, F.T. Double etherification of corn starch to improve its adhesion to cotton and polyester fibers. Int. J. Adhes. Adhes. 2018, 84, 101–107. [Google Scholar] [CrossRef]
- Chang, Y.J.; Choi, H.W.; Kim, H.S.; Lee, H.; Kim, W.; Kim, D.O.; Kim, B.Y.; Baik, M.Y. Physicochemical properties of granular and non-granular cationic starches prepared under ultra high pressure. Carbohydr. Polym. 2014, 99, 385–393. [Google Scholar] [CrossRef]
- Li, W.; Zhu, Z.F. Electroneutral maize starch by quaterization and sulfosuccination for strong adhesion-to-viscose fibers and easy removal. J. Adhes. 2016, 92, 257–272. [Google Scholar] [CrossRef]
- Wang, Y.B.; Xie, W.L. Synthesis of cationic starch with a high degree of substitution in an ionic liquid. Carbohydr. Polym. 2010, 80, 1172–1177. [Google Scholar] [CrossRef]
- Xie, J.X. Infrared Spectrum; Science Press: Beijing, China, 1987; pp. 337–346. (In Chinese) [Google Scholar]
- Singh, J.; Kaur, L.; Mccarthy, O.J. Factors influencing the physico-chemical, morphological, thermal and rheological properties of some chemically modified starches for food applications-A review. Food Hydrocoll. 2007, 21, 1–22. [Google Scholar] [CrossRef]
- Li, W.; Xu, W.Z.; Wei, A.F.; Xu, Z.Z.; Zhang, C.H. Quaternization/maleation of cornstarch to improve its adhesion and film properties for warp sizing. Fibers Polym. 2016, 17, 1589–1597. [Google Scholar] [CrossRef]
- Wurzburg, O.; Szymanski, C. Modified starches for the food industry. J. Agric. Food Chem. 1970, 18, 997–1001. [Google Scholar]
- Doublier, J.L.; Llamas, G.; Meur, M.L. A rheological investigation of cereal starch pastes and gels. Effect of pasting procedures. Carbohydr. Polym. 1987, 7, 251–275. [Google Scholar] [CrossRef]
- Wong, R.B.K.; Lelievre, J. Rheological characteristics of wheat starch pastes measured under steady shear conditions. J. Appl. Polym. Sci. 1982, 27, 1433–1440. [Google Scholar] [CrossRef]
- Alishahi, A.; Farahnaky, A.; Majzoobi, M.; Blanchard, C.L. Physicochemical and textural properties of corn starch gels: Effect of mixing speed and time. Food Hydrocoll. 2015, 45, 55–62. [Google Scholar] [CrossRef]
- Zhang, K. Interface Science of Polymers; China Petrochemical Press: Beijing, China, 1996; p. 130. [Google Scholar]
- Zhu, Z.F. Starch mono-phosphorylation for enhancing the stability of starch/PVA blend pastes for warp sizing. Carbohydr. Polym. 2003, 54, 115–118. [Google Scholar] [CrossRef]
- Rindlav-Westling, A.; Stading, M.; Gatenholm, P. Crystallinity and morphology in films of starch, amylose and amylopectin blends. Biomacromolecules 2002, 3, 84–91. [Google Scholar] [CrossRef]
- Liu, Z.; Han, J.H. Film-forming characterstics of starches. J. Food Sci. 2005, 70, E31–E36. [Google Scholar]
- Wu, S.H. Polymer Interface and Adhesion; Marcel Dekker: New York, NY, USA, 1982; pp. 359–448. [Google Scholar]
- Shen, S.Q.; Zhu, Z.F.; Liu, F.D. Introduction of poly[(2-acryloyloxyethyl trimethyl ammonium chloride)-co-(acrylic acid)] branches onto starch for cotton warp sizing. Carbohydr. Polym. 2016, 138, 280–289. [Google Scholar] [CrossRef]
- Li, W.; Zhu, Z.F. Effect of sulfosuccinylation of corn starch on the adhesion to viscose fibres at lower temperature. Indian J. Fibre Text. Res. 2014, 39, 314–321. [Google Scholar]
- Thiré, R.M.S.; Simão, M.R.A.; Andrade, C.T. High resolution imaging of the microstructure of maize starch films. Carbohydr. Polym. 2003, 54, 149–158. [Google Scholar] [CrossRef]










| Starch Samples | Weight of CHPS-Na(g) | DSp | Weight of CA(g) | DSc | Total DS |
|---|---|---|---|---|---|
| ACS | 0 | - | 0 | - | - |
| HS | 15 | 0.029 | 0 | - | 0.029 |
| HCS | 15 | 0.029 | 7.5 | 0.020 | 0.049 |
| 15 | 0.029 | 15.0 | 0.041 | 0.070 | |
| 15 | 0.029 | 22.5 | 0.058 | 0.087 |
© 2019 by the authors. Licensee MDPI, Basel, Switzerland. This article is an open access article distributed under the terms and conditions of the Creative Commons Attribution (CC BY) license (http://creativecommons.org/licenses/by/4.0/).
Share and Cite
Li, W.; Wu, J.; Cheng, X.; Wu, L.; Liu, Z.; Ni, Q.; Lu, Y. Hydroxypropylsulfonation/Caproylation of Cornstarch to Enhance Its Adhesion to PLA Fibers for PLA Sizing. Polymers 2019, 11, 1197. https://doi.org/10.3390/polym11071197
Li W, Wu J, Cheng X, Wu L, Liu Z, Ni Q, Lu Y. Hydroxypropylsulfonation/Caproylation of Cornstarch to Enhance Its Adhesion to PLA Fibers for PLA Sizing. Polymers. 2019; 11(7):1197. https://doi.org/10.3390/polym11071197
Chicago/Turabian StyleLi, Wei, Jie Wu, Xingui Cheng, Lanjuan Wu, Zhi Liu, Qingqing Ni, and Yuhao Lu. 2019. "Hydroxypropylsulfonation/Caproylation of Cornstarch to Enhance Its Adhesion to PLA Fibers for PLA Sizing" Polymers 11, no. 7: 1197. https://doi.org/10.3390/polym11071197
APA StyleLi, W., Wu, J., Cheng, X., Wu, L., Liu, Z., Ni, Q., & Lu, Y. (2019). Hydroxypropylsulfonation/Caproylation of Cornstarch to Enhance Its Adhesion to PLA Fibers for PLA Sizing. Polymers, 11(7), 1197. https://doi.org/10.3390/polym11071197

