Polyvinylnorbornene Gas Separation Membranes
Abstract
1. Introduction
2. Materials and Methods
2.1. Materials
2.2. Characterization Methods
2.3. Polymerization
2.3.1. Polynorbornene (pNB)
2.3.2. pNB-VNB-50 Using Ni(C6F5)2(SbPh3)2
2.3.3. pVNB Using Ni(C6F5)2(SbPh3)2
2.3.4. pNB-VNB-50 Using Pd2dba3/AgSbF6/PPh3
2.3.5. pVNB Using Pd2dba3/AgSbF6/PPh3
2.3.6. pVNB Using Pd2dba3/TTPB/PCy3
2.3.7. pNB-VNB Copolymers Using Pd2dba3/TTPB/PCy3
2.4. Membrane Preparation
2.5. Gas Separation Measurements
3. Results
3.1. Polynorbornenes with Increasing VNB Content
3.1.1. Polymerization and Characterization
3.1.2. Gas Separations
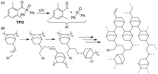
3.2. Crosslinking of pVNB
3.2.1. Polymerization, Crosslinking and Characterization
3.2.2. Gas Separations
3.3. Robeson Plot
4. Conclusions
Supplementary Materials
Author Contributions
Funding
Conflicts of Interest
References
- Sumitomo Bakelite Co., LTD. Promerus Introduction to Materials & Applications. Available online: https://www.promerus.com/wp-content/uploads/2017/10/Promerus-Materials-and-Applications-100317-v2.pdf (accessed on 20 September 2001).
- Smith, S.; Paudel, L.; Cyrus, C.; Burgoon, H.; Fujita, K.; Thoresen, J.; Thomas, K.; Langsdorf, L.; Rhodes, L.F. Sugar-Functional Vinyl Addition Poly(norbornene)–Photopatternable Poly(norbornenyl gluconamide) Compositions Developed with Water. ACS Omega 2018, 3, 2909–2917. [Google Scholar] [CrossRef]
- Osokin, Y.G. Vinylnorbornene: Preparation, chemical transformations, and use in organic synthesis and polymer chemistry. Vinylnorbornene synthesis and isomerization to ethylidenenorbornene (Review). Pet. Chem. 2007, 47, 1–11. [Google Scholar] [CrossRef]
- Mol, J.C. Industrial applications of olefin metathesis. J. Mol. Catal. A Chem. 2004, 213, 39–45. [Google Scholar] [CrossRef]
- Finkelshtein, E.; Gringolts, M.; Bermeshev, M.; Chapala, P. Membrane Materials for Gas and Vapor Separation; Yampolskii, Y., Finkelshtein, E., Eds.; John Wiley & Sons, Ltd.: Chichester, UK, 2017; ISBN 9781119112747. [Google Scholar]
- Yampolskii, Y. Norbornene Polymers as Materials for Membrane Gas Separation. In Comprehensive Membrane Science and Engineering; Elsevier: Amsterdam, The Netherlands, 2010; Volume 1, pp. 131–146. ISBN 9780080932507. [Google Scholar]
- Dorkenoo, K.D.; Pfromm, P.H.; Rezac, M.E. Gas transport properties of a series of high Tg polynorbornenes with aliphatic pendant groups. J. Polym. Sci. Part B Polym. Phys. 1998, 36, 797–803. [Google Scholar] [CrossRef]
- Bermeshev, M.V.; Chapala, P.P. Addition polymerization of functionalized norbornenes as a powerful tool for assembling molecular moieties of new polymers with versatile properties. Prog. Polym. Sci. 2018, 84, 1–46. [Google Scholar] [CrossRef]
- Belov, N.; Nikiforov, R.; Starannikova, L.; Gmernicki, K.R.; Maroon, C.R.; Long, B.K.; Shantarovich, V.; Yampolskii, Y. A detailed investigation into the gas permeation properties of addition-type poly (5-triethoxysilyl-2-norbornene). Eur. Polym. J. 2017, 93, 602–611. [Google Scholar] [CrossRef]
- Gmernicki, K.R.; Hong, E.; Maroon, C.R.; Mahurin, S.M.; Sokolov, A.P.; Saito, T.; Long, B.K. Accessing Siloxane Functionalized Polynorbornenes via Vinyl-Addition Polymerization for CO2 Separation Membranes. ACS Macro Lett. 2016, 5, 879–883. [Google Scholar] [CrossRef]
- Finkelshtein, E.S.; Bermeshev, M.V.; Gringolts, M.L.; Starannikova, L.E.; Yampolskii, Y.P. Substituted polynorbornenes as promising materials for gas separation membranes. Russ. Chem. Rev. 2011, 80, 341–361. [Google Scholar] [CrossRef]
- Budd, P.M.; Ghanem, B.S.; Makhseed, S.; McKeown, N.B.; Msayib, K.J.; Tattershall, C.E. Polymers of intrinsic microporosity (PIMs): Robust, solution-processable, organic nanoporous materials. Chem. Commun. 2004, 230–231. [Google Scholar] [CrossRef] [PubMed]
- Carta, M.; Malpass-Evans, R.; Croad, M.; Rogan, Y.; Lee, M.; Rose, I.; McKeown, N.B. The synthesis of microporous polymers using Tröger’s base formation. Polym. Chem. 2014, 5, 5267–5272. [Google Scholar] [CrossRef]
- Ghanem, B.S.; McKeown, N.B.; Budd, P.M.; Selbie, J.D.; Fritsch, D. High-performance membranes from polyimides with intrinsic microporosity. Adv. Mater. 2008, 20, 2766–2771. [Google Scholar] [CrossRef] [PubMed]
- Finkelshtein, E.S.; Makovetskii, K.L.; Gringolts, M.L.; Rogan, Y.V.; Golenko, T.G.; Starannikova, L.E.; Yampolskii, Y.P.; Shantarovich, V.P.; Suzuki, T. Addition-Type Polynorbornenes with Si(CH3)3 Side Groups: Synthesis, Gas Permeability, and Free Volume. Macromolecules 2006, 39, 7022–7029. [Google Scholar] [CrossRef]
- Alentiev, D.; Dzhaparidze, D.; Gavrilova, N.; Shantarovich, V.; Kiseleva, E.; Topchiy, M.; Asachenko, A.; Gribanov, P.; Nechaev, M.; Legkov, S.; et al. Microporous Materials Based on Norbornadiene-Based Cross-Linked Polymers. Polymers (Basel) 2018, 10, 1382. [Google Scholar] [CrossRef]
- Zhao, C.T.; Do Rosário Ribeiro, M.; De Pinho, M.N.; Subrahmanyam, V.S.; Gil, C.L.; De Lima, A.P. Structural characteristics and gas permeation properties of polynorbornenes with retained bicyclic structure. Polymer (Guildf) 2001, 42, 2455–2462. [Google Scholar] [CrossRef]
- Staudt-Bickel, C.; Koros, W. Improvement of CO2/CH4 separation characteristics of polyimides by chemical crosslinking. J. Membr. Sci. 1999, 155, 145–154. [Google Scholar] [CrossRef]
- Vanherck, K.; Koeckelberghs, G.; Vankelecom, I.F.J. Crosslinking polyimides for membrane applications: A review. Prog. Polym. Sci. 2013, 38, 874–896. [Google Scholar] [CrossRef]
- Ma, C.; Koros, W.J. High-performance ester-crosslinked hollow fiber membranes for natural gas separations. J. Membr. Sci. 2013, 428, 251–259. [Google Scholar] [CrossRef]
- Hilborn, J.; Rånby, B. Photocrosslinking of EPDM Elastomers. A New Method for Rapid Curing of Elastomer Coatings at Room Temperature. Rubber Chem. Technol. 1988, 61, 568–576. [Google Scholar] [CrossRef]
- Rånby, B. Photochemical modification of polymers-photocrosslinking, surface photografting, and lamination. Polym. Eng. Sci. 1998, 38, 1229–1243. [Google Scholar] [CrossRef]
- Rundlett, B. Photoinitiator Selection. Available online: https://www.radtech.org/proceedings/2012/papers/end-user-presentations/LED/DSM_Rundlett_LED.pdf (accessed on 20 August 2012).
- Khan, A.L.; Basu, S.; Cano-odena, A.; Vankelecom, I.F.J. Novel high throughput equipment for membrane-based gas separations. J. Membr. Sci. 2010, 354, 32–39. [Google Scholar] [CrossRef]
- Commarieu, B.; Potier, J.; Compaore, M.; Dessureault, S.; Goodall, B.L.; Li, X.; Claverie, J.P. Ultrahigh TgEpoxy Thermosets Based on Insertion Polynorbornenes. Macromolecules 2016, 49, 920–925. [Google Scholar] [CrossRef]
- Saito, T.; Wakatsuki, Y. Addition polymerization of norbornene, 5-vinyl-2-norbornene and 2-methoxycarbonyl-5-norbornene with a catalyst based on a palladium(0) precursor complex. Polymer (Guildf) 2012, 53, 308–315. [Google Scholar] [CrossRef]
- Funk, J.K.; Andes, C.E.; Sen, A. Addition Polymerization of Functionalized Norbornenes: The Effect of Size, Stereochemistry, and Coordinating Ability of the Substituent. Organometallics 2004, 23, 1680–1683. [Google Scholar] [CrossRef]
- Wilks, B.R.; Chung, W.J.; Ludovice, P.J.; Rezac, M.R.; Meakin, P.; Hill, A.J. Impact of average free-volume element size on transport in stereoisomers of polynorbornene. I. Properties at 35 °C. J. Polym. Sci. Part B Polym. Phys. 2003, 41, 2185–2199. [Google Scholar] [CrossRef]
- Ahmed, S. Stereochemical Structure-Property Relationships in Polynorbornene from Simulation. Ph.D. Thesis, Georgia Institute of Technology, Atlanta, GA, USA, 1998. [Google Scholar]
- Wilks, B.R.; Chung, W.J.; Ludovice, P.J.; Rezac, M.E.; Meakin, P.; Hill, A.J. Structural and free-volume analysis for alkyl-substituted palladium-catalyzed poly(norbornene): A combined experimental and Monte Carlo investigation. J. Polym. Sci. Part B Polym. Phys. 2006, 44, 215–233. [Google Scholar] [CrossRef]
- Ciba Speciality Chemicals Photoinitiators for UV Curing. Available online: https://people.rit.edu/deeemc/reference_13/Imprint/Photoinitiators for UV curing.pdf (accessed on February 2019).
- Robeson, L.M. Correlation of separation factor versus permeability for polymeric membranes. J. Membr. Sci. 1991, 62, 165–185. [Google Scholar] [CrossRef]
- Robeson, L.M. The upper bound revisited. J. Membr. Sci. 2008, 320, 390–400. [Google Scholar] [CrossRef]
- Sulub-Sulub, R.; Loría-Bastarrachea, M.I.; Vázquez-Torres, H.; Santiago-García, J.L.; Aguilar-Vega, M. Highly permeable polyimide membranes with a structural pyrene containing tert-butyl groups: Synthesis, characterization and gas transport. J. Membr. Sci. 2018, 563, 134–141. [Google Scholar] [CrossRef]
- Dutta, A.; Bisoi, S.; Mukherjee, R.; Chatterjee, R.; Das, R.K.; Banerjee, S. Soluble polyimides with propeller shape triphenyl core for membrane based gas separation. J. Appl. Polym. Sci. 2018, 135, 46658. [Google Scholar] [CrossRef]
- Yen, H.; Guo, S.; Yeh, J.; Liou, G.-S. Triphenylamine-based polyimides with trimethyl substituents for gas separation membrane and electrochromic applications. J. Polym. Sci. Part A Polym. Chem. 2011, 49, 3637–3646. [Google Scholar] [CrossRef]
- Hu, Y.-C.; Chen, C.-J.; Yen, H.-J.; Lin, K.-Y.; Yeh, J.-M.; Chen, W.-C.; Liou, G.-S. Novel triphenylamine-containing ambipolar polyimides with pendant anthraquinone moiety for polymeric memory device, electrochromic and gas separation applications. J. Mater. Chem. 2012, 22, 20394. [Google Scholar] [CrossRef]
- Mao, H.; Zhang, S. Synthesis, characterization and gas transport properties of novel poly(amine-imide)s containing tetraphenylmethane pendant groups. J. Mater. Chem. A 2014, 2, 9835–9843. [Google Scholar] [CrossRef]
- Robeson, L.M.; Dose, M.E.; Freeman, B.D.; Paul, D.R. Analysis of the transport properties of thermally rearranged (TR) polymers and polymers of intrinsic microporosity (PIM) relative to upper bound performance. J. Membr. Sci. 2017, 525, 18–24. [Google Scholar] [CrossRef]
- Ghanem, B.S.; Swaidan, R.; Litwiller, E.; Pinnau, I. Ultra-microporous triptycene-based polyimide membranes for high-performance gas separation. Adv. Mater. 2014, 26, 3688–3692. [Google Scholar] [CrossRef]
- Ma, X.; Pinnau, I. A novel intrinsically microporous ladder polymer and copolymers derived from 1,1′,2,2′-tetrahydroxy-tetraphenylethylene for membrane-based gas separation. Polym. Chem. 2016. [Google Scholar] [CrossRef]
- Bezzu, C.G.; Carta, M.; Ferrari, M.C.; Jansen, J.C.; Monteleone, M.; Esposito, E.; Fuoco, A.; Hart, K.; Liyana-Arachchi, T.P.; Colina, C.M.; et al. The synthesis, chain-packing simulation and long-term gas permeability of highly selective spirobifluorene-based polymers of intrinsic microporosity. J. Mater. Chem. A 2018, 6, 10507–10514. [Google Scholar] [CrossRef]
- Ghanem, B.S.; McKeown, N.B.; Budd, P.M.; Al-Harbi, N.M.; Fritsch, D.; Heinrich, K.; Starannikova, L.; Tokarev, A.; Yampolskii, Y. Synthesis, characterization, and gas permeation properties of a novel group of polymers with intrinsic microporosity: PIM-polyimides. Macromolecules 2009, 42, 7881–7888. [Google Scholar] [CrossRef]
- Alentiev, D.A.; Egorova, E.S.; Bermeshev, M.V.; Starannikova, L.E.; Topchiy, M.A.; Asachenko, A.F.; Gribanov, P.S.; Nechaev, M.S.; Yampolskii, Y.P.; Finkelshtein, E.S. Janus tricyclononene polymers bearing tri(n-alkoxy)silyl side groups for membrane gas separation. J. Mater. Chem. A 2018, 6, 19393–19408. [Google Scholar] [CrossRef]











| NB | VNB | Yield | ||||
|---|---|---|---|---|---|---|
| pNB-VNB-25 | 706 mg | 7.50 mmol | 300 mg | 2.50 mmol | 754 mg | 75% |
| pNB-VNB-50 | 471 mg | 5.00 mmol | 601 mg | 5.00 mmol | 836 mg | 78% |
| pNB-VNB-75 | 235 mg | 2.50 mmol | 901 mg | 7.50 mmol | 935 mg | 82% |
| Polymer | Catalyst | Yield | Đ | |||
|---|---|---|---|---|---|---|
| pNB b | Ni(C6F5)2(SbPh3)2 | 1000 | 58% | 84 | 277 | 3.3 |
| pNB-VNB-25 a | Pd2dba3/TTPB/PCy3 | 1000 | 75% | 121 | 263 | 2.2 |
| pNB-VNB-50 a | Pd2dba3/TTPB/PCy3 | 1000 | 78% | 167 | 440 | 2.6 |
| pNB-VNB-75 a | Pd2dba3/TTPB/PCy3 | 1000 | 82% | 104 | 198 | 1.9 |
| pVNB a | Pd2dba3/TTPB/PCy3 | 1000 | 93% | 349 | 471 | 1.4 |
| Polynorbornene | 2θ [°] | d-Spacing [Å] | Ref | ||
|---|---|---|---|---|---|
| Low Angle | High Angle | Low Angle | High Angle | ||
| pNB | 10 | 18.5 | 8.8 | 4.7 | [17] |
| pNB | 10 | 18.8 | 8.8 | 4.7 | this work |
| pNB (R: –CH3) | 9.5 | 18.2 | 9.3 | 4.9 | [28] |
| pVNB | 8.4 | 18.6 | 10.5 | 4.8 | this work |
| pNB (R: n–C4H9) | 7.2 | 18.8 | 12.2 | 4.7 | [30] |
| pNB (R: –Si(CH3)3) | 6.5 | 15.5 | 13.6 | 5.7 | [15] |
| pNB (R: –n–C6H13) | 6.6 | 19.2 | 13.5 | 4.6 | [30] |
| Polynorbornenes | Catalyst | Single-Gas Permeability [Barrer] | Ref. | |||
|---|---|---|---|---|---|---|
| CH4 | CO2 | N2 | H2 | |||
| pNB | Ni a | 2.0 ± 0.7 | 28.2 ± 5.3 | 1.9 ± 0.5 | 59.3 ± 10 | This work |
| pNB-VNB-50 | Pd b | 5.7 | 85.3 | 3.6 | 89.6 | This work |
| pNB-VNB-75 | Pd b | 3.9 ± 0.1 | 60.8 ± 2.1 | 2.5 ± 0.1 | 64.8 ± 2.3 | This work |
| pVNB | Pd b | 8.3 ± 1.4 | 104.3 ± 3.2 | 4.8 ± 1.0 | 88.7 ± 5.4 | This work |
| pNB | Ni c | 2.6 | 33.6 | 1.5 | 41.5 | [15] |
| pNB (R: –CH3) | Ni d | 5.6 | 81.1 | 4.3 | - | [28] |
| pNB (R: –CH3) | Pd d | 16.9 | 202.1 | 12.6 | - | [28] |
| pNB (R: –Si(CH3)3) | Ni d | 790 | 4350 | 297 | 1680 | [15] |
| Polynorbornenes | Single-Gas Selectivity | ||||
|---|---|---|---|---|---|
| CO2/CH4 | CO2/N2 | H2/CO2 | H2/CH4 | H2/N2 | |
| pNB | 15.0 ± 2.9 | 15.5 ± 1.3 | 2.1 ± 0.0 | 31.7 ± 6.5 | 32.7 ± 3.1 |
| pNB-VNB-50 | 14.9 | 23.4 | 1.1 | 15.7 | 24.6 |
| pNB-VNB-75 | 15.6 ± 0.1 | 24.2 ± 0.1 | 1.1 ± 0.0 | 16.6 ± 0.1 | 25.8 ± 0.1 |
| pVNB | 12.9 ± 1.6 | 22.4 ± 3.5 | 0.9 ± 0.0 | 10.9 ± 1.1 | 18.9 ± 2.5 |
| pVNB with TPO Loading | PCO2/CH4 [Barrer] | αCO2/CH4 |
|---|---|---|
| pVNB-0% | 26.8 ± 3.3 | 18.9 ± 1.2 |
| pVNB-1.3% | 20.0 | 22.0 |
| pVNB-33% | 9.8 ± 0.4 | 21.9 ± 0.2 |
| pVNB-65% | 14.3 ± 1.7 | 19.4 ± 3.5 |
© 2019 by the authors. Licensee MDPI, Basel, Switzerland. This article is an open access article distributed under the terms and conditions of the Creative Commons Attribution (CC BY) license (http://creativecommons.org/licenses/by/4.0/).
Share and Cite
Dujardin, W.; Van Goethem, C.; Steele, J.A.; Roeffaers, M.; Vankelecom, I.F.J.; Koeckelberghs, G. Polyvinylnorbornene Gas Separation Membranes. Polymers 2019, 11, 704. https://doi.org/10.3390/polym11040704
Dujardin W, Van Goethem C, Steele JA, Roeffaers M, Vankelecom IFJ, Koeckelberghs G. Polyvinylnorbornene Gas Separation Membranes. Polymers. 2019; 11(4):704. https://doi.org/10.3390/polym11040704
Chicago/Turabian StyleDujardin, Wouter, Cédric Van Goethem, Julian A. Steele, Maarten Roeffaers, Ivo F. J. Vankelecom, and Guy Koeckelberghs. 2019. "Polyvinylnorbornene Gas Separation Membranes" Polymers 11, no. 4: 704. https://doi.org/10.3390/polym11040704
APA StyleDujardin, W., Van Goethem, C., Steele, J. A., Roeffaers, M., Vankelecom, I. F. J., & Koeckelberghs, G. (2019). Polyvinylnorbornene Gas Separation Membranes. Polymers, 11(4), 704. https://doi.org/10.3390/polym11040704

