Effect of Ionic Group on the Complex Coacervate Core Micelle Structure
Abstract
1. Introduction
2. Materials and Methods
2.1. Materials
2.2. Dynamic Light Scattering (DLS)
2.3. Cryogenic Transmission Electron Microscopy (Cryo-TEM)
2.4. Small Angle Neutron Scattering (SANS)
3. Results and Discussion
3.1. General Consideration
3.2. DLS & Cryo-TEM
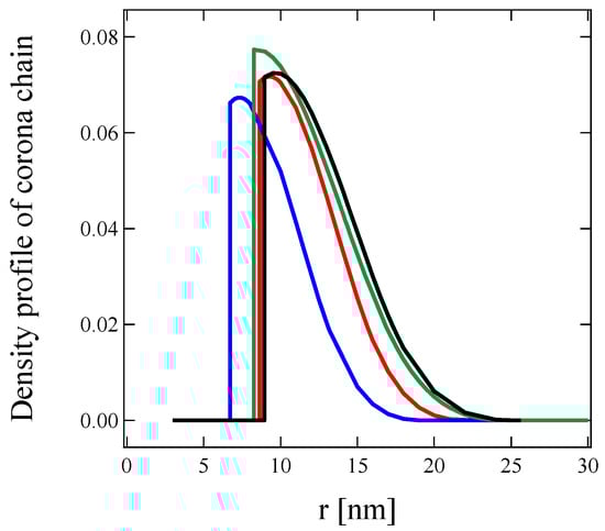
3.3. Small-Angle Neutron Scattering (SANS)
4. Conclusions
Supplementary Materials
Author Contributions
Funding
Acknowledgments
Conflicts of Interest
Appendix A
Fitting Model
References
- Bungenberg de Jong, H.G. Die Koazervation und ihre Bedeutung für die Biologie. Protoplasma 1932, 15, 110–173. [Google Scholar] [CrossRef]
- Bohidar, H.B. Coacervates: A novel state of soft matter - An overview. J. Surf. Sci. Technol. 2008, 24, 105–124. [Google Scholar]
- Overbeek, J.T.G.; Voorn, M.J. Phase separation in polyelectrolyte solutions; theory of complex coacervation. J. Cell. Physiol. Suppl. 1957, 49, 7–22. [Google Scholar] [CrossRef] [PubMed]
- Spruijt, E.; Sprakel, J.; Cohen Stuart, M.A.; van der Gucht, J. Interfacial tension between a complex coacervate phase and its coexisting aqueous phase. Soft Matter 2010, 6, 172–178. [Google Scholar] [CrossRef]
- Qin, J.; Priftis, D.; Farina, R.; Perry, S.L.; Leon, L.; Whitmer, J.; Hoffmann, K.; Tirrell, M.; De Pablo, J.J. Interfacial tension of polyelectrolyte complex coacervate phases. ACS Macro Lett. 2014, 3, 565–568. [Google Scholar] [CrossRef]
- Perry, S.L.; Li, Y.; Priftis, D.; Leon, L.; Tirrell, M. The effect of salt on the complex coacervation of vinyl polyelectrolytes. Polymers 2014, 6, 1756–1772. [Google Scholar] [CrossRef]
- Wang, Q.; Schlenoff, J.B. The Polyelectrolyte Cornplex/Coacervate Continuum. Macromolecules 2014, 47, 3108–3116. [Google Scholar] [CrossRef]
- Chollakup, R.; Smitthipong, W.; Eisenbach, C.D.; Tirrell, M. Phase behavior and coacervation of aqueous poly(acrylic acid)-poly(allylamine) solutions. Macromolecules 2010, 43, 2518–2528. [Google Scholar] [CrossRef]
- De Kruif, C.G.; Weinbreck, F.; De Vries, R. Complex coacervation of proteins and anionic polysaccharides. Curr. Opin. Colloid Interface Sci. 2004, 9, 340–349. [Google Scholar] [CrossRef]
- Spruijt, E.; Westphal, A.H.; Borst, J.W.; Cohen Stuart, M.A.; Van Der Gucht, J. Binodal compositions of polyelectrolyte complexes. Macromolecules 2010, 43, 6476–6484. [Google Scholar] [CrossRef]
- van der Gucht, J.; Spruijt, E.; Lemmers, M.; Cohen Stuart, M.A. Polyelectrolyte complexes: Bulk phases and colloidal systems. J. Colloid Interface Sci. 2011, 361, 407–422. [Google Scholar] [CrossRef] [PubMed]
- Priftis, D.; Tirrell, M. Phase behaviour and complex coacervation of aqueous polypeptide solutions. Soft Matter 2012, 8, 9396–9405. [Google Scholar] [CrossRef]
- Priftis, D.; Xia, X.; Margossian, K.O.; Perry, S.L.; Leon, L.; Qin, J.; De Pablo, J.J.; Tirrell, M. Ternary, tunable polyelectrolyte complex fluids driven by complex coacervation. Macromolecules 2014, 47, 3076–3085. [Google Scholar] [CrossRef]
- Jewell, C.M.; Lynn, D.M. Multilayered polyelectrolyte assemblies as platforms for the delivery of DNA and other nucleic acid-based therapeutics. Adv. Drug Deliv. Rev. 2008, 60, 979–999. [Google Scholar] [CrossRef] [PubMed]
- Schmitt, C.; Aberkane, L.; Sanchez, C. Protein–polysaccharide complexes and coacervates. Adv. Colloid Interface Sci. 2011, 167, 63–70. [Google Scholar] [CrossRef] [PubMed]
- Cohen Stuart, M.A.; Besseling, N.A.M.; Fokkink, R.G. Formation of micelles with complex coacervate cores. Langmuir 1998, 14, 6846–6849. [Google Scholar] [CrossRef]
- Kabanov, A.V.; Bronich, T.K.; Kabanov, V.A.; Yu, K.; Eisenberg, A. Soluble Stoichiometric Complexes from Poly( N -ethyl-4-vinylpyridinium) Cations and Poly(ethylene oxide)- block -polymethacrylate Anions. Macromolecules 1996, 29, 6797–6802. [Google Scholar] [CrossRef]
- Harada, A.; Kataoka, K. Formation of polyion complex micelles in a aqueuus milieu from a pair of oppositly-charged block copolymers with poly(ethylene glykole) segments. Macromolecules 1995, 28, 5294–5299. [Google Scholar] [CrossRef]
- Voets, I.K.; de Keizer, A.; Cohen Stuart, M.A. Complex coacervate core micelles. Adv. Colloid Interface Sci. 2009, 147–148, 300–318. [Google Scholar] [CrossRef] [PubMed]
- Anraku, Y.; Kishimura, A.; Kamiya, M.; Tanaka, S.; Nomoto, T.; Toh, K.; Matsumoto, Y.; Fukushima, S.; Sueyoshi, D.; Kano, M.R.; et al. Systemically Injectable Enzyme-Loaded Polyion Complex Vesicles as in Vivo Nanoreactors Functioning in Tumors. Angew. Chemie-Int. Ed. 2016, 55, 560–565. [Google Scholar] [CrossRef] [PubMed]
- Lindhoud, S.; Voorhaar, L.; de Vries, R.; Schweins, R.; Cohen Stuart, M.A.; Norde, W. Salt-Induced Disintegration of Lysozyme-Containing Polyelectrolyte Complex Micelles. Langmuir 2009, 25, 11425–11430. [Google Scholar] [CrossRef] [PubMed]
- Bourouina, N.; Cohen Stuart, M.A.; Kleijn, J.M. Complex coacervate core micelles as diffusional nanoprobes. Soft Matter 2014, 10, 320–331. [Google Scholar] [CrossRef] [PubMed]
- Lindhoud, S.; de Vries, R.; Norde, W.; Cohen Stuart, M.A. Structure and stability of complex coacervate core micelles with lysozyme. Biomacromolecules 2007, 8, 2219–2227. [Google Scholar] [CrossRef] [PubMed]
- Harada, A.; Kataoka, K. On-off control of enzymatic activity synchronizing with reversible formation of supramolecular assembly from enzyme and charged block copolymers. J. Am. Chem. Soc. 1999, 121, 9241–9242. [Google Scholar] [CrossRef]
- Harada, A.; Kataoka, K. Novel Polyion Complex Micelles Entrapping Enzyme Molecules in the Core: Preparation of Narrowly-Distributed Micelles from Lysozyme and Poly(ethylene glycol)-Poly(aspartic acid) Block Copolymer in Aqueous Medium. Macromolecules 1998, 31, 288–294. [Google Scholar] [CrossRef]
- Wang, J.; Velders, A.H.; Gianolio, E.; Aime, S.; Vergeldt, F.J.; Van As, H.; Yan, Y.; Drechsler, M.; de Keizer, A.; Cohen Stuart, M.A.; van der Gucht, J. Controlled mixing of lanthanide(iii) ions in coacervate core micelles. Chem. Commun. 2013, 49, 3736. [Google Scholar] [CrossRef] [PubMed]
- Koide, A.; Kishimura, A.; Osada, K.; Jang, W.; Yamasaki, Y.; Kataoka, K. Semipermeable polymer vesicle (PICsome) self-assembled in aqueous medium from a pair of oppositely charged block copolymers: Physiologically stable micro-/nanocontainers of water-soluble macromolecules. J. Am. Chem. Soc. 2006, 128, 5988–5989. [Google Scholar] [CrossRef] [PubMed]
- Harada, A.; Togawa, H.; Kataoka, K. Physicochemical properties and nuclease resistance of antisense-oligodeoxynucleotides entrapped in the core of polyion complex micelles composed of poly(ethylene glycol)-poly(L-Lysine) block copolymers. Eur. J. Pharm. Sci. 2001, 13, 35–42. [Google Scholar] [CrossRef]
- Sanson, N.; Bouyer, F.; Destarac, M.; In, M.; Gérardin, C. Hybrid polyion complex micelles formed from double hydrophilic block copolymers and multivalent metal ions: Size control and nanostructure. Langmuir 2012, 28, 3773–3782. [Google Scholar] [CrossRef] [PubMed]
- Reboul, J.; Nugay, T.; Anik, N.; Cottet, H.; Ponsinet, V.; In, M.; Lacroix-Desmazes, P.; Gérardin, C. Synthesis of double hydrophilic block copolymers and induced assembly with oligochitosan for the preparation of polyion complex micelles. Soft Matter 2011, 7, 5836. [Google Scholar] [CrossRef]
- Harada, A.; Kataoka, K. Selection between block- and homo-polyelectrolytes through polyion complex formation in aqueous medium. Soft Matter 2008, 4, 162–167. [Google Scholar] [CrossRef]
- van der Kooij, H.M.; Spruijt, E.; Voets, I.K.; Fokkink, R.; Cohen Stuart, M.A.; van der Gucht, J. On the Stability and Morphology of Complex Coacervate Core Micelles: From Spherical to Wormlike Micelles. Langmuir 2012, 28, 14180–14191. [Google Scholar] [CrossRef] [PubMed]
- Van Der Burgh, S.; De Keizer, A.; Cohen Stuart, M.A. Complex Coacervation Core Micelles. Colloidal Stability and Aggregation Mechanism. Langmuir 2004, 20, 1073–1084. [Google Scholar] [CrossRef] [PubMed]
- Gohy, J.F.; Varshney, S.K.; Antoun, S.; Jérôme, R. Water-soluble complexes formed by sodium poly(4-styrenesulfonate) and a poly(2-vinylpyridinium)-block-poly(ethyleneoxide) copolymer. Macromolecules 2000, 33, 9298–9305. [Google Scholar] [CrossRef]
- Hofs, B.; Voets, I.K.; de Keizer, A.; Cohen Stuart, M.A. Comparison of complex coacervate core micelles from two diblock copolymers or a single diblock copolymer with a polyelectrolyte. Phys. Chem. Chem. Phys. 2006, 8, 4242. [Google Scholar] [CrossRef] [PubMed]
- Voets, I.K.; Van Der Burgh, S.; Farago, B.; Fokkink, R.; Kovacevic, D.; Hellweg, T.; De Keizer, A.; Cohen Stuart, M.A. Electrostatically driven coassembly of a diblock copolymer and an oppositely charged homopolymer in aqueous solutions. Macromolecules 2007, 40, 8476–8482. [Google Scholar] [CrossRef]
- Wibowo, A.; Osada, K.; Matsuda, H.; Anraku, Y.; Hirose, H.; Kishimura, A.; Kataoka, K. Morphology control in water of polyion complex nanoarchitectures of double-hydrophilic charged block copolymers through composition tuning and thermal treatment. Macromolecules 2014, 47, 3086–3092. [Google Scholar] [CrossRef]
- Harada, A.; Kataoka, K. Effect of charged segment length on physicochemical properties of core-shell type polyion complex micelles from block ionomers. Macromolecules 2003, 36, 4995–5001. [Google Scholar] [CrossRef]
- Harada, A.; Kataoka, K. Chain length recognition: core-shell supramolecular assembly from oppositely charged block copolymers. Science 1999, 283, 65–67. [Google Scholar] [CrossRef]
- Hunt, J.N.; Feldman, K.E.; Lynd, N.A.; Deek, J.; Campos, L.M.; Spruell, J.M.; Hernandez, B.M.; Kramer, E.J.; Hawker, C.J. Tunable, high modulus hydrogels driven by ionic coacervation. Adv. Mater. 2011, 23, 2327–2331. [Google Scholar] [CrossRef] [PubMed]
- Lim, P.; Shin, H.; Moon, B.; Choi, S. Small angle neutron scattering study on complex coacervate core micelles formed by oppositely charged poly(ethylene oxide-b-allyl glycidyl ether) block copolymer in water. Polym. Bull. 2016, 73, 2417–2425. [Google Scholar] [CrossRef]
- Lee, B.F.; Kade, M.J.; Chute, J.A.; Gupta, N.; Campos, L.M.; Fredrickson, G.H.; Kramer, E.J.; Lynd, N.A.; Hawker, C.J. Poly(allyl glycidyl ether)-A versatile and functional polyether platform. J. Polym. Sci. Part A Polym. Chem. 2011, 49, 4498–4504. [Google Scholar] [CrossRef] [PubMed]
- Frisken, B.J. Revisiting the Method of Cumulants for the Analysis of Dynamic Light-Scattering Data. Appl. Opt. 2001, 40, 4087. [Google Scholar] [CrossRef] [PubMed]
- Jakeš, J. Regularized Positive Exponential Sum (REPES) Program - A Way of Inverting Laplace Transform Data Obtained by Dynamic Light Scattering. Collect. Czechoslov. Chem. Commun. 1995, 60, 1781–1797. [Google Scholar] [CrossRef]
- Kuo, J. (Ed.) Electron Microscopy: Methods and Protocols; Humana Press: New York City, NY, USA, 1999; pp. 1–283. [Google Scholar]
- Wood, K.; Mata, J.P.; Garvey, C.J.; Wu, C.M.; Hamilton, W.A.; Abbeywick, P.; Bartlett, D.; Bartsch, F.; Baxter, P.; Booth, N.; et al. QUOKKA, the pinhole small-angle neutron scattering instrument at the OPAL Research Reactor, Australia: design, performance, operation and scientific highlights. J. Appl. Crystallogr. 2018, 51, 294–314. [Google Scholar] [CrossRef]
- Krogstad, D.V.; Choi, S.; Lynd, N.A.; Audus, D.J.; Perry, S.L.; Gopez, J.D.; Hawker, C.J.; Kramer, E.J.; Tirrell, M.V. Small Angle Neutron Scattering Study of Complex Coacervate Micelles and Hydrogels Formed from Ionic Diblock and Triblock Copolymers. J. Phys. Chem. B 2014, 118, 13011–13018. [Google Scholar] [CrossRef] [PubMed]
- Dickhaus, B.N.; Priefer, R. Colloids and Surfaces A: Physicochemical and Engineering Aspects Determination of polyelectrolyte pKa values using surface-to-air tension measurements. Colloids Surf. A Physicochem. Eng. Asp. 2016, 488, 15–19. [Google Scholar] [CrossRef]
- Blessing, T.; Remy, J.-S.; Behr, J.-P. Monomolecular collapse of plasmid DNA into stable virus-like particles. Proc. Natl. Acad. Sci. USA 1998, 95, 1427–1431. [Google Scholar] [CrossRef]
- Alcantara, G.B.; Paterno, L.G.; Afonso, A.S.; Faria, R.C.; Pereira-Da-Silva, M.A.; Morais, P.C.; Soler, M.A.G. Adsorption of cobalt ferrite nanoparticles within layer-by-layer films: A kinetic study carried out using quartz crystal microbalance. Phys. Chem. Chem. Phys. 2011, 13, 21233–21242. [Google Scholar] [CrossRef] [PubMed]
- He, Y.; Li, Z.; Simone, P.; Lodge, T.P. Self-assembly of block copolymer micelles in an ionic liquid. J. Am. Chem. Soc. 2006, 128, 2745–2750. [Google Scholar] [CrossRef] [PubMed]
- Xu, R.; Winnik, M.A. Light-Scattering Study of the Association Behavior of Styrene-Ethylene Oxide Block Copolymers in Aqueous Solution. Macromolecules 1991, 24, 87–93. [Google Scholar] [CrossRef]
- Allen, C.; Yu, Y.; Maysinger, D.; Eisenberg, A. Polycaprolactone-b-poly(ethylene oxide) block copolymer micelles as a novel drug delivery vehicle for neurotrophic agents FK506 and L-685,818. Bioconjug. Chem. 1998, 9, 564–572. [Google Scholar] [CrossRef] [PubMed]
- Yusa, S.I.; Yokoyama, Y.; Morishima, Y. Synthesis of oppositely charged block copolymers of polyethylene glycol via reversible addition-fragmentation chain transfer radical polymerization and characterization of their polyion complex micelles in water. Macromolecules 2009, 42, 376–383. [Google Scholar] [CrossRef]
- Takahashi, R.; Sato, T.; Terao, K.; Yusa, S.I. Intermolecular Interactions and Self-Assembly in Aqueous Solution of a Mixture of Anionic-Neutral and Cationic-Neutral Block Copolymers. Macromolecules 2015, 48, 7222–7229. [Google Scholar] [CrossRef]
- Ree, B.J.; Satoh, Y.; Jin, K.; Isono, T.; Kim, W.; Kakuchi, T.; Satoh, T.; Ree, M. Well-defined and stable nanomicelles self-assembled from brush cyclic and tadpole copolymer amphiphiles: a versatile smart carrier platform. NPG Asia Mater. 2017, 9, e453. [Google Scholar] [CrossRef]
- Ree, B.J.; Lee, J.; Satoh, Y.; Kwon, K.; Isono, T.; Satoh, T.; Ree, M. A comparative study of dynamic light and X-ray scatterings on micelles of topological polymer amphiphiles. Polymers 2018, 10, 1347. [Google Scholar] [CrossRef]
- Bang, J.; Viswanathan, K.; Lodge, T.P.; Park, M.; Char, K. Temperature-dependent micellar structures in poly(styrene-b-isoprene) diblock copolymer solutions near the critical micelle temperature. J. Chem. Phys. 2004, 121, 11489–11500. [Google Scholar] [CrossRef] [PubMed]
- Halperin, A.; Tirrell, M.; Lodge, T.P. Tethered Chains in Polymer Microstructures. Adv. Polym. Sci. 1992, 100, 31–71. [Google Scholar]
- Priftis, D.; Laugel, N.; Tirrell, M. Thermodynamic characterization of polypeptide complex coacervation. Langmuir 2012, 28, 15947–15957. [Google Scholar] [CrossRef] [PubMed]
- Weinbrreck, F.; Tromp, R.H.; de Kruif, C.G. Composition and structure of whey protein/gum arabic coacervates. Biomacromolecules 2004, 5, 1437–1445. [Google Scholar] [CrossRef] [PubMed]
- Bohidar, H.; Dubin, P.L.; Majhi, P.R.; Tribet, C.; Jaeger, W. Effects of protein-polyelectrolyte affinity and polyelectrolyte molecular weight on dynamic properties of bovine serum albumin-poly(diallyldimethylammonium chloride) coacervates. Biomacromolecules 2005, 6, 1573–1585. [Google Scholar] [CrossRef] [PubMed]
- Wang, X.; Lee, J.; Wang, Y.; Huang, Q. Composition and Rheological Properties of -Lactoglobulin / Pectin Coacervates: Effects of Salt Concentration and Initial Protein / Polysaccharide Ratio. Biomacromolecules 2007, 8, 992–997. [Google Scholar] [CrossRef] [PubMed]
- Mathieu, F.; Ugazio, S.; Carnelle, G.; Duciní, Y.; Legrand, J. Complex coacervation of the gelatin-poly(acrylic acid) system. J. Appl. Polym. Sci. 2006, 101, 708–714. [Google Scholar] [CrossRef]
- Mark, J.E.; Flory, P.J. The Configuration of the Polyoxyethylene Chain. J. Am. Chem. Soc. 1965, 87, 1415–1423. [Google Scholar] [CrossRef]
- Kharel, A.; Lodge, T.P. Coil Dimensions of Poly(ethylene oxide) in an Ionic Liquid by Small-Angle Neutron Scattering. Macromolecules 2017, 50, 8739–8744. [Google Scholar] [CrossRef]
- Castelletto, V.; Hamley, I.W.; Pedersen, J.S. A small-angle neutron scattering investigation of the structure of highly swollen block copolymer micelles. J. Chem. Phys. 2002, 117, 8124–8129. [Google Scholar] [CrossRef]
- Sommer, C.; Pedersen, J.S. Temperature Dependence of the Structure and Interaction of Starlike PEG-Based Block Copolymer Micelles. Macromolecules 2004, 37, 1682–1685. [Google Scholar] [CrossRef]
- Castelletto, V.; Hamley, I.W.; Pedersen, J.S. Small-Angle Neutron Scattering Study of the Structure of Superswollen Micelles Formed by a Highly Asymmetric Poly(oxybutylene)-Poly(oxyethylene) Diblock Copolymer in Aqueous Solution. Langmuir 2004, 2992–2994. [Google Scholar] [CrossRef]
- Pedersen, J.S.; Svaneborg, C.; Almdal, K.; Hamley, I.W.; Young, R.N. A small-angle neutron and x-ray contrast variation scattering study of the structure of block copolymer micelles: Corona shape and excluded volume interactions. Macromolecules 2003, 36, 416–433. [Google Scholar] [CrossRef]
- Pedersen, J.S. Structure factors effects in small-angle scattering from block copolymer micelles and star polymers. J. Chem. Phys. 2001, 114, 2839–2846. [Google Scholar] [CrossRef]
- Choi, S.; Bates, F.S.; Lodge, T.P. Structure of Poly (styrene-b-ethylene-alt-propylene) Diblock Copolymer Micelles in Squalane. J. Phys. Chem. B 2009, 113, 13840–13848. [Google Scholar] [CrossRef] [PubMed]








| Polymer | Mn,PEO (kg/mol) | NPEO a | Mn,PAGE (kg/mol) | NPAGE a | Ð |
|---|---|---|---|---|---|
| PEO | 10 | 227 | – | – | 1.04 |
| dPEO | 10 | 227 | – | – | 1.07 |
| OA | 10 | 227 | 5.9 | 52 | 1.05 |
| dOA | 10 | 227 | 5.9 | 52 | 1.06 |
| Rcore (nm) | σcore (nm) | Nagg | fsol,core | |
|---|---|---|---|---|
| A + S | 8.56 | 1.31 | 50 | 0.83 |
| A + C | 7.58 | 1.44 | 35 | 0.83 |
| G + S | 9.50 | 1.60 | 72 | 0.82 |
| G + C | 8.86 | 1.40 | 68 | 0.79 |
| Rcore [nm] | σcore (nm) | Nagg | Rg (nm) | a1 | s (nm) | |
|---|---|---|---|---|---|---|
| A + S | 8.56 | 1.18 | 50 | 3.85 | –0.41 | 6.98 |
| A + C | 6.71 | 1.12 | 30 | 3.76 | –0.43 | 6.50 |
| G + S | 8.94 | 1.17 | 71 | 4.00 | –0.40 | 8.34 |
| G + C | 8.27 | 0.91 | 68 | 3.53 | –0.08 | 8.57 |
© 2019 by the authors. Licensee MDPI, Basel, Switzerland. This article is an open access article distributed under the terms and conditions of the Creative Commons Attribution (CC BY) license (http://creativecommons.org/licenses/by/4.0/).
Share and Cite
Heo, T.-Y.; Kim, I.; Chen, L.; Lee, E.; Lee, S.; Choi, S.-H. Effect of Ionic Group on the Complex Coacervate Core Micelle Structure. Polymers 2019, 11, 455. https://doi.org/10.3390/polym11030455
Heo T-Y, Kim I, Chen L, Lee E, Lee S, Choi S-H. Effect of Ionic Group on the Complex Coacervate Core Micelle Structure. Polymers. 2019; 11(3):455. https://doi.org/10.3390/polym11030455
Chicago/Turabian StyleHeo, Tae-Young, Inhye Kim, Liwen Chen, Eunji Lee, Sangwoo Lee, and Soo-Hyung Choi. 2019. "Effect of Ionic Group on the Complex Coacervate Core Micelle Structure" Polymers 11, no. 3: 455. https://doi.org/10.3390/polym11030455
APA StyleHeo, T.-Y., Kim, I., Chen, L., Lee, E., Lee, S., & Choi, S.-H. (2019). Effect of Ionic Group on the Complex Coacervate Core Micelle Structure. Polymers, 11(3), 455. https://doi.org/10.3390/polym11030455

