Surface Layer Fluorination-Modulated Space Charge Behaviors in HVDC Cable Accessory
Abstract
:1. Introduction
2. Materials and Methods
2.1. Sample Preparation
2.2. Hydrophobic Test
2.3. Dielectric Property and DC Volume Conductivity Measurement
2.4. Surface and Space Charge Measurement
3. Results
3.1. SEM and EDAX Analysis
3.2. Hydrophobic Properties
3.3. Relative Permittivity and DC Conductivity
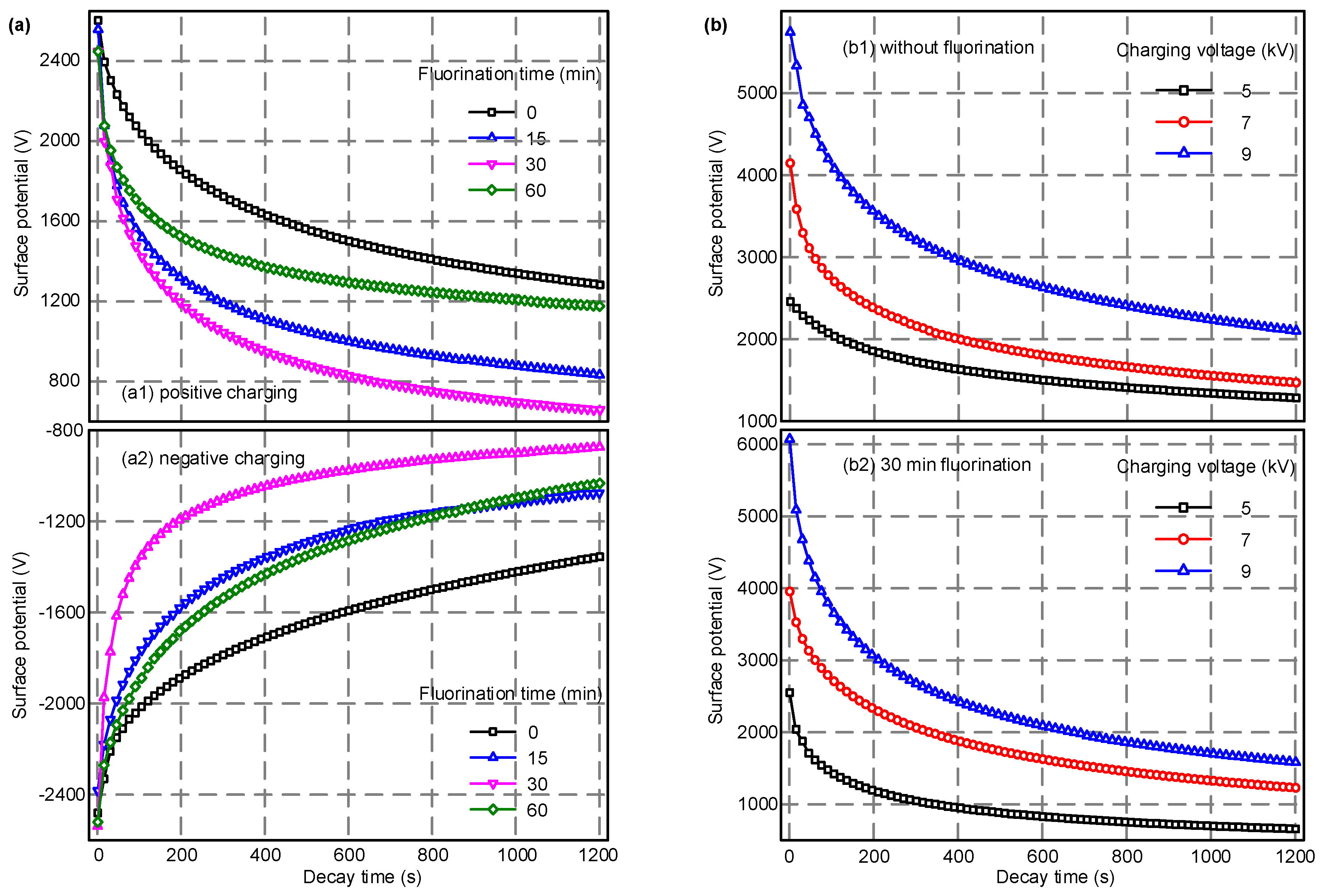
3.4. Surface Potential Decay and Surface Trap Distribution
3.5. Interface Charge Behaviors and Interface Trap Distribution
3.6. 3D Potential and DOS Behaviors
4. Discussion
5. Conclusions
Supplementary Materials
Author Contributions
Acknowledgments
Conflicts of Interest
References
- Zhang, L.; Zhang, Y.X.; Zhou, Y.X.; Teng, C.Y.; Peng, Z.W.; Spinella, S. Crystalline modification and its effects on dielectric breakdown strength and space charge behavior in isotactic polypropylene. Polymers 2018, 10, 406. [Google Scholar] [CrossRef]
- Huang, X.Y.; Fan, Y.Y.; Zhang, J.; Jiang, P.K. Polypropylene based thermoplastic polymers for potential recyclable HVDC cable insulation applications. IEEE Trans. Dielectr. Electr. Insul. 2017, 24, 1446–1456. [Google Scholar] [CrossRef]
- Bian, W.C.; Wang, W.X.; Yang, Y. A self-healing and electrical-tree-inhibiting epoxy composite with hydrogen-bonds and SiO2 particles. Polymers 2017, 9, 431. [Google Scholar] [CrossRef]
- Hao, J.; Li, Y.; Liao, R.; Liu, G.; Liao, Q.; Tang, C. Fabrication of Al2O3 nano-structure functional film on a cellulose insulation polymer surface and its space charge suppression effect. Polymers 2017, 9, 502. [Google Scholar] [CrossRef]
- He, D.X.; Wang, X.R.; Liu, H.S.; Li, Q.Q.; Teyssèdre, G. Space charge behavior in XLPE cable insulation under ac stress and its relation to thermo-electrical aging. IEEE Trans. Dielectr. Electr. Insul. 2018, 25, 541–550. [Google Scholar] [CrossRef]
- Gaska, K.; Xu, X.; Gubanski, S.; Kádár, R. Electrical, mechanical, and thermal properties of LDPE graphene nanoplatelets composites produced by means of melt extrusion process. Polymers 2017, 9, 11. [Google Scholar] [CrossRef]
- Vu, T.T.N.; Teyssedre, G.; Roy, S.L.; Laurent, C. Maxwell–Wagner Effect in multi-layered dielectrics: Interfacial charge measurement and modelling. Technologies 2017, 5, 27. [Google Scholar] [CrossRef]
- Li, J.; Du, B.X.; Xu, H. Suppressing interface charge between LDPE and EPDM for HVDC cable accessory insulation. IEEE Trans. Dielectr. Electr. Insul. 2017, 24, 1331–1339. [Google Scholar] [CrossRef]
- Li, J.; Du, B.X.; Kong, X.X.; Li, Z.L. Nonlinear conductivity and interface charge behaviors between LDPE and EPDM/SiC composite for HVDC cable accessory. IEEE Trans. Dielectr. Electr. Insul. 2017, 24, 1566–1573. [Google Scholar] [CrossRef]
- Li, C.Y.; He, J.L.; Hu, J. Surface morphology and electrical characteristics of direct fluorinated epoxy-resin/alumina composite. IEEE Trans. Dielectr. Electr. Insul. 2016, 23, 3071–3077. [Google Scholar] [CrossRef]
- Lin, H.; Wang, R.; Xie, Q.; Zhang, S.; Shao, T. Rapid surface modification by plasma jet to promote surface charge decaying. Trans. China Electrotech. Soc. 2017, 32, 256–264. [Google Scholar] [CrossRef]
- Que, L.; An, Z.; Ma, Y.; Xie, D.; Zheng, F.; Zhang, Y. Improved DC flashover performance of epoxy insulators in SF6 gas by direct fluorination. IEEE Trans. Dielectr. Electr. Insul. 2017, 24, 1153–1161. [Google Scholar] [CrossRef]
- Du, B.X.; Zhu, W.B.; Li, J.; Xing, Y.Q.; Huang, P.H. Temperature-dependent surface charge behavior of polypropylene film under DC and pulse voltages. IEEE Trans. Dielectr. Electr. Insul. 2017, 24, 774–783. [Google Scholar] [CrossRef]
- Du, B.X.; Du, Q.; Li, J.; Liang, H.C. Carrier mobility and trap distribution dependent flashover characteristics of epoxy resin. IET Gener. Transm. Distrib. 2018, 12, 466–471. [Google Scholar] [CrossRef]
- An, Z.L.; Shan, F.; Yang, L.; Shen, R.; Gu, X.; Zheng, F.; Zhang, Y.W. Unusual effect of temperature on direct fluorination of high temperature vulcanized silicone rubber and properties of the fluorinated surface layers. IEEE Trans. Dielectr. Electr. Insul. 2018, 25, 190–198. [Google Scholar] [CrossRef]
- Du, B.X.; Li, J. Surface charge coupling behavior of fluorinated polyimide film under dc and pulse voltage. IEEE Trans. Dielectr. Electr. Insul. 2017, 24, 567–573. [Google Scholar] [CrossRef]
- Du, B.X.; Li, J.; Sekii, Y. Effects of ZnO particles on space charge of EVA copolymer for HVDC cable accessory insulation. IEEE Trans. Dielectr. Electr. Insul. 2017, 24, 1503–1510. [Google Scholar] [CrossRef]
- Xiang, C.; Acevedo, N. In situ self-assembled nanocomposites from bacterial cellulose reinforced with electrospun poly(lactic acid)/lipids nanofibers. Polymers 2017, 9, 179. [Google Scholar] [CrossRef]
- Toit, F.J.D.; Sanderson, R.D.; Engelbrecht, W.J.; Wagener, J.B. The effect of surface fluorination on the wettability of high density polyethylene. J. Fluor. Chem. 1995, 74, 43–48. [Google Scholar] [CrossRef]
- Arjmand, M.; Sadeghi, S.; Khajehpour, M.; Sundararaj, U. Carbon nanotube/graphene nanoribbon/polyvinylidene fluoride nanocomposites: Rheological and dielectric properties. J. Phys. Chem. C 2017, 121, 169–181. [Google Scholar] [CrossRef]
- Arjmand, M.; Sundararaj, U. Impact of BaTiO3 as insulative ferroelectric barrier on the broadband dielectric properties of MWCNT/PVDF nanocomposites. Polym. Compos. 2016, 37, 299–304. [Google Scholar] [CrossRef]
- Khajehpour, M.; Arjmand, M.; Sundararaj, U. Dielectric properties of multiwalled carbon nanotube/clay/polyvinylidene fluoride nanocomposites: Effect of clay incorporation. Polym. Compos. 2016, 37, 1027–1034. [Google Scholar] [CrossRef]
- Shao, T.; Liu, F.; Hai, B.; Ma, Y.; Wang, R.; Ren, C. Surface modification of epoxy using an atmospheric pressure DBD to accelerate surface charge dissipation. IEEE Trans. Dielectr. Electr. Insul. 2017, 24, 1557–1565. [Google Scholar] [CrossRef]
- An, Z.L.; Yin, Q.; Liu, Y.Q.; Zheng, F.H.; Lei, Q.Q.; Zhang, Y.W. Modulation of surface electrical properties of epoxy resin insulator by changing fluorination temperature and time. IEEE Trans. Dielectr. Electr. Insul. 2015, 22, 526–534. [Google Scholar] [CrossRef]
- Taleb, M.; Teyssedre, G.; Roy, S.L.; Laurent, C. Modeling of charge injection and extraction in a metal/polymer interface through an exponential distribution of surface states. IEEE Trans. Dielectr. Electr. Insul. 2013, 20, 311–320. [Google Scholar] [CrossRef]
- Rogti, F.; Ferhat, M. Effect of temperature on trap depth formation in multi-layer insulation: Low density polyethylene and fluorinated ethylene propylene. Appl. Phys. Lett. 2014, 104, 754–767. [Google Scholar] [CrossRef]
- Engstrom, O.; Alm, A. Energy concepts of insulator–semiconductor interface traps. J. Appl. Phys. 1983, 54, 5240–5244. [Google Scholar] [CrossRef]
- Rogti, F. Effect of temperature on formation and stability of shallow trap at a dielectric interface of the multilayer. J. Electron. Mater. 2015, 44, 4655–4662. [Google Scholar] [CrossRef]









| Sample Arrangement | ∆min (eV) | ∆max (eV) |
|---|---|---|
| LDPE0/EPDM0 | 0.95 | 1.03 |
| LDPE0/EPDM15 | 0.93 | 1.07 |
| LDPE0/EPDM30 | 0.92 | 1.10 |
| LDPE0/EPDM60 | 0.93 | 1.08 |
© 2018 by the authors. Licensee MDPI, Basel, Switzerland. This article is an open access article distributed under the terms and conditions of the Creative Commons Attribution (CC BY) license (http://creativecommons.org/licenses/by/4.0/).
Share and Cite
Li, J.; Du, B.; Su, J.; Liang, H.; Liu, Y. Surface Layer Fluorination-Modulated Space Charge Behaviors in HVDC Cable Accessory. Polymers 2018, 10, 500. https://doi.org/10.3390/polym10050500
Li J, Du B, Su J, Liang H, Liu Y. Surface Layer Fluorination-Modulated Space Charge Behaviors in HVDC Cable Accessory. Polymers. 2018; 10(5):500. https://doi.org/10.3390/polym10050500
Chicago/Turabian StyleLi, Jin, Boxue Du, Jingang Su, Hucheng Liang, and Yong Liu. 2018. "Surface Layer Fluorination-Modulated Space Charge Behaviors in HVDC Cable Accessory" Polymers 10, no. 5: 500. https://doi.org/10.3390/polym10050500
APA StyleLi, J., Du, B., Su, J., Liang, H., & Liu, Y. (2018). Surface Layer Fluorination-Modulated Space Charge Behaviors in HVDC Cable Accessory. Polymers, 10(5), 500. https://doi.org/10.3390/polym10050500

