Effects of Cyclodextrins (β and γ) and l-Arginine on Stability and Functional Properties of Mucoadhesive Buccal Films Loaded with Omeprazole for Pediatric Patients
Abstract
:1. Introduction
2. Materials and Methods
2.1. Formulation (Gel and Film) Development
2.2. Physico-Chemical Characterization
2.2.1. Tensile Properties
2.2.2. Thermal Analysis
Hot Stage Microscopy (HSM)
Differential Scanning Calorimetry (DSC)
Thermogravimetric Analysis (TGA)
2.2.3. Scanning Electron Microscopy (SEM)
2.2.4. X-ray Diffraction (XRD)
2.2.5. Attenuated Total Reflectance Fourier Transform Infrared (ATR-FTIR) Spectroscopy
2.3. Functional Characterization
2.3.1. Swelling Index (Capacity)
2.3.2. In Vitro Mucoadhesion
2.3.3. In Vitro Release of Omeprazole (OME) Using Franz-Type Diffusion Cell
2.4. Drug Stability
3. Results and Discussion
3.1. Formulation Development and Optimization
Physical Evaluation of DL Films
3.2. Physico-Chemical Characterization
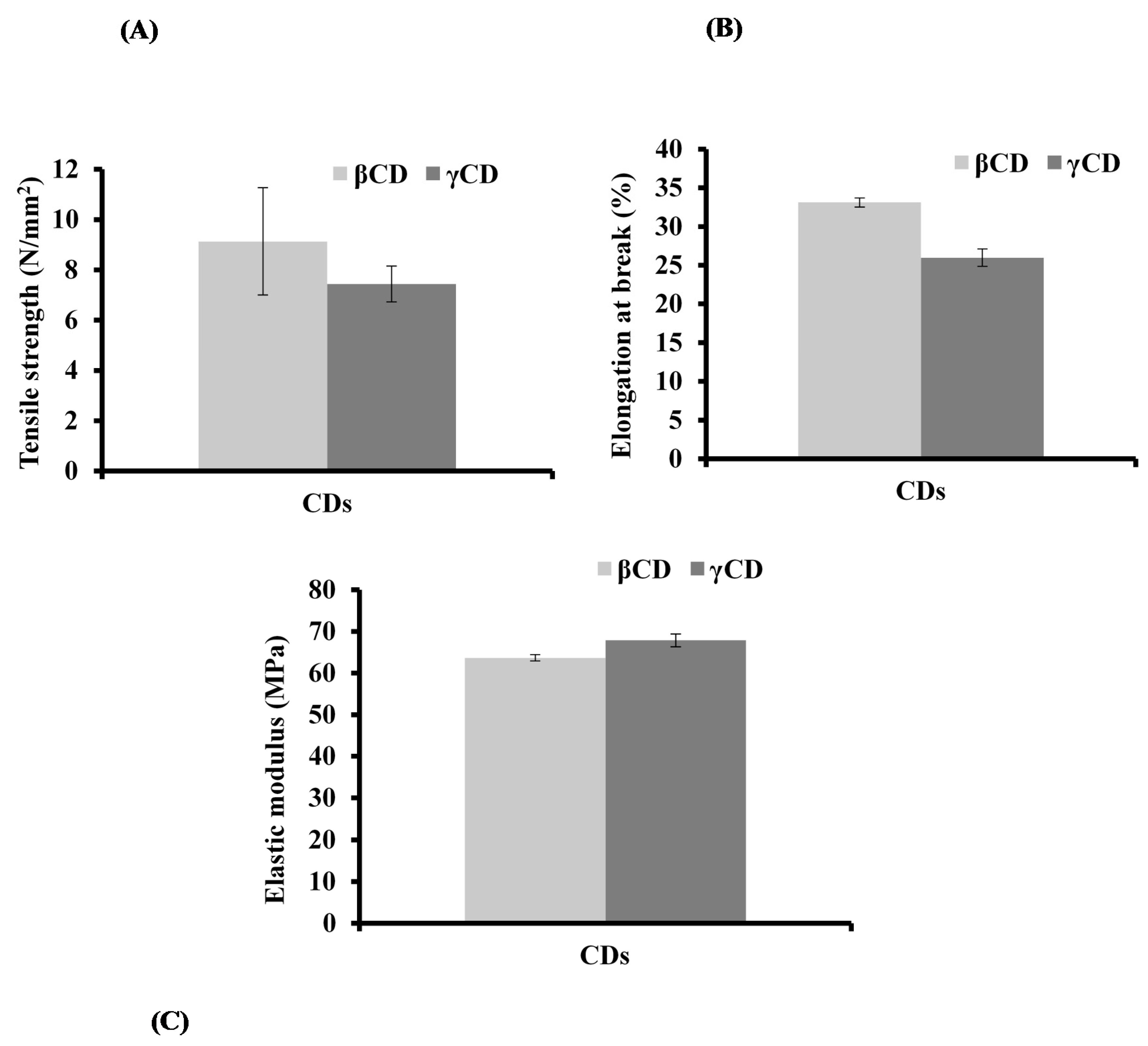
3.2.1. Texture Analysis (TA)
3.2.2. Thermal Analysis
Hot Stage Microscopy (HSM)
Differential Scanning Calorimetry (DSC)
Thermogravimetric Analysis (TGA)
3.2.3. Scanning Electron Microscopy (SEM)
3.2.4. X-ray Diffraction (XRD)
3.2.5. Fourier Transform Infrared (FTIR) Spectroscopy
3.3. Functional Characterization
3.3.1. Hydration (Swelling) Capacities
3.3.2. Mucoadhesion
3.3.3. In Vitro Release of OME Using Franz-type Diffusion Cell
3.4. Drug Stability
4. Conclusions
Author Contributions
Conflicts of Interest
References
- Choonara, I. Essential Drugs for Infants and Children: European Perspective. Am. Acad. Pediatr. 1999, 104, 605–607. [Google Scholar]
- Lind, T.; Cederberg, C.; Ekenved, G.; Haglund, U.; Olbe, L. Effect of omeprazole—A gastric proton pump inhibitor—On pentagastrin stimulated acid secretion in man. Gut 1983, 24, 270–276. [Google Scholar] [CrossRef] [PubMed]
- Melkoumov, A.; Soukrati, A.; Elkin, I.; Forest, J.M.; Hildgen, P.; Leclair, G. Quality evaluation of extemporaneous delayed-release liquid formulations of lansoprazole. Am. J. Health Syst. Pharm. 2011, 68, 2069–2074. [Google Scholar] [CrossRef] [PubMed]
- Ameen, V.; Pobiner, B.; Giguere, G.; Carter, E. Ranitidine (Zantac) Syrup versus Ranitidine Effervescent Tablets (Zantac, EFFERdose) in children. Pediatr. Drugs 2016, 8, 265–270. [Google Scholar] [CrossRef]
- Madanick, R. Proton pump inhibitor side effects and drug interactions: Much ado about nothing? Clevel. Clin. J. Med. 2011, 781, 39–49. [Google Scholar] [CrossRef] [PubMed]
- Chen, L.; Chen, T.; Li, B. The efficacy and safety of proton-pump inhibitors in treating patients with non-erosive reflux disease: A network meta-analysis. Sci. Rep. 2016, 6, 32126. [Google Scholar] [CrossRef] [PubMed]
- Chapman, B.; Rees, C.; Lippert, D.; Sataloff, R. Adverse Effects of Long-Term Proton Pump Inhibitor Use: A Review for the Otolaryngologist. J. Voice 2011, 25, 236–240. [Google Scholar] [CrossRef] [PubMed]
- Nishioka, K.; Nagao, T.; Urushidani, T. Correlation between Acid Secretion and Proton Pump Activity during Inhibition by the Proton Pump Inhibitors Omeprazole and Pantoprazole. Biochem. Pharmacol. 1999, 58, 1349–1359. [Google Scholar] [CrossRef]
- Stroyer, A.; McGinity, J.W.; Leopold, C.S. Solid state interactions between the proton pump inhibitor omeprazole and various enteric coating polymers. J. Pharm. Sci. 2006, 95, 1342–1353. [Google Scholar] [CrossRef] [PubMed]
- Fass, R.; Fennerty, M.B.; Ofman, J.J.; Gralnek, I.M.; Johnson, C.; Camargo, E.; Sampliner, R.E. The Clinical and Economic Value of a Short Course of Omeprazole in Patients with Noncardiac Chest Pain. Gastroenterol 1998, 115, 42–49. [Google Scholar] [CrossRef]
- Zimmermann, A.E.; Walters, J.K.; Katona, B.G.; Souney, P.E.; Levine, D. A Review of Omeprazole Use in the Treatment of Acid-Related Disorders in Children. Clin. Ther. 2001, 23, 660–679. [Google Scholar] [CrossRef]
- Naseri, E.; Yenishirli, A. Proton pump inhibitors omeprazole and lansoprazole induce relaxation of isolated human arteries. Eur. J. Pharmacol. 2006, 531, 226–231. [Google Scholar] [CrossRef] [PubMed]
- Wagner, C.; Barth, V.; Oliveira, S.; Campos, M. Effectiveness of the Proton Pump Inhibitor Omeprazole Associated with Calcium Hydroxide as Intracanal Medication: An In Vivo Study. J. Endod. 2011, 37, 1253–1257. [Google Scholar] [CrossRef] [PubMed]
- Markovic, N.; Agotonovic-Kustrin, S.; Glass, B.; Prestidge, C.A. Physical and thermal characterization of chiral omeprazole sodium salts. J. Pharm. Biomed. Anal. 2006, 42, 25–31. [Google Scholar] [CrossRef] [PubMed]
- Ruiz, M.; Reyes, I.; Parera, A.; Allardo, V. Determination of the stability of omeprazole by means of differential scanning calorimetry. J. Therm. Anal. 1998, 51, 29–35. [Google Scholar] [CrossRef]
- Khan, S.; Trivedi, V.; Boateng, J.S. Functional physico-chemical, ex vivo permeation and cell viability characterization of omeprazole loaded buccal films for pediatric drug delivery. Int. J. Pharm. 2016, 500, 217–226. [Google Scholar] [CrossRef] [PubMed]
- Khan, S.; Mitchell, J.C.; Trivedi, V.; Boateng, J.S. Conversion of sustained release omeprazole loaded buccal films into fast dissolving strips using supercritical carbon dioxide (scCO2) processing. Eur. J. Pharm. Sci. 2016, 93, 45–55. [Google Scholar] [CrossRef] [PubMed]
- Das, S.K.; Rajabalaya, R.; David, S.; Gani, N.; Khanam, J.; Nanda, A. Cyclodextrins-The Molecular Container. Res. J. Pharm. Biol. Chem. Sci. 2013, 4, 1694–1720. [Google Scholar]
- Alvares, T.S.; Conte-Junior, C.A.; Silva, J.T.; Paschoalin, V.M. Acute l-Arginine supplementation does not increase nitric oxide production in healthy subjects. Nutr. Metab. 2012, 9, 54. [Google Scholar] [CrossRef] [PubMed]
- Csóka, G.; Gelencsér, A.; Makó, A.; Marton, S.; Zelkó, R.; Klebovich, I.; Antal, I. Potential application of Metolose® in a thermoresponsive transdermal therapeutic system. Int. J. Pharm. 2007, 338, 15–20. [Google Scholar] [CrossRef] [PubMed]
- Roy, S.; Pal, K.; Anis, A.; Pramanik, K.; Prabhakar, B. Polymers in Mucoadhesive Drug-Delivery Systems: A Brief Note. Des. Monomers Polym. 2009, 12, 483–495. [Google Scholar] [CrossRef]
- Rowe, R.; Sheskey, P.; Owen, S. (Eds.) Handbook of Pharmaceutical Excipients, 4th ed.; Pharmaceutical Press: London, UK, 2003; pp. 386–389. [Google Scholar]
- Pásztor, E.; Csóka, G.; Klebovich, I.; Antal, I. New formulation of in situ gelling Metolose® based liquid suppositories. Drug Dev. Ind. Pharm. 2011, 37, 1–7. [Google Scholar] [CrossRef] [PubMed]
- Csóka, G.; Marton, S.; Gelencsér, A.; Klebovich, I. Thermoresponsive properties of different cellulose derivatives. Eur. J. Pharm. Sci. 2005, 25, S74–S75. [Google Scholar]
- Morales, J.; McConville, J. Manufacture and characterization of mucoadhesive buccal films. Eur. J. Pharm. Biopharm. 2011, 772, 187–199. [Google Scholar] [CrossRef] [PubMed]
- Andrews, G.; Laverty, T.; Jones, D. Mucoadhesive polymeric platforms for controlled drug delivery. Eur. J. Pharm. Biopharm. 2009, 713, 505–518. [Google Scholar] [CrossRef] [PubMed]
- Boateng, J.; Pawar, H.; Tetteh, J. Polyox and carrageenan based composite film dressing containing anti-microbial and anti-inflammatory drugs for effective wound healing. Int. J. Pharm. 2013, 441, 181–191. [Google Scholar] [CrossRef] [PubMed]
- Engel, A.; Colliex, C. Application of scanning transmission electron microscopy to the study of biological structure. Curr. Opin. Biotechnol. 1993, 4, 403–411. [Google Scholar] [CrossRef]
- Frank, L.; Hovorka, M.; Konvalina, I.; Mikmekova, S.; Mullerova, I. Very low energy scanning electron microscopy. Nucl. Instrum. Methods Phys. Res. 2011, 645, 46–54. [Google Scholar] [CrossRef]
- Brügemann, L.; Gerndt, E. Detectors for X-ray diffraction and scattering: A user’s overview. Nucl. Instrum. Methods Phys. Res. 2004, 531, 292–301. [Google Scholar] [CrossRef]
- Dittrich, H.; Bieniok, A. Measurement methods. Structural Properties: X-ray and Neutron Diffraction. In Encyclopedia of Electrochemical Power Sources; Garche, J., Ed.; Elsevier: Amsterdam, The Netherlands, 2009; pp. 718–737. [Google Scholar]
- Cui, F.; He, C.; He, M.; Cui, T.; Yin, L.; Qian, F.; Yin, C. Preparation and evaluation of chitosan-ethylenediaminetetraacetic acid hydrogel films for the mucoadhesive transbuccal delivery of insulin. J Biomed. Mater. Res. Part A 2008, 89, 1064–1071. [Google Scholar] [CrossRef] [PubMed]
- Wang, Y.; Dave, R.; Pfeffer, R. Polymer coating/encapsulation of nanoparticles using a supercritical anti-solvent process. J. Supercrit. Fluids 2004, 28, 85–99. [Google Scholar] [CrossRef]
- Papkov, M.S.; Agashi, K.; Olaye, A.; Shakesheff, K.; Domb, A.J. Polymer carriers for drug delivery in tissue engineering. Adv. Drug Deliv. Rev. 2007, 59, 187–206. [Google Scholar] [CrossRef] [PubMed]
- Rajabi-Siahboomi, A.R.; Bowtell, R.W.; Mansfield, P.; Davies, M.C.; Melia, C.D. NMR microscopy studies of swelling and water mobility in HPMC hydrophilic matrix systems undergoing hydration. Proc. Int. Symp. Control Release Bioact. Mater. 1993, 20, 292–293. [Google Scholar]
- Boateng, J.; Stevens, H.N.E.; Eccleston, G.; Auffret, A.; Humphrey, J.; Matthews, K.H. Development and mechanical characterization of solvent-cast polymeric films as potential drug delivery systems to mucosal surfaces. Drug Dev. Ind. Pharm. 2009, 35, 986–996. [Google Scholar] [CrossRef] [PubMed]
- Cui, L.; Zhang, Z.H.; Sun, E.; Jia, X.B. Effect of β-Cyclodextrin Complexation on Solubility and Enzymatic Conversion of Naringin. Int. J. Mol. Sci. 2012, 13, 14251–14261. [Google Scholar] [CrossRef] [PubMed]
- Figueiras, A.; Sarraguça, J.; Pais, A.; Carvalho, R.; Veiga, F. The Role of l-arginine in Inclusion Complexes of Omeprazole with cyclodextrins. AAPS PharmSciTech 2010, 11, 233–240. [Google Scholar] [CrossRef] [PubMed]
- Armspach, D. Bioorganic Chemistry: Carbohydrates; Hecht, S.M., Ed.; Oxford University Press: New York, NY, USA, 1999; p. 458. [Google Scholar]
- Tuovinen, L.P.S. Drug release from starch-acetate films. J. Control. Release 2003, 91, 345–354. [Google Scholar] [CrossRef]
- Kianfar, F.; Antonijevic, M.; Chowdhry, B.; Boateng, J.S. Lyophilized wafers comprising κ-carrageenan & pluronic acid for buccal drug delivery using model soluble and insoluble drugs. Colloids Surf. B Biointerfaces 2013, 103, 99–106. [Google Scholar] [CrossRef] [PubMed]
- Korsmeyer, R.W.; Gurny, R.; Doelker, E.; Buri, P.; Peppas, N.A. Mechanisms of solute release from porous hydrophilic polymers. Int. J. Pharm. 1983, 15, 25–35. [Google Scholar] [CrossRef]












| Gel Formulation Composition | Concentration (% w/w) | |||
|---|---|---|---|---|
| (a) | (b) | |||
| MET | 1.0 | 1.0 | ||
| OME | 0.1 | 0.1 | ||
| PEG 400 | 0.5 | 0.5 | ||
| βCD | 0.1 | 0.2 | 0.3 | 0.1 |
| γCD | 0.1 | 0.2 | 0.3 | 0.1 |
| l-arg | 0 | 0.1 | ||
| Polymer | Solvent | PEG (% w/w) | OME (g) | βCD (g) | l-arg (g) | Ease of Peeling | Film Characteristics |
| MET | 20% EtOH | 0.5 | 0.1 | 0.1 | 0.1 | YES | Transparent/flexible |
| Polymer | Solvent | PEG (% w/w) | OME (g) | γCD (g) | l-arg (g) | Ease of Peeling | Film Characteristics |
| MET | 20% EtOH | 0.5 | 0.1 | 0.1 | 0.1 | YES | Transparent/flexible |
| Pure Materials | Absorption Bands (cm−1) | Bands Assignment |
|---|---|---|
| βCD | 998 | C–H bending |
| 1077 | –S=O stretching | |
| 1152 | C=O stretching | |
| 1415 | C–H stretching | |
| 1644 | –C=C stretching | |
| 2925 | C–H stretching | |
| 3295 | N–H stretching |
© 2018 by the authors. Licensee MDPI, Basel, Switzerland. This article is an open access article distributed under the terms and conditions of the Creative Commons Attribution (CC BY) license (http://creativecommons.org/licenses/by/4.0/).
Share and Cite
Khan, S.; Boateng, J. Effects of Cyclodextrins (β and γ) and l-Arginine on Stability and Functional Properties of Mucoadhesive Buccal Films Loaded with Omeprazole for Pediatric Patients. Polymers 2018, 10, 157. https://doi.org/10.3390/polym10020157
Khan S, Boateng J. Effects of Cyclodextrins (β and γ) and l-Arginine on Stability and Functional Properties of Mucoadhesive Buccal Films Loaded with Omeprazole for Pediatric Patients. Polymers. 2018; 10(2):157. https://doi.org/10.3390/polym10020157
Chicago/Turabian StyleKhan, Sajjad, and Joshua Boateng. 2018. "Effects of Cyclodextrins (β and γ) and l-Arginine on Stability and Functional Properties of Mucoadhesive Buccal Films Loaded with Omeprazole for Pediatric Patients" Polymers 10, no. 2: 157. https://doi.org/10.3390/polym10020157
APA StyleKhan, S., & Boateng, J. (2018). Effects of Cyclodextrins (β and γ) and l-Arginine on Stability and Functional Properties of Mucoadhesive Buccal Films Loaded with Omeprazole for Pediatric Patients. Polymers, 10(2), 157. https://doi.org/10.3390/polym10020157

